Expanded Substrate Specificity in D-Amino Acid Transaminases: A Case Study of Transaminase from Blastococcus saxobsidens
Abstract
:1. Introduction
2. Results
2.1. Identification, Expression, and Purification of BlasaTA
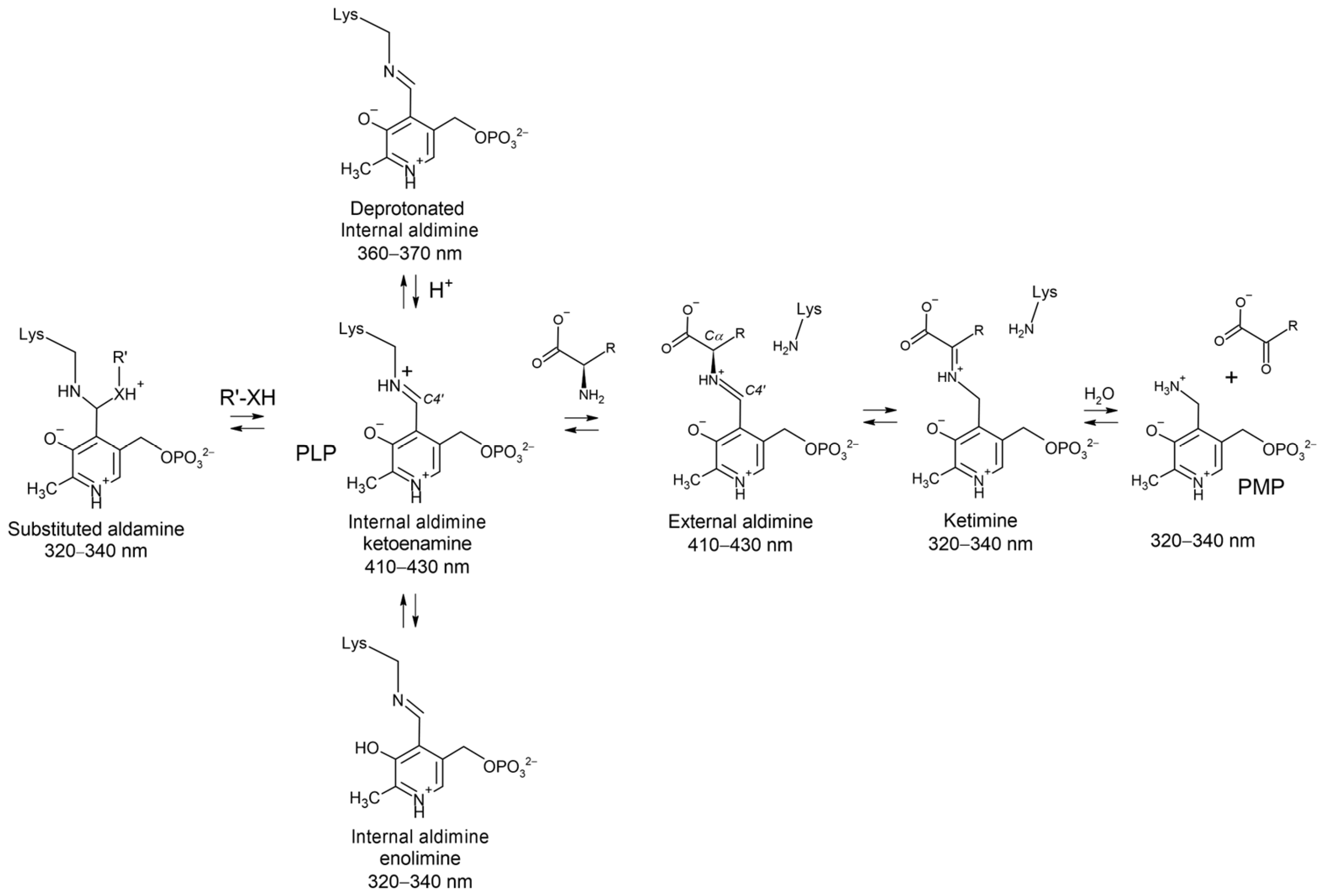
2.2. Spectroscopic Features of BlasaTA
2.3. Substrate Scope and Analysis of the Overall Transamination Reaction
2.4. Analysis of the Affinity of BlasaTA for Various Substrates Using Half-Reaction Assay
| Amino Donor | Structure | 50 mM K-Phosphate Buffer, pH 8.0 | 50 mM CHES Buffer, pH 9.0 | pKa of the Amino Group | ||||
|---|---|---|---|---|---|---|---|---|
| kmax, s−1 | KD, mM | kmax/KD, M−1 s−1 | kmax, s−1 | KD, mM | kmax/KD, M−1 s−1 | |||
| Glycine | ![]() | 0.072 ± 0.004 | 7 ± 1 | 10 ± 2 | 0.14 ± 0.01 | 4.5 ± 0.6 | 31 ± 6 | 9.78 [41] |
| D-Valine | ![]() | 0.22 ± 0.01 | 204 ± 7 | 1.07 ± 0.06 | 0.69 ± 0.06 | 360 ± 60 | 1.9 ± 0.4 | 9.74 [41] |
| D-Phenylalanine | ![]() | 0.171 ± 0.005 | 32 ± 2 | 5.3 ± 0.5 | 0.71 ± 0.03 | 67 ± 5 | 11 ± 1 | 9.09 [43] |
| (R)-1-Phenylethyl amine | ![]() | 0.0044 ± 0.0001 | 19 ± 2 | 0.23 ± 0.03 | 0.43 ± 0.02 | 180 ± 20 | 2.3 ± 0.3 | 9.41[44] |
| (R)-1-Phenylpropylamine | ![]() | 0.000243 ± 0.000004 | 6.1 ± 0.3 | 0.040 ± 0.008 | - | >45 * | 0.20 ± 0.01 | 9.56 ** |
| Phenylhydrazine | ![]() | 1.19 ± 0.01 | 31 ± 1 | 38 ± 2 | 0.77 ± 0.03 | 47 ± 5 | 16 ± 2 | 5.21 [45] |
2.5. Organization of the Functional Dimer of BlasaTA
2.6. Organization of the Active Site of Holoenzyme and Complex with Phenylhydrazine
3. Discussion
4. Materials and Methods
4.1. Cloning, Expression, and Purification of the Recombinant BlasaTA
4.2. Half-Transamination Reaction Assay
4.3. Enzyme Activity Assay
4.4. Effects of pH and Temperature on the Overall Transamination Reaction
4.5. Determination of Kinetic Parameters of the Overall Transamination Reactions
4.6. Analysis of the Product Yield and Enantiomeric Excess in the Transamination Reaction
4.7. Crystallization and Data Collection
4.8. Structure Solution and Refinement
4.9. Structure Analysis and Validation
5. Conclusions
Supplementary Materials
Author Contributions
Funding
Institutional Review Board Statement
Informed Consent Statement
Data Availability Statement
Acknowledgments
Conflicts of Interest
References
- Fersht, A. Enzyme Structure and Mechanism; W. H. Freema: New York, NY, USA, 1977. [Google Scholar]
- Bell, E.L.; Finnigan, W.; France, S.P.; Green, A.P.; Hayes, M.A.; Hepworth, L.J.; Lovelock, S.L.; Niikura, H.; Osuna, S.; Romero, E.; et al. Biocatalysis. Nat. Rev. Methods Prim. 2021, 1, 46. [Google Scholar] [CrossRef]
- Nam, H.; Lewis, N.E.; Lerman, J.A.; Lee, D.-H.; Chang, R.L.; Kim, D.; Palsson, B.O. Network Context and Selection in the Evolution to Enzyme Specificity. Science 2012, 337, 1101–1104. [Google Scholar] [CrossRef] [PubMed]
- Carbonell, P.; Lecointre, G.; Faulon, J.-L. Origins of Specificity and Promiscuity in Metabolic Networks. J. Biol. Chem. 2011, 286, 43994–44004. [Google Scholar] [CrossRef]
- Copley, S.D. Toward a Systems Biology Perspective on Enzyme Evolution. J. Biol. Chem. 2012, 287, 3–10. [Google Scholar] [CrossRef] [PubMed]
- Eliot, A.C.; Kirsch, J.F. Pyridoxal Phosphate Enzymes: Mechanistic, Structural, and Evolutionary Considerations. Annu. Rev. Biochem. 2004, 73, 383–415. [Google Scholar] [CrossRef] [PubMed]
- Koper, K.; Han, S.-W.; Pastor, D.C.; Yoshikuni, Y.; Maeda, H.A. Evolutionary Origin and Functional Diversification of Aminotransferases. J. Biol. Chem. 2022, 298, 102122. [Google Scholar] [CrossRef]
- Liang, J.; Han, Q.; Tan, Y.; Ding, H.; Li, J. Current Advances on Structure-Function Relationships of Pyridoxal 5′-Phosphate-Dependent Enzymes. Front. Mol. Biosci. 2019, 6, 4. [Google Scholar] [CrossRef]
- Kirsch, J.F.; Eichele, G.; Ford, G.C.; Vincent, M.G.; Jansonius, J.N.; Gehring, H.; Christen, P. Mechanism of Action of Aspartate Aminotransferase Proposed on the Basis of Its Spatial Structure. J. Mol. Biol. 1984, 174, 497–525. [Google Scholar] [CrossRef]
- Braunstein, A.E. Amino Group Transfer. In The Enzymes; Boyer, P.D., Ed.; Academy Press: London, UK, 1973; pp. 379–481. [Google Scholar]
- Steffen-Munsberg, F.; Vickers, C.; Kohls, H.; Land, H.; Mallin, H.; Nobili, A.; Skalden, L.; van den Bergh, T.; Joosten, H.-J.; Berglund, P.; et al. Bioinformatic Analysis of a PLP-Dependent Enzyme Superfamily Suitable for Biocatalytic Applications. Biotechnol. Adv. 2015, 33, 566–604. [Google Scholar] [CrossRef]
- Schiroli, D.; Peracchi, A. A Subfamily of PLP-Dependent Enzymes Specialized in Handling Terminal Amines. Biochim. Biophys. Acta Proteins Proteom. 2015, 1854, 1200–1211. [Google Scholar] [CrossRef]
- Wu, S.; Snajdrova, R.; Moore, J.C.; Baldenius, K.; Bornscheuer, U.T. Biocatalysis: Enzymatic Synthesis for Industrial Applications. Angew. Chem. Int. Ed. 2021, 60, 88–119. [Google Scholar] [CrossRef] [PubMed]
- Rocha, J.F.; Pina, A.F.; Sousa, S.F.; Cerqueira, N.M.F.S.A. PLP-Dependent Enzymes as Important Biocatalysts for the Pharmaceutical, Chemical and Food Industries: A Structural and Mechanistic Perspective. Catal. Sci. Technol. 2019, 9, 4864–4876. [Google Scholar] [CrossRef]
- Hult, K.; Berglund, P. Enzyme Promiscuity: Mechanism and Applications. Trends Biotechnol. 2007, 25, 231–238. [Google Scholar] [CrossRef]
- Slabu, I.; Galman, J.L.; Lloyd, R.C.; Turner, N.J. Discovery, Engineering, and Synthetic Application of Transaminase Biocatalysts. ACS Catal. 2017, 7, 8263–8284. [Google Scholar] [CrossRef]
- Brundiek, H.; Höhne, M. Transaminases—A Biosynthetic Route for Chiral Amines. In Applied Biocatalysis: From Fundamental Science to Industrial Applications; Wiley-VCH Verlag GmbH & Co. KGaA: Weinheim, Germany, 2016; pp. 199–218. ISBN 9783527677122. [Google Scholar]
- Grishin, N.V.; Phillips, M.A.; Goldsmith, E.J. Modeling of the Spatial Structure of Eukaryotic Ornithine Decarboxylases. Protein Sci. 1995, 4, 1291–1304. [Google Scholar] [CrossRef]
- Gehring, H.; Christen, P.; Eichele, G.; Glor, M.; Jansonius, J.N.; Reimer, A.S.; Smit, J.D.; Thaller, C. Isolation, Crystallization and Preliminary Crystallographic Data of Aspartate Aminotransferase from Chicken Heart Mitochondria. J. Mol. Biol. 1977, 115, 97–101. [Google Scholar] [CrossRef]
- Okada, K.; Hirotsu, K.; Hayashi, H.; Kagamiyama, H. Structures of Escherichia Coli Branched-Chain Amino Acid Aminotransferase and Its Complexes with 4-Methylvalerate and 2-Methylleucine: Induced Fit and Substrate Recognition of the Enzyme. Biochemistry 2001, 40, 7453–7463. [Google Scholar] [CrossRef]
- Sugio, S.; Petsko, G.A.; Manning, J.M.; Soda, K.; Ringe, D. Crystal Structure of a D-Amino Acid Aminotransferase: How the Protein Controls Stereoselectivity. Biochemistry 1995, 34, 9661–9669. [Google Scholar] [CrossRef]
- Thomsen, M.; Skalden, L.; Palm, G.J.; Höhne, M.; Bornscheuer, U.T.; Hinrichs, W. Crystallographic Characterization of the (R)-Selective Amine Transaminase from Aspergillus Fumigatus. Acta Crystallogr. D. Biol. Crystallogr. 2014, 70, 1086–1093. [Google Scholar] [CrossRef]
- Bezsudnova, E.Y.; Popov, V.O.; Boyko, K.M. Structural Insight into the Substrate Specificity of PLP Fold Type IV Transaminases. Appl. Microbiol. Biotechnol. 2020, 104, 2343–2357. [Google Scholar] [CrossRef]
- Höhne, M.; Schätzle, S.; Jochens, H.; Robins, K.; Bornscheuer, U.T. Rational Assignment of Key Motifs for Function Guides in Silico Enzyme Identification. Nat. Chem. Biol. 2010, 6, 807–813. [Google Scholar] [CrossRef] [PubMed]
- Pavkov-Keller, T.; Strohmeier, G.A.; Diepold, M.; Peeters, W.; Smeets, N.; Schürmann, M.; Gruber, K.; Schwab, H.; Steiner, K. Discovery and Structural Characterisation of New Fold Type IV-Transaminases Exemplify the Diversity of This Enzyme Fold. Sci. Rep. 2016, 6, 38183. [Google Scholar] [CrossRef]
- Bezsudnova, E.Y.; Dibrova, D.V.; Nikolaeva, A.Y.; Rakitina, T.V.; Popov, V.O. Identification of Branched-Chain Amino Acid Aminotransferases Active towards (R)-(+)-1-Phenylethylamine among PLP Fold Type IV Transaminases. J. Biotechnol. 2018, 271, 26–28. [Google Scholar] [CrossRef]
- Zeifman, Y.S.; Boyko, K.M.; Nikolaeva, A.Y.; Timofeev, V.I.; Rakitina, T.V.; Popov, V.O.; Bezsudnova, E.Y. Functional Characterization of PLP Fold Type IV Transaminase with a Mixed Type of Activity from Haliangium Ochraceum. Biochim. Biophys. Acta Proteins Proteom. 2019, 1867, 575–585. [Google Scholar] [CrossRef] [PubMed]
- Telzerow, A.; Paris, J.; Håkansson, M.; González-Sabín, J.; Ríos-Lombardía, N.; Gröger, H.; Morís, F.; Schürmann, M.; Schwab, H.; Steiner, K. Expanding the Toolbox of (R)-Selective Amine Transaminases by Identification and Characterization of New Members. ChemBioChem 2021, 22, 1232–1242. [Google Scholar] [CrossRef] [PubMed]
- Schätzle, S.; Steffen-Munsberg, F.; Thontowi, A.; Höhne, M.; Robins, K.; Bornscheuer, U.T. Enzymatic Asymmetric Synthesis of Enantiomerically Pure Aliphatic, Aromatic and Arylaliphatic Amines with (R)-Selective Amine Transaminases. Adv. Synth. Catal. 2011, 353, 2439–2445. [Google Scholar] [CrossRef]
- Iglesias, C.; Panizza, P.; Rodriguez Giordano, S. Identification, Expression and Characterization of an R-ω-Transaminase from Capronia Semiimmersa. Appl. Microbiol. Biotechnol. 2017, 101, 5677–5687. [Google Scholar] [CrossRef]
- Park, E.-S.; Dong, J.-Y.; Shin, J.-S. Active Site Model of (R)-Selective ω-Transaminase and Its Application to the Production of D-Amino Acids. Appl. Microbiol. Biotechnol. 2014, 98, 651–660. [Google Scholar] [CrossRef]
- Bezsudnova, E.Y.; Boyko, K.M.; Nikolaeva, A.Y.; Zeifman, Y.S.; Rakitina, T.V.; Suplatov, D.A.; Popov, V.O. Biochemical and Structural Insights into PLP Fold Type IV Transaminase from Thermobaculum Terrenum. Biochimie 2019, 158, 130–138. [Google Scholar] [CrossRef]
- Tanizawa, K.; Masu, Y.; Asano, S.; Tanaka, H.; Soda, K. Thermostable D-Amino Acid Aminotransferase from a Thermophilic Bacillus Species. J. Biol. Chem. 1989, 264, 2445–2449. [Google Scholar] [CrossRef]
- Peisach, D.; Chipman, D.M.; Van Ophem, P.W.; Manning, J.M.; Ringe, D. Crystallographic Study of Steps along the Reaction Pathway of D-Amino Acid Aminotransferase. Biochemistry 1998, 37, 4958–4967. [Google Scholar] [CrossRef]
- Bakunova, A.K.; Nikolaeva, A.Y.; Rakitina, T.V.; Isaikina, T.Y.; Khrenova, M.G.; Boyko, K.M.; Popov, V.O.; Bezsudnova, E.Y. The Uncommon Active Site of D-Amino Acid Transaminase from Haliscomenobacter Hydrossis: Biochemical and Structural Insights into the New Enzyme. Molecules 2021, 26, 5053. [Google Scholar] [CrossRef]
- Shilova, S.A.; Khrenova, M.G.; Matyuta, I.O.; Nikolaeva, A.Y.; Rakitina, T.V.; Klyachko, N.L.; Minyaev, M.E.; Boyko, K.M.; Popov, V.O.; Bezsudnova, E.Y. To the Understanding of Catalysis by D-Amino Acid Transaminases: A Case Study of the Enzyme from Aminobacterium Colombiense. Molecules 2023, 28, 2109. [Google Scholar] [CrossRef]
- Shilova, S.A.; Matyuta, I.O.; Khrenova, M.G.; Nikolaeva, A.Y.; Klyachko, N.L.; Minyaev, M.E.; Khomutov, A.R.; Boyko, K.M.; Popov, V.O.; Bezsudnova, E.Y. In Search for Structural Targets for Engineering D-Amino Acid Transaminase: Modulation of pH Optimum and Substrate Specificity. Biochem. J. 2023, 480, 1267–1284. [Google Scholar] [PubMed]
- Zhang, J.; Cheltsov, A.V.; Ferreira, G.C. Conversion of 5-Aminolevulinate Synthase into a More Active Enzyme by Linking the Two Subunits: Spectroscopic and Kinetic Properties. Protein Sci. 2005, 14, 1190–1200. [Google Scholar] [CrossRef] [PubMed]
- Vazquez Segura, M.A.; Donoso, J.; Muntoz, F.; Blanco, F.G.; Garciaa del Vado, M.A.; Echevarriaa, G. Photophysical Study of the Schiff Bases of 5′-Deoxypyridoxal and n-Hexylamine in Cationic Micelles. Photochem. Photobiol. 1994, 60, 399–404. [Google Scholar] [CrossRef] [PubMed]
- Arrio-Dupont, M. Etude Par Fluorescence De Bases De Schiff Du Pyridoxal, Comparaison Avec La L Aspartate-Aminotransferase. Photochem. Photobiol. 1970, 12, 297–315. [Google Scholar] [CrossRef]
- Hayashi, H.; Kagamiyama, H. Transient-State Kinetics of the Reaction of Aspartate Aminotransferase with Aspartate at Low pH Reveals Dual Routes in the Enzyme-Substrate Association Process. Biochemistry 1997, 36, 13558–13569. [Google Scholar] [CrossRef]
- Fasella, P.; Giartosio, A.; Hammes, G.G. The Interaction of Aspartate Aminotransferase with α-Methylaspartic Acid. Biochemistry 1966, 5, 197–202. [Google Scholar] [CrossRef]
- Haynes, W.M. CRC Handbook of Chemistry and Physics, 95th ed.; Haynes, W.M., Ed.; CRC Press: New York, NY, USA, 2015; ISBN 9781482208689 1482208687. [Google Scholar]
- Doeker, M.; Hüttche, V.; Jupke, A. Reactive Extraction for the Recovery of Primary Amines from Aqueous Streams. Sep. Purif. Technol. 2021, 277, 118229. [Google Scholar] [CrossRef]
- Conant, J.B.; Boyer, P.D. A Quantitative Study of Semicarbazone Formation. J. Am. Chem. Soc. 1932, 54, 2881–2899. [Google Scholar] [CrossRef]
- Skalden, L.; Thomsen, M.; Höhne, M.; Bornscheuer, U.T.; Hinrichs, W. Structural and Biochemical Characterization of the Dual Substrate Recognition of the (R)-Selective Amine Transaminase from Aspergillus Fumigatus. FEBS J. 2015, 282, 407–415. [Google Scholar] [CrossRef] [PubMed]
- Hirotsu, K.; Goto, M.; Okamoto, A.; Miyahara, I. Dual Substrate Recognition of Aminotransferases. Chem. Rec. 2005, 5, 160–172. [Google Scholar] [CrossRef] [PubMed]
- Martinez, C.R.; Iverson, B.L. Rethinking the Term “Pi-Stacking”. Chem. Sci. 2012, 3, 2191–2201. [Google Scholar] [CrossRef]
- Xiang, C.; Ao, Y.F.; Höhne, M.; Bornscheuer, U.T. Shifting the pH Optima of (R)-Selective Transaminases by Protein Engineering. Int. J. Mol. Sci. 2022, 23, 15347. [Google Scholar] [CrossRef] [PubMed]
- Chouaia, B.; Crotti, E.; Brusetti, L.; Daffonchio, D.; Essoussi, I.; Nouioui, I.; Sbissi, I.; Ghodhbane-Gtari, F.; Gtari, M.; Vacherie, B.; et al. Genome Sequence of Blastococcus Saxobsidens DD2, a Stone-Inhabiting Bacterium. J. Bacteriol. 2012, 194, 2752–2753. [Google Scholar] [CrossRef]
- Boyko, K.; Gorbacheva, M.; Rakitina, T.; Korzhenevskiy, D.; Vanyushkina, A.; Kamashev, D.; Lipkin, A.; Popov, V. Expression, Purification, Crystallization and Preliminary X-Ray Crystallographic Analysis of the Histone-like HU Protein from Spiroplasma Melliferum KC3. Acta Crystallogr. Sect. F Struct. Biol. Commun. 2015, 71, 24–27. [Google Scholar] [CrossRef]
- Winter, G.; Waterman, D.G.; Parkhurst, J.M.; Brewster, A.S.; Gildea, R.J.; Gerstel, M.; Fuentes-Montero, L.; Vollmar, M.; Michels-Clark, T.; Young, I.D.; et al. DIALS: Implementation and evaluation of a new integration package. Acta Crystallogr. Sect. D Struct. Biol. 2018, 74, 85–97. [Google Scholar] [CrossRef]
- Collaborative Computational Project N4. The CCP4 suite: Programs for protein crystallography, Acta Crystallogr. Sect. D Biol. Crystallogr. 1994, 50, 760–763. [CrossRef]
- Evans, P. Scaling and assessment of data quality. Acta Crystallogr. D Biol. Crystallogr. 2006, 62, 72–82. [Google Scholar] [CrossRef]
- Vagin, A.A.; Isupov, M.N. Spherically averaged phased translation function and its application to the search for molecules and fragments in electron-density maps. Acta Crystallogr. Sect. D Biol. Crystallogr. 2001, 57, 1451–1456. [Google Scholar] [CrossRef]
- Emsley, P.; Lohkamp, B.; Scott, W.G.; Cowtan, K. Features and development of Coot. Acta Crystallogr. Sect. D Biol. Crystallogr. 2010, 66, 486–501. [Google Scholar] [CrossRef] [PubMed]
- Krissinel, E.; Henrick, K. Secondary-Structure Matching (SSM), a New Tool for Fast Protein Structure Alignment in Three Dimensions. Acta Crystallogr. Sect. D Biol. Crystallogr. 2004, 60, 2256–2268. [Google Scholar] [CrossRef] [PubMed]
- Krissinel, E.; Henrick, K. Inference of Macromolecular Assemblies from Crystalline State. J. Mol. Biol. 2007, 372, 774–797. [Google Scholar] [CrossRef] [PubMed]
- Jurrus, E.; Engel, D.; Star, K.; Monson, K.; Brandi, J.; Felberg, L.E.; Brookes, D.H.; Wilson, L.; Chen, J.; Liles, K.; et al. Improvements to the APBS Biomolecular Solvation Software Suite. Protein Sci. 2018, 27, 112–128. [Google Scholar] [CrossRef]






| DAAT | Amino Acids Forming the Active Site |
|---|---|
| bsDAAT | 26FxxxxYxVxK35 … 88YxQ90 … 98RxH100 … 178GSSS181 … 240STTS243 |
| AmicoTA | 27RxxxxFxTxS36 … 88RxY90 … 99KxH101 … 173GSHS176 … 234GTVK237 |
| Halhy | 28RxxxxFxYxL37 … 90RxV92 … 99xxx101 … 177SARS180 … 238STIK243 |
| CpuTA | 46RxxxxFxTxA60 … 117KxI119 … 126xxx128 … 208GPTS211 … 270SSVR273 |
| BlasaTA | 34RxxxxFxSxA43 … 96RxF98 … 104xxx106 … 189GPTS192 … 251SGVR254 |
| Substrate | Co-Substrate | kcat, s−1 | Km, mM | kcat/Km, M−1 s−1 |
|---|---|---|---|---|
| 50 mM K-phosphate buffer, pH 8.0, 40 °C | ||||
| D-alanine | 5 mM α-ketoglutarate | 8.1 ± 0.3 | 2.0 ± 0.3 | 4000 ± 800 |
| α-ketoglutarate | 25 mM D-alanine | 8.1 ± 0.3 | 0.53 ± 0.06 | 15,300 ± 2300 |
| D-alanine | 100 mM 4-methyl-2-oxovalerate | 0.190 ± 0.004 | 0.14 ± 0.01 | 1360 ± 130 |
| 4-methyl-2-oxovalerate | 25 mM D-alanine | 0.190 ± 0.004 | 45 ± 2 | 4.2 ± 0.3 |
| D-glutamate | 15 mM pyruvate | 7.5 ± 0.3 | 0.40 ± 0.06 | 18,800 ± 3600 |
| pyruvate | 15 mM D-glutamate | 7.5 ± 0.3 | 1.6 ± 0.1 | 4700 ± 500 |
| D-glutamate | 100 mM 4-methyl-2-oxovalerate | 0.27 ± 0.01 | 0.19 ± 0.01 | 1400 ± 130 |
| 4-methyl-2-oxovalerate | 5 mM D-glutamate | 0.27 ± 0.01 | 56 ± 3 | 3.5 ± 0.3 |
| 50 mM CHES buffer, pH 9.0, 30°C | ||||
| (R)-PEA | 2 mM α-ketoglutarate | 0.053 ± 0.002 | 6.6 ± 0.4 | 8.0 ± 0.8 |
| α-ketoglutarate | 20 mM (R)-PEA | 0.053 ± 0.002 | 0.025 ± 0.003 | 2100 ± 300 |
| (R)-PEA | 2 mM pyruvate | 0.074 ± 0.003 | 8.0 ± 0.7 | 9 ± 1 |
| pyruvate | 20 mM (R)-PEA | 0.074 ± 0.003 | 0.027 ± 0.003 | 2700 ± 400 |
| (R)-PEA | 10 mM 4-methyl-2-oxovalerate | 0.032 ± 0.001 | 4.5 ± 0.4 | 7.1 ± 0.9 |
| 4-methyl-2-oxovalerate | 20 mM (R)-PEA | 0.032 ± 0.001 | 2.0 ± 0.2 | 16 ± 2 |
Disclaimer/Publisher’s Note: The statements, opinions and data contained in all publications are solely those of the individual author(s) and contributor(s) and not of MDPI and/or the editor(s). MDPI and/or the editor(s) disclaim responsibility for any injury to people or property resulting from any ideas, methods, instructions or products referred to in the content. |
© 2023 by the authors. Licensee MDPI, Basel, Switzerland. This article is an open access article distributed under the terms and conditions of the Creative Commons Attribution (CC BY) license (https://creativecommons.org/licenses/by/4.0/).
Share and Cite
Shilova, S.A.; Matyuta, I.O.; Petrova, E.S.; Nikolaeva, A.Y.; Rakitina, T.V.; Minyaev, M.E.; Boyko, K.M.; Popov, V.O.; Bezsudnova, E.Y. Expanded Substrate Specificity in D-Amino Acid Transaminases: A Case Study of Transaminase from Blastococcus saxobsidens. Int. J. Mol. Sci. 2023, 24, 16194. https://doi.org/10.3390/ijms242216194
Shilova SA, Matyuta IO, Petrova ES, Nikolaeva AY, Rakitina TV, Minyaev ME, Boyko KM, Popov VO, Bezsudnova EY. Expanded Substrate Specificity in D-Amino Acid Transaminases: A Case Study of Transaminase from Blastococcus saxobsidens. International Journal of Molecular Sciences. 2023; 24(22):16194. https://doi.org/10.3390/ijms242216194
Chicago/Turabian StyleShilova, Sofia A., Ilya O. Matyuta, Elizaveta S. Petrova, Alena Y. Nikolaeva, Tatiana V. Rakitina, Mikhail E. Minyaev, Konstantin M. Boyko, Vladimir O. Popov, and Ekaterina Yu. Bezsudnova. 2023. "Expanded Substrate Specificity in D-Amino Acid Transaminases: A Case Study of Transaminase from Blastococcus saxobsidens" International Journal of Molecular Sciences 24, no. 22: 16194. https://doi.org/10.3390/ijms242216194
APA StyleShilova, S. A., Matyuta, I. O., Petrova, E. S., Nikolaeva, A. Y., Rakitina, T. V., Minyaev, M. E., Boyko, K. M., Popov, V. O., & Bezsudnova, E. Y. (2023). Expanded Substrate Specificity in D-Amino Acid Transaminases: A Case Study of Transaminase from Blastococcus saxobsidens. International Journal of Molecular Sciences, 24(22), 16194. https://doi.org/10.3390/ijms242216194







