Pyruvate Kinase M2: A New Biomarker for the Early Detection of Diabetes-Induced Nephropathy
Abstract
1. Introduction
2. Results
2.1. Body and Organ Weight Changes in Rats with HFD Induced Diabetes
2.2. Histopathological Examination and Serum Biochemical Parameters
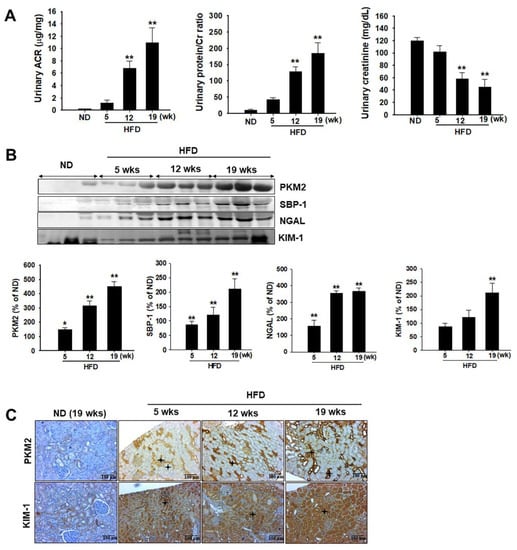
2.3. Urinary Biomarker Levels in HFD Rats
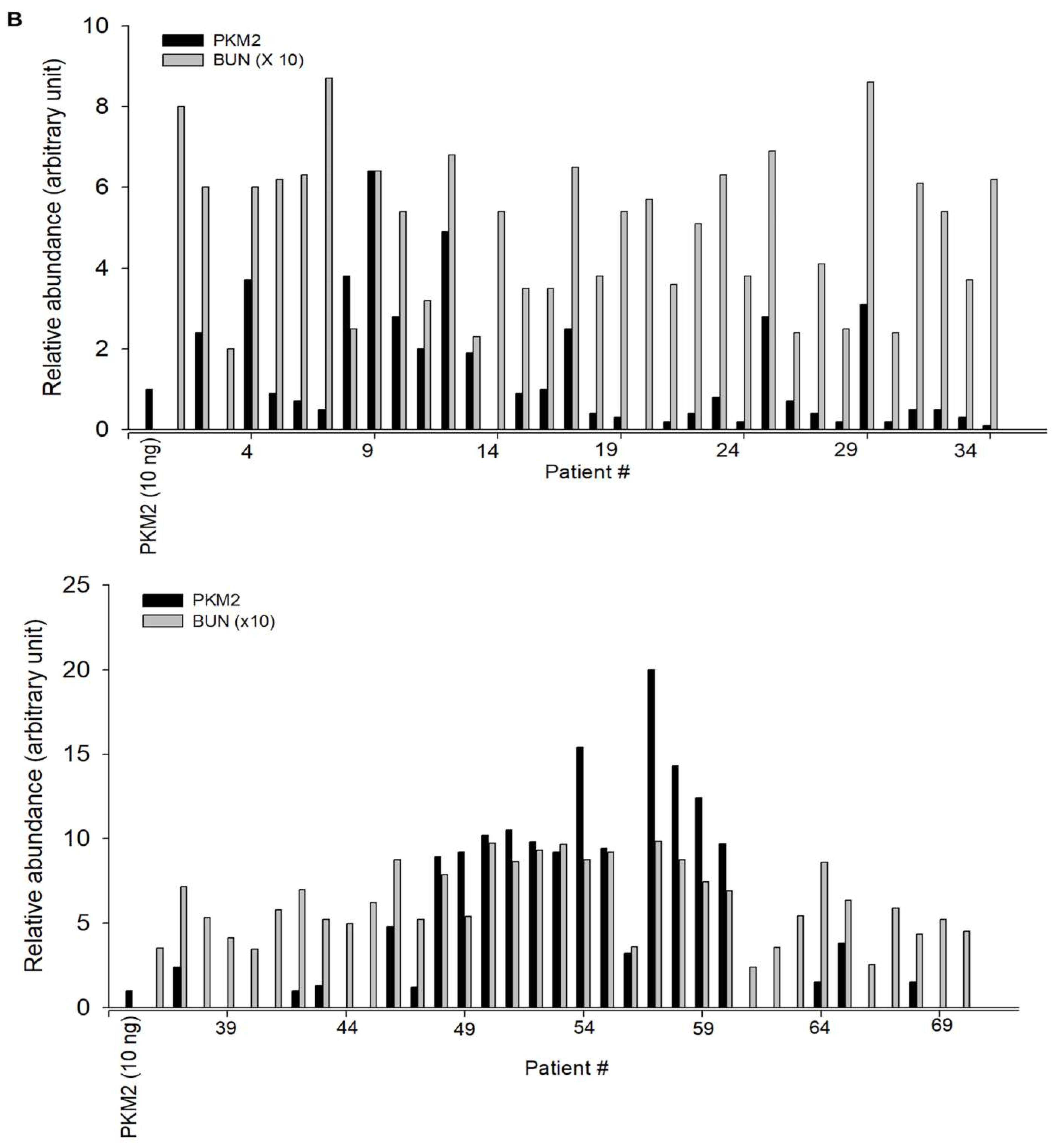
2.4. Demographics and Clinical Characteristics
3. Discussion
4. Materials and Methods
4.1. Animal Experiments
4.2. Analysis of Biochemical Parameters
4.3. Analysis of Blood Glucose Levels
4.4. Measurement of HbA1c
4.5. Measurement of AGE
4.6. Analysis of Urinary Parameters
4.7. Western Blot Analysis
4.8. Histological Examination
4.9. IHC Analysis
4.10. Analysis of Clinical Urine Samples from Patients with Diabetes
4.11. Statistical Methods
5. Conclusions
Author Contributions
Funding
Institutional Review Board Statement
Informed Consent Statement
Data Availability Statement
Conflicts of Interest
Abbreviations
| AGE | Advanced glycation end products |
| AKI | Acute kidney injury |
| BMI | Body mass index |
| BUN | Blood urea nitrogen |
| CKD | Chronic kidney disease |
| Cr | Creatinine |
| DAB | Diaminobenzidine |
| DM | Diabetes mellitus |
| DN | Diabetic nephropathy |
| ESRD | End-stage renal disease |
| HbA1c | Glycated hemoglobin A1c |
| HFD | High-fat diet |
| H&E | Hematoxylin and eosin |
| HRP | Horseradish peroxidase |
| KIM-1 | Kidney injury molecule-1 |
| NAG | N-acetyl-beta-d-glucosaminidase |
| NGAL | Neutrophil gelatinase-associated lipocalin |
| PKM2 | Pyruvate kinase M2 |
| PVDF | Polyvinylidene fluoride |
| SCr | Serum creatinine |
| TBS | Tris-buffered saline |
| ZDF | Zucker diebetic fatty |
References
- Standl, E.; Khunti, K.; Hansen, T.B.; Schnell, O. The global epidemics of diabetes in the 21st century: Current situation and perspectives. Eur. J. Prv. Cardiol. 2019, 26, 7–14. [Google Scholar] [CrossRef] [PubMed]
- SEARCH for Diabetes in Youth Study Group; Dabelea, D.; Mayer-Davis, E.J.; Saydah, S.; Imperatore, G.; Linder, B.; Divers, J.; Bell, R.; Badaru, A.; Talton, J.W.; et al. Prevalence of type 1 and type 2 diabetes among children and adolescents from 2001 to 2009. JAMA 2014, 311, 1778–1786. [Google Scholar] [CrossRef] [PubMed]
- Shaw, J.E.; Sicree, R.A.; Zimmet, P.Z. Global estimates of the prevalence of diabetes for 2010 and 2030. Diabetes Res. Clin. Pract. 2010, 87, 4–14. [Google Scholar] [CrossRef] [PubMed]
- Ritz, E.; Orth, S.R. Nephropathy in patients with type 2 diabetes mellitus. N. Engl. J. Med. 1999, 341, 1127. [Google Scholar] [CrossRef] [PubMed]
- Krolewski, M.; Eggers, P.W.; Warram, J.H. Magnitude of end-stage renal disease in IDDM: A 35 years follow-up study. Kidney Int. 1996, 50, 2041. [Google Scholar] [CrossRef] [PubMed]
- Reutens, A.T. Epidemiology of diabetic kidney disease. Med. Clin. N. Am. 2013, 97, 1–18. [Google Scholar] [CrossRef]
- Persson, F.; Rossing, P. Diagnosis of diabetic kidney disease: State of the art and future perspective. Kidney Int. Suppl. 2018, 8, 2–7. [Google Scholar] [CrossRef]
- Kim, S.S.; Kim, J.H.; Kim, I.J. Current challenges in diabetic nephropathy: Early diagnosis and ways to improve outcomes. Endocrinol. Metab. 2016, 31, 245–253. [Google Scholar] [CrossRef]
- Tuttle, K.R.; Bakris, G.L.; Bilous, R.W.; Chiang, J.L.; de Boer, I.H.; Goldstein-Fuchs, J.; Hirsch, I.B.; Kalantar-Zadeh, K.; Narva, A.S.; Navaneethan, S.D.; et al. Diabetic kidney disease: A report from an ADA consensus conference. Diabetes Care 2014, 37, 2864–2883. [Google Scholar] [CrossRef]
- Stevens, L.A.; Lafayette, R.A.; Perrone, R.D.; Levey, A.S. Laboratory evaluation of kidney function. In Diseases of the Kidney and Urinary Tract, 8th ed.; Schrier, R.W., Ed.; Lippincott, Williams and Wilkins: Philadelphia, PA, USA, 2007. [Google Scholar]
- Star, R.A. Treatment of acute renal failure. Kidney Int. 1998, 54, 1817–1831. [Google Scholar] [CrossRef]
- Thipsawat, S. Early detection of diabetic nephropathy in patient with type 2 diabetes mellitus: A review of the literature. Diab. Vasc. Dis. Res. 2021, 18, 1–8. [Google Scholar] [CrossRef]
- Motawi, T.K.; Shehata, N.I.; ElNokeety, M.M.; El-Emady, Y.F. Potential serum biomarkers for early detection of diabetic nephropathy. Diabetes Res. Clin. Pract. 2018, 136, 150–158. [Google Scholar] [CrossRef]
- Mizdrak, M.; Kumric, M.; Kurir, T.T.; Bozic, J. Emerging biomarkers for early detection of chronic kidney disease. J. Pers. Med. 2022, 12, 548. [Google Scholar] [CrossRef] [PubMed]
- Xie, M.; Yu, Y.; Kang, R.; Zhu, S.; Yang, L.; Zeng, L.; Sun, X.; Yang, M.; Billiar, T.R.; Wang, H.; et al. PKM2-dependent glycolysis promotes NLRP3 and AIM2 inflammasome activation. Nat. Commun. 2016, 7, 13280. [Google Scholar] [CrossRef] [PubMed]
- Wu, J.; Rong, S.; Zhou, J.; Yuan, W. The role and mechanism of PKM2 in the development of LPS-induced acute kidney injury. Histol. Histopathol. 2021, 36, 845–852. [Google Scholar] [PubMed]
- Christofk, H.R.; Vander Heiden, M.G.; Harris, M.H.; Ramanathan, A.; Gerszten, R.E.; Wei, R.; Fleming, M.D.; Schreiber, S.L.; Cantley, L.C. The M2 splice isoform of pyruvate kinase is important for cancer metabolism and tumour growth. Nature 2008, 452, 230–233. [Google Scholar] [CrossRef]
- Anastasiou, D.; Poulogiannis, G.; Asara, J.M.; Boxer, M.B.; Jiang, J.K.; Shen, M.; Bellinger, G.; Sasaki, A.T.; Locasale, J.W.; Auld, D.S.; et al. Inhibition of pyruvate kinase M2 by reactive oxygen species contributes to cellular antioxidant responses. Science 2011, 334, 1278–1283. [Google Scholar] [CrossRef]
- Yokoyama, M.; Tanuma, N.; Shibuya, R.; Shiroki, T.; Abue, M.; Yamamoto, K.; Miura, K.; Yamaguchi, K.; Sato, I.; Tamai, K.; et al. Pyruvate kinase type M2 contributes to the development of pancreatic ductal adenocarcinoma by regulating the production of metabolites and reactive oxygen species. Int. J. Oncol. 2018, 52, 881–891. [Google Scholar] [CrossRef]
- Tu, C.; Wang, L.; Wei, L. The Role of PKM2 in diabetic microangiopathy. Diabetes Metab. Syndr. Obes. 2022, 15, 1405–1412. [Google Scholar] [CrossRef]
- Cheon, J.H.; Kim, S.Y.; Son, J.Y.; Kang, Y.R.; An, J.H.; Kwon, J.H.; Song, H.S.; Moon, A.; Lee, B.M.; Kim, H.S. Pyruvate kinase M2: A novel biomarker for the early detection of acute kidney injury. Toxicol. Res. 2016, 32, 47–56. [Google Scholar] [CrossRef]
- Kim, S.Y.; Sohn, S.J.; Won, A.J.; Kim, H.S.; Moon, A. Identification of noninvasive biomarkers for nephrotoxicity using HK-2 human kidney epithelial cells. Toxicol. Sci. 2014, 140, 247–258. [Google Scholar] [CrossRef] [PubMed]
- Kundu, A.; Dey, P.; Sarkar, P.; Karmakar, S.; Tae, I.H.; Kim, K.S.; Park, J.H.; Lee, S.H.; Lee, B.M.; Renthlei, L.; et al. Protective effects of Croton hookeri on streptozotocin-induced diabetic nephropathy. Food Chem. Toxicol. 2020, 135, 110873. [Google Scholar] [CrossRef] [PubMed]
- Dayton, T.L.; Gocheva, V.; Miller, K.M.; Israelsen, W.J.; Bhutkar, A.; Clish, C.B.; Davidson, S.M.; Luengo, A.; Bronson, R.T.; Jacks, T.; et al. Germline loss of PKM2 promotes metabolic distress and hepatocellular carcinoma. Genes Dev. 2016, 30, 1020–1033. [Google Scholar] [CrossRef]
- Bluemlein, K.; Grüning, N.M.; Feichtinger, R.G.; Lehrach, H.; Kofler, B.; Ralser, M. No evidence for a shift in pyruvate kinase PKM1 to PKM2 expression during tumorigenesis. Oncotarget 2011, 2, 393–400. [Google Scholar] [CrossRef] [PubMed]
- Kim, H.R.; Park, J.H.; Lee, S.H.; Kwack, S.J.; Lee, J.; Kim, S.; Yoon, S.; Kim, K.B.; Lee, B.M.; Kacew, S.; et al. Using intracellular metabolic profiling to identify novel biomarkers of cisplatin-induced acute kidney injury in NRK-52E cells. J. Toxicol. Environ. Health A 2022, 85, 29–42. [Google Scholar] [CrossRef] [PubMed]
- Pugsley, M.K.; Brooks, M.B.; Fishman, C.E.; Katavolos, P.; Chiang, A.Y.; Parish, S.T.; Pierson, J.B.; Schultze, A.E. Use of the ZDF rat to model dietary fat induced hypercoagulability is limited by progressive and fatal nephropathy. J. Pharmacol. Toxicol. Methods 2021, 107, 106933. [Google Scholar] [CrossRef] [PubMed]
- Comper, W.D.; Osicka, T.M.; Clark, M.; MacIsaac, R.J.; Jerums, G. Earlier detection of microalbuminuria in diabetic patients using a new urinary albumin assay. Kidney Int. 2004, 65, 1850–1855. [Google Scholar] [CrossRef]
- Busby, D.E.; Bakris, G.L. Comparison of commonly used assays for the detection of microalbuminuria. J. Clin. Hypertens. 2004, 6, 8–12. [Google Scholar] [CrossRef]
- Centers for Disease Control and Prevention. Chronic Kidney Disease in the United States, 2021; Centers for Disease Control and Prevention, US Department of Health and Human Services: 2021. Available online: https://www.cdc.gov/kidneydisease/publications-resources/CKD-national-facts.html (accessed on 12 July 2022).
- Pugliese, G.; Penno, G.; Natali, A.; Barutta, F.; Di Paolo, S.; Reboldi, G.; Gesualdo, L.; De Nicola, L. Italian Diabetes Society and the Italian Society of Nephrology. Diabetic kidney disease: New clinical and therapeutic issues. Joint position statement of the Italian Diabetes Society and the Italian Society of Nephrology on “The natural history of diabetic kidney disease and treatment of hyperglycemia in patients with type 2 diabetes and impaired renal function”. J. Nephrol. 2020, 33, 9–35. [Google Scholar]
- Institute for Alternative Futures. IAF Diabetes 2030 Model Statistics for the United States, All States and Several Metropolitan Areas. Available online: http://www.altfutures.org/diabetes2030 (accessed on 19 February 2021).
- Kim, K.S.; Lee, J.S.; Park, J.H.; Lee, E.Y.; Moon, J.S.; Lee, S.K.; Lee, J.S.; Kim, J.H.; Kim, H.S. Identification of novel biomarker for early detection of diabetic nephropathy. Biomedicines 2021, 9, 457. [Google Scholar] [CrossRef]
- Fiseha, T. Urinary biomarkers for early diabetic nephropathy in type 2 diabetic patients. Biomark. Res. 2015, 3, 16. [Google Scholar] [CrossRef] [PubMed]
- Caramori, M.L.; Fioretto, P.; Mauer, M. The need for early predictors of diabetic nephropathy risk: Is albumin excretion rate sufficient? Diabetes 2000, 49, 1399–1408. [Google Scholar] [CrossRef] [PubMed]
- Janssen, W.M.; Hillege, H.; Pinto-Sietsma, S.J.; Bak, A.A.; De Zeeuw, D.; de Jong, P.E.; PREVEND Study Group. Prevention of Renal and Vascular End-stage Disease. Low levels of urinary albumin excretion are associated with cardiovascular risk factors in the general population. Clin. Chem. Lab. Med. 2000, 38, 1107–1110. [Google Scholar] [CrossRef]
- Babazono, T.; Nyumura, I.; Toya, K.; Hayashi, T.; Ohta, M.; Suzuki, K.; Kiuchi, Y.; Iwamoto, Y. Higher levels of urinary albumin excretion within the normal range predict faster decline in glomerular filtration rate in diabetic patients. Diabetes Care 2009, 32, 1518–1520. [Google Scholar] [CrossRef] [PubMed]
- Alquraishi, M.; Puckett, D.L.; Alani, D.S.; Humidat, A.S.; Frankel, V.D.; Donohoe, D.R.; Whelan, J.; Bettaieb, A. Pyruvate kinase M2: A simple molecule with complex functions. Free Radic. Biol. Med. 2019, 143, 176–192. [Google Scholar] [CrossRef]
- Zhang, Z.; Deng, X.; Liu, Y.; Liu, Y.; Sun, L.; Chen, F. PKM2, function and expression and regulation. Cell Biosci. 2019, 9, 52. [Google Scholar] [CrossRef]
- Domingos, M.A.; Moreira, S.R.; Gomez, L.; Goulart, A.; Lotufo, P.A.; Benseñor, I.; Titan, S. Urinary retinol-binding protein: Relationship to renal function and cardiovascular risk factors in chronic kidney disease. PLoS ONE 2016, 11, e0162782. [Google Scholar] [CrossRef]
- Lin, J.; Cheng, A.; Cheng, K.; Deng, Q.; Zhang, S.; Lan, Z.; Wang, W.; Chen, J. New insights into the mechanisms of fibrosis and sclerosis in diabetic nephropathy. Int. J. Mol. Sci. 2020, 21, 7057. [Google Scholar] [CrossRef]
- Ebert, N.; Schaeffner, E. New biomarkers for estimating glomerular filtration rate. J. Lab. Precis. Med. 2018, 3, 75. [Google Scholar] [CrossRef]
- Wettersten, N.; Katz, R.; Shlipak, M.G.; Scherzer, R.; Waikar, S.S.; Ix, J.H.; Estrella, M.M. Urinary biomarkers and kidney outcomes: Impact of indexing versus adjusting for urinary creatinine. Kidney Med. 2021, 3, 546–554. [Google Scholar] [CrossRef]
- Deji, N.; Kume, S.; Araki, S.-I.; Soumura, M.; Sugimoto, T.; Isshiki, K.; Chin-Kanasaki, M.; Sakaguchi, M.; Koya, D.; Haneda, M.; et al. Structural and functional changes in the kidneys of high-fat diet-induced obese mice. Am. J. Physiol. Renal Physiol. 2009, 296, F118–F126. [Google Scholar] [CrossRef] [PubMed]
- Imasawa, T.; Obre, E.; Bellance, N.; Lavie, J.; Imasawa, T.; Rigothier, C.; Delmas, Y.; Combe, C.; Lacombe, D.; Benard, G.; et al. High glucose repatterns human podocyte energy metabolism during differentiation and diabetic nephropathy. FASEB J. 2017, 31, 294–307. [Google Scholar] [CrossRef] [PubMed]
- Qi, W.; Keenan, H.A.; Li, Q.; Ishikado, A.; Kannt, A.; Sadowski, T.; Yorek, M.A.; Wu, I.-H.; Lockhart, S.; Coppey, L.J.; et al. Pyruvate kinase M2 activation may protect against the progression of diabetic glomerular pathology and mitochondrial dysfunction. Nat. Med. 2017, 23, 753–762. [Google Scholar] [CrossRef] [PubMed]
- Han, W.K.; Wagener, G.; Zhu, Y.; Wang, S.; Lee, H.T. Urinary biomarkers in the early detection of acute kidney injury after cardiac surgery. Clin. J. Am. Soc. Nephrol. 2009, 4, 873–882. [Google Scholar] [CrossRef]
- Zdziechowska, M.; Gluba-Brzózka, A.; Poliwczak, A.R.; Franczyk, B.; Kidawa, M.; Zielinska, M.; Rysz, J. Serum NGAL, KIM-1, IL-18, L-FABP: New biomarkers in the diagnostics of acute kidney injury (AKI) following invasive cardiology procedures. Int. Urol. Nephrol. 2020, 52, 2135–2143. [Google Scholar] [CrossRef]
- Lei, L.; Li, L.P.; Zeng, Z.; Mu, J.X.; Yang, X.; Zhou, C.; Wang, Z.L.; Zhang, H. Value of urinary KIM-1 and NGAL combined with serum Cys C for predicting acute kidney injury secondary to decompensated cirrhosis. Sci. Rep. 2018, 8, 7962. [Google Scholar] [CrossRef]
- Dey, P.; Son, J.Y.; Kundu, A.; Kim, K.S.; Lee, Y.; Yoon, K.; Yoon, S.; Lee, B.M.; Nam, K.T.; Kim, H.S. Knockdown of pyruvate kinase M2 inhibits cell proliferation, metabolism, and migration in renal cell carcinoma. Int. J. Mol. Sci. 2019, 20, 5622. [Google Scholar] [CrossRef]
- Ye, Y.; Xu, L.; Ding, H.; Wang, X.; Luo, J.; Zhang, Y.; Zen, K.; Fang, Y.; Dai, C.; Wang, Y.; et al. Pyruvate kinase M2 mediates fibroblast proliferation to promote tubular epithelial cell survival in acute kidney injury. FASEB J. 2021, 35, e21706. [Google Scholar] [CrossRef]
- Sachan, R.; Kundu, A.; Dey, P.; Son, J.Y.; Kim, K.S.; Lee, D.E.; Kim, H.R.; Park, J.H.; Lee, S.H.; Kim, J.H.; et al. Dendropanax morbifera protects against renal fibrosis in streptozotocin-induced diabetic rats. Antioxidants 2020, 9, 84. [Google Scholar] [CrossRef]
- Ahmad, B.; Rehman, M.U.; Amin, I.; Mir, M.U.R.; Ahmad, S.B.; Farooq, A.; Muzamil, S.; Hussain, I.; Masoodi, M.; Fatima, B. Zingerone (4-(4-hydroxy-3-methylphenyl) butan-2-one) protects against alloxan-induced diabetes via alleviation of oxidative stress and inflammation: Probable role of NF-kB activation. Saudi Pharm. J. 2018, 26, 1137–1145. [Google Scholar] [CrossRef]
- Li, L.; Tang, L.; Yang, X.; Chen, R.; Zhang, Z.; Leng, Y.; Chen, A.F. Gene regulatory effect of pyruvate kinase M2 is involved in renal inflammation in type 2 diabetic nephropathy. Exp. Clin. Endocrinol. Diabetes 2020, 128, 599–606. [Google Scholar] [CrossRef] [PubMed]






| Characteristics | Normal Controls | Patients with Diabetes |
|---|---|---|
| Age (yr) | 27.5 ± 3.87 | 65.8 ± 9.24 |
| Sex | ||
| Male | 8 | 48 |
| Female | 12 | 22 |
| Duration of diabetes (yr) | >3 | |
| Serum creatinine (mg/dL) | NA | NA |
| BUN (mg/dL) | NA | 68.23 ± 23.57 |
| BMI | 22.3 ± 0.54 | 24.7 ± 3.24 |
Disclaimer/Publisher’s Note: The statements, opinions and data contained in all publications are solely those of the individual author(s) and contributor(s) and not of MDPI and/or the editor(s). MDPI and/or the editor(s) disclaim responsibility for any injury to people or property resulting from any ideas, methods, instructions or products referred to in the content. |
© 2023 by the authors. Licensee MDPI, Basel, Switzerland. This article is an open access article distributed under the terms and conditions of the Creative Commons Attribution (CC BY) license (https://creativecommons.org/licenses/by/4.0/).
Share and Cite
Park, Y.S.; Han, J.H.; Park, J.H.; Choi, J.S.; Kim, S.H.; Kim, H.S. Pyruvate Kinase M2: A New Biomarker for the Early Detection of Diabetes-Induced Nephropathy. Int. J. Mol. Sci. 2023, 24, 2683. https://doi.org/10.3390/ijms24032683
Park YS, Han JH, Park JH, Choi JS, Kim SH, Kim HS. Pyruvate Kinase M2: A New Biomarker for the Early Detection of Diabetes-Induced Nephropathy. International Journal of Molecular Sciences. 2023; 24(3):2683. https://doi.org/10.3390/ijms24032683
Chicago/Turabian StylePark, Yeon Su, Joo Hee Han, Jae Hyeon Park, Ji Soo Choi, Seung Hyeon Kim, and Hyung Sik Kim. 2023. "Pyruvate Kinase M2: A New Biomarker for the Early Detection of Diabetes-Induced Nephropathy" International Journal of Molecular Sciences 24, no. 3: 2683. https://doi.org/10.3390/ijms24032683
APA StylePark, Y. S., Han, J. H., Park, J. H., Choi, J. S., Kim, S. H., & Kim, H. S. (2023). Pyruvate Kinase M2: A New Biomarker for the Early Detection of Diabetes-Induced Nephropathy. International Journal of Molecular Sciences, 24(3), 2683. https://doi.org/10.3390/ijms24032683

