First Gallium and Indium Crystal Structures of Curcuminoid Homoleptic Complexes: All-Different Ligand Stereochemistry and Cytotoxic Potential
Abstract
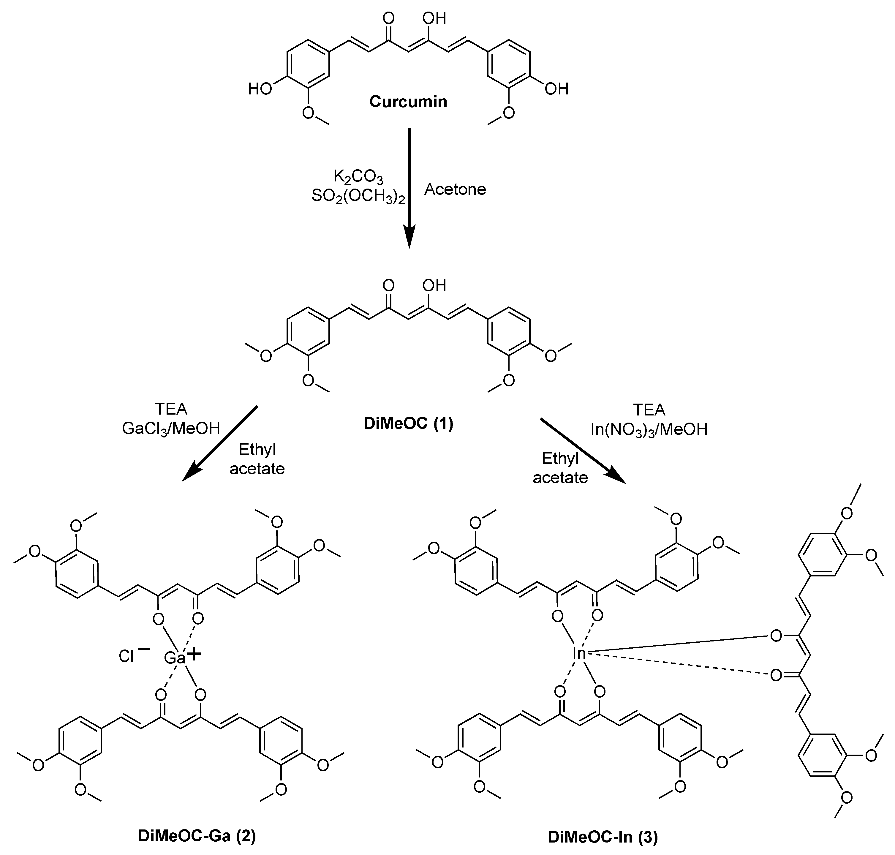
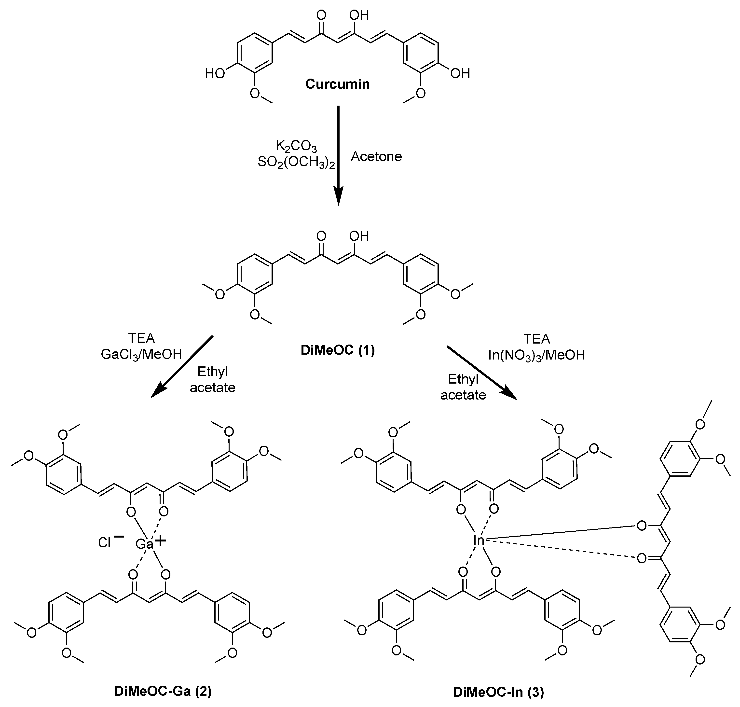
:1. Introduction
2. Results
3. Discussion
3.1. DRX Single Crystal
3.2. NMR Solid State
3.3. NMR Liquid State
3.4. Optical Properties
3.5. IR Spectroscopy
3.6. Stability Studies
3.7. Cytotoxic Activity in Human Tumor Cells
4. Materials and Methods
Synthetic Procedures
5. Conclusions
Supplementary Materials
Author Contributions
Funding
Institutional Review Board Statement
Informed Consent Statement
Data Availability Statement
Acknowledgments
Conflicts of Interest
References
- Bloor, L.G.; Carmalt, C.J.; Pugh, D. Single-Source Precursors to Gallium and Indium Oxide Thin Films. Coord. Chem. Rev. 2011, 255, 1293–1318. [Google Scholar] [CrossRef]
- Maher, J.P. 4 Aluminium, Gallium, Indium, and Thallium. Annu. Rep. Sect. A (Inorg. Chem.) 2001, 97, 49–60. [Google Scholar] [CrossRef]
- Tella, S.; Bekiari, V.; Kessler, V.G.; Papaefstathiou, G.S. Gallium(III) Complexes Based on N,N′-Bis(Salicylidene)Propane-1,3-Diamine and Its Derivatives. Polyhedron 2013, 64, 77–83. [Google Scholar] [CrossRef]
- Gebhard, M.; Hellwig, M.; Kroll, A.; Rogalla, D.; Winter, M.; Mallick, B.; Ludwig, A.; Wiesing, M.; Wieck, A.D.; Grundmeier, G.; et al. New Amidinate Complexes of Indium(iii): Promising CVD Precursors for Transparent and Conductive In2O3 Thin Films. Dalton Trans. 2017, 46, 10220–10231. [Google Scholar] [CrossRef] [PubMed]
- Pugh, D.; Bloor, L.G.; Sathasivam, S.; Parkin, I.P.; Carmalt, C.J. Gallium and Indium Β-Diketonate Complexes: AACVD of [In(Thd)3] and the Attempted Synthesis of Gallium and Indium Bis(Β-diketonates). Eur. J. Inorg. Chem. 2011, 2011, 1953–1960. [Google Scholar] [CrossRef]
- Cosham, S.D.; Hamilton, J.A.; Hill, M.S.; Johnson, A.L.; Molloy, K.C. Synthesis, Structure and Chemical Vapour Deposition Studies on the Group 13 Complexes [Me 2 M {tfacnac}] [M = Al, Ga, In; Htfacnac = F3CC(OH)CHC(CH3)NCH2CH2OCH3]. Eur. J. Inorg. Chem. 2016, 2016, 1712–1719. [Google Scholar] [CrossRef]
- Leitao, R.C.F.; Silva, F.; Ribeiro, G.H.; Santos, I.C.; Guerreiro, J.F.; Mendes, F.; Batista, A.A.; Pavan, F.R.; Da, S.; Maia, P.I.; et al. Gallium and Indium Complexes with Isoniazid-Derived Ligands: Interaction with Biomolecules and Biological Activity against Cancer Cells and Mycobacterium Tuberculosis. J. Inorg. Biochem. 2023, 240, 112091. [Google Scholar] [CrossRef]
- Chitambar, C.R. Gallium and Its Competing Roles with Iron in Biological Systems. Biochim. Biophys. Acta Mol. Cell Res. 2016, 1863, 2044–2053. [Google Scholar] [CrossRef]
- Asti, M.; Ferrari, E.; Croci, S.; Atti, G.; Rubagotti, S.; Iori, M.; Capponi, P.C.; Zerbini, A.; Saladini, M.; Versari, A. Synthesis and Characterization of (68)Ga-Labeled Curcumin and Curcuminoid Complexes as Potential Radiotracers for Imaging of Cancer and Alzheimer’s Disease. Inorg. Chem. 2014, 53, 4922–4933. [Google Scholar] [CrossRef]
- Rubagotti, S.; Croci, S.; Ferrari, E.; Orteca, G.; Iori, M.; Capponi, P.C.; Versari, A.; Asti, M. Uptake of Ga-Curcumin Derivatives in Different Cancer Cell Lines: Toward the Development of New Potential 68Ga-Labelled Curcuminoids-Based Radiotracers for Tumour Imaging. J. Inorg. Biochem. 2017, 173, 113–119. [Google Scholar] [CrossRef]
- Rubagotti, S.; Croci, S.; Ferrari, E.; Iori, M.; Capponi, P.; Lorenzini, L.; Calzà, L.; Versari, A.; Asti, M. Affinity of Nat/68Ga-Labelled Curcumin and Curcuminoid Complexes for β-Amyloid Plaques: Towards the Development of New Metal-Curcumin Based Radiotracers. Int. J. Mol. Sci. 2016, 17, 1480. [Google Scholar] [CrossRef]
- Mohammadi, K.; Thompson, K.H.; Patrick, B.O.; Storr, T.; Martins, C.; Polishchuk, E.; Yuen, V.G.; McNeill, J.H.; Orvig, C. Synthesis and Characterization of Dual Function Vanadyl, Gallium and Indium Curcumin Complexes for Medicinal Applications. J. Inorg. Biochem. 2005, 99, 2217–2225. [Google Scholar] [CrossRef] [PubMed]
- Wadas, T.J.; Wong, E.H.; Weisman, G.R.; Anderson, C.J. Coordinating Radiometals of Copper, Gallium, Indium, Yttrium, and Zirconium for PET and SPECT Imaging of Disease. Chem. Rev. 2010, 110, 2858–2902. [Google Scholar] [CrossRef] [PubMed]
- Arenaza-Corona, A.; Obregón-Mendoza, M.A.; Meza-Morales, W.; Ramírez-Apan, M.T.; Nieto-Camacho, A.; Toscano, R.A.; Pérez-González, L.L.; Sánchez-Obregón, R.; Enríquez, R.G. The Homoleptic Curcumin–Copper Single Crystal (ML2): A Long Awaited Breakthrough in the Field of Curcumin Metal Complexes. Molecules 2023, 28, 6033. [Google Scholar] [CrossRef]
- Meza-Morales, W.; Alvarez-Ricardo, Y.; Obregón-Mendoza, M.A.; Arenaza-Corona, A.; Ramírez-Apan, M.T.; Toscano, R.A.; Poveda-Jaramillo, J.C.; Enríquez, R.G. Three New Coordination Geometries of Homoleptic Zn Complexes of Curcuminoids and Their High Antiproliferative Potential. RSC Adv. 2023, 13, 8577–8585. [Google Scholar] [CrossRef] [PubMed]
- Meza-Morales, W.; Alejo-Osorio, Y.; Alvarez-Ricardo, Y.; Obregón-Mendoza, M.A.; Machado-Rodriguez, J.C.; Arenaza-Corona, A.; Toscano, R.A.; Ramírez-Apan, M.T.; Enríquez, R.G. Homoleptic Complexes of Heterocyclic Curcuminoids with Mg(II) and Cu(II): First Conformationally Heteroleptic Case, Crystal Structures, and Biological Properties. Molecules 2023, 28, 1434. [Google Scholar] [CrossRef] [PubMed]
- Halevas, E.; Arvanitidou, M.; Mavroidi, B.; Hatzidimitriou, A.G.; Politopoulos, K.; Alexandratou, E.; Pelecanou, M.; Sagnou, M. A Novel Curcumin Gallium Complex as Photosensitizer in Photodynamic Therapy: Synthesis, Structural and Physicochemical Characterization, Photophysical Properties and in Vitro Studies against Breast Cancer Cells. J. Mol. Struct. 2021, 1240, 130485. [Google Scholar] [CrossRef]
- Annaraj, J.; Srinivasan, S.; Ponvel, K.M.; Athappan, P. Mixed Ligand Copper(II) Complexes of Phenanthroline/Bipyridyl and Curcumin Diketimines as DNA Intercalators and Their Electrochemical Behavior under Nafion® and Clay Modified Electrodes. J. Inorg. Biochem. 2005, 99, 669–676. [Google Scholar] [CrossRef]
- Wanninger, S.; Lorenz, V.; Subhan, A.; Edelmann, F.T. Metal Complexes of Curcumin—Synthetic Strategies, Structures and Medicinal Applications. Chem. Soc. Rev. 2015, 44, 4986. [Google Scholar] [CrossRef]
- Govil, N.; Jana, B. A Review on Aluminum, Gallium and Indium Complexes of (Ph2Nacnac) Ligand. Inorganica Chim. Acta 2021, 515, 120037. [Google Scholar] [CrossRef]
- Beachley, O.T.; Gardinier, J.R.; Churchill, M.R.; Toomey, L.M. Diorganogallium β-Diketonates and Their Lewis Acid−Base Adducts. Crystal and Molecular Structures of Mes2 Ga(Hfac) and Me2 Ga(Hfac)·NC5 H5. Organometallics 1998, 17, 1101–1108. [Google Scholar] [CrossRef]
- Heras, B.L.; Amesty, Á.; Estévez-Braun, A.; Hortelano, S. Metal Complexes of Natural Product Like-Compounds with Antitumor Activity. Anticancer Agents Med. Chem. 2019, 19, 48–65. [Google Scholar] [CrossRef]
- Nelson, K.M.; Dahlin, J.L.; Bisson, J.; Graham, J.; Pauli, G.F.; Walters, M.A. The Essential Medicinal Chemistry of Curcumin: Miniperspective. J. Med. Chem. 2017, 60, 1620–1637. [Google Scholar] [CrossRef]
- El-Saadony, M.T.; Yang, T.; Korma, S.A.; Sitohy, M.; Abd El-Mageed, T.A.; Selim, S.; Al Jaouni, S.K.; Salem, H.M.; Mahmmod, Y.; Soliman, S.M.; et al. Impacts of Turmeric and Its Principal Bioactive Curcumin on Human Health: Pharmaceutical, Medicinal, and Food Applications: A Comprehensive Review. Front. Nutr. 2023, 9, 1040259. [Google Scholar] [CrossRef]
- Kunnumakkara, A.B.; Bordoloi, D.; Padmavathi, G.; Monisha, J.; Roy, N.K.; Prasad, S.; Aggarwal, B.B. Curcumin, the Golden Nutraceutical: Multitargeting for Multiple Chronic Diseases. British J. Pharmacol. 2017, 174, 1325–1348. [Google Scholar] [CrossRef] [PubMed]
- Teymouri, M.; Barati, N.; Pirro, M.; Sahebkar, A. Biological and Pharmacological Evaluation of Dimethoxycurcumin: A Metabolically Stable Curcumin Analogue with a Promising Therapeutic Potential. J. Cell. Physiol. 2018, 233, 124–140. [Google Scholar] [CrossRef] [PubMed]
- Tamvakopoulos, C.; Dimas, K.; Sofianos, Z.D.; Hatziantoniou, S.; Han, Z.; Liu, Z.-L.; Wyche, J.H.; Pantazis, P. Metabolism and Anticancer Activity of the Curcumin Analogue, Dimethoxycurcumin. Clin. Cancer Res. 2007, 13, 1269–1277. [Google Scholar] [CrossRef]
- Beachley, O.T.; Gardinier, J.R.; Churchill, M.R. Gallium (II) Compounds Stabilized by β-Diketonate Ligands: Synthesis, Characterization, and X-ray Structural Studies of [GaCl(Acac)]2 and [GaCl(Tmhd)]2. Organometallics 2000, 19, 4544–4549. [Google Scholar] [CrossRef]
- Gotō, H.; Ōsawa, E. An Efficient Algorithm for Searching Low-Energy Conformers of Cyclic and Acyclic Molecules. J. Chem. Soc. Perkin Trans. 1993, 2, 187–198. [Google Scholar] [CrossRef]
- Galer, P.; Golobič, A.; Koller, J.; Košmrlj, B.; Šket, B. Structures in Solid State and Solution of Dimethoxy Curcuminoids: Regioselective Bromination and Chlorination. Chem. Cent. J. 2013, 7, 107. [Google Scholar] [CrossRef] [PubMed]
- Kühlwein, F.; Polborn, K.; Beck, W. Metallkomplexe von Farbstoffen. X. Neue Übergangsmetallkomplexe von Anthrachinonfarbstoffen. Anorg. Allg. Chem. 1997, 623, 1931–1944. [Google Scholar] [CrossRef]
- Meza-Morales, W.; Estévez-Carmona, M.M.; Alvarez-Ricardo, Y.; Obregón-Mendoza, M.A.; Cassani, J.; Ramírez-Apan, M.T.; Escobedo-Martínez, C.; Soriano-García, M.; Reynolds, W.F.; Enríquez, R.G. Full Structural Characterization of Homoleptic Complexes of Diacetylcurcumin with Mg, Zn, Cu, and Mn: Cisplatin-Level Cytotoxicity in Vitro with Minimal Acute Toxicity in Vivo. Molecules 2019, 24, 1598. [Google Scholar] [CrossRef]
- Moon, D.; Lee, C.-S.; Choi, J.-H. Two Conformational Isomers in a Crystal of Trans-Dibromobis(2,2-Dimethyl-1,3-Propanediamine)Chromium(III) Bromide. J. Chem. Crystallogr. 2014, 44, 306–311. [Google Scholar] [CrossRef]
- Choi, J.-H.; Suzuki, T.; Kaizaki, S. Bis[ Trans-Dibromo(2,2-Dimethylpropane-1,3-Diamine-κ2N,N′)Chromium(III)] Dibromide Hydrogen Perchlorate Hexahydrate. Acta Crystallogr. C Cryst. Struct. Commun. 2002, 58, m539–m541. [Google Scholar] [CrossRef] [PubMed]
- Choi, J.-H.; Clegg, W.; Nichol, G.S.; Lee, S.H.; Park, Y.C.; Habibi, M.H. Structural and Spectroscopic Properties of Trans-Dichlorobis(2,2-Dimethyl-1,3-Diaminopropane)Chromium(III) Chloride. Spectrochim. Acta A Mol. Biomol. Spectrosc. 2007, 68, 796–801. [Google Scholar] [CrossRef]
- Pham, C.T.; Pham, T.T.; Nguyen, H.H.; Trieu, T.N. Syntheses, Structures, and Bioactivities Evaluation of Some Transition Metal Complexes with 4,4′-Diacetylcurcumin. Z. Anorg. Allg. Chem. 2020, 646, 495–499. [Google Scholar] [CrossRef]
- John, V.D.; Krishnankutty, K. Antitumour Activity of Synthetic Curcuminoid Analogues (1,7-Diaryl-1,6-Heptadiene-3,5-Diones) and Their Copper Complexes. Appl. Organometal. Chem. 2006, 20, 477–482. [Google Scholar] [CrossRef]
- Rajesh, J.; Gubendran, A.; Rajagopal, G.; Athappan, P. Synthesis, Spectra and DNA Interactions of Certain Mononuclear Transition Metal(II) Complexes of Macrocyclic Tetraaza Diacetyl Curcumin Ligand. J. Mol. Struct. 2012, 1010, 169–178. [Google Scholar] [CrossRef]
- Xu, G.; Wang, J.; Si, G.; Wang, M.; Wu, B.; Zhou, S. Two-Photon Absorption and Cell Imaging of Two Multi-Branched Dyes Based on Curcumin. Dye. Pigment. 2015, 123, 267–273. [Google Scholar] [CrossRef]
- Badaruddin, E.; Aiyub, Z.; Abdullah, Z. Fluorescence Properties of Metal Complexes of 2-n Anilinopyrimidine. Malays. J. Anal. Sci. 2008, 12, 285–290. [Google Scholar]
- Aiyub, Z.; Abdullah, Z.; Yaakob, B.H.; Abu Bakar, M.A. Fluorescence Characteristic of 2-Chloropyrazine: Effect of Solvents and Concentration of Cu(II). Malays. J. Anal. Sci. 2007, 11, 105–109. [Google Scholar]
- Prado, V.S.; Leitao, R.C.F.; Silva, F.; Gano, L.; Santos, I.C.; Marques, F.L.N.; Paulo, A.; Deflon, V.M. Gallium and Indium Complexes with New Hexadentate Bis(Semicarbazone) and Bis(Thiosemicarbazone) Chelators. Dalton Trans. 2021, 50, 1631–1640. [Google Scholar] [CrossRef] [PubMed]
- Machado, I.; Marino, L.B.; Demoro, B.; Echeverría, G.A.; Piro, O.E.; Leite, C.Q.F.; Pavan, F.R.; Gambino, D. Bioactivity of Pyridine-2-Thiolato-1-Oxide Metal Complexes: Bi(III), Fe(III) and Ga(III) Complexes as Potent Anti-Mycobacterium Tuberculosis Prospective Agents. Eur. J. Med. Chem. 2014, 87, 267–273. [Google Scholar] [CrossRef] [PubMed]
- Jagannathan, R.; Abraham, P.M.; Poddar, P. Temperature-Dependent Spectroscopic Evidences of Curcumin in Aqueous Medium: A Mechanistic Study of Its Solubility and Stability. J. Phys. Chem. B 2012, 116, 14533–14540. [Google Scholar] [CrossRef]
- Monga, V.; Patrick, B.O.; Orvig, C. Group 13 and Lanthanide Complexes with Mixed O, S Anionic Ligands Derived from Maltol. Inorg. Chem. 2005, 44, 2666–2677. [Google Scholar] [CrossRef]
- Harris, W.R.; Messori, L. A Comparative Study of Aluminum(III), Gallium(III), Indium(III), and Thallium(III) Binding to Human Serum Transferrin. Coord. Chem. Rev. 2002, 228, 237–262. [Google Scholar] [CrossRef]
- Moran, P.L.; Seligman, P.A. Effects of Transferrin-Indium on Cellular Proliferation of a Human Leukemia Cell Line. Cancer Res. 1989, 49, 4237–4241. [Google Scholar]
- Chitambar, C.R. Gallium-Containing Anticancer Compounds. Future Med. Chem. 2012, 4, 1257–1272. [Google Scholar] [CrossRef]
- Zhou, S.-H.; Liao, W.-H.; Yang, Y.; Li, W.; Wu, Y.; Wu, T.-T.; Deng, S.-H.; Zhou, J.; Li, Z.; Zhao, Q.-H.; et al. (8-Hydroxyquinoline) Gallium(III) Complex with High Antineoplastic Efficacy for Treating Colon Cancer via Multiple Mechanisms. ACS Omega 2023, 8, 6945–6958. [Google Scholar] [CrossRef]
- Jahangoshaei, P.; Hassani, L.; Mohammadi, F.; Hamidi, A.; Mohammadi, K. Investigating the Effect of Gallium Curcumin and Gallium Diacetylcurcumin Complexes on the Structure, Function and Oxidative Stability of the Peroxidase Enzyme and Their Anticancer and Antibacterial Activities. J. Biol. Inorg. Chem. 2015, 20, 1135–1146. [Google Scholar] [CrossRef]
- Prasad, S.; DuBourdieu, D.; Srivastava, A.; Kumar, P.; Lall, R. Metal–Curcumin Complexes in Therapeutics: An Approach to Enhance Pharmacological Effects of Curcumin. Int. J. Mol. Sci. 2021, 22, 7094. [Google Scholar] [CrossRef] [PubMed]
- Monks, A.; Scudiero, D.; Skehan, P.; Shoemaker, R.; Paull, K.; Vistica, D.; Hose, C.; Langley, J.; Cronise, P.; Vaigro-Wolff, A.; et al. Feasibility of a High-Flux Anticancer Drug Screen Using a Diverse Panel of Cultured Human Tumor Cell Lines. JNCI J. Natl. Cancer Inst. 1991, 83, 757–766. [Google Scholar] [CrossRef] [PubMed]
- Van Meerloo, J.; Kaspers, G.J.L.; Cloos, J. Cell Sensitivity Assays: The MTT Assay. In Cancer Cell Culture; Cree, I.A., Ed.; Methods in Molecular Biology; Humana Press: Totowa, NJ, USA, 2011; Volume 731, pp. 237–245. ISBN 978-1-61779-079-9. [Google Scholar]
- Concepción Lozada, M.; Soria-Arteche, O.; Teresa Ramírez Apan, M.; Nieto-Camacho, A.; Enríquez, R.G.; Izquierdo, T.; Jiménez-Corona, A. Synthesis, Cytotoxic and Antioxidant Evaluations of Amino Derivatives from Perezone. Bioorganic Med. Chem. 2012, 20, 5077–5084. [Google Scholar] [CrossRef] [PubMed]





| Compounds | δ (ppm) of Methine Proton in DMSO-d6 |
|---|---|
| DiMeOC | 6.10 |
| (DiMeOC)2-Ga | 6.04 |
| (DiMeOC)3-In | 5.97 |
| Compounds | CT | εmax (L/cm mol) | π-π* | εmax (L/cm mol) | Abs lmax | IF lmax | Φ a |
|---|---|---|---|---|---|---|---|
| DiMeOC | - | - | 404 | 16,253.63 | 404 | 549 | 0.01558 |
| (DiMeOC)2-Ga | 473 | 10,327.02 | 392 | 12,048.19 | 392 | 558 | 0.00524 |
| (DiMeOC)3-In | 421 | 18,866.11 | 355 | 29,274.99 | 356 | 547 | 0.00498 |
| Compounds | U251 | PC-3 | K562 | HCT15 | MCF7 | SKLU-1 | COS-7 |
|---|---|---|---|---|---|---|---|
| Curcumin | 20.5 ± 1.7 | 22.5 ± 1.9 | 16.4 ± 0.04 | 21.3 ± 0.9 | 18.4 ± 0.9 | 12.9 ± 0.7 | 21.8 ± 2.1 |
| DiMeOC | 2.02 ± 0.07 | 5.9 ± 0.6 | 6.5 ± 1.4 | 6.6 ± 0.3 | 6.9 ± 1.0 | 7.2 ± 0.4 | 2.02 ± 0.07 |
| (DiMeOC)2-Ga | 5.3 ± 0.1 | 10.5 ± 0.3 | 2.0 ± 0.2 | - | 15.5 ± 0.4 | - | 23.2 ± 1.9 |
| (DiMeOC)3-In | 6.3 ± 0.6 | 7.6 ± 0.05 | - | 7.9 ± 0.2 | 9.7 ± 0.4 | 6.2 ± 0.4 | - |
| Cisplatin | 4.7 ± 0.4 | 8.94 ± 0.9 | 8.6 ± 0.9 | 10.0 ± 0.9 | 9.4 ± 1.0 | 4.3 ± 0.5 | 7.2 ± 0.6 |
Disclaimer/Publisher’s Note: The statements, opinions and data contained in all publications are solely those of the individual author(s) and contributor(s) and not of MDPI and/or the editor(s). MDPI and/or the editor(s) disclaim responsibility for any injury to people or property resulting from any ideas, methods, instructions or products referred to in the content. |
© 2023 by the authors. Licensee MDPI, Basel, Switzerland. This article is an open access article distributed under the terms and conditions of the Creative Commons Attribution (CC BY) license (https://creativecommons.org/licenses/by/4.0/).
Share and Cite
Meza-Morales, W.; Alvarez-Ricardo, Y.; Pérez-González, L.L.; Tavera-Hernández, R.; Ramírez-Apan, M.T.; Toscano, R.A.; Sánchez-Obregón, R.; Obregón-Mendoza, M.A.; Enríquez, R.G. First Gallium and Indium Crystal Structures of Curcuminoid Homoleptic Complexes: All-Different Ligand Stereochemistry and Cytotoxic Potential. Int. J. Mol. Sci. 2023, 24, 16324. https://doi.org/10.3390/ijms242216324
Meza-Morales W, Alvarez-Ricardo Y, Pérez-González LL, Tavera-Hernández R, Ramírez-Apan MT, Toscano RA, Sánchez-Obregón R, Obregón-Mendoza MA, Enríquez RG. First Gallium and Indium Crystal Structures of Curcuminoid Homoleptic Complexes: All-Different Ligand Stereochemistry and Cytotoxic Potential. International Journal of Molecular Sciences. 2023; 24(22):16324. https://doi.org/10.3390/ijms242216324
Chicago/Turabian StyleMeza-Morales, William, Yair Alvarez-Ricardo, Leidys L. Pérez-González, Rosario Tavera-Hernández, María Teresa Ramírez-Apan, Rubén A. Toscano, Rubén Sánchez-Obregón, Marco A. Obregón-Mendoza, and Raúl G. Enríquez. 2023. "First Gallium and Indium Crystal Structures of Curcuminoid Homoleptic Complexes: All-Different Ligand Stereochemistry and Cytotoxic Potential" International Journal of Molecular Sciences 24, no. 22: 16324. https://doi.org/10.3390/ijms242216324
APA StyleMeza-Morales, W., Alvarez-Ricardo, Y., Pérez-González, L. L., Tavera-Hernández, R., Ramírez-Apan, M. T., Toscano, R. A., Sánchez-Obregón, R., Obregón-Mendoza, M. A., & Enríquez, R. G. (2023). First Gallium and Indium Crystal Structures of Curcuminoid Homoleptic Complexes: All-Different Ligand Stereochemistry and Cytotoxic Potential. International Journal of Molecular Sciences, 24(22), 16324. https://doi.org/10.3390/ijms242216324

