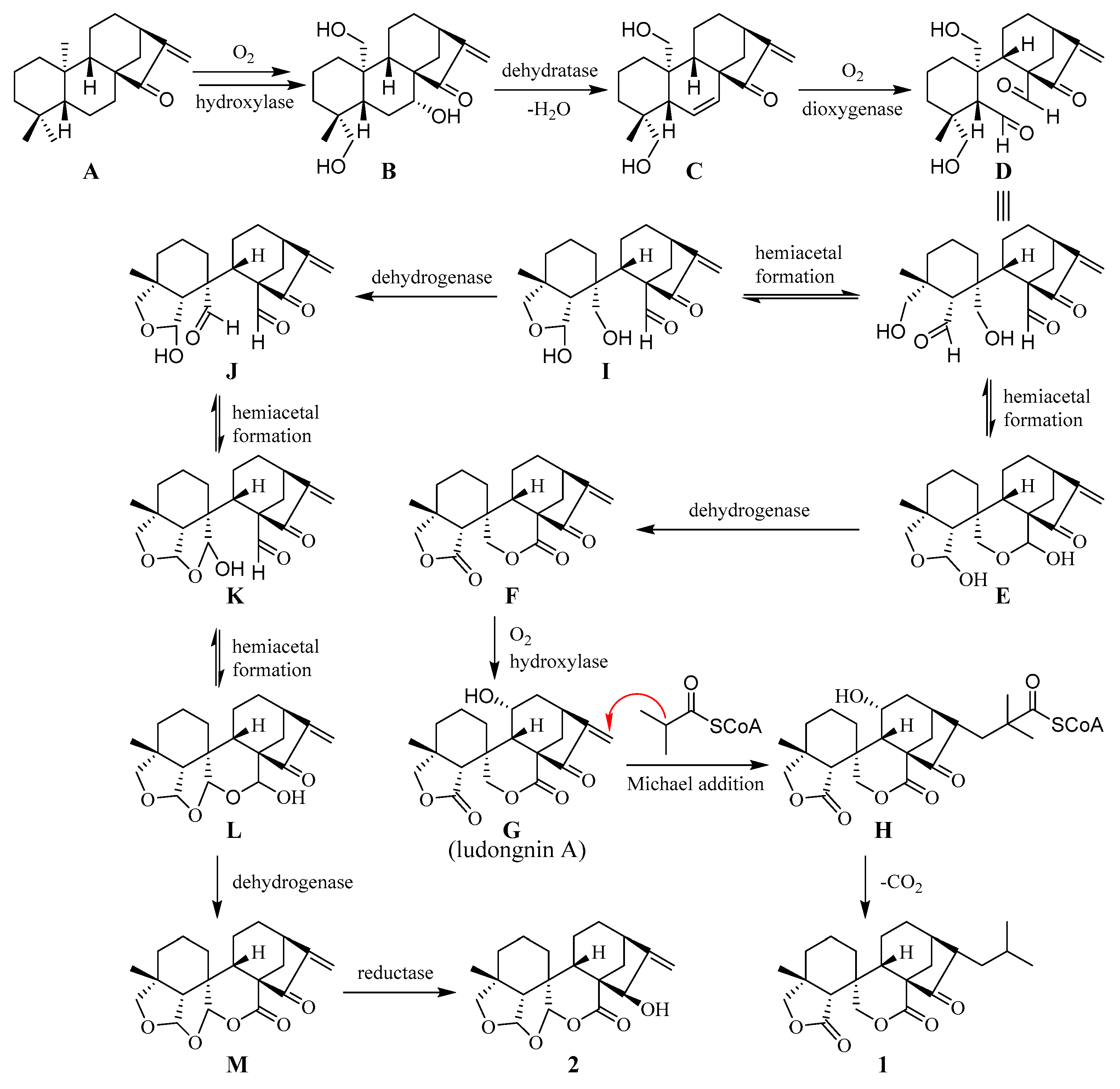
Guidongnins I–J: Two New 6,7-seco-7,20-Olide-ent-kaurene Diterpenes with Unusual Structures from Isodon rubescens
Abstract
:1. Introduction
2. Results and Discussion
2.1. Compound Identification
2.2. Biological Activity
3. Materials and Methods
3.1. General Experimental Procedures
3.2. Plant Material
3.3. Extraction and Isolation
3.4. X-ray Data of Compounds 1–2
3.5. Cytotoxicity Assay of Compounds 1–2
4. Conclusions
Supplementary Materials
Author Contributions
Funding
Institutional Review Board Statement
Informed Consent Statement
Data Availability Statement
Conflicts of Interest
References
- Yan, B.C.; Hu, K.; Sun, H.D.; Puno, P. Recent Advances in the Synthesis of Isodon Diterpenoids and Schinortriterpenoids. Chin. J. Org. Chem. 2018, 38, 2259–2280. [Google Scholar] [CrossRef]
- Tan, Q.; Hu, K.; Li, X.N.; Yang, X.Z.; Sun, H.D.; Puno, P.T. Cytotoxic C-20 non-oxygenated ent-kaurane diterpenoids from Isodon wardii. Bioorg. Chem. 2023, 135, 106512. [Google Scholar] [CrossRef]
- Li, X.R.; Hu, K.; Yan, B.C.; Li, X.N.; Sun, H.D.; Liu, Y.; Puno, P.T. Scopariusicides D–M, ent-clerodane-based isomeric meroditerpenoids with a cyclobutane-fused γ/δ-lactone core from Isodon scoparius. Bioorg. Chem. 2022, 127, 105973. [Google Scholar] [CrossRef] [PubMed]
- Jiang, H.Y.; Li, X.N.; Sun, H.D.; Zhang, H.B.; Puno, P.T. Scopariusols L-T, nine new ent-kaurane diterpenoids isolated from Isodon scoparius. Chin. J. Nat. Med. 2018, 16, 456–464. [Google Scholar] [CrossRef] [PubMed]
- Liu, M.; Wang, W.G.; Sun, H.D.; Pu, J.X. Diterpenoids from Isodon species: An update. Nat. Prod. Rep. 2017, 34, 1090–1140. [Google Scholar] [CrossRef] [PubMed]
- National Pharmacopoeia Committee. Pharmacopoeia of the People’s Republic of China; China Medical Science and Technology Press: Beijing, China, 2020. [Google Scholar]
- Zou, J.; Pan, L.T.; Li, Q.J.; Zhao, J.H.; Pu, J.X.; Yao, P.; Gong, N.B.; Lu, Y.; Kondratyuk, T.P.; Pezzuto, J.M.; et al. Rubesanolides A and B: Diterpenoids from Isodon Rubescens. Org. Lett. 2011, 13, 1406–1409. [Google Scholar] [CrossRef]
- Zou, J.; Pan, L.T.; Li, Q.J.; Pu, J.X.; Yao, P.; Zhu, M.; Banas, J.A.; Zhang, H.J.; Sun, H.D. Rubesanolides C–E: Abietane diterpenoids isolated from Isodon rubescens and evaluation of their anti-biofilm activity. Org. Biomol. Chem. 2012, 10, 5039–5044. [Google Scholar] [CrossRef] [PubMed]
- He, K.; Zou, J.; Wang, Y.X.; Zhao, C.L.; Ye, J.H.; Zhang, J.J.; Pan, L.T.; Zhang, H.J. Rubesanolides F and G: Two Novel Lactone-Type Norditerpenoids from Isodon Rubescens. Molecules 2021, 26, 3865. [Google Scholar] [CrossRef] [PubMed]
- Belaabed, S.; De Leo, M.; Velotto, S.; Malafronte, N.; D’Ambola, M. A new glucosidic iridoid from Isodon rubescens. Rev. Bras. Farmacogn. 2018, 28, 294–297. [Google Scholar] [CrossRef]
- Wen, C.M.; Chen, S.; Yuan, F.; Liu, X.M.; Song, F.J.; Mei, Z.N.; Yang, X.F.; Yang, G.Z. Diterpenoids from Isodon rubescens and their nitric oxide production inhibitory activity. RSC Adv. 2019, 9, 40628–40635. [Google Scholar] [CrossRef]
- Gao, X.M.; Luo, X.; Pu, J.X.; Wu, Y.L.; Zhao, Y.; Yang, L.B.; He, F.; Li, X.N.; Xiao, W.L.; Chen, G.Q.; et al. Antiproliferative Diterpenoids from the Leaves of Isodon rubescens. Planta Med. 2011, 77, 169–174. [Google Scholar] [CrossRef]
- Han, Q.B.; Li, M.L.; Li, S.H.; Mou, Y.K.; Lin, Z.W.; Sun, H.D. Ent-kaurane Diterpenoids from Isodon rubescens var. Lushanensis. Chem. Pharm. Bull. 2003, 51, 790–793. [Google Scholar] [CrossRef]
- Han, Q.B.; Zhao, Q.S.; Li, S.H.; Peng, L.Y.; Sun, H.D. Ent-Kaurane Diterpenoids from Isodon rubescens Collected in Guizhou Province. Acta Chim. Sin. 2003, 61, 1077–1082. [Google Scholar]
- Wang, Z.Q.; Wang, X.R.; Dong, J.G. Chemical Structures of Macrocalyxoformin B, C and E. Acta Bot. Sin. 1986, 28, 79–85. [Google Scholar]
- Zheng, X.R.; Gao, Z.Y.; Sun, H.D.; Lin, Z.W. The Structure of Ludongnin. Acta Bot. Yunnan 1984, 6, 316–320. [Google Scholar]
- Ding, Y.; Ding, C.Y.; Ye, N.; Liu, Z.Q.; Wold, E.A.; Chen, H.Y.; Wild, C.; Shen, Q.; Zhou, J. Discovery and development of natural product oridonin-inspired anticancer agents. Eur. J. Med. Chem. 2016, 122, 102–117. [Google Scholar] [CrossRef] [PubMed]
- Chen, X.F.; Dai, X.F.; Liu, Y.H.; He, X.R.; Gong, G. Isodon rubescens (Hemls.) Hara.: A comprehensive review on traditional uses, phytochemistry, and pharmacological activities. Front. Pharmacol. 2022, 13, 766581. [Google Scholar] [CrossRef] [PubMed]
- Guo, J.L.; Liu, Y.Y.; Pei, Y.Z. Synthesis and biological evaluation of 3-(piperidin-4-yl)isoxazolo[4,5-d]pyrimidine derivatives as novel PI3Kδ inhibitors. Chin. Chem. Lett. 2015, 26, 1283–1288. [Google Scholar] [CrossRef]
- Guo, T.; Liu, X.L.; Zhang, Z.K.; Luo, Y.Q.; Li, T.; Li, L.; Wang, H.X.; Huang, Y.; He, J.; Chen, Q.Y.; et al. A recombinant Newcastle disease virus expressing MMP8 promotes oncolytic efficacy. Chin. Chem. Lett. 2021, 32, 3962–3966. [Google Scholar] [CrossRef]
- Wu, Z.Q.; Liu, Z.; Jiang, X.L.; Mi, Z.Y.; Meng, M.B.; Wang, H.; Zhao, J.L.; Zheng, B.Y.; Yuan, Z.Y. Depleting PTOV1 Sensitizes Non-Small Cell Lung Cancer Cells to Chemotherapy through Attenuating Cancer Stem Cell Traits. J. Exp. Clin. Cancer Res. 2019, 38, 341. [Google Scholar] [CrossRef]
- Sheldrick, G.M. A Short History of SHELX. Acta Crystallogr. Sect. A Found. Crystallogr. 2008, 64, 112–122. [Google Scholar] [CrossRef] [PubMed]
- Sheldrick, G.M. SHELXTL-PC, Version 5.1; Siemens Analytical Instruments. Inc.: Madison, WI, USA, 1997.

), HMBC (
), and NOESY (
) correlations of 1. (B) Single-crystal X-ray structure of 1.
), HMBC (
), and NOESY (
) correlations of 1. (B) Single-crystal X-ray structure of 1.
), HMBC (
), and NOESY (
) correlations of 2. (B) Single-crystal X-ray structure of 2.
), HMBC (
), and NOESY (
) correlations of 2. (B) Single-crystal X-ray structure of 2.

| No. | 1 | 2 | No. | 1 | 2 | ||||
|---|---|---|---|---|---|---|---|---|---|
| δH (J in Hz) | δC | δH (J in Hz) | δC | δH (J in Hz) | δC | δH (J in Hz) | δC | ||
| 1a | 2.19 d (13.6) | 28.5 | 2.05, d (12.5) | 26.4 | 12b | 1.87 dd (15.6, 4.2) | 1.66, m | ||
| 1b | 1.13–1.16 m | 1.59, m | 13 | 2.75 m | 32.0 | 2.82, s | 39.6 | ||
| 2a | 1.68 overlap | 19.3 | 1.56, m | 17.1 | 14a | 3.50 d (10.8) | 36.3 | 1.79, m | 37.9 |
| 2b | 1.59 overlap | 1.67, m | 14b | 1.94 overlap | 1.89, m | ||||
| 3a | 1.53 overlap | 33.6 | 1.74, m | 30.6 | 15 | 215.9 | 5.12, s | 79.2 | |
| 3b | 1.48 d (12.6) | 1.32, td (13.7, 3.5) | 16 | 2.52 brs | 52.8 | 153.3 | |||
| 4 | 41.2 | 40.2 | 17a | 1.58 overlap | 37.3 | 5.07, d (2.2) | 107.7 | ||
| 5 | 2.42 s | 47.7 | 2.17, d (5.5) | 56.0 | 17b | 1.56 m | 5.21, brs | ||
| 6 | 177.0 | 5.88, d (5.5) | 106.7 | 18 | 1.10 s | 22.1 | 1.09, s | 31.0 | |
| 7 | 174.9 | 173.5 | 19a | 3.82 AB d (8.4) | 76.9 | 3.45, d (9.0) | 76.3 | ||
| 8 | 56.1 | 51.1 | 19b | 3.19 AB d (8.4) | 3.68, d (9.0) | ||||
| 9 | 1.78 brs | 43.3 | 2.34, d (9.0) | 33.3 | 20a | 5.02 d (9.6) | 72.9 | 5.75, s | 104.1 |
| 10 | 39.2 | 44.5 | 20b | 4.87 overlap | |||||
| 11a | 4.26 brs | 65.4 | 1.93, m | 18.0 | 21 | 1.68 overlap | 27.3 | ||
| 11b | 1.46, dd (15.0, 4.8) | 22 | 0.95 d (6.6) | 21.8 | |||||
| 12a | 1.90 overlap | 32.3 | 1.66, m | 32.7 | 23 | 0.97 d (6.6) | 23.7 | ||
| Identification Code | Guidongnin I (1) | Guidongnin J (2) | |
|---|---|---|---|
| Chemical formula | C23H32O6 | C20H26O5 | |
| Formula weight | 404.48 g/mol | 346.41 g/mol | |
| Temperature | 273 (2) K | 300 (2) K | |
| Wavelength | 1.54184 Å | 0.71076 Å | |
| Crystal system | orthorhombic | monoclinic | |
| Space group | P212121 | P21 | |
| Unit cell dimensions | a | 8.0160 (4) Å | 6.4646 (2) Å |
| b | 13.0903 (6) Å | 21.4751 (8) Å | |
| c | 19.9957 (9) Å | 12.3769 (5) Å | |
| α | 90.00° | 90.00° | |
| β | 90.00° | 94.1000 (10)° | |
| γ | 90.00° | 90.00° | |
| Volume | 2098.19 (17) Å3 | 1713.86 (11) Å3 | |
| Z | 4 | 4 |
Disclaimer/Publisher’s Note: The statements, opinions and data contained in all publications are solely those of the individual author(s) and contributor(s) and not of MDPI and/or the editor(s). MDPI and/or the editor(s) disclaim responsibility for any injury to people or property resulting from any ideas, methods, instructions or products referred to in the content. |
© 2023 by the authors. Licensee MDPI, Basel, Switzerland. This article is an open access article distributed under the terms and conditions of the Creative Commons Attribution (CC BY) license (https://creativecommons.org/licenses/by/4.0/).
Share and Cite
Zou, J.; Ye, J.; Zhao, C.; Zhang, J.; Liu, Y.; Pan, L.; He, K.; Zhang, H. Guidongnins I–J: Two New 6,7-seco-7,20-Olide-ent-kaurene Diterpenes with Unusual Structures from Isodon rubescens. Int. J. Mol. Sci. 2023, 24, 13451. https://doi.org/10.3390/ijms241713451
Zou J, Ye J, Zhao C, Zhang J, Liu Y, Pan L, He K, Zhang H. Guidongnins I–J: Two New 6,7-seco-7,20-Olide-ent-kaurene Diterpenes with Unusual Structures from Isodon rubescens. International Journal of Molecular Sciences. 2023; 24(17):13451. https://doi.org/10.3390/ijms241713451
Chicago/Turabian StyleZou, Juan, Jianghai Ye, Chenliang Zhao, Jingjie Zhang, Yahua Liu, Lutai Pan, Kang He, and Hongjie Zhang. 2023. "Guidongnins I–J: Two New 6,7-seco-7,20-Olide-ent-kaurene Diterpenes with Unusual Structures from Isodon rubescens" International Journal of Molecular Sciences 24, no. 17: 13451. https://doi.org/10.3390/ijms241713451
APA StyleZou, J., Ye, J., Zhao, C., Zhang, J., Liu, Y., Pan, L., He, K., & Zhang, H. (2023). Guidongnins I–J: Two New 6,7-seco-7,20-Olide-ent-kaurene Diterpenes with Unusual Structures from Isodon rubescens. International Journal of Molecular Sciences, 24(17), 13451. https://doi.org/10.3390/ijms241713451

