Creatine Kinase Equilibration and ΔGATP over an Extended Range of Physiological Conditions: Implications for Cellular Energetics, Signaling, and Muscle Performance
Abstract
1. Introduction
[MgHATP−] + [Mg2ATP] + [CaATP2−] + [CaHATP−] + [NaATP3−] + [KATP3−])
2. Results
2.1. 31P-NMR Analysis of Solutions
[NaPO42−] + [NaHPO4−] + [KPO42−] + [KHPO4])
2.2. Determination of the Equilibrium Constant for the Creatine Kinase Reaction from HPLC Analyses of Solutions
2.2.1. Apparent Equilibrium Constant Keq″
2.2.2. Dependence of Keq″ for the Creatine Kinase Reaction on Mg2+ and Temperature
2.3. Estimation of ΔGATP
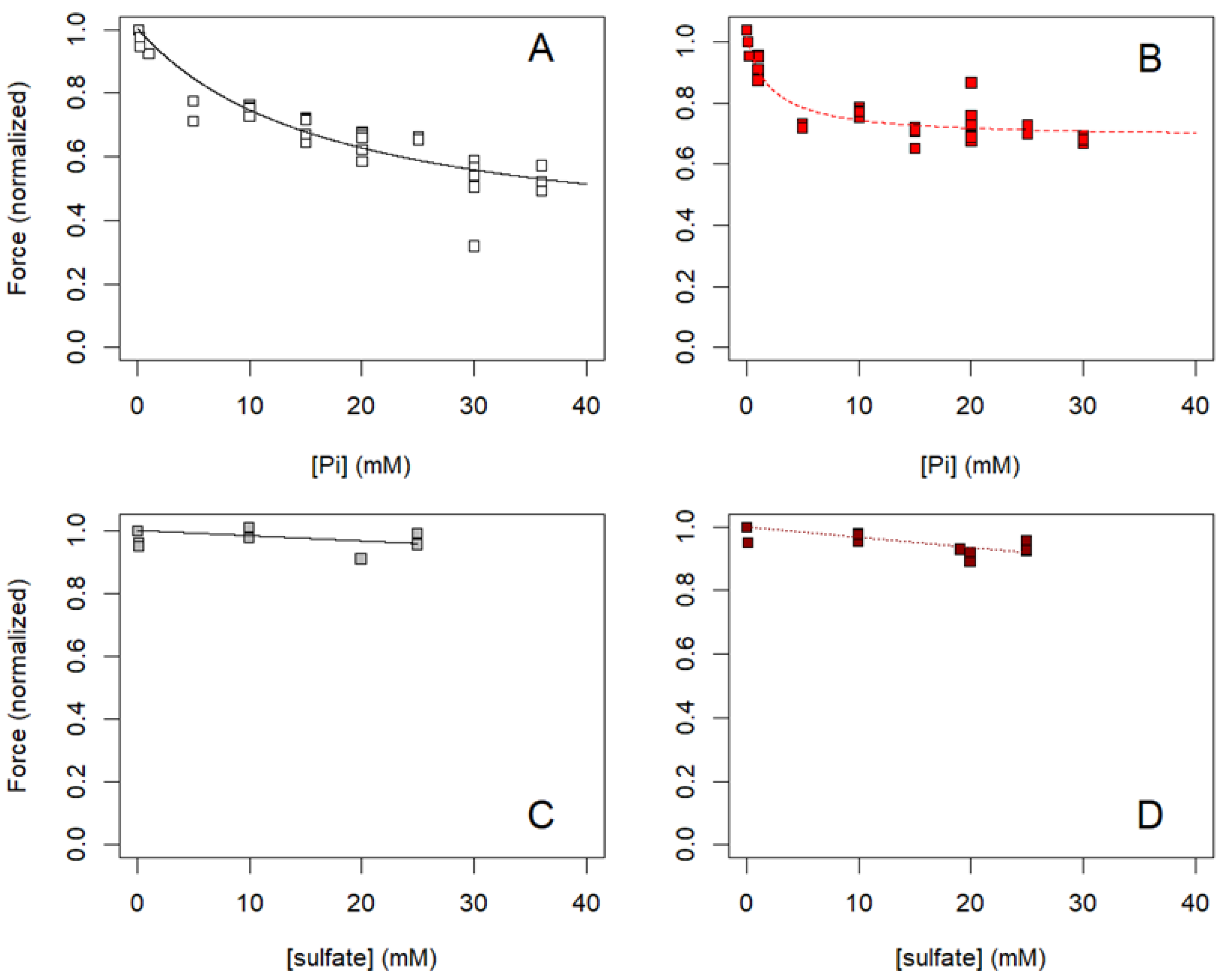
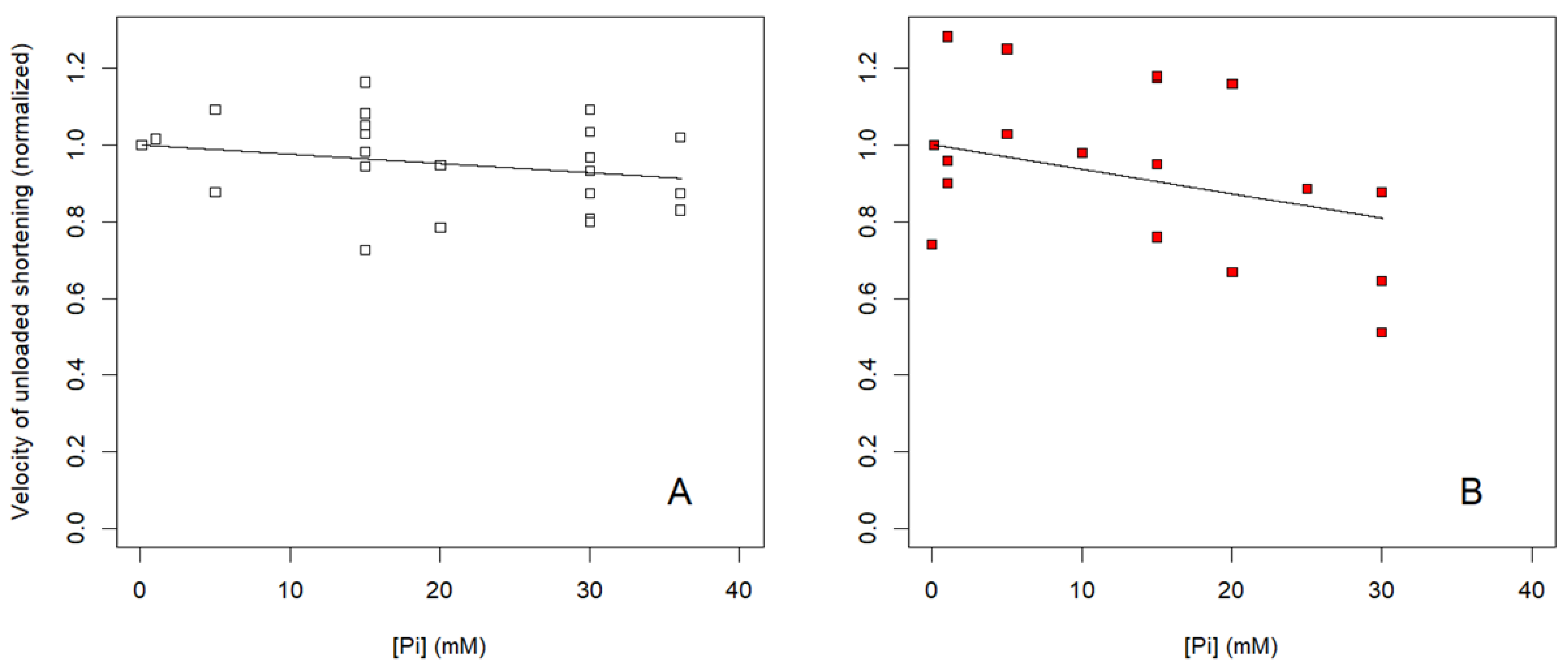
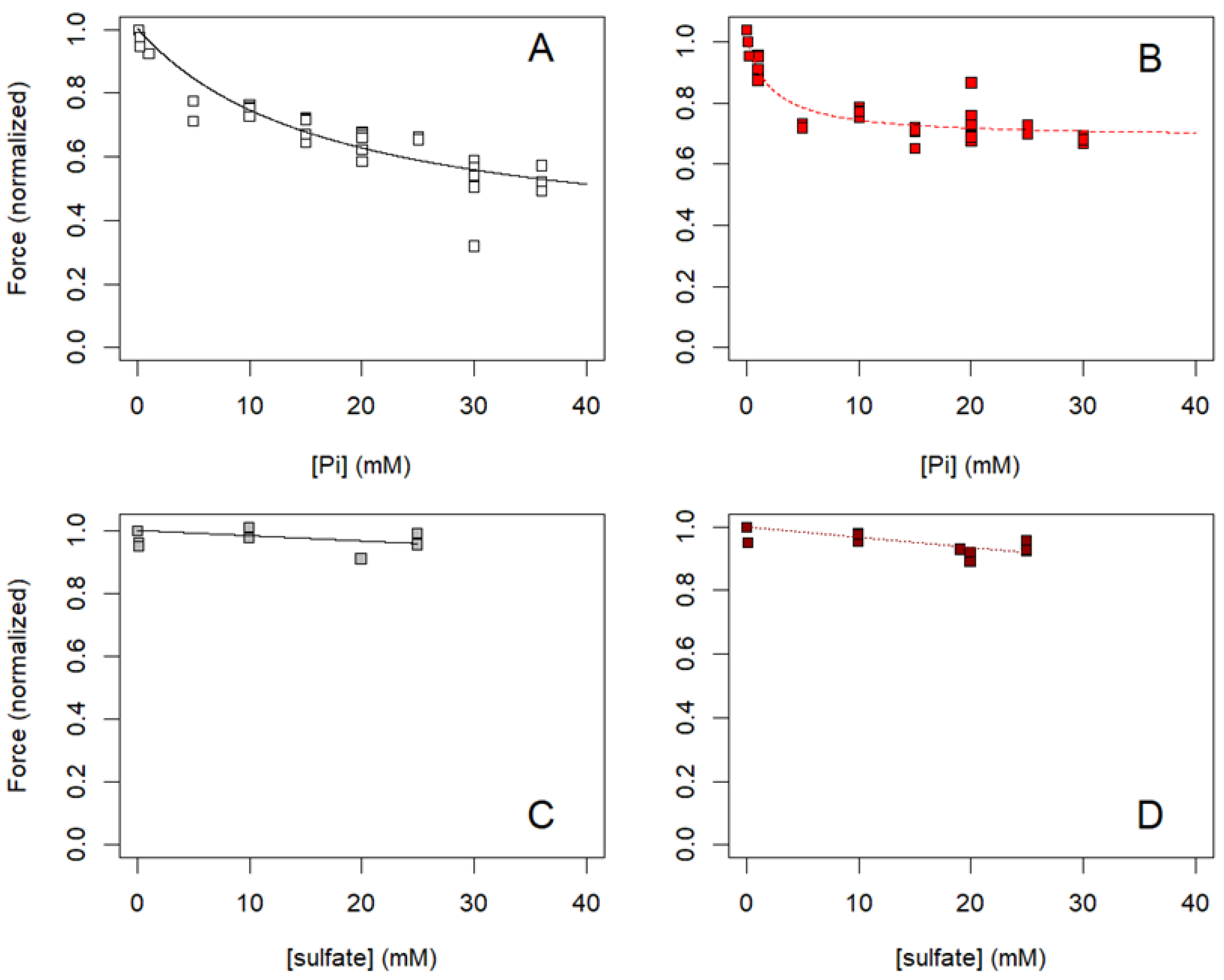
2.4. Influence of [Pi] on ΔGATP and Muscle Force
2.5. Influence of pH on ΔGATP, [ADP], and Muscle Force
3. Discussion
3.1. Estimation of Keq″ for the Creatine Kinase Reaction and Cytoplasmic Free ADP
3.2. Estimation of ΔGATP
3.3. Implications for Actomyosin Interactions and the Physiology of Skeletal Muscle
4. Materials and Methods
4.1. Solution Composition for Biochemical Analyses
4.2. Nuclear Magnetic Resonance Spectroscopy
4.3. HPLC Analysis
4.4. Muscle Mechanics
4.4.1. Single Permeabilized Muscle Fiber Studies
4.4.2. Studies on Intact Muscles from Mice
4.5. Statistical Analysis
Supplementary Materials
Author Contributions
Funding
Institutional Review Board Statement
Informed Consent Statement
Data Availability Statement
Acknowledgments
Conflicts of Interest
Appendix A

Appendix B
Appendix C

| [Pi] (mM) | Fmax | pCa50 | nHill | |
|---|---|---|---|---|
| Rabbit psoas | 0.1 | 1.0 | 5.90 ± 0.01 | 2.85 ± 0.18 |
| 20.0 | 0.67 ± 0.01 | 5.79 ± 0.01 | 3.89 ± 0.52 | |
| Rabbit soleus | 0.1 | 1.0 | 5.88 ± 0.02 | 1.95 ± 0.17 |
| 20.0 | 0.77 ± 0.02 | 5.75 ± 0.03 | 2.14 ± 0.25 |


Appendix D
| Equilibrium | log Keq | log Keq | log Keq | log Keq | Reference(s) |
|---|---|---|---|---|---|
| 10 °C | 20 °C | 30 °C | 40 °C | ||
| [HATP3−]/[H+][ATP4−] | 6.71 | 6.72 | 6.72 | 6.73 | [114,115] |
| [H2ATP2−]/[H+][HATP3−] | 3.87 | 3.88 | 3.89 | 3.90 | [114,115] |
| [H3ATP−]/[H+][H2ATP2−] | 1.80 | 1.80 | 1.80 | 1.80 | [115] |
| [MgATP2−]/[Mg2+][ATP4−] | 4.37 | 4.38 | 4.39 | 4.40 | [114,115] |
| [MgHATP−]/[Mg2+][HATP3−] | 2.11 | 2.13 | 2.14 | 2.15 | [114,115] |
| [Mg2ATP]/[Mg2+][MgATP2−] | 1.70 | 1.70 | 1.70 | 1.70 | [115] |
| [CaATP2−]/[Ca2+][ATP4−] | 4.06 | 4.07 | 4.08 | 4.09 | [114,115] |
| [CaHATP−]/[Ca2+][HATP3−] | 1.95 | 1.97 | 1.98 | 1.99 | [114,115] |
| [NaATP3−]/[Na+][ATP4−] | 1.23 | 1.24 | 1.24 | 1.25 | [114,115] |
| [KATP3−]/[K+][ATP4−] | 1.09 | 1.10 | 1.10 | 1.11 | [114,115] |
| [HADP2−]/[H+][ADP3−] | 6.47 | 6.48 | 6.48 | 6.49 | [114,115] |
| [H2ADP−]/[H+][HADP2−] | 3.82 | 3.83 | 3.84 | 3.85 | [114,115] |
| [MgADP−]/[Mg2+][ADP3−] | 3.25 | 3.26 | 3.27 | 3.28 | [114,115] |
| [MgHADP]/[Mg2+][HADP2−] | 1.40 | 1.42 | 1.43 | 1.44 | [114,115] |
| [CaADP−]/[Ca2+][ADP3−] | 2.90 | 2.91 | 2.92 | 2.93 | [114,115] |
| [CaHADP]/[Ca2+][HADP2−] | 1.44 | 1.46 | 1.47 | 1.48 | [114,115] |
| [NaADP2−]/[Na+][ADP3−] | 1.04 | 1.05 | 1.05 | 1.06 | [114,115] |
| [KADP2−]/[K+][ADP3−] | 0.92 | 0.93 | 0.93 | 0.94 | [114,115] |
| [HPO42−]/[H+][PO43−] | 12.24 | 12.15 | 12.07 | 11.98 | [86,115] |
| [H2PO4−]/[H+][HPO42−] | 6.96 | 6.94 | 6.92 | 6.90 | [86,115] |
| [H3PO4]/[H+][H2PO4−] | 1.81 | 1.86 | 1.90 | 1.95 | [86,115] |
| [MgHPO4]/[Mg2+][HPO42−] | 2.25 | 2.33 | 2.40 | 2.48 | [86,115,116] |
| [CaHPO4]/[Ca2+][HPO42−] | 2.11 | 2.19 | 2.26 | 2.34 | [86,115,116] |
| [NaPO42−]/[Na+][PO43−] | 0.75 | 0.75 | 0.75 | 0.75 | [115] |
| [NaHPO4−]/[Na+][HPO42−] | 0.49 | 0.49 | 0.49 | 0.49 | [115] |
| [KPO42−]/[K+][PO43−] | 0.60 | 0.60 | 0.60 | 0.60 | [115] |
| [KHPO4−]/[K+][HPO42−] | 0.35 | 0.35 | 0.35 | 0.35 | [115] |
| [HCP−]/[H+][CP2−] | 4.58 | 4.58 | 4.58 | 4.58 | [117,118,119] |
| [H2CP]/[H+][HCP−] | 2.70 | 2.70 | 2.70 | 2.70 | [117,118,119] |
| [H3CP+]/[H+][H2CP] | 2.00 | 2.00 | 2.00 | 2.00 | [117,118,119] |
| [MgCP]/[Mg2+][CP2−] | 1.60 | 1.60 | 1.60 | 1.60 | [116,117] |
| [CaCP]/[Ca2+][CP2−] | 1.30 | 1.30 | 1.30 | 1.30 | [116,117] |
| [NaCP−]/[Na+][CP2−] | 0.74 | 0.74 | 0.74 | 0.74 | [117] |
| [NaHCP]/[Na+][HCP−] | 0.31 | 0.31 | 0.31 | 0.31 | [117] |
| [KCP−]/[K+][CP2−] | 0.74 | 0.74 | 0.74 | 0.74 | [117] |
| [KHCP]/[K+][HCP−] | 0.31 | 0.31 | 0.31 | 0.31 | [117] |
| [HCr+]/[H+][Cr] | 2.63 | 2.63 | 2.63 | 2.63 | [117] |
| [HEGTA3−]/[H+][EGTA4−] | 9.39 | 9.25 | 9.11 | 8.96 | [118,120] |
| [H2EGTA2−]/[H+][HEGTA3−] | 8.83 | 8.69 | 8.55 | 8.41 | [118,120] |
| [H3EGTA−]/[H+][H2EGTA2−] | 2.57 | 2.57 | 2.57 | 2.57 | [118,120] |
| [H4EGTA]/[H+][H3EGTA−] | 1.97 | 1.97 | 1.97 | 1.97 | [118,120] |
| [MgEGTA2−]/[Mg2+][EGTA4−] | 4.65 | 4.77 | 4.90 | 5.02 | [118,120] |
| [MgHEGTA−]/[Mg2+][HEGTA3−] | 2.98 | 2.98 | 2.98 | 2.98 | [118,120] |
| [CaEGTA2−]/[Ca2+][EGTA4−] | 10.65 | 10.45 | 10.26 | 10.06 | [115,118,119,120,121] |
| [CaHEGTA−]/[Ca2+][HEGTA3−] | 4.91 | 4.91 | 4.91 | 4.91 | [115,118,119,120,121] |
| [NaEGTA3−]/[Na+][EGTA4−] | 1.66 | 1.66 | 1.66 | 1.66 | [120] |
| [KEGTA3−]/[K+][EGTA4−] | 0.96 | 0.96 | 0.96 | 0.96 | [120] |
| [HMES]/[H+][MES−] | 6.29 | 6.18 | 6.07 | 5.96 | [115,122] |
| [HMOPS]/[H+][MOPS−] | 7.28 | 7.13 | 6.98 | 6.83 | [115,122] |
| [HTES]/[H+][TES−] | 7.71 | 7.51 | 7.31 | 7.11 | [115,122] |
| [HTris+]/[H+][Tris] | 8.68 | 8.37 | 8.06 | 7.75 | [115,122] |
| [HOAc]/[H+][OAc−] | 4.56 | 4.56 | 4.56 | 4.56 | [115] |
| [MgOAc+]/[Mg2+][OAc−] | 0.55 | 0.55 | 0.55 | 0.55 | [115] |
| [CaOAc+]/[Ca2+][OAc−] | 0.57 | 0.57 | 0.57 | 0.57 | [115] |
| [NaOAc]/[Na+][OAc−] | −0.26 | −0.26 | −0.26 | −0.26 | [115] |
| [KOAc]/[K+][OAc−] | −0.41 | −0.41 | −0.41 | −0.41 | [115] |
References
- Kushmerick, M.J. Energetics of muscle contraction. In Handbook of Physiology—Skeletal Muscle; Peachey, L.D., Ed.; American Physiological Society: Bethesda, MD, USA, 1983; pp. 189–236. [Google Scholar]
- Dumas, J.F.; Simard, G.; Flamment, M.; Ducluzeau, P.H.; Ritz, P. Is skeletal muscle mitochondrial dysfunction a cause or an indirect consequence of insulin resistance in humans? Diabetes Metab. 2009, 35, 159–167. [Google Scholar] [CrossRef]
- Petersen, K.F.; Shulman, G.I. New insights into the pathogenesis of insulin resistance in humans using magnetic resonance spectroscopy. Obesity (Silver Spring) 2006, 14 (Suppl. 1), 34S–40S. [Google Scholar] [CrossRef]
- Wallis, R.H.; Collins, S.C.; Kaisaki, P.J.; Argoud, K.; Wilder, S.P.; Wallace, K.J.; Ria, M.; Ktorza, A.; Rorsman, P.; Bihoreau, M.T.; et al. Pathophysiological, genetic and gene expression features of a novel rodent model of the cardio-metabolic syndrome. PLoS ONE 2008, 3, e2962. [Google Scholar] [CrossRef]
- Befroy, D.E.; Petersen, K.F.; Dufour, S.; Mason, G.F.; de Graaf, R.A.; Rothman, D.L.; Shulman, G.I. Impaired mitochondrial substrate oxidation in muscle of insulin-resistant offspring of type 2 diabetic patients. Diabetes 2007, 56, 1376–1381. [Google Scholar] [CrossRef] [PubMed]
- Johnson, G.; Roussel, D.; Dumas, J.F.; Douay, O.; Malthiery, Y.; Simard, G.; Ritz, P. Influence of intensity of food restriction on skeletal muscle mitochondrial energy metabolism in rats. Am. J. Physiol. Endocrinol. Metab. 2006, 291, E460–E467. [Google Scholar] [CrossRef] [PubMed]
- Petersen, K.F.; Befroy, D.; Dufour, S.; Dziura, J.; Ariyan, C.; Rothman, D.L.; DiPietro, L.; Cline, G.W.; Shulman, G.I. Mitochondrial dysfunction in the elderly: Possible role in insulin resistance. Science 2003, 300, 1140–1142. [Google Scholar] [CrossRef]
- Oltmanns, K.M.; Melchert, U.H.; Scholand-Engler, H.G.; Howitz, M.C.; Schultes, B.; Schweiger, U.; Hohagen, F.; Born, J.; Peters, A.; Pellerin, L. Differential energetic response of brain vs. skeletal muscle upon glycemic variations in healthy humans. Am. J. Physiol. Regul. Integr. Comp. Physiol. 2008, 294, R12–R16. [Google Scholar] [CrossRef] [PubMed][Green Version]
- Mathur, M.C.; Chase, P.B.; Chalovich, J.M. Several cardiomyopathy causing mutations on tropomyosin either destabilize the active state of actomyosin or alter the binding properties of tropomyosin. Biochem. Biophys. Res. Commun. 2011, 406, 74–78. [Google Scholar] [CrossRef] [PubMed]
- Muoio, D.M.; Newgard, C.B. Obesity-related derangements in metabolic regulation. Annu. Rev. Biochem. 2006, 75, 367–401. [Google Scholar] [CrossRef]
- Mandavia, C.H.; Aroor, A.R.; Demarco, V.G.; Sowers, J.R. Molecular and metabolic mechanisms of cardiac dysfunction in diabetes. Life Sci. 2012, 92, 601–608. [Google Scholar] [CrossRef]
- Catania, C.; Binder, E.; Cota, D. mTORC1 signaling in energy balance and metabolic disease. Int. J. Obes. (Lond) 2011, 35, 751–761. [Google Scholar] [CrossRef]
- Mudd, J.O.; Kass, D.A. Tackling heart failure in the twenty-first century. Nature 2008, 451, 919–928. [Google Scholar] [CrossRef]
- Gafurov, B.; Fredricksen, S.; Cai, A.; Brenner, B.; Chase, P.B.; Chalovich, J.M. The D14 mutation of human cardiac troponin T enhances ATPase activity and alters the cooperative binding of S1-ADP to regulated actin. Biochemistry 2004, 43, 15276–15285. [Google Scholar] [CrossRef]
- Bai, F.; Weis, A.; Takeda, A.K.; Chase, P.B.; Kawai, M. Enhanced active cross-bridges during diastole: Molecular pathogenesis of tropomyosin’s HCM mutations. Biophys. J. 2011, 100, 1014–1023. [Google Scholar] [CrossRef] [PubMed]
- Köhler, J.; Chen, Y.; Brenner, B.; Gordon, A.M.; Kraft, T.; Martyn, D.A.; Regnier, M.; Rivera, A.J.; Wang, C.K.; Chase, P.B. Familial hypertrophic cardiomyopathy mutations in troponin I (K183D, G203S, K206Q) enhance filament sliding. Physiol. Genom. 2003, 14, 117–128. [Google Scholar] [CrossRef] [PubMed]
- Kataoka, A.; Hemmer, C.; Chase, P.B. Computational simulation of hypertrophic cardiomyopathy mutations in troponin I: Influence of increased myofilament calcium sensitivity on isometric force, ATPase and [Ca2+]i. J. Biomech. 2007, 40, 2044–2052. [Google Scholar] [CrossRef]
- Loong, C.K.P.; Zhou, H.-X.; Chase, P.B. Familial hypertrophic cardiomyopathy related E180G mutation increases flexibility of human cardiac a-tropomyosin. FEBS Lett. 2012, 586, 3503–3507. [Google Scholar] [CrossRef] [PubMed]
- Loong, C.K.P.; Badr, M.A.; Chase, P.B. Tropomyosin flexural rigidity and single Ca2+ regulatory unit dynamics: Implications for cooperative regulation of cardiac muscle contraction and cardiomyocyte hypertrophy. Front. Physiol. 2012, 3, 80. [Google Scholar] [CrossRef]
- Gonzalez-Martinez, D.; Johnston, J.R.; Landim-Vieira, M.; Ma, W.; Antipova, O.; Awan, O.; Irving, T.C.; Chase, P.B.; Pinto, J.R. Structural and functional impact of troponin C-mediated Ca2+ sensitization on myofilament lattice spacing and cross-bridge mechanics in mouse cardiac muscle. J. Mol. Cell Cardiol. 2018, 123, 26–37. [Google Scholar] [CrossRef]
- Montessuit, C.; Lerch, R. Regulation and dysregulation of glucose transport in cardiomyocytes. Biochim. Biophys. Acta 2013, 1833, 848–856. [Google Scholar] [CrossRef]
- Landim-Vieira, M.; Ma, W.; Song, T.; Rastegarpouyani, H.; Gong, H.; Leite Coscarella, I.; Bogaards, S.J.P.; Conijn, S.P.; Ottenheijm, C.A.C.; Hwang, H.S.; et al. Cardiac troponin T N-domain variant destabilizes the actin interface resulting in disturbed myofilament function. Proc. Natl. Acad. Sci. USA 2023, 120, e2221244120. [Google Scholar] [CrossRef]
- Phillips, R.C.; George, P.; Rutman, R.J. Thermodynamic data for the hydrolysis of adenosine triphosphate as a function of pH, Mg2+ ion concentration, and ionic strength. J. Biol. Chem. 1969, 244, 3330–3342. [Google Scholar] [CrossRef]
- George, P.; Rutman, R.J. The “high energy phosphate bond” concept. Prog. Biophys. Mol. Biol. 1960, 10, 1–53. [Google Scholar] [CrossRef]
- Alberty, R.A. Standard Gibbs free energy, enthalpy, and entropy changes as a function of pH and pMg for several reactions involving adenosine phosphates. J. Biol. Chem. 1969, 244, 3290–3302. [Google Scholar] [CrossRef] [PubMed]
- Alberty, R.A. Equilibrium calculations on systems of biochemical reactions at specified pH and pMg. Biophys. Chem. 1992, 42, 117–131. [Google Scholar] [CrossRef] [PubMed]
- Alberty, R.A.; Cornish-Bowden, A. The pH dependence of the apparent equilibrium constant, K’, of a biochemical reaction. Trends Biochem. Sci. 1993, 18, 288–291. [Google Scholar] [CrossRef] [PubMed]
- Schief, W.R.; Howard, J. Conformational changes during kinesin motility. Curr. Opin. Cell Biol. 2001, 13, 19–28. [Google Scholar] [CrossRef]
- Lawson, J.W.R.; Veech, R.L. Effects of pH and free Mg2+ on the Keq of the creatine kinase reaction and other phosphate hydrolyses and phosphate transfer reactions. J. Biol. Chem. 1979, 254, 6528–6537. [Google Scholar] [CrossRef]
- Kushmerick, M.J.; Dillon, P.F.; Meyer, R.A.; Brown, T.R.; Krisanda, J.M.; Sweeney, H.L. 31P NMR spectroscopy, chemical analysis, and free Mg2+ of rabbit bladder and uterine smooth muscle. J. Biol. Chem. 1986, 261, 14420–14429. [Google Scholar] [CrossRef]
- Kushmerick, M.J.; Moerland, T.S.; Wiseman, R.W. Two classes of mammalian skeletal muscle fibers distinguished by metabolite content. Adv. Exp. Med. Biol. 1993, 332, 749–760; discussion 760–761. [Google Scholar]
- Wiseman, R.W.; Kushmerick, M.J. Creatine kinase equilibration follows solution thermodynamics in skeletal muscle. 31P NMR studies using creatine analogs. J. Biol. Chem. 1995, 270, 12428–12438. [Google Scholar] [CrossRef]
- Wiseman, R.W.; Kushmerick, M.J. Phosphorus metabolite distribution in skeletal muscle: Quantitative bioenergetics using creatine analogs. Mol. Cell Biochem. 1997, 174, 23–28. [Google Scholar] [CrossRef]
- Brault, J.J.; Abraham, K.A.; Terjung, R.L. Phosphocreatine content of freeze-clamped muscle: Influence of creatine kinase inhibition. J. Appl. Physiol. (1985) 2003, 94, 1751–1756. [Google Scholar] [CrossRef][Green Version]
- Chase, P.B.; Kushmerick, M.J. Effects of pH on contraction of rabbit fast and slow skeletal muscle fibers. Biophys. J. 1988, 53, 935–946. [Google Scholar] [CrossRef]
- Chase, P.B.; Kushmerick, M.J. Effect of physiological ADP concentrations on contraction of single skinned fibers from rabbit fast and slow muscles. Am. J. Physiol. 1995, 268, C480–C489. [Google Scholar] [CrossRef]
- Meyer, R.A.; Kushmerick, M.J.; Brown, T.R. Application of 31P-NMR spectroscopy to the study of striated muscle metabolism. Am. J. Physiol. 1982, 242, C1–C11. [Google Scholar] [CrossRef]
- Eisenberg, E.; Hill, T.L. A cross-bridge model of muscle contraction. Prog. Biophys. Mol. Biol. 1978, 33, 55–82. [Google Scholar] [CrossRef]
- Eisenberg, E.; Hill, T.L. Muscle contraction and free energy transduction in biological systems. Science 1985, 227, 999–1006. [Google Scholar] [CrossRef] [PubMed]
- Howard, J. Mechanics of Motor Proteins and the Cytoskeleton; Sinaur Associates: Sunderland, MA, USA, 2001; p. 367. [Google Scholar]
- Pate, E.; Cooke, R. A model of crossbridge action: The effects of ATP, ADP, and Pi. J. Muscle Res. Cell Motil. 1989, 10, 181–196. [Google Scholar] [CrossRef] [PubMed]
- Jeneson, J.A.L.; Westerhoff, H.V.; Brown, T.R.; Van Echteld, C.J.A.; Berger, R. Quasi-linear relationship between Gibbs free energy of ATP hydrolysis and power output in human forearm muscle. Am. J. Physiol. 1995, 268, C1474–C1484. [Google Scholar] [CrossRef] [PubMed]
- Westerhoff, H.V.; van Echteld, C.J.A.; Jeneson, J.A.L. On the expected relationship between Gibbs energy of ATP hydrolysis and muscle performance. Biophys. Chem. 1995, 54, 137–142. [Google Scholar] [CrossRef]
- Godt, R.E.; Nosek, T.M. Changes in intracellular milieu with fatigue or hypoxia depress contraction of skinned rabbit skeletal and cardiac muscle. J. Physiol. 1989, 412, 155–180. [Google Scholar] [CrossRef]
- Karatzaferi, C.; Chinn, M.K.; Cooke, R. The force exerted by a muscle cross-bridge depends directly on the strength of the actomyosin bond. Biophys. J. 2004, 87, 2532–2544. [Google Scholar] [CrossRef]
- Nosek, T.M.; Fender, K.Y.; Godt, R.E. It is diprotonated inorganic phosphate that depresses force in skinned skeletal muscle fibers. Science 1987, 236, 191–193. [Google Scholar] [CrossRef]
- Cooke, R.; Franks, K.; Luciani, G.B.; Pate, E. The inhibition of rabbit skeletal muscle contraction by hydrogen ions and phosphate. J. Physiol. 1988, 395, 77–97. [Google Scholar] [CrossRef] [PubMed]
- Debold, E.P.; Dave, H.; Fitts, R.H. Fiber type and temperature dependence of inorganic phosphate: Implications for fatigue. Am. J. Physiol. Cell Physiol. 2004, 287, C673–C681. [Google Scholar] [CrossRef]
- Phillips, S.K.; Wiseman, R.W.; Woledge, R.C.; Kushmerick, M.J. The effect of metabolic fuel on force production and resting inorganic phosphate levels in mouse skeletal muscle. J. Physiol. 1993, 462, 135–146. [Google Scholar] [CrossRef] [PubMed]
- Pate, E.; Lin, M.; Franks-Skiba, K.; Cooke, R. Contraction of glycerinated rabbit slow-twitch muscle fibers as a function of MgATP concentration. Am. J. Physiol. Cell Physiol. 1992, 262, C1039–C1046. [Google Scholar] [CrossRef] [PubMed]
- Cooke, R.; Bialek, W. Contraction of glycerinated muscle fibers as a function of the ATP concentration. Biophys. J. 1979, 28, 241–258. [Google Scholar] [CrossRef]
- Cooke, R.; Pate, E. The effects of ADP and phosphate on the contraction of muscle fibers. Biophys. J. 1985, 48, 789–798. [Google Scholar] [CrossRef]
- Wiseman, R.W.; Beck, T.W.; Chase, P.B. Effect of intracellular pH on force development depends on temperature in intact skeletal muscle from mouse. Am. J. Physiol. 1996, 271, C878–C886. [Google Scholar] [CrossRef]
- Vinnakota, K.C.; Beard, D.A.; Dash, R.K. Design of experiments for identification of complex biochemical systems with applications to mitochondrial bioenergetics. Conf. Proc. IEEE Eng. Med. Biol. Soc. 2009, 2009, 4171–4174. [Google Scholar]
- Kost, G.J. pH standardization for phosphorus-31 magnetic resonance heart spectroscopy at different temperatures. Magn. Reson. Med. 1990, 14, 496–506. [Google Scholar] [CrossRef] [PubMed]
- Adams, G.R.; Foley, J.M.; Meyer, R.A. Muscle buffer capacity estimated from pH changes during rest-to-work transitions. J. Appl. Physiol. 1990, 69, 968–972. [Google Scholar] [CrossRef]
- Harkema, S.J.; Meyer, R.A. Effect of acidosis on control of respiration in skeletal muscle. Am. J. Physiol. 1997, 272, C491–C500. [Google Scholar] [CrossRef] [PubMed]
- Kushmerick, M.J.; Moerland, T.S.; Wiseman, R.W. Mammalian skeletal muscle fibers distinguished by contents of phosphocreatine, ATP, and Pi. Proc. Natl. Acad. Sci. USA 1992, 89, 7521–7525. [Google Scholar] [CrossRef]
- Pate, E.; Franks-Skiba, K.; Cooke, R. Depletion of phosphate in active muscle fibers probes actomyosin states within the powerstroke. Biophys. J. 1998, 74, 369–380. [Google Scholar] [CrossRef][Green Version]
- Nosek, T.M.; Leal-Cardoso, J.H.; McLaughlin, M.; Godt, R.E. Inhibitory influence of phosphate and arsenate on contraction of skinned skeletal and cardiac muscle. Am. J. Physiol. 1990, 259, C933–C939. [Google Scholar] [CrossRef]
- Brune, M.; Hunter, J.L.; Corrie, J.E.T.; Webb, M.R. Direct, real-time measurement of rapid inorganic phosphate release using a novel fluorescent probe and its application to actomyosin subfragment 1 ATPase. Biochemistry 1994, 33, 8262–8271. [Google Scholar] [CrossRef] [PubMed]
- Debold, E.P.; Romatowski, J.G.; Fitts, R.H. The depressive effect of Pi on the force-calcium relationship in skinned single muscle fibers is temperature dependent. Am. J. Physiol. Cell Physiol. 2006, 290, C1041–C1050. [Google Scholar] [CrossRef]
- Fryer, M.W.; Owen, V.J.; Lamb, G.D.; Stephenson, D.G. Effects of creatine phosphate and Pi on Ca2+ movements and tension development in rat skinned skeletal muscle fibres. J. Physiol. 1995, 482, 123–140. [Google Scholar] [CrossRef] [PubMed]
- Martyn, D.A.; Gordon, A.M. Force and stiffness in glycerinated rabbit psoas fibers. Effects of calcium and elevated phosphate. J. Gen. Physiol. 1992, 99, 795–816. [Google Scholar] [CrossRef] [PubMed]
- Millar, N.C.; Homsher, E. The effect of phosphate and calcium on force generation in glycerinated rabbit skeletal muscle fibers. J. Biol. Chem. 1990, 265, 20234–20240. [Google Scholar] [CrossRef]
- Palmer, S.; Kentish, J.C. The role of troponin C in modulating the Ca2+ sensitivity of mammalian skinned cardiac and skeletal muscle fibres. J. Physiol. 1994, 480, 45–60. [Google Scholar] [CrossRef]
- Harkema, S.J.; Adams, G.R.; Meyer, R.A. Acidosis has no effect on the ATP cost of contraction in cat fast- and slow-twitch skeletal muscles. Am. J. Physiol. 1997, 272, C485–C490. [Google Scholar] [CrossRef]
- Golding, E.M.; Golding, R.M. Interpretation of 31P MRS spectra in determining intracellular free magnesium and potassium ion concentrations. Magn. Reson. Med. 1995, 33, 467–474. [Google Scholar] [CrossRef] [PubMed]
- Iotti, S.; Frassineti, C.; Alderighi, L.; Sabatini, A.; Vacca, A.; Barbiroli, B. In vivo assessment of free magnesium concentration in human brain by 31P MRS. A new calibration curve based on a mathematical algorithm. NMR Biomed. 1996, 9, 24–32. [Google Scholar] [CrossRef]
- Headrick, J.P.; Willis, R.J. Effect of inotropic stimulation on cytosolic Mg2+ in isolated rat heart: A 31P magnetic resonance study. Magn. Reson. Med. 1989, 12, 328–338. [Google Scholar] [CrossRef]
- Teague, W.E., Jr.; Dobson, G.P. Effect of temperature on the creatine kinase equilibrium. J. Biol. Chem. 1992, 267, 14084–14093. [Google Scholar] [CrossRef]
- Teague, W.E., Jr.; Golding, E.M.; Dobson, G.P. Adjustment of K’ for the creatine kinase, adenylate kinase and ATP hydrolysis equilibria to varying temperature and ionic strength. J. Exp. Biol. 1996, 199, 509–512. [Google Scholar] [CrossRef]
- Golding, E.M.; Teague, W.E., Jr.; Dobson, G.P. Adjustment of K’ to varying pH and pMg for the creatine kinase, adenylate kinase and ATP hydrolysis equilibria permitting quantitative bioenergetic assessment. J. Exp. Biol. 1995, 198, 1775–1782. [Google Scholar] [CrossRef] [PubMed]
- Kushmerick, M.J. Multiple equilibria of cations with metabolites in muscle bioenergetics. Am. J. Physiol. 1997, 272, C1739–C1747. [Google Scholar] [CrossRef] [PubMed]
- Fabiato, A. Computer programs for calculating total from specified free or free from specified total ionic concentrations in aqueous solutions containing multiple metals and ligands. Methods Enzymol. 1988, 157, 378–417. [Google Scholar] [PubMed]
- Regnier, M.; Rivera, A.J.; Wang, C.K.; Bates, M.A.; Chase, P.B.; Gordon, A.M. Thin filament near-neighbour regulatory unit interactions affect rabbit skeletal muscle steady-state force-Ca2+ relations. J. Physiol. 2002, 540, 485–497. [Google Scholar] [CrossRef] [PubMed]
- Dweck, D.; Reyes-Alfonso Jr, A.; Potter, J.D. Expanding the range of free calcium regulation in biological solutions. Anal. Biochem. 2005, 347, 303–315. [Google Scholar] [CrossRef]
- Hardin, C.D.; Wiseman, R.W.; Kushmerick, M.J. Vascular oxidative metabolism under different metabolic conditions. Biochim. Biophys. Acta 1992, 1133, 133–141. [Google Scholar] [CrossRef]
- Kunzelmann, S.; Webb, M.R. A fluorescent, reagentless biosensor for ADP based on tetramethylrhodamine-labeled ParM. ACS Chem. Biol. 2010, 5, 415–425. [Google Scholar] [CrossRef]
- Botman, D.; van Heerden, J.H.; Teusink, B. An Improved ATP FRET Sensor For Yeast Shows Heterogeneity During Nutrient Transitions. ACS Sens. 2020, 5, 814–822. [Google Scholar] [CrossRef]
- Alberty, R.A. Effect of pH and metal ion concentration on the equilibrium hydrolysis of adenosine triphosphate to adenosine diphosphate. J. Biol. Chem. 1968, 243, 1337–1343. [Google Scholar] [CrossRef]
- Alberty, R.A. Calculation of the standard Gibbs free energy, enthalpy, and entropy changes for the hydrolysis of ATP at 0 °C, 25 °C, 37 °C, and 75 °C. In Horizons of Bioenergetics; San Pietro, A., Gest, H., Eds.; Academic Press: New York, NY, USA, 1972; pp. 135–147. [Google Scholar]
- Alberty, R.A. Change in the binding of hydrogen ions and magnesium ions in the hydrolysis of ATP. Biophys. Chem. 1998, 70, 109–119. [Google Scholar] [CrossRef]
- Alberty, R.A.; Goldberg, R.N. Standard thermodynamic formation properties for the adenosine 5’-triphosphate series. Biochemistry 1992, 31, 10610–10615. [Google Scholar] [CrossRef] [PubMed]
- Rosing, J.; Slater, E.C. The value of ΔG° for the hydrolysis of ATP. Biochim. Biophys. Acta 1972, 267, 275–290. [Google Scholar] [CrossRef]
- Phillips, R.C.; George, P.; Rutman, R.J. Potentiometric studies of the secondary phosphate ionizations of AMP, ADP, and ATP, and calculations of thermodynamic data for the hydrolysis reactions. Biochemistry 1963, 2, 501–508. [Google Scholar] [CrossRef] [PubMed]
- Cooke, R. Actomyosin interaction in striated muscle. Physiol. Rev. 1997, 77, 671–697. [Google Scholar] [CrossRef]
- Millar, N.C.; Homsher, E. Kinetics of force generation and phosphate release in skinned rabbit soleus muscle fibers. Am. J. Physiol. Cell Physiol. 1992, 262, C1239–C1245. [Google Scholar] [CrossRef] [PubMed]
- Dantzig, J.A.; Goldman, Y.E.; Millar, N.C.; Lacktis, J.; Homsher, E. Reversal of the cross-bridge force-generating transition by photogeneration of phosphate in rabbit psoas muscle fibres. J. Physiol. 1992, 451, 247–278. [Google Scholar] [CrossRef]
- Tesi, C.; Colomo, F.; Nencini, S.; Piroddi, N.; Poggesi, C. The effect of inorganic phosphate on force generation in single myofibrils from rabbit skeletal muscle. Biophys. J. 2000, 78, 3081–3092. [Google Scholar] [CrossRef] [PubMed]
- Pate, E.; Cooke, R. Addition of phosphate to active muscle fibers probes actomyosin states within the powerstroke. Pflügers Arch. 1989, 414, 73–81. [Google Scholar] [CrossRef]
- Pate, E.; Cooke, R. Energetics of the actomyosin bond in the filament array of muscle fibers. Biophys. J. 1988, 53, 561–573. [Google Scholar] [CrossRef]
- Tesi, C.; Colomo, F.; Piroddi, N.; Poggesi, C. Characterization of the cross-bridge force-generating step using inorganic phosphate and BDM in myofibrils from rabbit skeletal muscles. J. Physiol. 2002, 541, 187–199. [Google Scholar] [CrossRef]
- Takagi, Y.; Shuman, H.; Goldman, Y.E. Coupling between phosphate release and force generation in muscle actomyosin. Philos. Trans. R. Soc. Lond. B Biol. Sci. 2004, 359, 1913–1920. [Google Scholar]
- Caremani, M.; Dantzig, J.; Goldman, Y.E.; Lombardi, V.; Linari, M. Effect of inorganic phosphate on the force and number of myosin cross-bridges during the isometric contraction of permeabilized muscle fibers from rabbit psoas. Biophys. J. 2008, 95, 5798–5808. [Google Scholar] [CrossRef] [PubMed]
- Muretta, J.M.; Rohde, J.A.; Johnsrud, D.O.; Cornea, S.; Thomas, D.D. Direct real-time detection of the structural and biochemical events in the myosin power stroke. Proc. Natl. Acad. Sci. USA 2015, 112, 14272–14277. [Google Scholar] [CrossRef] [PubMed]
- Woody, M.S.; Winkelmann, D.A.; Capitanio, M.; Ostap, E.M.; Goldman, Y.E. Single molecule mechanics resolves the earliest events in force generation by cardiac myosin. eLife 2019, 8, e49266. [Google Scholar] [CrossRef] [PubMed]
- Pate, E.; Bhimani, M.; Franks-Skiba, K.; Cooke, R. Reduced effect of pH on skinned rabbit psoas muscle mechanics at high temperatures: Implications for fatigue. J. Physiol. 1995, 486, 689–694. [Google Scholar] [CrossRef]
- Liang, B.; Chen, Y.; Wang, C.K.; Luo, Z.; Regnier, M.; Gordon, A.M.; Chase, P.B. Ca2+ regulation of rabbit skeletal muscle thin filament sliding: Role of cross-bridge number. Biophys. J. 2003, 85, 1775–1786. [Google Scholar] [CrossRef] [PubMed]
- Csernoch, L.; Bernengo, J.C.; Szentesi, P.; Jacquemond, V. Measurements of intracellular Mg2+ concentration in mouse skeletal muscle fibers with the fluorescent indicator mag-indo-1. Biophys. J. 1998, 75, 957–967. [Google Scholar] [CrossRef]
- Meyer, R.A.; Brown, T.R.; Krilowicz, B.L.; Kushmerick, M.J. Phosphagen and intracellular pH changes during contraction of creatine-depleted rat muscle. Am. J. Physiol. 1986, 250, C264–C274. [Google Scholar] [CrossRef]
- Margossian, S.S.; Lowey, S. Preparation of myosin and its subfragments from rabbit skeletal muscle. Methods Enzymol. 1982, 85, 55–71. [Google Scholar]
- White, H.D. Special instrumentation and techniques for kinetic studies of contractile systems. Meth Enzymol. 1982, 85, 698–708. [Google Scholar]
- Butcher, M.T.; Chase, P.B.; Hermanson, J.W.; Clark, A.N.; Brunet, N.M.; Bertram, J.E. Contractile properties of muscle fibers from the deep and superficial digital flexors of horses. Am. J. Physiol. Regul. Integr. Comp. Physiol. 2010, 299, R996–R1005. [Google Scholar] [CrossRef]
- Khoo, R.H.; Ramette, R.W.; Culberson, C.H.; Bates, R.G. Determination of hydrogen ion concentrations in sea water from 5 to 40 °C: Standard potentials at salinities from 20 to 45%. Anal. Chem. 1977, 49, 29–34. [Google Scholar] [CrossRef]
- Wiseman, R.W.; Moerland, T.S.; Chase, P.B.; Stuppard, R.; Kushmerick, M.J. High-performance liquid chromatographic assays for free and phosphorylated derivatives of the creatine analogues b-guanidopropionic acid and 1-carboxy-methyl-2-iminoimidazolidine (cyclocreatine). Anal. Biochem. 1992, 204, 383–389. [Google Scholar] [CrossRef]
- Schoffstall, B.; Clark, A.; Chase, P.B. Positive inotropic effects of low dATP/ATP ratios on mechanics and kinetics of porcine cardiac muscle. Biophys. J. 2006, 91, 2216–2226. [Google Scholar] [CrossRef] [PubMed]
- Schoffstall, B.; Kataoka, A.; Clark, A.; Chase, P.B. Effects of rapamycin on cardiac and skeletal muscle contraction and crossbridge cycling. J. Pharmacol. Exp. Ther. 2005, 312, 12–18. [Google Scholar] [CrossRef] [PubMed]
- Edman, K.A.P. The velocity of unloaded shortening and its relation to sarcomere length and isometric force in vertebrate muscle fibres. J. Physiol. 1979, 291, 143–159. [Google Scholar] [CrossRef]
- Phillips, S.K.; Wiseman, R.W.; Woledge, R.C.; Kushmerick, M.J. Neither changes in phosphorus metabolite levels nor myosin isoforms can explain the weakness in aged mouse muscle. J. Physiol. 1993, 463, 157–167. [Google Scholar] [CrossRef]
- Dentel, J.N.; Blanchard, S.G.; Ankrapp, D.P.; McCabe, L.R.; Wiseman, R.W. Inhibition of cross-bridge formation has no effect on contraction-associated phosphorylation of p38 MAPK in mouse skeletal muscle. Am. J. Physiol. Cell Physiol. 2005, 288, C824–C830. [Google Scholar] [CrossRef][Green Version]
- Jayaraman, R.C.; Latourette, M.T.; Siebert, J.E.; Wiseman, R.W. A rapid algorithm for processing digital physiologic signals: Application to skeletal muscle contractions. Biomed. Signal Process Control. 2006, 1, 307–313. [Google Scholar] [CrossRef]
- Hill, A.V. The possible effects of the aggregation of the molecules of haemoglobin on its dissociation curves. J. Physiol. 1910, 40, iv–vii. [Google Scholar]
- De Robertis, A.; De Stefano, C.; Sammartano, S.; Calì, R.; Purrello, R.; Rigano, C. Alkali-metal and alkaline-earth-metal ion complexes with adenosine 5’-triphospate in aqueous solution. Thermodynamic parameters and their dependence on temperature and ionic strength. J. Chem. Res. 1986, 5, 164–165. [Google Scholar]
- Smith, R.M.; Martell, A.E.; Motekaitis, R.J. NIST Critically Selected Stability Constants of Metal Complexes Database; Version 2; NIST Standard Reference Data Program: Gaithersburg, MD, USA, 1995. [Google Scholar]
- O’Sullivan, W.J.; Smithers, G.W. Stability constants for biologically important metal-ligand complexes. Methods Enzymol. 1979, 63, 294–336. [Google Scholar] [PubMed]
- Dawson, R.M.C.; Elliott, D.C.; Elliott, W.H.; Jones, K.M. Data for Biochemical Research, 2nd ed.; Oxford University Press: London, UK, 1974. [Google Scholar]
- Martell, A.E.; Smith, R.M. Critical Stability Constants, Vol. 1: Amino Acids; Plenum Press: New York, NY, USA, 1974; Volume 1, p. 469. [Google Scholar]
- Martell, A.E.; Smith, R.M. Critical Stability Constants, Vol. 5: First Supplement; Plenum Press: New York, NY, USA, 1982; Volume 5, p. 604. [Google Scholar]
- Harrison, S.M.; Bers, D.M. Correction of proton and Ca association constants of EGTA for temperature and ionic strength. Am. J. Physiol. Cell Physiol. 1989, 256, C1250–C1256. [Google Scholar] [CrossRef] [PubMed]
- Robinson, R.A.; Stokes, R.H. Electrolyte Solutions; Butterworth and Co., Ltd.: London, UK, 1965. [Google Scholar]
- Ellis, K.J.; Morrison, J.F. Buffers of constant ionic strength for studying pH dependent processes. Methods Enzymol. 1982, 87, 405–435. [Google Scholar] [PubMed]








| pMg | ||||
|---|---|---|---|---|
| 2 | 3 | 4 | ||
| pKa | NMR | 6.66 ± 0.05 | 6.85 ± 0.05 | 6.85 ± 0.05 |
| calc | 6.674 + 0.002 | 6.781 ± 0.002 | 6.796 ± 0.003 | |
| dpKa/dT | NMR | −0.013 ± 0.004 | −0.016 ± 0.003 | −0.015 ± 0.003 |
| calc | −0.0092 ± 0.0001 | −0.0089 ± 0.0001 | −0.0088 ± 0.0001 | |
| Δ | NMR | 0.06 ± 0.02 | 0.25 ± 0.03 | 0.15 ± 0.03 |
| A | calc | 0.967 ± 0.002 | 0.955 ± 0.002 | 0.953 ± 0.002 |
Disclaimer/Publisher’s Note: The statements, opinions and data contained in all publications are solely those of the individual author(s) and contributor(s) and not of MDPI and/or the editor(s). MDPI and/or the editor(s) disclaim responsibility for any injury to people or property resulting from any ideas, methods, instructions or products referred to in the content. |
© 2023 by the authors. Licensee MDPI, Basel, Switzerland. This article is an open access article distributed under the terms and conditions of the Creative Commons Attribution (CC BY) license (https://creativecommons.org/licenses/by/4.0/).
Share and Cite
Wiseman, R.W.; Brown, C.M.; Beck, T.W.; Brault, J.J.; Reinoso, T.R.; Shi, Y.; Chase, P.B. Creatine Kinase Equilibration and ΔGATP over an Extended Range of Physiological Conditions: Implications for Cellular Energetics, Signaling, and Muscle Performance. Int. J. Mol. Sci. 2023, 24, 13244. https://doi.org/10.3390/ijms241713244
Wiseman RW, Brown CM, Beck TW, Brault JJ, Reinoso TR, Shi Y, Chase PB. Creatine Kinase Equilibration and ΔGATP over an Extended Range of Physiological Conditions: Implications for Cellular Energetics, Signaling, and Muscle Performance. International Journal of Molecular Sciences. 2023; 24(17):13244. https://doi.org/10.3390/ijms241713244
Chicago/Turabian StyleWiseman, Robert Woodbury, Caleb Micah Brown, Thomas Wesley Beck, Jeffrey John Brault, Tyler Robert Reinoso, Yun Shi, and Prescott Bryant Chase. 2023. "Creatine Kinase Equilibration and ΔGATP over an Extended Range of Physiological Conditions: Implications for Cellular Energetics, Signaling, and Muscle Performance" International Journal of Molecular Sciences 24, no. 17: 13244. https://doi.org/10.3390/ijms241713244
APA StyleWiseman, R. W., Brown, C. M., Beck, T. W., Brault, J. J., Reinoso, T. R., Shi, Y., & Chase, P. B. (2023). Creatine Kinase Equilibration and ΔGATP over an Extended Range of Physiological Conditions: Implications for Cellular Energetics, Signaling, and Muscle Performance. International Journal of Molecular Sciences, 24(17), 13244. https://doi.org/10.3390/ijms241713244

