Comparative Transcriptomics of Chilodonella hexasticha and C. uncinata Provide New Insights into Adaptations to a Parasitic Lifestyle and Mdivi-1 as a Potential Agent for Chilodonellosis Control
Abstract
:1. Introduction
2. Results
2.1. Transcriptome Assembly Results
2.2. COG Annotation
2.3. Ortholog Identification, Annotation
2.4. GO Enrichment Annotation
2.5. KEGG Pathway Annotation
2.6. Metabolic Mitochondrial Pathways Prediction
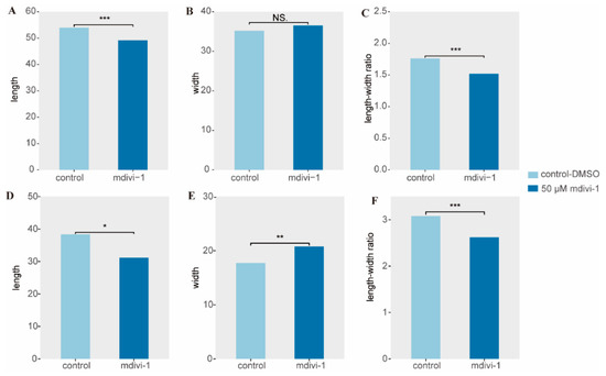
2.7. Cell Death Assay
3. Discussion
3.1. TCA Cycle
3.2. Electron Transport Chain (ETC) Complexes
3.3. Pyruvate Metabolism
3.4. The Fatty Acid Metabolism
3.5. Amino Acid Metabolism
3.6. Mdivi-1 for the Chilodonellids Control
4. Materials and Methods
4.1. Specimen Collection and Identification
4.2. Transcriptome Amplification, Sequencing and Assembly
4.3. Clusters of Orthologous Groups (COG) Annotation
4.4. Ortholog Identification and Annotation of Differentially Expressed Genes (DEGs)
4.5. Comparison of the Mitochondrial Metabolism
4.6. Mdivi-1 Evaluation Assay
5. Conclusions
Supplementary Materials
Author Contributions
Funding
Institutional Review Board Statement
Informed Consent Statement
Data Availability Statement
Acknowledgments
Conflicts of Interest
References
- Watanabe, Y.; How, K.H.; Zenke, K.; Itoh, N.; Yoshinaga, T. Control of the daily rhythms by photoperiods in protomont detachment and theront excystment of the parasitic ciliate Cryptocaryon irritans. Fish Pathol. 2020, 55, 38–41. [Google Scholar] [CrossRef]
- Mitra, A.K.; Haldar, D.P. First record of Chilodonella hexasticha (Kiernik, 1909) Kahl, 1931 (Ciliophora:Chilodonellidae) infesting a freshwater fish Nandus nandus (Hamilton) from Gangetic West Bengal, India. Anim. Biol. 2004, 54, 111–118. [Google Scholar] [CrossRef]
- Mamun, M.; Nasren, S.; Srinivasa, K.; Rathore, S.; Abhiman, P.; Rakesh, K. Heavy infection of Ichthyophthirius multifiliis in striped catfish (Pangasianodon hypophthalmus, Sauvage 1878) and its treatment trial by different therapeutic agents in a control environment. J. Appl. Aquac. 2020, 32, 81–93. [Google Scholar] [CrossRef]
- Li, M.; Bastos Gomes, G.; Zhao, W.; Hu, G.; Huang, K.; Yoshinaga, T.; Clark, T.G.; Li, W.; Zou, H.; Wu, S. Cultivation of fish ciliate parasites: Progress and prospects. Rev. Aquac. 2023, 15, 142–162. [Google Scholar] [CrossRef]
- Bastos Gomes, G.B.; Jerry, D.R.; Miller, T.L.; Hutson, K.S. Current status of parasitic ciliates Chilodonella spp. (Phyllopharyngea: Chilodonellidae) in freshwater fish aquaculture. J. Fish Dis. 2017, 40, 703–715. [Google Scholar] [PubMed]
- Li, M.; Wang, R.; Gomes, G.B.; Zou, H.; Li, W.; Wu, S.; Wang, G.; Ponce-Gordo, F. Epidemiology and identification of two species of Chilodonella affecting farmed fishes in China. Vet. Parasitol. 2018, 264, 8–17. [Google Scholar] [CrossRef]
- Bu, X.; Wang, R.; Gomes, G.B.; Ban, S.N.; Li, W.; Wu, S.; Zou, H.; Li, M.; Wang, G. First record of facultative parasitism of Chilodonella uncinata based on goldfish (Carassius auratus) infection model. Aquaculture 2021, 538, 736535. [Google Scholar] [CrossRef]
- Ginger, M.L.; Fritz-Laylin, L.K.; Fulton, C.; Cande, W.Z.; Dawson, S.C. Intermediary metabolism in protists: A sequence-based view of facultative anaerobic metabolism in evolutionarily diverse eukaryotes. Protist 2010, 161, 642–671. [Google Scholar] [CrossRef]
- Tielens, A.G.; Rotte, C.; van Hellemond, J.J.; Martin, W. Mitochondria as we don’t know them. Trends Biochem. Sci. 2002, 27, 564–572. [Google Scholar] [CrossRef]
- Coyne, R.S.; Hannick, L.; Shanmugam, D.; Hostetler, J.B.; Brami, D.; Joardar, V.S.; Johnson, J.; Radune, D.; Singh, I.; Badger, J.H. Comparative genomics of the pathogenic ciliate Ichthyophthirius multifiliis, its free-living relatives and a host species provide insights into adoption of a parasitic lifestyle and prospects for disease control. Genome Biol. 2011, 12, R100. [Google Scholar] [CrossRef]
- Bu, X.; Zhao, W.; Li, M.; Li, W.; Wu, S.; Zou, H.; Wang, G. Transcriptomic differences between free-living and parasitic Chilodonella uncinata (Alveolata, Ciliophora). Microorganisms 2022, 10, 1646. [Google Scholar] [CrossRef] [PubMed]
- Chen, H.; Chan, D.C. Mitochondrial dynamics in regulating the unique phenotypes of cancer and stem cells. Cell Metab. 2017, 26, 39–48. [Google Scholar] [CrossRef]
- Chan, D.C. Fusion and fission: Interlinked processes critical for mitochondrial health. Annu. Rev. Genet. 2012, 46, 265–287. [Google Scholar] [CrossRef] [PubMed]
- Koch, B.; Traven, A. Mdivi-1 and mitochondrial fission: Recent insights from fungal pathogens. Curr. Genet. 2019, 65, 837–845. [Google Scholar] [CrossRef] [PubMed]
- Cassidy-Stone, A.; Chipuk, J.E.; Ingerman, E.; Song, C.; Yoo, C.; Kuwana, T.; Kurth, M.J.; Shaw, J.T.; Hinshaw, J.E.; Green, D.R. Chemical inhibition of the mitochondrial division dynamin reveals its role in Bax/Bak-dependent mitochondrial outer membrane permeabilization. Dev. Cell 2008, 14, 193–204. [Google Scholar] [CrossRef]
- Rehman, J.; Zhang, H.J.; Toth, P.T.; Zhang, Y.; Marsboom, G.; Hong, Z.; Salgia, R.; Husain, A.N.; Wietholt, C.; Archer, S.L. Inhibition of mitochondrial fission prevents cell cycle progression in lung cancer. FASEB J. 2012, 26, 2175. [Google Scholar] [CrossRef]
- Koch, B.; Barugahare, A.A.; Lo, T.L.; Huang, C.; Schittenhelm, R.B.; Powell, D.R.; Beilharz, T.H.; Traven, A. A metabolic checkpoint for the yeast-to-hyphae developmental switch regulated by endogenous nitric oxide signaling. Cell Rep. 2018, 25, 2244–2258.e7. [Google Scholar] [CrossRef]
- Bu, X.; Zhao, W.; Li, W.; Zou, H.; Wu, S.; Li, M.; Wang, G. Mitochondrial metabolism of the facultative parasite Chilodonella uncinata (Alveolata, Ciliophora). Parasites Vectors 2023, 16, 92. [Google Scholar] [CrossRef]
- Stechmann, A.; Hamblin, K.; Pérez-Brocal, V.; Gaston, D.; Richmond, G.S.; Van der Giezen, M.; Clark, C.G.; Roger, A.J. Organelles in Blastocystis that blur the distinction between mitochondria and hydrogenosomes. Curr. Biol. 2008, 18, 580–585. [Google Scholar] [CrossRef]
- de Graaf, R.M.; Ricard, G.; van Alen, T.A.; Duarte, I.; Dutilh, B.E.; Burgtorf, C.; Kuiper, J.W.; van der Staay, G.W.; Tielens, A.G.; Huynen, M.A.; et al. The organellar genome and metabolic potential of the hydrogen-producing mitochondrion of Nyctotherus ovalis. Mol. Biol. Evol. 2011, 28, 2379–2391. [Google Scholar] [CrossRef]
- Santos, H.J.; Makiuchi, T.; Nozaki, T. Reinventing an organelle: The reduced mitochondrion in parasitic protists. Trends Parasitol. 2018, 34, 1038–1055. [Google Scholar] [CrossRef]
- Wrenger, C.; Müller, S. Isocitrate dehydrogenase of Plasmodium falciparum: Energy metabolism or redox control? Eur. J. Biochem. 2003, 270, 1775–1783. [Google Scholar] [CrossRef]
- Gardner, M.J.; Hall, N.; Fung, E.; White, O.; Berriman, M.; Hyman, R.W.; Carlton, J.M.; Pain, A.; Nelson, K.E.; Bowman, S. Genome sequence of the human malaria parasite Plasmodium falciparum. Nat. Biotechnol. 2002, 419, 498–511. [Google Scholar] [CrossRef]
- Giordana, L.; Nowicki, C. Two phylogenetically divergent isocitrate dehydrogenases are encoded in Leishmania parasites. Molecular and functional characterization of Leishmania mexicana isoenzymes with specificity towards NAD+ and NADP+. Mol. Biochem. Parasitol. 2020, 240, 111320. [Google Scholar] [CrossRef] [PubMed]
- Swart, E.C.; Bracht, J.R.; Magrini, V.; Minx, P.; Chen, X.; Zhou, Y.; Khurana, J.S.; Goldman, A.D.; Nowacki, M.; Schotanus, K. The Oxytricha trifallax macronuclear genome: A complex eukaryotic genome with 16,000 tiny chromosomes. PLoS Biol. 2013, 11, e1001473. [Google Scholar] [CrossRef] [PubMed]
- Smith, D.G.; Gawryluk, R.M.; Spencer, D.F.; Pearlman, R.E.; Siu, K.M.; Gray, M.W. Exploring the mitochondrial proteome of the ciliate protozoon Tetrahymena thermophila: Direct analysis by tandem mass spectrometry. J. Mol. Biol. 2007, 374, 837–863. [Google Scholar] [CrossRef] [PubMed]
- Embley, T.M.; Martin, W. Eukaryotic evolution, changes and challenges. Nature 2006, 440, 623–630. [Google Scholar] [CrossRef]
- Cogliati, S.; Cabrera-Alarcón, J.L.; Enriquez, J.A. Regulation and functional role of the electron transport chain supercomplexes. Biochem. Soc. Trans. 2021, 49, 2655–2668. [Google Scholar] [CrossRef]
- Nolfi-Donegan, D.; Braganza, A.; Shiva, S. Mitochondrial electron transport chain: Oxidative phosphorylation, oxidant production, and methods of measurement. Redox Biol. 2020, 37, 101674. [Google Scholar] [CrossRef]
- Zhao, R.Z.; Jiang, S.; Zhang, L.; Yu, Z.B. Mitochondrial electron transport chain, ROS generation and uncoupling. Int. J. Mol. Med. 2019, 44, 3–15. [Google Scholar] [CrossRef]
- Eme, L.; Gentekaki, E.; Curtis, B.; Archibald, J.M.; Roger, A.J. Lateral gene transfer in the adaptation of the anaerobic parasite Blastocystis to the gut. Curr. Biol. 2017, 27, 807–820. [Google Scholar] [CrossRef] [PubMed]
- Schneider, R.E.; Brown, M.T.; Shiflett, A.M.; Dyall, S.D.; Hayes, R.D.; Xie, Y.; Loo, J.A.; Johnson, P.J. The Trichomonas vaginalis hydrogenosome proteome is highly reduced relative to mitochondria, yet complex compared with mitosomes. Int. J. Parasitol. 2011, 41, 1421–1434. [Google Scholar] [CrossRef] [PubMed]
- Patel, M.S.; Nemeria, N.S.; Furey, W.; Jordan, F. The Pyruvate Dehydrogenase Complexes: Structure-based Function and Regulation. J. Biol. Chem. 2014, 289, 16615–16623. [Google Scholar] [CrossRef] [PubMed]
- Hrdý, I.; Tachezy, J.; Müller, M. Metabolism of Trichomonad Hydrogenosomes, in Hydrogenosomes and Mitosomes: Mitochondria of Anaerobic Eukaryotes; Springer: Berlin/Heidelberg, Germany, 2007; pp. 113–145. [Google Scholar]
- Black, P.N.; Færgeman, N.J.; DiRusso, C.C. Long-chain acyl-CoA–dependent regulation of gene expression in bacteria, yeast and mammals. J. Nutr. 2000, 130, 305S–309S. [Google Scholar] [CrossRef]
- Tonazzi, A.; Giangregorio, N.; Console, L.; Palmieri, F.; Indiveri, C. The mitochondrial carnitine acyl-carnitine carrier (SLC25A20): Molecular mechanisms of transport, role in redox sensing and interaction with drugs. Biomolecules 2021, 11, 521. [Google Scholar] [CrossRef]
- Yang, S.Y.; He, X.Y.; Schulz, H. 3-Hydroxyacyl-CoA dehydrogenase and short chain 3-hydroxyacyl-CoA dehydrogenase in human health and disease. FEBS J. 2005, 272, 4874–4883. [Google Scholar] [CrossRef]
- Agnihotri, G.; Liu, H. Enoyl-CoA hydratase: Reaction, mechanism, and inhibition. Bioorganic Med. Chem. 2003, 11, 9–20. [Google Scholar] [CrossRef]
- Polla, B.S. Heat shock proteins in host-parasite interactions. Immunol. Today 1991, 12, A38–A41. [Google Scholar] [CrossRef]
- Wiesgigl, M.; Clos, J. Heat shock protein 90 homeostasis controls stage differentiation in Leishmania donovani. Mol. Biol. Cell 2001, 12, 3307–3316. [Google Scholar] [CrossRef]
- Brandau, S.; Dresel, A.; Clos, J. High constitutive levels of heat-shock proteins in human-pathogenic parasites of the genus Leishmania. Biochem. J. 1995, 310, 225–232. [Google Scholar] [CrossRef]
- Bordt, E.A.; Clerc, P.; Roelofs, B.A.; Saladino, A.J.; Tretter, L.; Adam-Vizi, V.; Cherok, E.; Khalil, A.; Yadava, N.; Shealinna, X.G. The putative Drp1 inhibitor mdivi-1 is a reversible mitochondrial complex I inhibitor that modulates reactive oxygen species. Dev. Cell 2017, 40, 583–594.e6. [Google Scholar] [CrossRef] [PubMed]
- Roy, M.; Reddy, P.H.; Iijima, M.; Sesaki, H. Mitochondrial division and fusion in metabolism. Curr. Opin. Cell Biol. 2015, 33, 111–118. [Google Scholar] [CrossRef] [PubMed]
- Wu, X.; Wu, F.; Wu, Q.; Zhang, S.; Chen, S.; Sima, M. Phylogenetic and molecular evolutionary analysis of mitophagy receptors under hypoxic conditions. Front. Physiol. 2017, 8, 539. [Google Scholar] [CrossRef] [PubMed]
- Wellborn, T.L., Jr. Trichodina (Ciliata: Urceolariidae) of freshwater fishes of the southeastern United States. J. Protozool. 1967, 14, 399–412. [Google Scholar] [CrossRef] [PubMed]
- Bolger, A.M.; Lohse, M.; Usadel, B. Trimmomatic: A flexible trimmer for Illumina sequence data. Bioinformatics 2014, 30, 2114–2120. [Google Scholar] [CrossRef]
- Andrews, S. FastQC: A Quality Control Tool for High throughput Sequence Data. 2010. Available online: https://www.bioinformatics.babraham.ac.uk/projects/fastqc/ (accessed on 1 October 2022).
- Grabherr, M.G.; Haas, B.J.; Yassour, M.; Levin, J.Z.; Amit, I. Trinity: Reconstructing a full-length transcriptome without a genome from RNA-Seq data. Nat. Biotechnol. 2013, 29, 644. [Google Scholar] [CrossRef]
- Camacho, C.; Coulouris, G.; Avagyan, V.; Ma, N.; Papadopoulos, J.; Bealer, K.; Madden, T.L. BLAST+: Architecture and applications. BMC Bioinform. 2009, 10, 421. [Google Scholar] [CrossRef]
- Simão, F.A.; Waterhouse, R.M.; Ioannidis, P.; Kriventseva, E.V.; Zdobnov, E.M. BUSCO: Assessing genome assembly and annotation completeness with single-copy orthologs. Bioinformatics 2015, 31, 3210–3212. [Google Scholar] [CrossRef]
- Core Team, R. R: A Language and Environment for Statistical Computing; R Foundation for Statistical Computing: Vienna, Austria, 2019; Volume 14, pp. 12–21. Available online: https://www.R-project.org/ (accessed on 28 October 2022).
- Langmead, B. Aligning short sequencing reads with Bowtie. Curr. Protoc. Bioinform. 2010, 32, 11.7.1–11.7.14. [Google Scholar] [CrossRef]
- Li, B.; Dewey, C.N. RSEM: Accurate transcript quantification from RNA-Seq data with or without a reference genome. BMC Bioinform. 2011, 12, 323. [Google Scholar] [CrossRef]
- Robinson, M.D.; McCarthy, D.J.; Smyth, G.K. edgeR: A Bioconductor package for differential expression analysis of digital gene expression data. Bioinformatics 2010, 26, 139–140. [Google Scholar] [CrossRef] [PubMed]
- Cantalapiedra, C.P.; Hernández-Plaza, A.; Letunic, I.; Bork, P.; Huerta-Cepas, J. eggNOG-mapper v2: Functional Annotation, Orthology Assignments, and Domain Prediction at the Metagenomic Scale. Mol. Biol. Evol. 2021, 38, 5825–5829. [Google Scholar] [CrossRef]
- Taylor, S.W.; Fahy, E.; Zhang, B.; Glenn, G.M.; Warnock, D.E.; Wiley, S.; Murphy, A.N.; Gaucher, S.P.; Capaldi, R.A.; Gibson, B.W. Characterization of the human heart mitochondrial proteome. Nat. Biotechnol. 2003, 21, 281–286. [Google Scholar] [CrossRef] [PubMed]
- Prokisch, H.; Scharfe, C.; Camp, D.G.; Xiao, W.; David, L.; Andreoli, C.; Monroe, M.E.; Moore, R.J.; Gritsenko, M.A.; Kozany, C. Integrative analysis of the mitochondrial proteome in yeast. PLoS Biol. 2004, 2, e160. [Google Scholar] [CrossRef] [PubMed]
- Kanehisa, M.; Sato, Y.; Morishima, K. BlastKOALA and GhostKOALA: KEGG tools for functional characterization of genome and metagenome sequences. J. Mol. Biol. 2016, 428, 726–731. [Google Scholar] [CrossRef]
- Emanuelsson, O.; Brunak, S.; Von Heijne, G.; Nielsen, H. Locating proteins in the cell using TargetP, SignalP and related tools. Nat. Protoc. 2007, 2, 953–971. [Google Scholar] [CrossRef]
- Fukasawa, Y.; Tsuji, J.; Fu, S.-C.; Tomii, K.; Horton, P.; Imai, K. MitoFates: Improved prediction of mitochondrial targeting sequences and their cleavage sites*[S]. Mol. Cell. Proteom. 2015, 14, 1113–1126. [Google Scholar] [CrossRef]










| Species | Clean Reads Number | Clean Bases | GC | N50 | Mapping Rate | Contigs Number | Average Length | BUSCO |
|---|---|---|---|---|---|---|---|---|
| C. hexasticha | 5,173,514 | 13,955,450 | 43.66 | 683 | 98.83% | 24,610 | 620.63 | 60.8% |
| free-living C. uncinata | 7,595,875 | 20,617,209 | 47.46 | 747 | 98.29% | 36,199 | 650.57 | 60.8% |
| parasitic C. uncinata | 10,405,092 | 17,746,882 | 49.09 | 717 | 98.81% | 35,534 | 637.80 | 73% |
Disclaimer/Publisher’s Note: The statements, opinions and data contained in all publications are solely those of the individual author(s) and contributor(s) and not of MDPI and/or the editor(s). MDPI and/or the editor(s) disclaim responsibility for any injury to people or property resulting from any ideas, methods, instructions or products referred to in the content. |
© 2023 by the authors. Licensee MDPI, Basel, Switzerland. This article is an open access article distributed under the terms and conditions of the Creative Commons Attribution (CC BY) license (https://creativecommons.org/licenses/by/4.0/).
Share and Cite
Bu, X.; Zhao, W.; Li, W.; Zou, H.; Li, M.; Wang, G. Comparative Transcriptomics of Chilodonella hexasticha and C. uncinata Provide New Insights into Adaptations to a Parasitic Lifestyle and Mdivi-1 as a Potential Agent for Chilodonellosis Control. Int. J. Mol. Sci. 2023, 24, 13058. https://doi.org/10.3390/ijms241713058
Bu X, Zhao W, Li W, Zou H, Li M, Wang G. Comparative Transcriptomics of Chilodonella hexasticha and C. uncinata Provide New Insights into Adaptations to a Parasitic Lifestyle and Mdivi-1 as a Potential Agent for Chilodonellosis Control. International Journal of Molecular Sciences. 2023; 24(17):13058. https://doi.org/10.3390/ijms241713058
Chicago/Turabian StyleBu, Xialian, Weishan Zhao, Wenxiang Li, Hong Zou, Ming Li, and Guitang Wang. 2023. "Comparative Transcriptomics of Chilodonella hexasticha and C. uncinata Provide New Insights into Adaptations to a Parasitic Lifestyle and Mdivi-1 as a Potential Agent for Chilodonellosis Control" International Journal of Molecular Sciences 24, no. 17: 13058. https://doi.org/10.3390/ijms241713058
APA StyleBu, X., Zhao, W., Li, W., Zou, H., Li, M., & Wang, G. (2023). Comparative Transcriptomics of Chilodonella hexasticha and C. uncinata Provide New Insights into Adaptations to a Parasitic Lifestyle and Mdivi-1 as a Potential Agent for Chilodonellosis Control. International Journal of Molecular Sciences, 24(17), 13058. https://doi.org/10.3390/ijms241713058

