Insight into the Varying Reactivity of Different Catalysts for CO2 Cycloaddition into Styrene Oxide: An Experimental and DFT Study
Abstract
1. Introduction
2. Results and Discussion
2.1. Experimental Results
2.2. Theoretical Results and Discussion
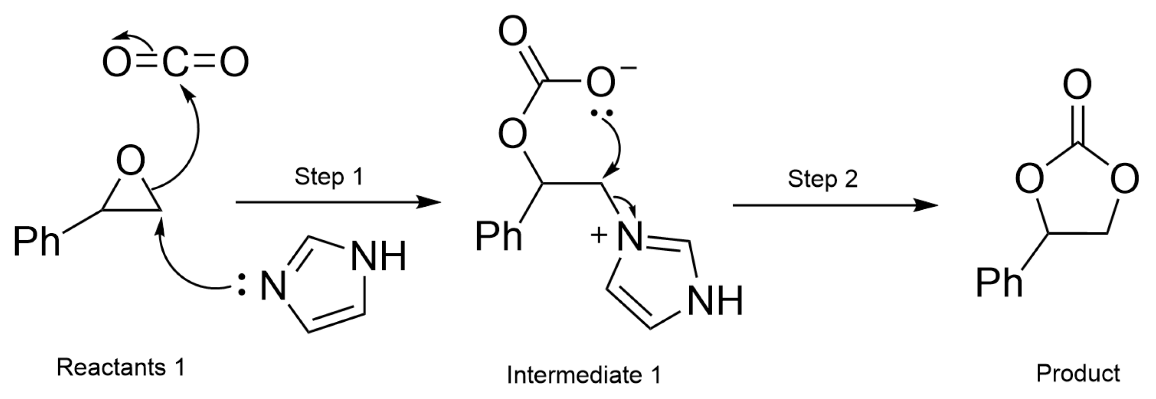
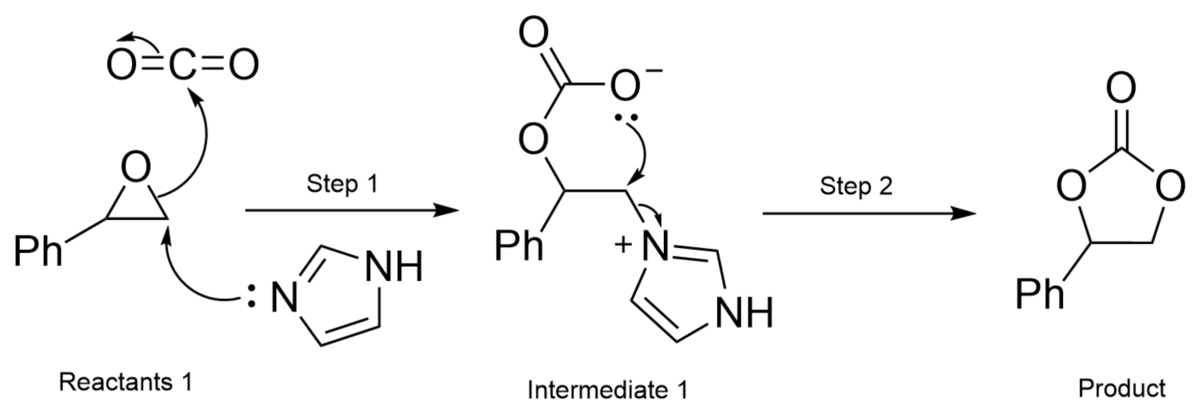
2.2.1. Lewis Base Mechanism
2.2.2. Lewis Acid Mechanism
2.2.3. Lewis Acid Mechanism in Presence of ZnI2
3. Materials and Methods
3.1. Computational Details
3.2. Experimental Details
3.2.1. General Considerations
3.2.2. Catalytic Tests
4. Conclusions
Supplementary Materials
Author Contributions
Funding
Institutional Review Board Statement
Informed Consent Statement
Data Availability Statement
Conflicts of Interest
References
- Callendar, G.S. The artificial production of carbon dioxide and its influence on temperature. Q. J. R. Meteorol. Soc. 1938, 64, 223–240. [Google Scholar] [CrossRef]
- Callendar, G.S. Infra-red absorption by carbon dioxide, with special reference to atmospheric radiation. Q. J. R. Meteorol. Soc. 1941, 67, 263–275. [Google Scholar] [CrossRef]
- Solomon, S.; Plattner, G.-K.; Knutti, R.; Friedlingstein, P. Irreversible climate change due to carbon dioxide emissions. Proc. Natl. Acad. Sci. USA 2009, 106, 1704–1709. [Google Scholar] [CrossRef] [PubMed]
- Marchetti, C. On geoengineering and the CO2 problem. Clim. Change 1977, 1, 59–68. [Google Scholar] [CrossRef]
- Marchetti, C. Developments in Atmospheric Science; Elsevier: Amsterdam, The Netherlands, 1979; pp. 299–311. [Google Scholar]
- Metz, B. Intergovernmental Panel on Climate Change. (Eds.) IPCC Special Report on Carbon Dioxide Capture and Storage; Cambridge University Press: Cambridge, UK, 2005. [Google Scholar]
- Artz, J.; Müller, T.E.; Thenert, K.; Kleinekorte, J.; Meys, R.; Sternberg, A.; Bardow, A.; Leitner, W. Sustainable Conversion of Carbon Dioxide: An Integrated Review of Catalysis and Life Cycle Assessment. Chem. Rev. 2018, 118, 434–504. [Google Scholar] [CrossRef] [PubMed]
- Yu, Z.; Li, Z.; Zhang, L.; Zhu, K.; Wu, H.; Li, H.; Yang, S. A substituent- and temperature-controllable NHC-derived zwitterionic catalyst enables CO2 upgrading for high-efficiency construction of formamides and benzimidazoles. Green Chem. 2021, 23, 5759–5765. [Google Scholar] [CrossRef]
- Zhao, W.; Chi, X.; Li, H.; He, J.; Long, J.; Xua, Y.; Yang, S. Eco-friendly acetylcholine-carboxylate bio-ionic liquids for controllable N-methylation and N-formylation using ambient CO2 at low temperatures. Green Chem. 2019, 21, 567–577. [Google Scholar] [CrossRef]
- Schäffner, B.; Schäffner, F.; Verevkin, S.; Börner, A. Organic Carbonates as Solvents in Synthesis and Catalysis. Chem. Rev. 2010, 110, 4554–4581. [Google Scholar] [CrossRef]
- Grignard, B.; Gennen, S.; Jérôme, C.; Kleij, A.W.; Detrembleur, C. Advances in the use of CO2 as a renewable feedstock for the synthesis of polymers. Chem. Soc. Rev. 2019, 48, 4466–4514. [Google Scholar] [CrossRef]
- Ke, J.; Li, X.; Wang, F.; Kang, M.; Feng, Y.; Zhao, Y.; Wang, J. The hybrid polyhydroxyurethane materials synthesized by a prepolymerization method from CO2-sourced monomer and epoxy. J. CO2 Util. 2016, 16, 474–485. [Google Scholar] [CrossRef]
- Bobbink, F.D.; van Muyden, A.P.; Dyson, P.J. En route to CO2-containing renewable materials: Catalytic synthesis of polycarbonates and non-isocyanate polyhydroxyurethanes derived from cyclic carbonates. Chem. Commun. 2019, 55, 1360–1373. [Google Scholar] [CrossRef] [PubMed]
- Pronoitis, C.; Hakkarainen, M.; Odelius, K. Structurally Diverse and Recyclable Isocyanate-Free Polyurethane Networks from CO 2-Derived Cyclic Carbonates. ACS Sustain. Chem. Eng. 2022, 10, 2522–2531. [Google Scholar] [CrossRef]
- Yang, L.-C.; Rong, Z.-Q.; Wang, Y.-N.; Tan, Z.Y.; Wang, M.; Zhao, Y. Construction of Nine-Membered Heterocycles through Palladium-Catalyzed Formal [5+4] Cycloaddition. Angew. Chem. Int. Ed. 2017, 56, 2927–2931. [Google Scholar] [CrossRef]
- Benin, V.; Gardelle, B.; Morgan, A.B. Heat release of polyurethanes containing potential flame retardants based on boron and phosphorus chemistries. Polym. Degrad. Stab. 2014, 106, 108–121. [Google Scholar] [CrossRef]
- Eisele, A.; Kyriakos, K.; Bhandary, R.; Schönhoff, M.; Papadakis, C.M.; Rieger, B. Structure and ionic conductivity of liquid crystals having propylene carbonate units. J. Mater. Chem. A 2015, 3, 2942–2953. [Google Scholar] [CrossRef]
- Shi, F.; Zhang, Q.; Ma, Y.; He, Y.; Deng, Y. From CO oxidation to CO2 activation: An unexpected catalytic activity of polymer-supported nanogold. J. Am. Chem. Soc. 2005, 127, 4182–4183. [Google Scholar] [CrossRef]
- Rachuri, Y.; Kurisingal, J.F.; Chitumalla, R.K.; Vuppala, S.; Gu, Y.; Jang, J.; Choe, Y.; Suresh, E.; Park, D.-W. Adenine-Based Zn(II)/Cd(II) Metal–Organic Frameworks as Efficient Heterogeneous Catalysts for Facile CO2 Fixation into Cyclic Carbonates: A DFT-Supported Study of the Reaction Mechanism. Inorg. Chem. 2019, 58, 11389–11403. [Google Scholar] [CrossRef]
- Roshan, K.R.; Palissery, R.A.; Kathalikkattil, A.C.; Babu, R.; Mathai, G.; Lee, H.-S.; Park, D.-W. A computational study of the mechanistic insights into base catalysed synthesis of cyclic carbonates from CO2: Bicarbonate anion as an active species. Catal. Sci. Technol. 2016, 6, 3997–4004. [Google Scholar] [CrossRef]
- Kurisingal, J.F.; Li, Y.; Sagynbayeva, Y.; Chitumalla, R.K.; Vuppala, S.; Rachuri, Y.; Gu, Y.; Jang, J.; Park, D.-W. Porous aluminum-based DUT metal-organic frameworks for the transformation of CO2 into cyclic carbonates: A computationally supported study. Catal. Today 2020, 352, 227–236. [Google Scholar] [CrossRef]
- Sun, J.; Wang, J.; Cheng, W.; Zhang, J.; Li, X.; Zhang, S.; She, Y. Chitosan functionalized ionic liquid as a recyclable biopolymer-supported catalyst for cycloaddition of CO2. Green Chem. 2012, 14, 654–660. [Google Scholar] [CrossRef]
- Xu, K.; Moeljadi, A.M.P.; Mai, B.K.; Hirao, H. How Does CO2 React with Styrene Oxide in Co-MOF-74 and Mg-MOF-74? Catalytic Mechanisms Proposed by QM/MM Calculations. J. Phys. Chem. C 2018, 122, 503–514. [Google Scholar] [CrossRef]
- Rehman, A.; Eze, V.C.; Resul, M.G.; Harvey, A. A kinetic study of Zn halide/TBAB-catalysed fixation of CO2 with styrene oxide in propylene carbonate. Green Process. Synth. 2019, 8, 719–729. [Google Scholar] [CrossRef]
- Liu, M.; Liu, B.; Zhong, S.; Shi, L.; Liang, L.; Sun, J. Kinetics and Mechanistic Insight into Efficient Fixation of CO2 to Epoxides over N-Heterocyclic Compound/ZnBr2 Catalysts. Ind. Eng. Chem. Res. 2015, 54, 633–640. [Google Scholar] [CrossRef]
- Castro-Gmez, F.; Salassa, G.; Kleij, A.W.; Bo, C. A DFT Study on the Mechanism of the Cycloaddition Reaction of CO2 to Epoxides Catalyzed by Zn(Salphen) Complexes. Chem. Eur. J. 2013, 19, 6289–6298. [Google Scholar] [CrossRef] [PubMed]
- Lamine, W.; Boughdiri, S.; Christ, L.; Merzoud, L.; Morell, C.; Chermette, H. Relaxation of Kohn–Sham orbitals of organometallic complexes during the approach of a nucleophilic reactant (or an electron approach): The case of [sal(ph)en]2 Zn complexes. Theor. Chem. Acc. 2020, 139, 7. [Google Scholar] [CrossRef]
- Lamine, W.; Boughdiri, S.; Christ, L.; Morell, C.; Chermette, H. Ill-advised self-interaction contribution in modelling anionic attack along a reaction path. Mol. Phys. 2016, 114, 1066–1075. [Google Scholar] [CrossRef]
- Johnson, E.R.; Keinan, S.; Mori-Sánchez, P.; Contreras-García, J.; Cohen, A.J.; Yang, W. Revealing Noncovalent Interactions. J. Am. Chem. Soc. 2010, 132, 6498–6506. [Google Scholar] [CrossRef]
- Lu, T.; Chen, Q. Independent gradient model based on Hirshfeld partition: A new method for visual study of interactions in chemical systems. J. Comput. Chem. 2022, 43, 539–555. [Google Scholar] [CrossRef]
- Dudev, T.; Lim, C. Tetrahedral vs Octahedral Zinc Complexes with Ligands of Biological Interest: A DFT/CDM Study. J. Am. Chem. Soc. 2000, 122, 11146–11153. [Google Scholar] [CrossRef]
- Congreve, A.; Kataky, R.; Knell, M.; Parker, D.; Puschmann, H.; Senanayake, K.; Wylie, L. Examination of cobalt, nickel, copper and zinc(II) complex geometry and binding affinity in aqueous media using simple pyridylsulfonamide ligands. New J. Chem. 2003, 27, 98–106. [Google Scholar] [CrossRef]
- Ataie, N.J.; Hoang, Q.Q.; Zahniser, M.P.D.; Tu, Y.; Milne, A.; Petsko, G.A.; Ringe, D. Zinc Coordination Geometry and Ligand Binding Affinity: The Structural and Kinetic Analysis of the Second-Shell Serine 228 Residue and the Methionine 180 Residue of the Aminopeptidase from Vibrio proteolyticus. Biochemistry 2008, 47, 7673–7683. [Google Scholar] [CrossRef] [PubMed]
- Roy, S.; Sarkar, B.N.; Bhar, K.; Satapathi, S.; Mitra, P.; Ghosh, B.K. Syntheses, structures and luminescence behaviors of zinc(II) complexes containing a tetradentate Schiff base: Variation in nuclearity and geometry with the change of halide/pseudohalide/carboxylate and counter anion. J. Mol. Struct. 2013, 1037, 160–169. [Google Scholar] [CrossRef]
- Gasque, L.; López-Rosales, A.; Bernès, S.; Mendoza-Díaz, G. Bioinspired Co(II) and Zn(II) complexes with an imidazole derived tripodal ligand. Structural models for astacins and MnSOD. Polyhedron 2017, 127, 167–175. [Google Scholar]
- Lamine, W.; Boughdiri, S.; Jeanneau, E.; Sanglar, C.; Morell, C.; Christ, L.; Chermette, H. Unexpected Structure of a Helical N4-Schiff-Base Zn(II) Complex and Its Demetallation: Experimental and Theoretical Studies. ChemPhysChem 2018, 19, 2938–2946. [Google Scholar] [CrossRef] [PubMed]
- Lamine, W.; Boughdiri, S.; Christ, L.; Morell, C.; Chermette, H. Coordination Chemistry of Zn2+ With Sal(ph)en Ligands: Tetrahedral Coordination or Penta-Coordination? A DFT Analysis. J. Comput. Chem. 2019, 40, 717–725. [Google Scholar]
- Paşaoğlu, H.; Güven, S.; Heren, Z.; Büyükgüngör, O. Synthesis, spectroscopic and structural investigation of ZnI2(nicotinamide)2, ZnI2(isonicotinamide)2 and [Zn(H2O)2(picolinamide)2]I2. J. Mol. Struct. 2006, 794, 270–276. [Google Scholar] [CrossRef]
- Bowmaker, G.A.; Effendy; Fariati; Rahajoe, S.I.; Skelton, B.W.; White, A.H. Structural and Infrared Spectroscopic Studies of Some Adducts of Divalent Metal Dihalides (MX2, M = Zn, Cd; X = CI, Br, I) with Variously Hindered Monodentate Nitrogen (Pyridine) Base Ligands (L = Pyridine, 2-Methylpyridine, and Quinoline) of 1:2 Stoichiometry. Z. Anorg. Allg. Chem. 2011, 637, 1361–1370. [Google Scholar]
- Sun, L.; Zhang, W.X.; Ma, J.; Gao, Y.L.; Xu, N.; Pan, C.Y.; Lu, T.Q.; Hu, X.Y.; Jin, F. Crystal structures and enhanced luminescence of Zn(II) and Cd(II) complexes containing conjugated organic ligands. Russ. J. Coord. Chem. 2017, 43, 252–259. [Google Scholar] [CrossRef]
- Wang, H.; Cai, F.; Feng, D.; Zhou, L.; Li, D.; Wei, Y.; Feng, Z.; Zhang, J.; He, J.; Wu, Y. Synthesis, crystal structure, photophysical property and bioimaging application of a series of Zn(II) terpyridine complexes. J. Mol. Struct. 2019, 1194, 157–162. [Google Scholar] [CrossRef]
- Chai, J.-D.; Head-Gordon, M. Long-range corrected hybrid density functionals with damped atom–atom dispersion corrections. Phys. Chem. Chem. Phys. 2008, 10, 6615–6620. [Google Scholar] [CrossRef]
- Hay, P.J.; Wadt, W.R. Ab initio effective core potentials for molecular calculations. Potentials for K to Au including the outermost core orbitals. J. Chem. Phys. 1985, 82, 299–310. [Google Scholar] [CrossRef]
- Hay, P.J.; Wadt, W.R. Ab initio effective core potentials for molecular calculations. Potentials for the transition metal atoms Sc to Hg. J. Chem. Phys. 1985, 82, 270–283. [Google Scholar] [CrossRef]
- Wadt, W.R.; Hay, P.J. Ab initio effective core potentials for molecular calculations. Potentials for main group elements Na to Bi. J. Chem. Phys. 1985, 82, 284–298. [Google Scholar] [CrossRef]
- Frisch, M.J.; Trucks, G.W.; Schlegel, H.B.; Scuseria, G.E.; Robb, M.A.; Cheeseman, J.R.; Scalmani, G.; Barone, V.; Mennucci, B.; Petersson, G.A.; et al. Gaussian 09, Revision B.01; Gaussian, Inc.: Wallingford, CT, USA, 2010. [Google Scholar]
- Frisch, M.J.; Trucks, G.W.; Schlegel, H.B.; Scuseria, G.E.; Robb, M.A.; Cheeseman, J.R.; Scalmani, G.; Barone, V.; Petersson, G.A.; Nakatsuji, H.; et al. Gaussian 16, Revision B.01; Gaussian, Inc.: Wallingford, CT, USA, 2016. [Google Scholar]
- Lu, T.; Chen, F. Multiwfn: A multifunctional wavefunction analyzer. J. Comput. Chem. 2012, 33, 580–592. [Google Scholar] [CrossRef] [PubMed]














| Entry | Lewis Base | ZnI2 | SO Conversion (%) | SC Yield (%) |
|---|---|---|---|---|
| 1 | HIm | - | 46 | 45 |
| 2 | 1M-Im | - | 41 | 40 |
| 3 | 2M-HIm | - | 54 | 53 |
| 4 | Bz-HIm | - | 31 | 31 |
| 5 | 2I-1M-Im | - | 100 | 99 |
| 6 | - | 1.0 mol% | 85 | 21 |
| 7 | HIm | 1.0 mol% | 99 | 98 |
| Catalyst | EA1 (kcal/mol) a | EA2 (kcal/mol) b |
|---|---|---|
| HIm | 30.33 | 28.09 |
| 1M-Im | 28.46 | 29.75 |
| 2M-HIm | 28.92 | 24.93 |
| Bz-HIm | 30.26 | 29.09 |
| 2I-1M-Im | 30.45 | 16.76 |
Disclaimer/Publisher’s Note: The statements, opinions and data contained in all publications are solely those of the individual author(s) and contributor(s) and not of MDPI and/or the editor(s). MDPI and/or the editor(s) disclaim responsibility for any injury to people or property resulting from any ideas, methods, instructions or products referred to in the content. |
© 2022 by the authors. Licensee MDPI, Basel, Switzerland. This article is an open access article distributed under the terms and conditions of the Creative Commons Attribution (CC BY) license (https://creativecommons.org/licenses/by/4.0/).
Share and Cite
Sebaaly, A.P.; Dias, H.; Christ, L.; Merzoud, L.; Chermette, H.; Hoffmann, G.; Morell, C. Insight into the Varying Reactivity of Different Catalysts for CO2 Cycloaddition into Styrene Oxide: An Experimental and DFT Study. Int. J. Mol. Sci. 2023, 24, 2123. https://doi.org/10.3390/ijms24032123
Sebaaly AP, Dias H, Christ L, Merzoud L, Chermette H, Hoffmann G, Morell C. Insight into the Varying Reactivity of Different Catalysts for CO2 Cycloaddition into Styrene Oxide: An Experimental and DFT Study. International Journal of Molecular Sciences. 2023; 24(3):2123. https://doi.org/10.3390/ijms24032123
Chicago/Turabian StyleSebaaly, Angelo Pio, Hugo Dias, Lorraine Christ, Lynda Merzoud, Henry Chermette, Guillaume Hoffmann, and Christophe Morell. 2023. "Insight into the Varying Reactivity of Different Catalysts for CO2 Cycloaddition into Styrene Oxide: An Experimental and DFT Study" International Journal of Molecular Sciences 24, no. 3: 2123. https://doi.org/10.3390/ijms24032123
APA StyleSebaaly, A. P., Dias, H., Christ, L., Merzoud, L., Chermette, H., Hoffmann, G., & Morell, C. (2023). Insight into the Varying Reactivity of Different Catalysts for CO2 Cycloaddition into Styrene Oxide: An Experimental and DFT Study. International Journal of Molecular Sciences, 24(3), 2123. https://doi.org/10.3390/ijms24032123

