Inflammatory Cytokines Are Associated with Cognitive Dysfunction and Depressive State during Acute Bacterial Infections and the Recovery Phase
Abstract
:1. Introduction
2. Results
2.1. Characteristics of Participants
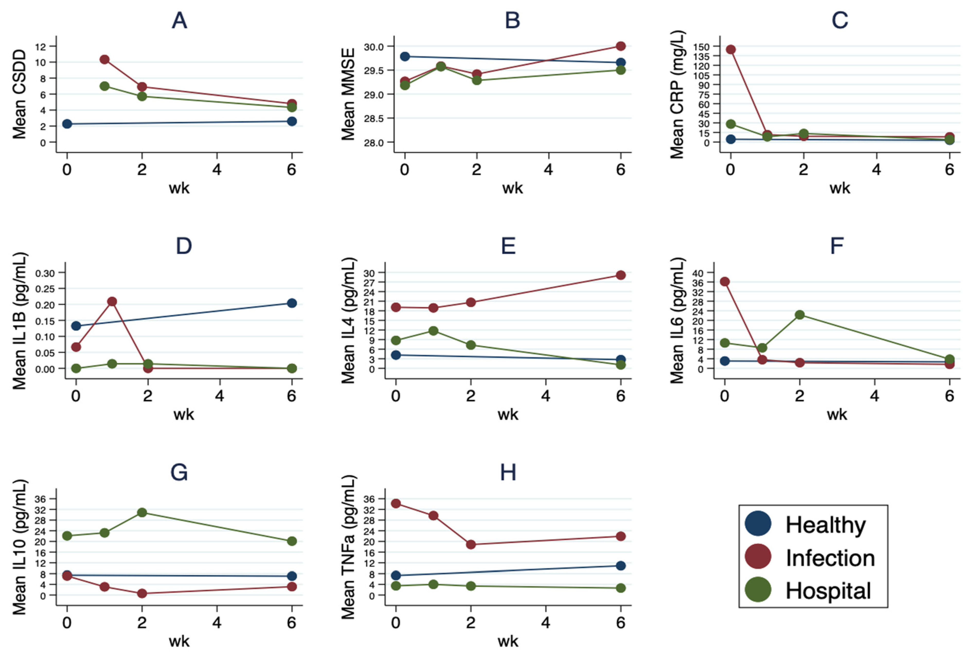
2.2. CSDD and MMSE
2.3. Inflammatory Markers
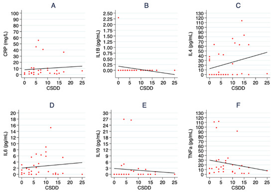
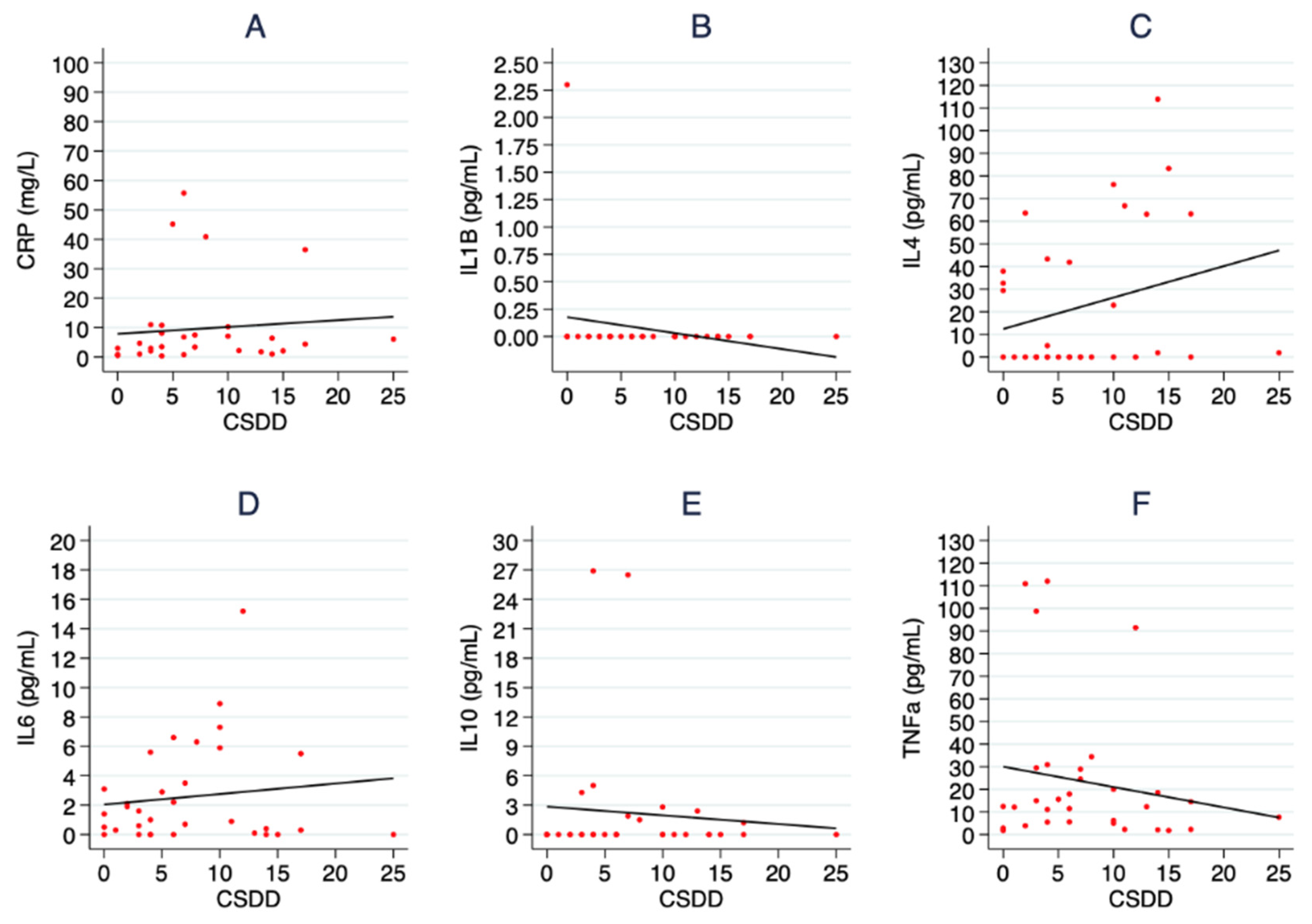
2.4. The Correlation between Inflammatory Markers and Sickness Behavior
3. Discussion
4. Materials and Methods
4.1. Inclusion and Exclusion Criteria
4.2. Subjects and Groups
4.3. Inflammatory Markers, Cognitive Function and Depressive State
4.4. Data Analysis
5. Conclusions
Supplementary Materials
Author Contributions
Funding
Institutional Review Board Statement
Informed Consent Statement
Data Availability Statement
Conflicts of Interest
References
- Hart, B.L. Biological basis of the behavior of sick animals. Neurosci. Biobehav. Rev. 1988, 12, 123–137. [Google Scholar] [CrossRef]
- Miller, A.H.; Maletic, V.; Raison, C.L. Inflammation and Its Discontents: The Role of Cytokines in the Pathophysiology of Major Depression. Biol. Psychiatry 2009, 65, 732–741. [Google Scholar] [CrossRef]
- Morris, G.; Anderson, G.; Galecki, P.; Berk, M.; Maes, M. A narrative review on the similarities and dissimilarities between myalgic encephalomyelitis/chronic fatigue syndrome (ME/CFS) and sickness behavior. BMC Med. 2013, 11, 64. [Google Scholar] [CrossRef]
- Tracey, K.J. Reflex control of immunity. Nat. Rev. Immunol. 2009, 9, 418–428. [Google Scholar] [CrossRef] [PubMed]
- Dantzer, R.; Kelley, K.W. Twenty years of research on cytokine-induced sickness behavior. Brain Behav. Immun. 2007, 21, 153–160. [Google Scholar] [CrossRef] [PubMed]
- Schedlowski, M.; Engler, H.; Grigoleit, J.-S. Endotoxin-induced experimental systemic inflammation in humans: A model to disentangle immune-to-brain communication. Brain Behav. Immun. 2014, 35, 1–8. [Google Scholar] [CrossRef] [PubMed]
- Dantzer, R.; O’Connor, J.C.; Freund, G.G.; Johnson, R.W.; Kelley, K.W. From inflammation to sickness and depression: When the immune system subjugates the brain. Nat. Rev. Neurosci. 2008, 9, 46–56. [Google Scholar] [CrossRef]
- McCusker, R.H.; Kelley, K.W. Immune–neural connections: How the immune system’s response to infectious agents influences behavior. J. Exp. Biol. 2013, 216, 84–98. [Google Scholar] [CrossRef] [PubMed]
- Anders, S.; Tanaka, M.; Kinney, D.K. Depression as an evolutionary strategy for defense against infection. Brain Behav. Immun. 2013, 31, 9–22. [Google Scholar] [CrossRef]
- Pavlov, V.A.; Tracey, K.J. The vagus nerve and the inflammatory reflex—Linking immunity and metabolism. Nat. Rev. Endocrinol. 2012, 8, 743–754. [Google Scholar] [CrossRef]
- Shattuck, E.C.; Muehlenbein, M.P. Towards an integrative picture of human sickness behavior. Brain, Behav. Immun. 2016, 57, 255–262. [Google Scholar] [CrossRef]
- Medzhitov, R. Inflammation 2010: New adventures of an old flame. Cell 2010, 140, 771–776. [Google Scholar] [CrossRef]
- Grigoleit, J.S.; Engler, H.; Schedlowski, M. Experimental Human Endotoxemia, Sickness Behavior, and Neuropsychiatric Diseases. Immunol. Psychiatry Basic Res. Ther. Interv. 2015, 8, 63–82. [Google Scholar] [CrossRef]
- Kanashiro, A.; Sônego, F.; Ferreira, R.G.; Castanheira, F.V.; Leite, C.A.; Borges, V.F.; Nascimento, D.C.; Cólon, D.F.; Alves-Filho, J.C.; Ulloa, L.; et al. Therapeutic potential and limitations of cholinergic anti-inflammatory pathway in sepsis. Pharmacol. Res. 2017, 117, 1–8. [Google Scholar] [CrossRef] [PubMed]
- Park, S.-E.; Lawson, M.; Dantzer, R.; Kelley, K.W.; McCusker, R.H. Insulin-like growth factor-I peptides act centrally to decrease depression-like behavior of mice treated intraperitoneally with lipopolysaccharide. J. Neuroinflamm. 2011, 8, 179. [Google Scholar] [CrossRef] [PubMed]
- Bay-Richter, C.; Janelidze, S.; Hallberg, L.; Brundin, L. Changes in behaviour and cytokine expression upon a peripheral immune challenge. Behav. Brain Res. 2011, 222, 193–199. [Google Scholar] [CrossRef] [PubMed]
- Schneiders, J.; Fuchs, F.; Damm, J.; Herden, C.; Gerstberger, R.; Soares, D.M.; Roth, J.; Rummel, C. The transcription factor nuclear factor interleukin 6 mediates pro- and anti-inflammatory responses during LPS-induced systemic inflammation in mice. Brain Behav. Immun. 2015, 48, 147–164. [Google Scholar] [CrossRef] [PubMed]
- Musaelyan, K.; Aldridge, S.; Du Preez, A.; Egeland, M.; Zunszain, P.A.; Pariante, C.M.; Thuret, S.; Fernandes, C. Repeated lipopolysaccharide exposure modifies immune and sickness behaviour response in an animal model of chronic inflammation. J. Psychopharmacol. 2018, 32, 236–247. [Google Scholar] [CrossRef] [PubMed]
- Vollmer-Conna, U.; Fazou, C.; Cameron, B.; Li, H.; Brennan, C.; Luck, L.; Davenport, T.; Wakefield, D.; Hickie, I.; Lloyd, A. Production of pro-inflammatory cytokines correlates with the symptoms of acute sickness behaviour in humans. Psychol. Med. 2004, 34, 1289–1297. [Google Scholar] [CrossRef]
- Konsman, J.P.; Parnet, P.; Dantzer, R. Cytokine-induced sickness behaviour: Mechanisms and implications. Trends Neurosci. 2002, 25, 154–159. [Google Scholar] [CrossRef]
- Song, Z.; Zhang, J.; Zhang, X.; Li, D.; Wang, H.; Xu, X.; Xu, W.; Yin, Y.; Cao, J. Interleukin 4 Deficiency Reverses Development of Secondary Pseudomonas aeruginosa Pneumonia During Sepsis-Associated Immunosuppression. J. Infect. Dis. 2015, 211, 1616–1627. [Google Scholar] [CrossRef] [PubMed]
- Anovazzi, G.; Medeiros, M.C.; Pigossi, S.C.; Finoti, L.S.; Moreira, S.; Mayer, M.P.A.; Scarel-Caminaga, R.M. Functionality and opposite roles of two interleukin 4 haplotypes in immune cells. Genes Immun. 2017, 18, 33–41. [Google Scholar] [CrossRef] [PubMed]
- Lubis, H.M.L.; Lubis, M.N.D.; Delyuzar, D. Interleukin-4 Cytokine as an Indicator of the Severity of Tuberculous Lymphadenitis. Open Access Maced. J. Med. Sci. 2021, 9, 82–86. [Google Scholar] [CrossRef]
- Cicchese, J.M.; Evans, S.; Hult, C.; Joslyn, L.R.; Wessler, T.; Millar, J.A.; Marino, S.; Cilfone, N.A.; Mattila, J.T.; Linderman, J.J.; et al. Dynamic balance of pro- and anti-inflammatory signals controls disease and limits pathology. Immunol. Rev. 2018, 285, 147–167. [Google Scholar] [CrossRef] [PubMed]
- Bieber, T. Interleukin-13: Targeting an underestimated cytokine in atopic dermatitis. Allergy 2020, 75, 54–62. [Google Scholar] [CrossRef]
- Chiricozzi, A.; Maurelli, M.; Peris, K.; Girolomoni, G. Targeting IL-4 for the Treatment of Atopic Dermatitis. ImmunoTargets Ther. 2020, 9, 151–156. [Google Scholar] [CrossRef]
- Vlaykov, A.N.; Tacheva, T.T.; Vlaykova, T.I.; Stoyanov, V.K. Serum and local IL-4, IL-5, IL-13 and immunoglobulin E in allergic rhinitis. Adv. Dermatol. Allergol. 2020, 37, 719–724. [Google Scholar] [CrossRef]
- Woodward, E.A.; Prêle, C.M.; Nicholson, S.E.; Kolesnik, T.B.; Hart, P.H. The anti-inflammatory effects of interleukin-4 are not mediated by suppressor of cytokine signalling-1 (SOCS1). Immunology 2010, 131, 118–127. [Google Scholar] [CrossRef] [PubMed]
- Andreasson, A.; Wicksell, R.K.; Lodin, K.; Karshikoff, B.; Axelsson, J.; Lekander, M. A global measure of sickness behaviour: Development of the Sickness Questionnaire. J. Health Psychol. 2018, 23, 1452–1463. [Google Scholar] [CrossRef] [PubMed]
- Aliberti, S.; Zanaboni, A.M.; Wiemken, T.; Nahas, A.; Uppatla, S.; Morlacchi, L.C.; Peyrani, P.; Blasi, F.; Ramirez, J. Criteria for clinical stability in hospitalised patients with community-acquired pneumonia. Eur. Respir. J. 2013, 42, 742–749. [Google Scholar] [CrossRef]
- Halm, E.A.; Fine, M.J.; Marrie, T.J.; Coley, C.M.; Kapoor, W.N.; Obrosky, D.S.; Singer, D.E. Time to clinical stability in patients hospitalized with community-acquired pneumonia: Implications for practice guidelines. JAMA 1998, 279, 1452–1457. [Google Scholar] [CrossRef] [PubMed]
- Mandell, L.A.; Wunderink, R.G.; Anzueto, A.; Bartlett, J.G.; Campbell, G.D.; Dean, N.C.; Dowell, S.F.; File, T.M., Jr.; Musher, D.M.; Niederman, M.S.; et al. Infectious Diseases Society of America/American Thoracic Society Consensus Guidelines on the Management of Community-Acquired Pneumonia in Adults. Clin. Infect. Dis. 2007, 44 (Suppl. S2), S27–S72. [Google Scholar] [CrossRef] [PubMed]
- Niederman, M.S.; Mandell, L.A.; Anzueto, A.; Bass, J.B.; Broughton, W.A.; Campbell, G.D.; Dean, N.; File, T.; Fine, M.J.; Gross, P.A.; et al. Guidelines for the management of adults with community-acquired pneumonia. Diagnosis, assessment of severity, antimicrobial therapy, and prevention. Am. J. Respir. Crit. Care Med. 2001, 163, 1730–1754. [Google Scholar] [CrossRef] [PubMed]
- Chiswick, E.L.; Duffy, E.; Japp, B.; Remick, D. Detection and Quantification of Cytokines and Other Biomarkers. Leucoc. Methods Protoc. 2012, 844, 15–30. [Google Scholar] [CrossRef]
- Leng, S.X.; McElhaney, J.E.; Walston, J.D.; Xie, D.; Fedarko, N.S.; Kuchel, G.A. ELISA and Multiplex Technologies for Cytokine Measurement in Inflammation and Aging Research. J. Gerontol. Ser. A 2008, 63, 879–884. [Google Scholar] [CrossRef]
- Klauenberg, K.; Ebert, B.; Voigt, J.; Walzel, M.; Noble, J.E.; Knight, A.E.; Elster, C. Bayesian analysis of an international ELISA comparability study. Clin. Chem. Lab. Med. 2011, 49, 1459–1468. [Google Scholar] [CrossRef]
- Marioni, R.E.; Chatfield, M.; Brayne, C.; Matthews, F.E.; Medical Research Council Cognitive Function and Ageing Study. The reliability of assigning individuals to cognitive states using the Mini Mental-State Examination: A population-based prospective cohort study. BMC Med. Res. Methodol. 2011, 11, 127. [Google Scholar] [CrossRef]
- Srinivasan, S. The concise cognitive test for dementia screening: Reliability and effects of demographic variables as compared to the mini mental state examination. Neurol. India 2010, 58, 702–707. [Google Scholar] [CrossRef]
- Alexopoulos, G.S.; Abrams, R.C.; Young, R.C.; Shamoian, C.A. Use of the Cornell scale in no demented patients. J. Am. Geriatr. Soc. 1988, 36, 230–236. [Google Scholar] [CrossRef]
- Alexopoulos, G.S.; Abrams, R.C.; Young, R.C.; Shamoian, C.A. Cornell scale for depression in dementia. Biol. Psychiatry 1988, 23, 271–284. [Google Scholar] [CrossRef]


| Healthy Group | Infection Group | Hospital Control Group | |
|---|---|---|---|
| Number | 37 | 13 | 11 |
| Mean age (years) Range | 52.4 (33–76) | 47.9 (24–69) | 54.5 (20–84) |
| Females | 67.6% (25/37) | 46.2% (6/13) | 63.6% (7/11) |
| Males | 32.4% (12/37) | 53.8% (7/13) | 36.4% (4/11) |
| Smokers | 16.2% (6/37) | 38.5% (5/13) | 36.4% (4/11) |
| Alcohol > 14 Units/week | 5.4% (2/37) | 7.7% (1/13) | 18.2% (2/11) |
| Independent with ADLs | 100% (37/37) | 100% (13/13) | 100% (11/11) |
| Mean white blood cells × 109/L (SD) * | - | 15.4 (5.9) | 9.1 (3) |
| Mean CRP mg/L (SD) * | - | 145 (107) | - |
| Mean oxygen sat % (SD) * | - | 96 (3) | 92.3% |
| Pyrexia °C (%) * | - | 61.5% (8/13) | 0% |
| Week 0/1 | Week 6 | Change | Within-Group p-Value | ||
|---|---|---|---|---|---|
| CSDD | Healthy group | 2.27 (2.38)/37 | 2.60 (2.64)/35 | +0.23 (2.13)/35 | p = 0.54 |
| Hospital group | 7.00 (4.28)/7 | 4.33 (2.88)/6 | −1.29 (1.83)/6 | p = 0.063 | |
| Infection group | 10.33 (7.09)/12 | 4.80 (4.47)/10 | −4.20 (6.16)/10 | p = 0.008 | |
| Between-groups p-value | p = 0.0001 | p = 0.166 | p = 0.001 | ||
| Week 0 | Week 6 | Change | Within-group p-value | ||
| MMSE | Healthy group | 29.8 (0.48)/37 | 29.7 (0.54)/35 | −0.11 (0.68)/35 | p = 0.33 |
| Hospital group | 29.2 (0.98)/11 | 29.5 (0.84)/6 | 0.16 (0.75)/6 | p > 0.999 | |
| Infection group | 29.3 (1.10)/15 | 30.0 (0)/10 | +0.7 (1.06)/10 | p = 0.125 | |
| Between-groups p-value | p = 0.036 | p = 0.123 | p = 0.033 |
| Week 0 | Week 6 | Change | Within-Group p-Value | ||
|---|---|---|---|---|---|
| CRP | Healthy group | 4.41 (12.1)/38 | 2.88 (6.1)/36 | −1.65 (13.7)/36 | p = 0.27 |
| Hospital group | 28.1 (40.4)/11 | 3.8 (6.1)/6 | −16.6 (32.3)/6 | p = 0.063 | |
| Infection group | 144.7 (107.2)/13 | 8.2 (13.4)/10 | −110.2 (100.1)/9 | p = 0.004 | |
| Between-groups p-value | p = 0.0001 | p = 0.145 | p = 0.0001 | ||
| Week 0 | Week 6 | Change | Within-group p-value | ||
| IL1 | Healthy group | 0.13 (0.27)/38 | 0.20 (0.41)/36 | +0.07 (0.47)/36 | p = 0.43 |
| Hospital group | 0 (0)/9 | 0 (0)/6 | 0 (0)/6 | p = 1 | |
| Infection group | 0.07 (0.16)/15 | 0 (0)/10 | −0.08 (0.19)/10 | p = 0.50 | |
| Between-groups p-value | p = 0.129 | p = 0.051 | p = 0.46 | ||
| Week 0 | Week 6 | Change | Within-group p-value | ||
| IL4 | Healthy group | 4.16 (3.39)/38 | 2.73 (2.42)/36 | −1.65 (3.25)/36 | p = 0.007 |
| Hospital group | 8.73 (12.11)/9 | 1.10 (0.81)/6 | −5.72 (7.47)/6 | p = 0.031 | |
| Infection group | 19.1 (28.0)/15 | 29.1 (41.4)/10 | +12.32 (32.8)/10 | p = 0.25 | |
| Between-groups p-value | p = 0.54 | p = 0.60 | p = 0.009 | ||
| Week 0 | Week 6 | Change | Within-group p-value | ||
| IL6 | Healthy group | 3.07 (3.80)/38 | 2.71 (1.91)/36 | −0.41 (3.49)/36 | p = 0.42 |
| Hospital group | 10.6 (25.3)/9 | 3.83 (2.56)/6 | +0.85 (2.42)/6 | p = 0.44 | |
| Infection group | 36.2 (57.2)/15 | 1.68 (1.99)/10 | −31.8 (68.4)/10 | p = 0.004 | |
| Between-groups p-value | p = 0.0004 | p = 0.10 | p = 0.001 | ||
| Week 0 | Week 6 | Change | Within-group p-value | ||
| IL10 | Healthy group | 7.43 (5.51)/38 | 7.08 (5.79)/36 | −0.34 (4.87)/36 | p = 0.74 |
| Hospital group | 22.10 (60.02)/9 | 20.12 (48.45)/6 | −12.4 (25.1)/6 | p = 0.50 | |
| Infection group | 7.15 (15.47)/15 | 3.15 (8.35)/10 | −6.89 (21.0)/10 | p = 0.41 | |
| Between-groups p-value | p = 0.009 | p = 0.0006 | p = 0.44 | ||
| Week 0 | Week 6 | Change | Within-group p-value | ||
| TNFα | Healthy group | 7.29 (6.23)/38 | 10.88 (9.71)/36 | +3.83 (9.58)/36 | p = 0.013 |
| Hospital group | 3.46 (3.39)/9 | 2.62 (2.10)/6 | −0.82 (1.58)/6 | p = 0.38 | |
| Infection group | 34.21 (39.73)/15 | 21.92 (32.70)/10 | −11.7 (20.3)/10 | p = 0.0098 | |
| Between-groups p-value | p = 0.0003 | p = 0.029 | p = 0.002 |
| All Participants | Only Infection Group | |||
|---|---|---|---|---|
| CSDD | MMSE | CSDD | MMSE | |
| CRP | 0.317 (0.118 to 0.484); p < 0.001 | −0.084 (−0.258 to 0.082); p = 0.350 | 0.535 (0.181 to 0.771); p = 0.001 | −0.227 (−0.506 to 0.112); p = 0.143 |
| IL1 | −0.004 (−0.148 to 0.182); p = 0.956 | −0.097 (−0.245 to 0.063); p = 0.202 | −0.017 (−0.152 to 0.089); p = 0.766 | −0.242 (−0.532 to 0.145); p = 0.162 |
| IL4 | 0.016 (−0.150 to 0.176); p = 0.850 | −0.013 (−0.222 to 0.197); p = 0.901 | −0.321 (−0.571 to −0.043); p = 0.018 | −0.138 (−0.464 to 0.201); p = 0.426 |
| IL6 | 0.336 (0.179 to 0.494); p < 0.001 | −0.172 (−0.314 to 0.020); p = 0.042 | 0.499 (0.257 to 0.707); p < 0.001 | −0.245 (−0.549 to 0.103); p = 0.128 |
| IL10 | 0.000 (−0.169 to 0.194); p = 0.997 | 0.077 (−0.152 to 0.189); p = 0.928 | −0.040 (−0.388 to 0.323); p = 0.836 | 0.090 (−0.180 to 0.332); p = 0.508 |
| TNFα | 0.235 (0.058 to 0.411); p = 0.007 | −0.139 (−0.290 to 0.050); p = 0.109 | 0.244 (−0.101 to 0.585); p = 0.119 | −0.084 (−0.404 to 0.217); p = 0.605 |
Disclaimer/Publisher’s Note: The statements, opinions and data contained in all publications are solely those of the individual author(s) and contributor(s) and not of MDPI and/or the editor(s). MDPI and/or the editor(s) disclaim responsibility for any injury to people or property resulting from any ideas, methods, instructions or products referred to in the content. |
© 2023 by the authors. Licensee MDPI, Basel, Switzerland. This article is an open access article distributed under the terms and conditions of the Creative Commons Attribution (CC BY) license (https://creativecommons.org/licenses/by/4.0/).
Share and Cite
Arias-Colinas, M.; Gea, A.; Khattab, A.; Vassallo, M.; Allen, S.C.; Kwan, J. Inflammatory Cytokines Are Associated with Cognitive Dysfunction and Depressive State during Acute Bacterial Infections and the Recovery Phase. Int. J. Mol. Sci. 2023, 24, 14221. https://doi.org/10.3390/ijms241814221
Arias-Colinas M, Gea A, Khattab A, Vassallo M, Allen SC, Kwan J. Inflammatory Cytokines Are Associated with Cognitive Dysfunction and Depressive State during Acute Bacterial Infections and the Recovery Phase. International Journal of Molecular Sciences. 2023; 24(18):14221. https://doi.org/10.3390/ijms241814221
Chicago/Turabian StyleArias-Colinas, Mónica, Alfredo Gea, Ahmed Khattab, Michael Vassallo, Stephen C. Allen, and Joseph Kwan. 2023. "Inflammatory Cytokines Are Associated with Cognitive Dysfunction and Depressive State during Acute Bacterial Infections and the Recovery Phase" International Journal of Molecular Sciences 24, no. 18: 14221. https://doi.org/10.3390/ijms241814221
APA StyleArias-Colinas, M., Gea, A., Khattab, A., Vassallo, M., Allen, S. C., & Kwan, J. (2023). Inflammatory Cytokines Are Associated with Cognitive Dysfunction and Depressive State during Acute Bacterial Infections and the Recovery Phase. International Journal of Molecular Sciences, 24(18), 14221. https://doi.org/10.3390/ijms241814221

