Melatonin Promotes Iron Reactivation and Reutilization in Peach Plants under Iron Deficiency
Abstract
:1. Introduction
2. Results
2.1. Photosynthetic Pigment Content and Leaf Color of Peach Seedlings
2.2. Pectin, Hemicellulose, and Their Iron Contents in Peach Seedlings
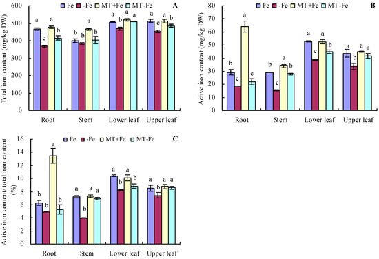
2.3. Total Iron and Active Iron Content in Peach Seedlings
2.4. Enzyme Activities: PG, Cx, FCR, and Lignin-Metabolism-Related Enzymes in Peach Seedlings
2.5. DEGs following Treatment
2.6. Functional Classification of DEGs
2.7. Transcription Factor Analysis of DEGs
2.8. qRT-PCR Analysis of the DEGs
3. Discussion
4. Materials and Methods
4.1. Materials
4.2. Experimental Design
4.3. Determination of Photosynthetic Pigment Contents
4.4. Extraction of Cell Wall Components and Determination of Cell Wall Component Iron Contents
4.5. Contents of Total Iron and Active Iron
4.6. Enzyme Activities: Polygalacturonase (PG), Cellulose (Cx), FCR, and Lignin-Metabolism-Related Enzymes
4.7. Transcriptome Sequencing and Data Analysis
4.8. Quantitative RT-PCR
4.9. Statistical Analysis
5. Conclusions
Author Contributions
Funding
Institutional Review Board Statement
Informed Consent Statement
Data Availability Statement
Conflicts of Interest
References
- Zou, B.J.; He, X.H. Plant Nutrition; Agriculture Press: Beijing, China, 1985. [Google Scholar]
- Miller, G.W.; Pushnik, J.C. Iron chlorosis: The role of iron in chlorophyll formation. Utah Sci. 1983, 44, 99–103. [Google Scholar]
- Zhou, C.; Liu, Z.; Zhu, L.; Ma, Z.; Wang, J.; Zhu, J. Exogenous melatonin improves plant iron deficiency tolerance via increased accumulation of polyamine-mediated nitric oxide. Int. J. Mol. Sci. 2016, 17, 1777. [Google Scholar] [CrossRef] [PubMed]
- Brumbarova, T.; Bauer, P.; Ivanov, R. Molecular mechanisms governing Arabidopsis iron uptake. Trends Plant Sci. 2015, 20, 124–133. [Google Scholar] [CrossRef] [PubMed]
- Fu, W.J. A Study on Iron Deficiency Chlorosis of Peach in Longquan. Master’s Thesis, Sichuan University, Chengdu, China, 2006. [Google Scholar]
- Li, B.; Hao, R.T.; Sun, J. Research progress and future prospects of plant melatonin. J. Yuncheng Univ. 2021, 39, 1–12. [Google Scholar]
- Fourcroy, P.; Siso-Terraza, P.; Sudre, D.; Saviron, M.; Reyt, G.; Gaymard, F.; Abadia, A.; Abadia, J.; Alvarez-Fernandez, A.; Briat, J. Involvement of the ABCG37 transporter in secretion of scopoletin and derivatives by Arabidopsis roots in response to iron deficiency. N. Phytol. 2014, 201, 155–167. [Google Scholar] [CrossRef]
- Jeong, J.; Guerinot, M.L. Homing in on iron homeostasis in plants. Trends Plant Sci. 2009, 14, 280–285. [Google Scholar] [CrossRef] [PubMed]
- Zhang, X.X.; Zhang, D.; Sun, W.; Wang, T.Z. The adaptive mechanism of plants to iron deficiency via iron uptake, transport, and homeostasis. Int. J. Mol. Sci. 2019, 20, 2424. [Google Scholar] [CrossRef]
- Curie, C.; Panaviene, Z.; Loulergue, C.; Dellaporta, S.L.; Walker, E.L. Maize yellow stripe1 encodes a membrane protein directly involved in Fe (III) uptake. Nature 2001, 409, 346–349. [Google Scholar] [CrossRef]
- Kim, S.A.; Guerinot, M.L. Mining iron: Iron uptake and transport in plants. Febs. Lett. 2007, 581, 2273–2280. [Google Scholar] [CrossRef]
- Zhang, W.J.; Cheng, J.F.; Liu, J.; He, P.; Wang, Z.X.; Zhang, Z.J.; Jiang, H.Y. Nutrition physiology of iron (Fe) in plants: Research progress. Chin. Agric. Sci. Bull. 2021, 37, 103–110. [Google Scholar]
- Lanquar, V.; Lelievre, F.; Bolte, S.; Hames, C.; Alcon, C.; Neumann, D.; Vansuyt, G.; Curie, C.; Schroder, A.; Kramer, U.; et al. Mobilization of vacuolar iron by AtNRAMP3 and AtNRAMP4 is essential for seed germination on low iron. EMBO J. 2005, 24, 3985–4210. [Google Scholar] [CrossRef] [PubMed]
- Thomine, S.; Lelievre, F.; Debarbieux, E.; Schroeder, J.I.; Barbier-Brygoo, H. AtNRAMP3, a multispecific vacuolar metal transporter involved in plant responses to iron deficiency. Plant J. 2003, 34, 685–695. [Google Scholar] [CrossRef] [PubMed]
- Kim, S.; Punshon, T.; Lanzirotti, A.; Li, L.; Alonso, J.; Ecker, J.; Kaplan, J.; Guerinot, M. Localization of iron in Arabidopsis seed requires the vacuolar membrane transporter VIT1. Science 2006, 314, 1295–1298. [Google Scholar] [CrossRef]
- Lingam, S.; Mohrbacher, J.; Brumbarova, T.; Potuschak, T.; Fink-Straube, C.; Blondet, E.; Genschik, P.; Bauer, P. Interaction between the bHLH transcription factor FIT and ETHYLENE INSENSITIVE3/ETHYLENE INSENSITIVE3-LIKE1 reveals molecular linkage between the regulation of iron acquisition and ethylene signaling in Arabidopsis. Plant Cell 2011, 23, 1815–1829. [Google Scholar] [CrossRef] [PubMed]
- Chen, W.W.; Yang, J.L.; Qin, C.; Jin, C.W.; Mo, J.H.; Ye, T.; Zheng, S.J. Nitric oxide acts downstream of auxin to trigger root ferric-chelate reductase activity in response to iron deficiency in Arabidopsis. Plant Physiol. 2010, 154, 810–819. [Google Scholar] [CrossRef] [PubMed]
- Erdal, S. Melatonin promotes plant growth by maintaining integration and coordination between carbon and nitrogen metabolisms. Plant Cell Rep. 2019, 38, 1001–1012. [Google Scholar] [CrossRef]
- Weeda, S.; Zhang, N.; Zhao, X.L.; Ndip, G.; Guo, Y.D.; Buck, G.A.; Fu, C.G.; Ren, S.X. Arabidopsis transcriptome analysis reveals key roles of melatonin in plant defense systems. PLoS ONE 2014, 9, e93462. [Google Scholar] [CrossRef]
- Hernandez-Ruiz, J.; Cano, A.; Arnao, M.B. Melatonin: A growth-stimulating compound present in lupin tissues. Planta 2004, 220, 140–144. [Google Scholar] [CrossRef] [PubMed]
- Li, J.; Cao, X.; Jia, X.; Liu, L.; Cao, H.; Qin, W.; Li, M. Iron deficiency leads to chlorosis through impacting chlorophyll synthesis and nitrogen metabolism in Areca catechu L. Front. Plant. Sci. 2021, 12, 710093. [Google Scholar] [CrossRef] [PubMed]
- Liu, J.L.; Zhang, R.M.; Sun, Y.K.; Liu, Z.Y.; Jin, W.; Sun, Y. The beneficial effects of exogenous melatonin on tomato fruit properties. Sci. Hortic. 2016, 207, 14–20. [Google Scholar] [CrossRef]
- Xia, H.; Shen, Y.Q.; Deng, H.H.; Wang, J.; Lin, L.J.; Deng, Q.X.; Lv, X.L.; Liang, D.; Hu, R.P.; Wang, Z.H.; et al. Melatonin application improves berry coloration, sucrose synthesis, and nutrient absorption in ‘summer black’ grape. Food Chem. 2021, 356, 129713. [Google Scholar] [CrossRef] [PubMed]
- Lin, L.; Li, Z.Y.; Wu, C.F.; Wang, J.; Liang, D.; Xia, H.; Lv, X.L.; Tang, Y.; Wang, X.; Deng, Q.X.; et al. Melatonin promotes iron uptake and accumulation in peach. Sci. Hortic. 2022, 306, 111481. [Google Scholar] [CrossRef]
- Ahammed, G.J.; Wu, M.J.; Wang, Y.Q.; Yan, Y.; Mao, Q.; Ren, J.J.; Ma, R.H.; Liu, A.R.; Chen, S.C. Melatonin alleviates iron stress by improving iron homeostasis, antioxidant defense and secondary metabolism in cucumber. Sci. Hortic. 2020, 265, 109205. [Google Scholar] [CrossRef]
- Wang, J.B. Analysis on the international competitiveness of Chinese peach. Agric. Res. Appl. 2017, 30, 47–50. [Google Scholar]
- Tu, M.Y.; Cheng, D.; Sun, S.X.; Li, J.; Xie, H.J.; Jiang, G.L. Relationship between peach yellowing degree and soil physical and chemical indexes. Southwest China J. Agric. Sci. 2014, 27, 705–709. [Google Scholar]
- Xu, X.D.; Sun, Y.; Guo, X.Q.; Sun, B.; Zhang, J. Effects of exogenous melatonin on photosynthesis and chlorophyll fluorescence parameters of cucumber seedlings under high temperature stress. J. Nucl. Agron. Sci. 2011, 25, 179–184. [Google Scholar]
- Han, Q.H.; Huang, B.; Ding, C.B.; Zhang, Z.W.; Chen, Y.E.; Hu, C.; Zhou, L.J.; Huang, Y.; Liao, J.Q.; Yuan, S.; et al. Effects of melatonin on anti-oxidative systems and photosystem II in cold-stressed rice seedlings. Front. Plant Sci. 2017, 8, 785. [Google Scholar] [CrossRef]
- Zhang, N.; Zhang, H.J.; Zhao, B.; Sun, Q.Q.; Cao, Y.Y.; Li, R.; Wu, X.X.; Weeda, S.; Li, L.; Ren, S.; et al. The RNA-seq approach to discriminate gene expression profiles in response to melatonin on cucumber lateral root formation. J. Pineal Res. 2014, 56, 39–50. [Google Scholar] [CrossRef]
- Chen, L.; Liu, L.T.; Lu, B.; Ma, T.T.; Jiang, D.; Li, J.; Zhang, K.; Sun, H.C.; Zhang, Y.J.; Bai, Z.; et al. Exogenous melatonin promotes seed germination and osmotic regulation under salt stress in cotton (Gossypium hirsutum L.). PLoS ONE 2020, 15, e0228241. [Google Scholar] [CrossRef] [PubMed]
- Zhang, N.; Zhao, B.; Zhang, H.J.; Weeda, S.; Yang, C.; Yang, Z.C.; Ren, S.X.; Guo, Y.D. Melatonin promotes water-stress tolerance, lateral root formation, and seed germination in cucumber (Cucumis sativus L.). J. Pineal Res. 2013, 54, 15–23. [Google Scholar] [CrossRef] [PubMed]
- Zhang, F.S.; Romheld, V.; Marschner, H. Role of the root apoplasm for iron acquisition by wheat plants. Plant Physiol. 1991, 97, 1302–1305. [Google Scholar] [CrossRef] [PubMed]
- Bienfait, H.F.; Van, D.B.W.; Mesland-Mul, N.T. Free space iron pools in roots: Generation and mobilization. Plant Physiol. 1985, 78, 596–600. [Google Scholar] [CrossRef] [PubMed]
- Cosgrove, D.J. Growth of the plant cell wall. Nat. Rev. Mol. Cell Biol. 2005, 6, 850–861. [Google Scholar] [CrossRef]
- Jin, C.W.; You, G.Y.; He, Y.F.; Tang, C.X.; Wu, P.; Zheng, S.J. Iron deficiency-induced secretion of phenolics facilitates the reutilization of root apoplastic iron in red clover. Plant Physiol. 2007, 144, 278–285. [Google Scholar] [CrossRef]
- Yang, J.L.; Zhu, X.F.; Peng, Y.X.; Zheng, C.; Li, G.X.; Liu, Y.; Shi, Y.Z.; Zheng, S.J. Cell wall hemicellulose contributes significantly to aluminum adsorption and root growth in Arabidopsis. Plant Physiol. 2011, 155, 1885–1892. [Google Scholar] [CrossRef] [PubMed]
- Song, H.M. Lignin Metabolism in Rice Root Tips Mediated by Nitric Oxide (NO) Is Functioned in Protecting Rice Root Tips from Aluminum Toxicity. Master’s Thesis, Zhejiang Normal University, Jinhua, China, 2015. [Google Scholar]
- Shen, Q.; Kong, F.C.; Wang, Q. Effect of modified atmosphere packaging on the browning and lignification of bamboo shoots. J. Food Eng. 2006, 77, 348–354. [Google Scholar] [CrossRef]
- Ye, Y.Q. The Roles and Mechanisms of Sucrose and Nitric Oxide in Regulating Plants Iron-Deficiency-Induced Responses. Ph.D. Thesis, Zhejiang University, Hangzhou, China, 2015. [Google Scholar]
- Zhou, J.L.; Lee, C.H.; Zhong, R.H.; Ye, Z.H. MYB58 and MYB63 are transcriptional activators of the lignin biosynthetic pathway during secondary cell wall formation in Arabidopsis. Plant Cell 2009, 21, 248–266. [Google Scholar] [CrossRef]
- Zhang, R.M.; Sun, Y.K.; Liu, Z.Y.; Jin, W.; Sun, Y. Effects of melatonin on seedling growth, mineral nutrition, and nitrogen metabolism in cucumber under nitrate stress. J. Pineal Res. 2017, 62, e12403. [Google Scholar] [CrossRef] [PubMed]
- Curie, C.; Briat, J. Iron transport and signaling in plants. Annu. Rev. Plant Biol. 2003, 54, 183–206. [Google Scholar] [CrossRef] [PubMed]
- Moog, P.R.; Wolfgang, B. Iron reductase systems on the plant plasma membrane—A review. Plant Soil 1994, 165, 241–260. [Google Scholar] [CrossRef]
- Yuan, Y.X.; Zhang, J.; Wang, D.W.; Ling, H.Q. Atbhlh29 of Arabidopsis thaliana is a functional ortholog of tomato FER involved in controlling iron acquisition in strategy I plants. Cell Res. 2005, 15, 613–621. [Google Scholar] [CrossRef]
- Wang, H.; Klatte, M.; Jakoby, M.; Bäumlein, H.; Weisshaar, B.; Bauer, P. Iron deficiency-mediated stress regulation of four subgroup Ib BHIH genes in Arabidopsis thaliana. Planta 2007, 226, 897–908. [Google Scholar] [CrossRef] [PubMed]
- Liu, R.Z. Transcriptome analysis of Alfalfa (Medicago sativa L.) under Iron Stress and Mining of Key Functional Genes. Master’s Thesis, Harbin Normal University, Harbin, China, 2018. [Google Scholar]
- Chen, W.W. Study on Regulatory Factors of Cell Signal Transduction in Response to Iron Deficiency in Arabidopsis. Ph.D. Thesis, Zhejiang University, Hangzhou, China, 2012. [Google Scholar]
- Curie, C.; Alonso, J.M.; Le Jean, M.; Ecker, J.R.; Briat, J.F. Involvement of NRAMP1 from Arabidopsis thaliana in iron transport. Biochem. J. 2000, 347, 749–755. [Google Scholar] [CrossRef] [PubMed]
- Thomine, S.; Wang, R.; Ward, J.M.; Crawford, N.M.; Schroeder, J.I. Cadmium and iron transport by members of a plant metal transporter family in Arabidopsis with homology to Nramp genes. Proc. Natl. Acad. Sci. USA 2000, 97, 4991–4996. [Google Scholar] [CrossRef] [PubMed]
- Cao, Q.Q.; Xv, C.; Jiang, Q.; Wang, L.L.; Shi, G.R. Comparative transcriptome analysis reveals key genes responsible for the homeostasis of iron and other divalent metals in peanut roots under iron deficiency. Plant Soil 2019, 445, 513–531. [Google Scholar] [CrossRef]
- Jeong, J.; Cohu, C.; Kerkeb, L.; Pilon, M.; Connolly, E.L.; Guerinot, M.L. Chloroplast Fe (III) chelate reductase activity is essential for seedling viability under iron limiting conditions. Proc. Natl. Acad. Sci. USA 2008, 105, 10619–10624. [Google Scholar] [CrossRef]
- Qiao, M.X.; Li, S.Z.; Chen, J.T. Research progress of Fe3+ reductase genes (FRO) in plants. J. Biotechnol. Bull. 2019, 35, 162–171. [Google Scholar]
- Wu, C.F.; Zheng, B.X.; Zhang, X.; Xia, X.M.; Zhou, X.; Lin, L.J. Study on iron uptake of peach seedlings. E3S Web Conf. 2019, 136, 07013. [Google Scholar] [CrossRef]
- Xiong, Q.E. Experimental Course in Plant Physiology; Sichuan Science and Technology Press: Chengdu, China, 2003. [Google Scholar]
- Lei, G.J. The Role of Abscisic Acid in Endogenous Iron Reutilization in Arabidopsis. Master’s Thesis, Zhejiang University, Hangzhou, China, 2014. [Google Scholar]
- Wu, Q.; Zhu, X.F.; Shen, R.F. Mechanism of boron facilitate root cell wall iron reutilization in iron deficient. J. Plant Nutr. Fertil. 2019, 25, 264–273. [Google Scholar]
- Cao, J.K.; Jiang, W.B.; Zhao, Y.M. Guidance of Postharvest Physiological and Biochemical Experiments of Fruits and Vegetables; China Light Industry Press: Beijing, China, 2007. [Google Scholar]
- Liu, D.C.; Liu, C.Z.; Tan, J.P.; Liu, W.K.; Wang, G.Y. A study on the correlation between the contents of active Fe in flowers and Fe nutrition status in apple trees. J. Agric. Univ. Hebei 2021, 44, 31–34. [Google Scholar]
- Li, H. The Metabolism of Cell Wall Materials and Gene Expression during Fruit Ripening and Softening in Ziziphus jujuba Mill. Master’s Thesis, Northwest Agriculture and Forestry University, Yangling, China, 2018. [Google Scholar]
- Zuo, Y.M.; Zhang, F.S. Effects of peanut mixed cropping with different gramineous plants on apoplast iron accumulation and reducing capacity of peanut. Chin. J. Appl. Ecol. 2004, 15, 221–225. [Google Scholar]
- Zhao, T.; Ling, H.Q. Effects of pH and nitrogen forms on expression profiles of genes involved in iron homeostasis in tomato. Plant Cell Environ. 2007, 30, 518–527. [Google Scholar] [CrossRef] [PubMed]
- Livak, K.J.; Schmittgen, T.D. Analysis of relative gene expression data using real-time quantitative PCR and the 2−ΔΔCT method. Methods 2013, 25, 402–408. [Google Scholar] [CrossRef] [PubMed]












| DEG Set | Total | COG | GO | KEGG | KOG | NR | Pfam | Swiss-Prot | EggNOG |
|---|---|---|---|---|---|---|---|---|---|
| −Fe vs. Fe | 806 | 356 | 560 | 338 | 437 | 806 | 693 | 637 | 764 |
| MT−Fe vs. −Fe | 154 | 57 | 95 | 49 | 82 | 154 | 119 | 114 | 136 |
| MT+Fe vs. Fe | 147 | 68 | 81 | 57 | 80 | 147 | 118 | 118 | 130 |
| MT−Fe vs. MT+Fe | 406 | 184 | 282 | 153 | 192 | 406 | 348 | 321 | 375 |
| DEG Set | KEGG Pathway | KO ID | Gene Number | Upregulated | Downregulated | p-Value |
|---|---|---|---|---|---|---|
| −Fe vs. Fe | Photosynthesis antenna proteins | ko00196 | 12 | 0 | 12 | <0.001 |
| Photosynthesis | ko00195 | 14 | 13 | 1 | <0.001 | |
| Ribosome biogenesis in eukaryotes | ko03008 | 19 | 0 | 19 | <0.001 | |
| Fatty acid degradation | ko00071 | 6 | 4 | 2 | 0.008 | |
| Porphyrin and chlorophyll metabolism | ko00860 | 6 | 3 | 3 | 0.008 | |
| Tyrosine metabolism | ko00350 | 6 | 3 | 3 | 0.017 | |
| Zeatin biosynthesis | ko00908 | 3 | 2 | 1 | 0.024 | |
| Alpha-linolenic acid metabolism | ko00592 | 5 | 3 | 2 | 0.045 | |
| Arginine and proline metabolism | ko00330 | 5 | 4 | 1 | 0.045 | |
| Monoterpenoid biosynthesis | ko00902 | 3 | 2 | 1 | 0.045 | |
| MT−Fe vs. −Fe | Aminoacyl-tRNA biosynthesis | ko00970 | 3 | 1 | 2 | 0.009 |
| MT+Fe vs. Fe | Protein processing in endoplasmic reticulum | ko04141 | 11 | 10 | 1 | <0.001 |
| Monoterpenoid biosynthesis | ko00902 | 3 | 2 | 1 | 0.001 | |
| MT−Fe vs. MT+Fe | Photosynthesis antenna proteins | ko00196 | 6 | 6 | 0 | <0.001 |
| Photosynthesis | ko00195 | 5 | 5 | 0 | 0.001 | |
| Ubiquinone and other terpenoid-quinone biosynthesis | ko00130 | 4 | 3 | 1 | 0.009 | |
| Porphyrin and chlorophyll metabolism | ko00860 | 4 | 2 | 2 | 0.012 | |
| Tyrosine metabolism | ko00350 | 4 | 3 | 1 | 0.020 | |
| Taurine and hypotaurine metabolism | ko00430 | 2 | 1 | 1 | 0.026 | |
| Glycolysis/Gluconeogenesis | ko00010 | 6 | 4 | 2 | 0.039 |
| Gene ID | p Value | log2FC | Transcription Factor Families | NR_Annotation |
|---|---|---|---|---|
| gene3903 | 9.97 × 10−3 | −0.58797 | Trihelix | Trihelix transcription factor GTL2 |
| gene12799 | 1.56 × 10−4 | −0.58876 | TCP | Transcription factor TCP2 |
| gene19160 | 2.44 × 10−9 | −0.69178 | RAP | Ethylene-responsive transcription factor RAP2-4 |
| gene24513 | 8.44 × 10−6 | 1.07499 | RADIALIS | Transcription factor RADIALIS |
| gene20320 | 8.84 × 10−12 | −0.83518 | PIF | Transcription factor PIF3 isoform X1 |
| gene13809 | 3.01 × 10−3 | −0.84145 | NAC | NAC-domain-containing protein 72 |
| gene4334 | 4.93 × 10−4 | −0.59185 | MYB | Transcription factor MYB3R-1 |
| gene3908 | 9.31 × 10−3 | −1.06674 | MYB | Transcription factor MYB6 |
| gene2530 | 7.35 × 10−6 | 0.73483 | MYB | Transcription factor MYB1R1 |
| gene22870 | 1.67 × 10−6 | −1.06405 | MYB | Transcription factor MYB6 |
| gene13985 | 5.16 × 10−4 | 1.05636 | MYB | Transcription factor TT2 isoform X1 |
| gene10551 | 9.54 × 10−5 | 1.89694 | MYB | Transcription factor MYB114 |
| gene13869 | 6.65 × 10−3 | 0.70715 | IFH | Transcriptional regulator IFH1 |
| gene8214 | 5.76 × 10−5 | 0.70881 | ICE1 | Transcription factor ICE1 isoform X1 |
| gene4595 | 1.99 × 10−7 | 0.59439 | HY5 | Transcription factor HY5 |
| gene8513 | 8.85 × 10−4 | −0.95029 | HSP | Heat stress transcription factor B-2a |
| gene3957 | 4.67 × 10−3 | 0.78700 | HSP | Heat shock factor protein HSF30 isoform X2 |
| gene23145 | 2.01 × 10−5 | −0.69709 | HSP | Heat stress transcription factor C-1 |
| gene22233 | 4.95 × 10−3 | 0.71842 | HSP | Heat stress transcription factor B-1 |
| gene18345 | 7.06 × 10−3 | −0.82542 | GATA | GATA transcription factor 11 isoform X1 |
| gene343 | 2.12 × 10−3 | 1.38468 | ERF | Ethylene-responsive transcription factor 1B [Prunus avium] |
| gene16074 | 2.27 × 10−5 | −0.68557 | ERF | Ethylene-responsive transcription factor CRF2 |
| gene15540 | 6.00 × 10−3 | −0.96760 | ERF | Ethylene-responsive transcription factor 1A |
| gene4875 | 7.77 × 10−3 | 0.67635 | bZIP | Transcription factor TGA7 isoform X1 |
| gene16798 | 1.07 × 10−20 | 2.52974 | bHLH | Transcription factor bHLH47 |
| gene15277 | 7.79 × 10−5 | −1.56733 | bHLH | Transcription factor bHLH71 |
| gene12740 | 1.22 × 10−5 | 1.00272 | bHLH | Transcription factor bHLH144 isoform X1 |
| gene16285 | 6.39 × 10−3 | −0.90251 | AP2 | AP2-like ethylene-responsive transcription factor PLT1 |
| gene8614 | 4.17 × 10−6 | −2.08404 | WRKY | Low-quality protein: probable WRKY transcription factor 27 |
| gene8260 | 5.83 × 10−3 | −1.20454 | WRKY | Probable WRKY transcription factor 70 |
| gene3867 | 1.09 × 10−9 | −0.70795 | WRKY | Probable WRKY transcription factor protein 1 isoform X3 |
| gene26136 | 4.64 × 10−6 | −0.66771 | WRKY | Probable WRKY transcription factor 69 isoform X1 |
| gene20240 | 4.82 × 10−3 | −1.05808 | WRKY | Probable WRKY transcription factor 70 |
| No. | Gene Name | Gene ID in NCBI | F (Sequence 5′-3′) | R (Sequence 5′-3′) |
|---|---|---|---|---|
| 1 | FRO7 | 835037 | TTTCACAATGGCTGCTGGAGGA | CACATGGAAGGCACTTCGCTGA |
| 2 | FRO4 | 832463 | AGGCTCCTCTGGGAATTGTTAC | TCATACACTTTCTCGCCATCTT |
| 3 | NRAMP3 | 816847 | ATCTTCTGCTGGATTTCTTCTC | TTGAGGTTGTGGCAATTACACT |
| 4 | VITH4 | 25493306 | CAAACGACCTAGAACACCAACA | TGAGCCACCTCTATGTCCAACT |
| 5 | ICS2 | 838468 | TGACCAGATTCAATCGGAACAC | TAAGTGCGAATAAGCGGACATT |
| 6 | CCR1 | 838165 | TGACTAATGACAAGCCCTACCT | CTTTCCCATAGCAGTACCAGTT |
| 7 | PG | 102578026 | TTGTTGGAATGCTTATGGGACT | AGATAAATGGCTCTTGGGCTCT |
| 8 | 4CL | 100245991 | GCCAGTGATTAAGCAGCAAGAC | GCGACAACCCGTAGATATGAAA |
| 9 | TEF2 | 733027 | GGTGTGACGATGAAGAGTGATG | TGAAGGAGAGGGAAGGTGAAAG |
Disclaimer/Publisher’s Note: The statements, opinions and data contained in all publications are solely those of the individual author(s) and contributor(s) and not of MDPI and/or the editor(s). MDPI and/or the editor(s) disclaim responsibility for any injury to people or property resulting from any ideas, methods, instructions or products referred to in the content. |
© 2023 by the authors. Licensee MDPI, Basel, Switzerland. This article is an open access article distributed under the terms and conditions of the Creative Commons Attribution (CC BY) license (https://creativecommons.org/licenses/by/4.0/).
Share and Cite
Lin, L.; Li, Z.; Wu, C.; Xu, Y.; Wang, J.; Lv, X.; Xia, H.; Liang, D.; Huang, Z.; Tang, Y. Melatonin Promotes Iron Reactivation and Reutilization in Peach Plants under Iron Deficiency. Int. J. Mol. Sci. 2023, 24, 16133. https://doi.org/10.3390/ijms242216133
Lin L, Li Z, Wu C, Xu Y, Wang J, Lv X, Xia H, Liang D, Huang Z, Tang Y. Melatonin Promotes Iron Reactivation and Reutilization in Peach Plants under Iron Deficiency. International Journal of Molecular Sciences. 2023; 24(22):16133. https://doi.org/10.3390/ijms242216133
Chicago/Turabian StyleLin, Lijin, Zhiyu Li, Caifang Wu, Yaxin Xu, Jin Wang, Xiulan Lv, Hui Xia, Dong Liang, Zhi Huang, and Yi Tang. 2023. "Melatonin Promotes Iron Reactivation and Reutilization in Peach Plants under Iron Deficiency" International Journal of Molecular Sciences 24, no. 22: 16133. https://doi.org/10.3390/ijms242216133
APA StyleLin, L., Li, Z., Wu, C., Xu, Y., Wang, J., Lv, X., Xia, H., Liang, D., Huang, Z., & Tang, Y. (2023). Melatonin Promotes Iron Reactivation and Reutilization in Peach Plants under Iron Deficiency. International Journal of Molecular Sciences, 24(22), 16133. https://doi.org/10.3390/ijms242216133

