Transcriptome Sequencing Analysis of Root in Soybean Responding to Mn Poisoning
Abstract
1. Introduction
2. Results
2.1. Effects of Growth of Soybean Root Suffering Mn Poisoning
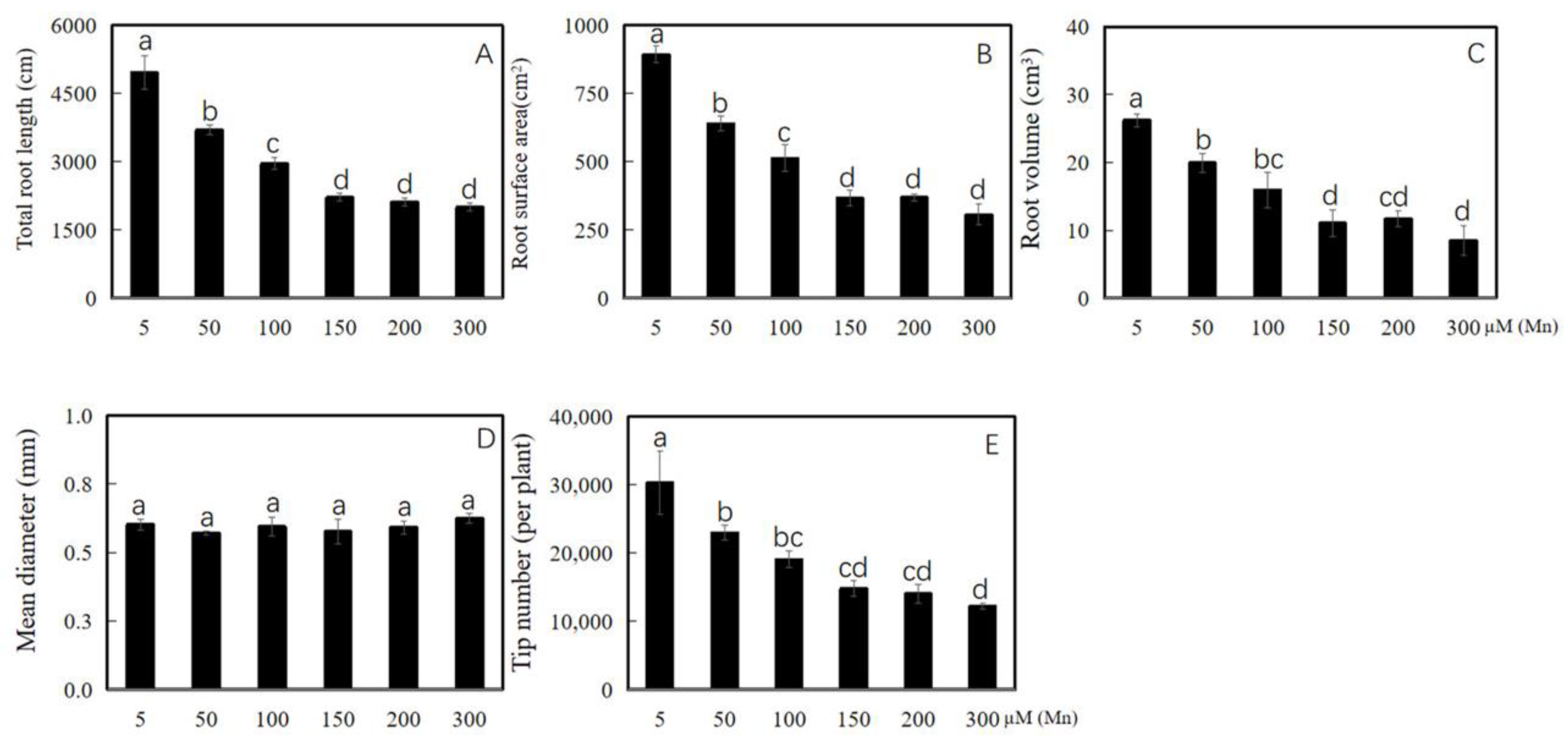
2.2. Influences of Various Exogenous Mn Concentrations on Soybean Root Biomass
2.3. Influences of Different Concentrations of Exogenous Mn on the Physiological Response Indices of Soybean Roots
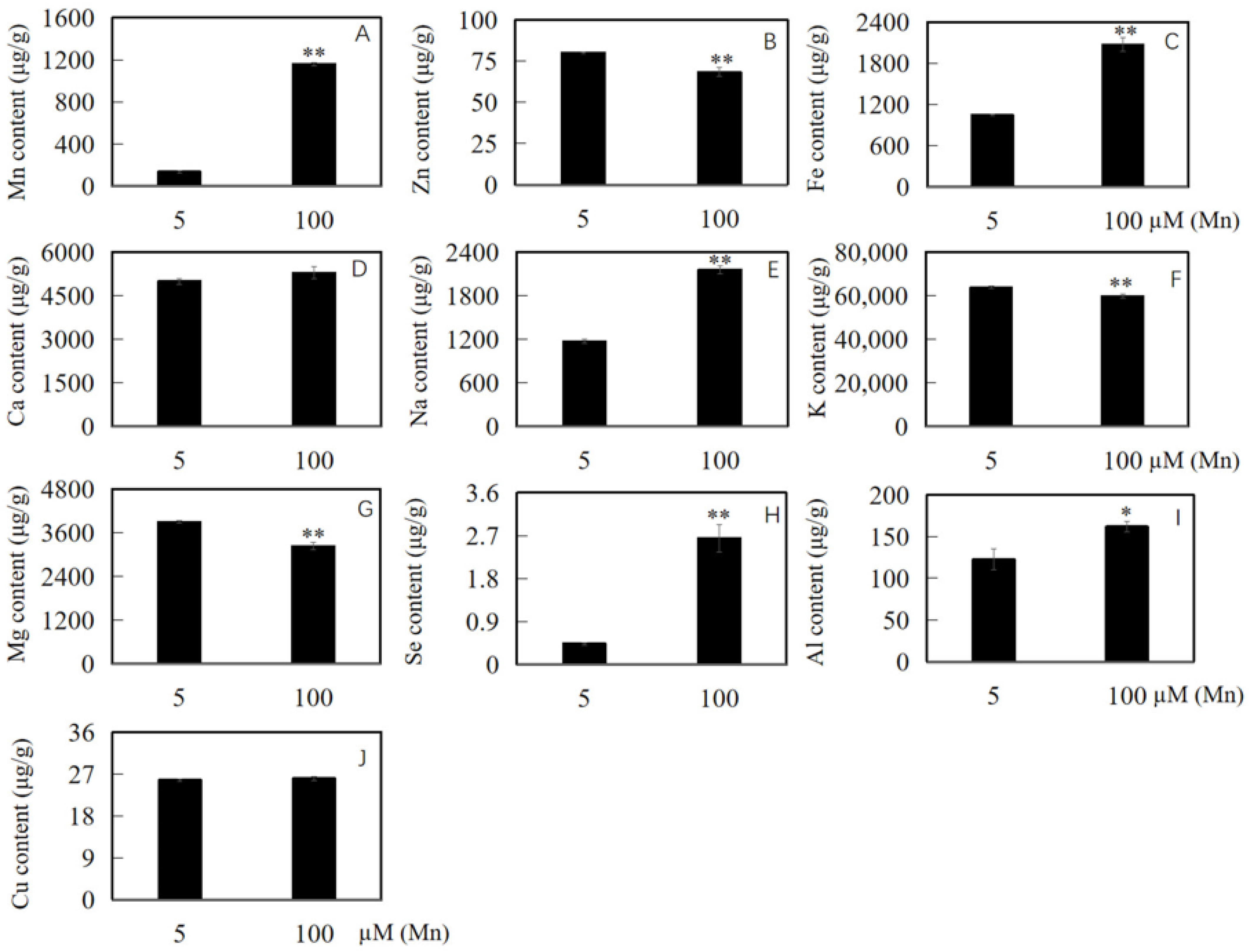
2.4. Effects of Different Concentrations of Exogenous Mn on Ion Accumulation in Root of Soybean
2.5. Influences of Various Concentrations of Exogenous Mn on Plant Hormone Homeostasis in Roots of Soybean
2.6. RNA-Seq Analysis of Soybean Roots Treated with Mn Poisoning
2.7. Functional DEGs Enrichment Analysis
2.8. Identification of Hormone DEGs
2.9. Identification of Antioxidant DEGs
2.10. Identification of Transporter DEGs
2.11. Identification of DEGs of Transcription Factors
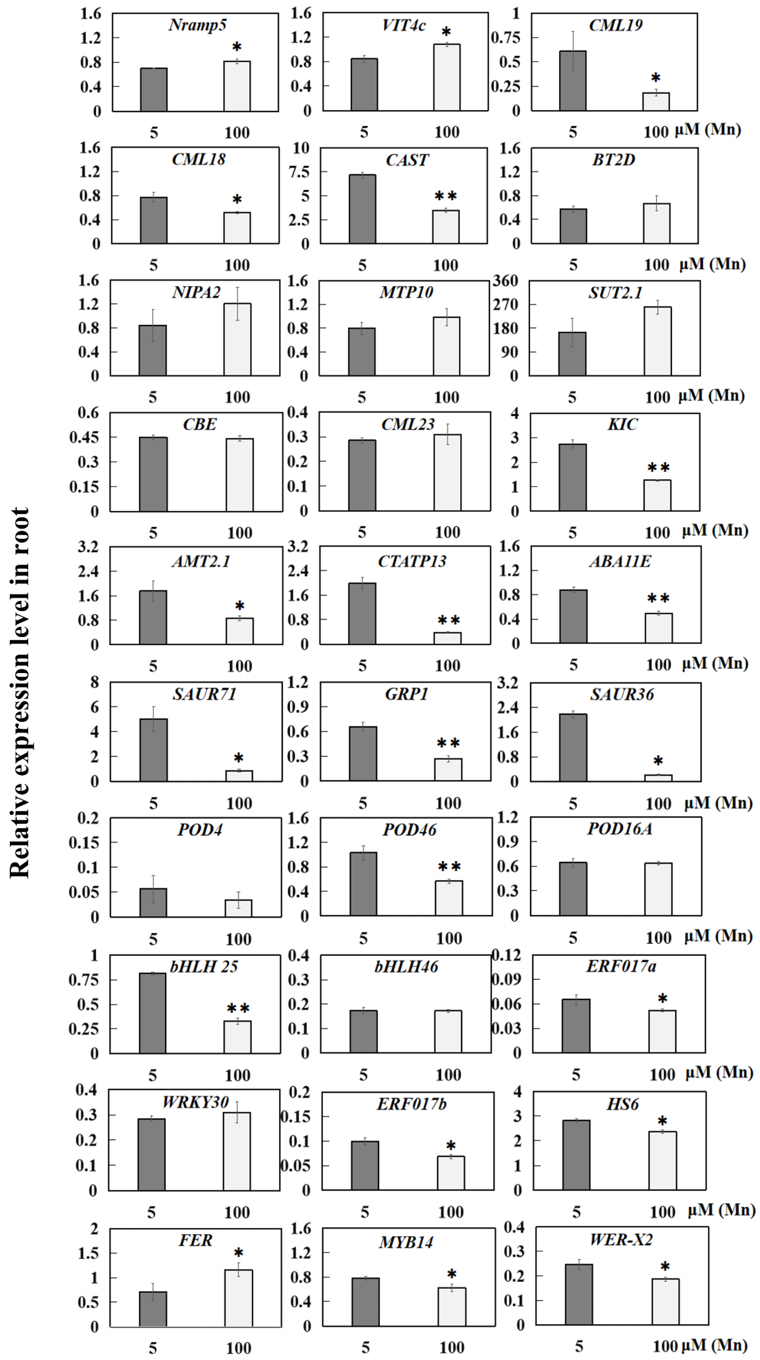
2.12. Analysis of Expression of Genes by Quantitative Reverse Transcription-PCR (qRT-PCR)
3. Discussion
4. Materials and Methods
4.1. Source of Plant Materials
4.2. Surveying Dry and Fresh Biomass of Roots in Soybean
4.3. Assessment of Root Phenotype Data
4.4. Determination of Content of MDA
4.5. Determination of concentration of soluble protein
4.6. Determination of Soluble Sugar Content
4.7. Assaying the Content of Pro
4.8. Enzyme Activity Measurement
4.9. Determination of Ion Content in Soybean Roots
4.10. Identification of the Presence of Four Different Hormones in the Roots of Soybean
4.11. Library Preparation and Transcriptome Sequencing Analysis
4.12. qRT-PCR Detection
4.13. Data Analysis
5. Conclusions
Supplementary Materials
Author Contributions
Funding
Institutional Review Board Statement
Informed Consent Statement
Data Availability Statement
Conflicts of Interest
References
- Li, J.F.; Jia, Y.D.; Dong, R.S.; Huang, R.; Liu, P.D.; Li, X.Y.; Wang, Z.Y.; Liu, G.D.; Chen, Z.J. Advances in the mechanisms of plant tolerance to manganese toxicity. Int. J. Mol. Sci. 2019, 20, 5096. [Google Scholar] [CrossRef]
- Liu, Y.; Xue, Y.B.; Xie, B.X.; Zhu, S.N.; Lu, X.; Liang, C.Y.; Tian, J. Complex gene regulation between young and old soybean leaves in responses to manganese toxicity. Plant Physiol. Bioch. 2020, 155, 231–242. [Google Scholar] [CrossRef]
- Yang, S.; Yi, K.; Chang, M.M.; Ling, G.Z.; Zhao, Z.K.; Li, X.F. Sequestration of Mn into the cell wall contributes to Mn tolerance in sugarcane (Saccharum officinarum L.). Plant Soil 2019, 436, 475–487. [Google Scholar] [CrossRef]
- Shao, J.F.; Yamaji, N.; Shen, R.F.; Ma, J.F. The key to Mn homeostasis in plants: Regulation of Mn transporters. Trends Plant Sci. 2017, 22, 215–224. [Google Scholar] [CrossRef]
- Pan, G.; Zhang, H.P.; Liu, P.; Xiao, Z.H.; Li, X.H.; Liu, W.S. Effects of manganese stress on phenology and biomass allocation in Xanthium strumarium from metalliferous and non-metalliferous sites. Ecotox. Environ. Saf. 2019, 172, 308–316. [Google Scholar] [CrossRef]
- Santos, E.F.; Santini, J.M.K.; Paixão, A.P.; Júnior, E.F.; Lavres, J.; Campos, M.; Reis, A.R. Physiological highlights of manganese symptoms in soybean plants: Mn toxicity responses. Plant Physiol. Bioch. 2017, 113, 6–19. [Google Scholar] [CrossRef] [PubMed]
- Jumrani, K.; Bhatia, V.S. Interactive effect of temperature and water stress on physiological and biochemical processes in soybean. Physiol. Mol. Biol. Pla. 2019, 25, 667–681. [Google Scholar] [CrossRef]
- Liu, Y.; Zhao, M.; Chen, J.Y.; Yang, S.X.; Chen, J.P.; Xue, Y.B. Comparative transcriptome analysis reveals complex physiological response and gene regulation in peanut roots and leaves under Mn toxicity stress. Int. J. Mol. Sci. 2023, 24, 1161. [Google Scholar] [CrossRef] [PubMed]
- Takeuchi, J.; Fukui, K.; Seto, Y.; Takaoka, Y.; Okamoto, M. Ligand–receptor interactions in plant hormone signaling. Plant J. 2021, 105, 290–306. [Google Scholar] [CrossRef]
- Aprile, A.; De Bellis, L. Editorial for Special Issue “Heavy metals accumulation, toxicity, and detoxification in plants”. Int. J. Mol. Sci. 2020, 21, 4103. [Google Scholar] [CrossRef]
- Liu, Y.; Chen, J.Y.; Li, X.H.; Yang, S.X.; Hu, H.Q.; Xue, Y.B. Effects of manganese toxicity on the growth and gene expression at the seedling stage of soybean. Phyton. Int. J. Exp. Bot. 2022, 91, 975–987. [Google Scholar] [CrossRef]
- Tang, T.; Tao, F.; Li, W. Characterisation of manganese toxicity tolerance in Arabis paniculata. Plant Divers. 2021, 43, 163–172. [Google Scholar] [CrossRef] [PubMed]
- Horst, W.J.; Maier, P.; Fecht, M.; Naumann, A.; Wissemeier, A.H. The physiology of manganese toxicity and tolerance in Vigna unguiculata (L.) Walp. J. Plant Nutr. Soil Sci. 1999, 162, 263–274. [Google Scholar] [CrossRef]
- Fecht-Christoffers, M.M.; Führs, H.; Braun, H.P.; Horst, W.J. The role of hydrogen peroxide-producing and hydrogen peroxide consuming peroxidases in the leaf apoplast of cowpea in manganese tolerance. Plant Physiol. 2006, 140, 1451–1463. [Google Scholar] [CrossRef]
- Delhaize, E.; Gruber, B.D.; Pittman, J.K.; White, R.G.; Leung, H.; Miao, Y.; Jiang, L.; Ryan, P.R.; Richardson, A.E. A role for the AtMTP11 gene of Arabidopsis in manganese transport and tolerance. Plant J. 2007, 51, 198–210. [Google Scholar] [CrossRef]
- Chen, Z.; Fujii, Y.; Yamaji, N.; Masuda, S.; Takemoto, Y.; Kamiya, T.; Yusuyin, Y.; Iwasaki, K.; Kato, S.; Maeshima, M.; et al. Mn tolerance in rice is mediated by MTP8.1, a member of the cation diffusion facilitator family. J. Exp. Bot. 2013, 64, 4375–4387. [Google Scholar] [CrossRef]
- Migocka, M.; Papierniak, A.; Maciaszczyk-Dziubinska, E.; Po´zdzik, P.; Posyniak, E.; Garbiec, A.; Filleur, S. Cucumber metal transport protein MTP8 confers increased tolerance to manganese when expressed in yeast and Arabidopsis thaliana. J. Exp. Bot. 2014, 65, 5367–5384. [Google Scholar] [CrossRef]
- Chen, Z.J.; Sun, L.L.; Liu, P.D.; Liu, G.D.; Tian, J.; Liao, H. Malate synthesis and secretion mediated by a manganese-enhanced malate dehydrogenase confers superior manganese tolerance in Stylosanthes guianensis. Plant Physiol. 2015, 167, 176–188. [Google Scholar] [CrossRef]
- De la Luz Mora, M.; Rosas, A.; Ribera, A.; Rengel, Z. Differential tolerance to Mn toxicity in perennial ryegrass genotypes: Involvement of antioxidative enzymes and root exudation of carboxylates. Plant Soil 2009, 320, 79–89. [Google Scholar] [CrossRef]
- Hauck, M.; Paul, A.; Gross, S.; Raubuch, M. Manganese toxicity in epiphytic lichens: Chlorophyll degradation and interaction with iron and phosphorus. Environ. Exp. Bot. 2003, 49, 181–191. [Google Scholar] [CrossRef]
- Dou, C.; Fu, X.; Chen, X.; Shi, J.; Chen, Y. Accumulation and interaction of calcium and manganese in Phytolacca americana. Plant Sci. 2009, 177, 601–606. [Google Scholar] [CrossRef]
- Alejandro, S.; Höller, S.; Meier, B.; Peiter, E. Manganese in plants: From acquisition to subcellular allocation. Front. Plant Sci. 2020, 11, 300. [Google Scholar] [CrossRef]
- Mangena, P. Impact of polyploidy induction for salinity stress mitigation in soybean (Glycine max L. Merrill). Plants 2023, 12, 1356. [Google Scholar] [CrossRef]
- Javaid, M.H.; Khan, A.R.; Salam, A.; Neelam, A.; Azhar, W.; Ulhassan, Z.; Gan, Y.B. Exploring the adaptive responses of plants to abiotic stresses using transcriptome data. Agric 2022, 12, 211. [Google Scholar] [CrossRef]
- Ikhajiagbe, B.; Ogwu, M.C.; Lato, N.F. Growth and yield responses of soybean (Glycine max L. Merr.) accessions after exposure to cadmium. Vegetos 2021, 34, 107–118. [Google Scholar] [CrossRef]
- Huang, H.M.; Zhao, Y.L.; Fan, L.; Jin, Q.; Yang, G.Y.; Xu, Z.G. Improvement of manganese phytoremediation by Broussonetia papyrifera with two plant growth promoting (PGP) Bacillus species. Chemosphere 2020, 260, 127614. [Google Scholar] [CrossRef]
- Gao, H.H.; Huang, L.Z.; Gong, Z.J.; Wang, X.T.; Qiao, X.Q.; Fang, X.; Yang, Y.T.; Yu, B.H.; Guo, X.T.; Yu, C.Y.; et al. Exogenous melatonin application improves resistance to high manganese stress through regulating reactive oxygen species scavenging and ion homeostasis in tobacco. Plant Growth Regul. 2022, 98, 219–233. [Google Scholar] [CrossRef]
- Szechyńska-Hebda, M.; Ghalami, R.Z.; Kamran, M.; Breusegem, F.V.; Karpiński, S. To be or not to be? Are reactive oxygen species, antioxidants, and stress signalling universal determinants of life or death? Cells 2022, 11, 4105. [Google Scholar] [CrossRef] [PubMed]
- Wu, F.L.; Huang, H.Y.; Peng, M.Y.; Lai, Y.H.; Ren, Q.Q.; Zhang, J.; Huang, Z.G.; Yang, L.T.; Rensing, C.; Chen, L.S. Adaptive responses of Citrus grandis leaves to copper toxicity revealed by RNA-Seq and physiology. Int. J. Mol. Sci. 2021, 22, 12023. [Google Scholar] [CrossRef] [PubMed]
- Wu, B.S.; Zhang, J.; Huang, W.L.; Yang, L.T.; Huang, Z.R.; Guo, J.X.; Wu, J.C.; Chen, L.S. Molecular mechanisms for pH-mediated amelioration of aluminum-toxicity revealed by conjoint analysis of transcriptome and metabolome in Citrus sinensis roots. Chemosphere 2022, 299, 134335. [Google Scholar] [CrossRef] [PubMed]
- Tang, F.L.; Li, R.M.; Zhou, Y.J.; Wang, S.J.; Zhou, Q.; Ding, Z.P.; Yao, Y.; Liu, J.; Wang, Y.J.; Hu, X.W.; et al. Genome-wide identification of Cassava glyoxalase I genes and the potential function of MeGLYⅠ-13 in iron toxicity tolerance. Int. J. Mol. Sci. 2022, 23, 5212. [Google Scholar] [CrossRef] [PubMed]
- Cheng, Y.X.; Qiu, L.Z.; Shen, P.K.; Wang, Y.Q.; Li, J.L.; Dai, Z.Y.; Qi, M.F.; Zhou, Y.; Zou, Z.K. Transcriptome studies on cadmium tolerance and biochar mitigating cadmium stress in muskmelon. Plant Physiol. Bioch. 2023, 197, 107661. [Google Scholar] [CrossRef]
- Chen, Z.J.; Wei, Y.; Sun, L.; Tian, J.; Liao, H. Proteomic analysis reveals growth inhibition of soybean roots by manganese toxicity is associated with alteration of cell wall structure and lignification. J. Proteom. 2016, 143, 151–160. [Google Scholar] [CrossRef] [PubMed]
- Millaleo, R.; Reyes-Díaz, M.; Ivanov, A.; Mora, M.; Alberdi, M. Manganese as essential and toxic element for plants: Transport, accumulation and resistance mechanism. J. Soil Sci. Plant Nutr. 2010, 10, 470–481. [Google Scholar] [CrossRef]
- Peng, K.J.; Luo, C.L.; You, W.X.; Lian, C.L.; Li, X.D.; Shen, Z.G. Mn uptake and interactions with cadmium in the hyperaccumulator-Phytolacca americana L. J. Hazard. Mater. 2008, 154, 674–681. [Google Scholar] [CrossRef] [PubMed]
- Noor, I.; Sohail, H.; Sun, J.X.; Nawaz, M.A.; Li, G.H.; Hasanuzzaman, M.; Liu, J.W. Heavy metal and metalloid toxicity in horticultural plants: Tolerance mechanism and remediation strategies. Chemosphere 2022, 303, 135196. [Google Scholar] [CrossRef] [PubMed]
- Gherardi, M.J.; Rengel, Z. Genotypes of lucerne (Medicago sativa L.) show differential tolerance to Mn deficiency and toxicity when grown in bauxite residue sand. Plant Soil 2003, 249, 287–296. [Google Scholar] [CrossRef]
- Saleem, K.; Asghar, M.A.; Saleem, M.H.; Raza, A.; Kocsy, G.; Iqba, N.; Ali, B.; Albeshr, M.F.; Bhat, E.A. Chrysotile-asbestos-induced damage in Panicum virgatum and Phleum pretense species and its alleviation by organic-soil amendment. Sustainability 2022, 14, 10824. [Google Scholar] [CrossRef]
- Sharma, S.S.; Dietz, K.J.; Mimura, T. Vacuolar compartmentalization as indispensable component of heavy metal detoxification in plants. Plant Cell Environ. 2016, 39, 1112–1126. [Google Scholar] [CrossRef]
- Gavrilescu, M. Enhancing phytoremediation of soils polluted with heavy metals. Curr. Opin. Biotechnol. 2022, 74, 21–31. [Google Scholar] [CrossRef]
- Madhumita, J.M.; Sharma, A. Manganese in cell metabolism of higher plants. Bot. Rev. 1991, 57, 117–149. [Google Scholar]
- Zhao, J.J.; Wang, W.Y.; Zhou, H.K.; Wang, R.L.; Zhang, P.; Wang, H.C.; Pan, X.L.; Xu, J. Mn toxicity inhibited root growth by disrupting auxin biosynthesis and transport in Arabidopsis. Front. Plant Sci. 2017, 8, 272. [Google Scholar] [CrossRef] [PubMed]
- Huang, H.M.; Zhao, Y.L.; Xu, Z.G.; Zhang, W.; Jiang, K.K. Physiological responses of Broussonetia papyrifera to manganese stress, a candidate plant for phytoremediation. Ecotox. Environ. Saf. 2019, 181, 18–25. [Google Scholar] [CrossRef] [PubMed]
- Yang, Z.B.; You, J.F.; Xu, M.Y.; Yang, Z.M. Interaction between aluminum toxicity and manganese toxicity in soybean (Glycine max). Plant Soil 2009, 319, 277–289. [Google Scholar] [CrossRef]
- Muhammad, N.; Zvobgo, G.; Fu, L.B.; Wa Lwalaba, J.L.; Zhang, G.P. Physiological mechanisms for antagonistic interaction of manganese and aluminum in barley. J. Plant Nutr. 2019, 42, 466–476. [Google Scholar] [CrossRef]
- Blair, L.M.; Taylor, G.J. The nature of interaction between aluminum and manganese on growth and metal accumulation in Triticum aestivum. Environ. Exp. Bot. 1997, 37, 25–37. [Google Scholar] [CrossRef]
- Taylor, G.J.; Blarney, F.P.C.; Edwards, D. Antagonistic and synergistic interactions between aluminum and manganese on growth of Vigna unguiculata at low ionic strength. Physiol. Plantarum 1998, 104, 183–194. [Google Scholar] [CrossRef]
- Wang, W.; Zhao, X.Q.; Hu, Z.M.; Shao, J.F.; Che, J.; Chen, R.F.; Xiao, Y.D.; Shen, R.F. Aluminium alleviates manganese toxicity to rice by decreasing root symplastic Mn uptake and reducing availability to shoots of Mn stored in roots. Ann. Bot. 2015, 116, 237–246. [Google Scholar] [CrossRef]
- Foy, C.D.; Webb, H.W.; Coradetti, C.A. Differential manganese tolerances of cotton genotypes in nutrient solution. J. Plant Nutr. 1995, 18, 685–706. [Google Scholar] [CrossRef]
- Bot, J.L.; Kirkby, E.A.; Beusicchem, M.L.V. Manganese toxicity in tomato plants: Effects on cation uptake and distribution. J. Plant Nutr. 1990, 13, 513–525. [Google Scholar] [CrossRef]
- Pittman, J.K.; Shigaki, T.; Marshall, J.L.; Morris, J.L.; Cheng, N.H.; Hirschi, K.D. Functional and regulatory analysis of the Arabidopsis thaliana CAX2 cation transporter. Plant Mol. Biol. 2004, 56, 959–971. [Google Scholar] [CrossRef] [PubMed]
- Pittman, J.K. Managing the manganese: Molecular mechanisms of manganese transport and homeostasis. New Phytol. 2005, 167, 733–742. [Google Scholar] [CrossRef]
- Raja, V.; Majeed, U.; Kang, H.; Andrabi, K.I.; John, R. Abiotic stress: Interplay between ROS, hormones and MAPKs. Environ. Exp. Bot. 2017, 137, 142–157. [Google Scholar] [CrossRef]
- Che, Y.; Zhang, N.; Zhu, X.; Li, S.; Wang, S.; Si, H. Enhanced tolerance of the transgenic potato plants overexpressing Cu/Zn superoxide dismutase to low temperature. Sci. Hortic. 2020, 261, 108949. [Google Scholar] [CrossRef]
- Wang, D.; Li, W.X.; Li, D.; Li, L.; Luo, Z.S. Effect of high carbon dioxide treatment on reactive oxygen species accumulation and antioxidant capacity in fresh-cut pear fruit during storage. Sci. Hortic. 2021, 281, 109925. [Google Scholar] [CrossRef]
- Killi, D.; Raschi, A.; Bussotti, F. Lipid peroxidation and chlorophyll fluorescence of photosystem II performance during drought and heat stress is associated with the antioxidant capacities of C3 sunflower and C4 maize varieties. Int. J. Mol. Sci. 2020, 21, 4846. [Google Scholar] [CrossRef]
- Gill, S.S.; Tuteja, N. Reactive oxygen species and antioxidant machinery in abiotic stress tolerance in crop plants. Plant Physiol. Biochem. 2010, 48, 909–930. [Google Scholar] [CrossRef]
- Wu, Y.; Gao, H.C.; Zhang, B.X.; Zhang, H.L.; Wang, Q.W.; Liu, X.L.; Luan, X.Y.; Ma, Y.S. Effects of 24-epioleucin lactones on fertility, physiology and cellular ultrastructure of soybean under salinity stress. Chin. Agr. Sci. 2017, 50, 811–821. [Google Scholar]
- Bai, Y.D.; Xiao, S.; Zhang, Z.C.; Zhang, Y.J.; Sun, H.C.; Zhang, K.; Wang, X.D.; Bai, Z.Y.; Li, C.D.; Liu, L.T. Melatonin improves the germination rate of cotton seeds under drought stress by opening pores in the seed coat. Peer J. 2020, 8, e9450. [Google Scholar] [CrossRef]
- Alisofi, S.; Einali, A.; Sangtarash, M.H. Jasmonic acid-induced metabolic responses in bitter melon (Momordica charantia) seedlings under salt stress. J. Hortic. Sci. Biotechnol. 2020, 95, 247–259. [Google Scholar] [CrossRef]
- Yoon, J.Y.; Hamayun, M.; Lee, S.K.; Lee, I.J. Methyl jasmonate alleviated salinity stress in soybean. J. Crop. Sci. Biotech. 2009, 12, 63–68. [Google Scholar] [CrossRef]
- Zhang, N.D.; Zhang, C.Y.; Xiao, X.; Zhang, Q.Y.; Huang, B.K. New cytotoxic compounds of endophytic fungus Alternaria sp. isolated from Broussonetia papyrifera (L.) Vent. Fitoterapia 2016, 110, 173–180. [Google Scholar] [CrossRef] [PubMed]
- Li, X.X.; Zhao, J.; Tan, Z.Y.; Zeng, R.S.; Liao, H. GmEXPB2, a cell wall β-expansin, affects soybean nodulation through modifying root architecture and promoting nodule formation and development. Plant Physiol. 2015, 169, 2640–2653. [Google Scholar] [CrossRef]
- Yuan, H.M.; Huang, X. Inhibition of root meristem growth by cadmium involves nitric oxide-mediated repression of auxin accumulation and signalling in Arabidopsis. Plant Cell Environ. 2016, 39, 120–135. [Google Scholar] [CrossRef] [PubMed]
- De Figueiredo, M.R.A.; Strader, L.C. Intrinsic and extrinsic regulators of Aux/IAA protein degradation dynamics. Trends Biochem. Sci. 2022, 47, 865–874. [Google Scholar] [CrossRef]
- Hu, J.; Su, H.L.; Cao, H.; Wei, H.B.; Fu, X.K.; Jiang, X.M.; Song, Q.; He, X.H.; Xu, C.Z.; Luo, K.M. AUXIN RESPONSE FACTOR7 integrates gibberellin and auxin signaling via interactions between DELLA and AUX/IAA proteins to regulate cambial activity in poplar. Plant Cell 2022, 34, 2688–2707. [Google Scholar] [CrossRef]
- Eroglu, S.; Meier, B.; Wirén, N.V.; Peiter, E. The vacuolar Mn transporter MTP8 determines tolerance to iron deficiency-induced chlorosis in Arabidopsis. Plant Physiol. 2016, 170, 1030–1045. [Google Scholar] [CrossRef]
- Zahra, N.; Hafeez, M.B.; Shaukat, K.; Wahid, A.; Hasanuzzaman, M. Fe toxicity in plants: Impacts and remediation. Physiol. Plant 2021, 173, 201–222. [Google Scholar] [CrossRef] [PubMed]
- Ma, M.M.; Li, L.; Wang, X.H.; Zhang, C.Y.; Pak, S.; Li, C.H. Comprehensive analysis of GRAS gene family and their expression under GA3, drought stress and ABA treatment in Larix kaempferi. Forests 2022, 13, 1424. [Google Scholar] [CrossRef]
- Bagale, P.; Pandey, S.; Regmi, P.; Bhusal, S. Role of plant growth regulator “Gibberellins” in vegetable production: An overview. Int. J. Hortic. Sci. Technol. 2022, 9, 291–299. [Google Scholar]
- Teshome, S.; Kebede, M. Analysis of regulatory elements in GA2ox, GA3ox and GA20ox gene families in Arabidopsis thaliana: An important trait. Biotechnol. Biotechnol. Equip. 2021, 35, 1603–1612. [Google Scholar] [CrossRef]
- Barker, R.; Garcia, F.M.N.; Powers, S.J.; Vaughan, S.; Bennett, M.J.; Phillips, A.L.; Thomas, S.G.; Hedden, P. Mapping sites of gibberellin biosynthesis in the Arabidopsis root tip. New Phytol. 2021, 229, 1521–1534. [Google Scholar] [CrossRef]
- Wang, Z.J.; Liu, L.; Cheng, C.H.; Ren, Z.Y.; Xu, S.M.; Li, X. GAI functions in the plant response to dehydration stress in Arabidopsis thaliana. Int. J. Mol. Sci. 2020, 21, 819. [Google Scholar] [CrossRef]
- Alonso-Ramírez, A.; Rodríguez, D.; Reyes, D.; Jiménez, J.A.; Nicolás, G.; López-Climent, M.; Gómez-Cadenas, A.; Nicolás, C. Evidence for a role of gibberellins in salicylic acid-modulated early plant responses to abiotic stress in Arabidopsis seeds. Plant Physiol. 2009, 150, 1335–1344. [Google Scholar] [CrossRef] [PubMed]
- Zhu, X.F.; Jiang, T.; Wang, Z.W.; Lei, G.J.; Shi, Y.Z.; Li, G.X.; Zheng, S.J. Gibberellic acid alleviates cadmium toxicity by reducing nitric oxide accumulation and expression of IRT1 in Arabidopsis thaliana. J. Hazard. Mater. 2012, 239, 302–307. [Google Scholar] [CrossRef]
- Tao, Q.; Jupa, R.; Liu, Y.K.; Luo, J.P.; Li, J.X.; Kováč, J.; Li, T.Q. Abscisic acid-mediated modifications of radial apoplastic transport pathway play a key role in cadmium uptake in hyperaccumulator Sedum alfredii. Plant Cell Environ. 2019, 42, 1425–1440. [Google Scholar] [CrossRef]
- Boursiac, Y.; Léran, S.; Corratgé-Faillie, C.; Gojon, A.; Krouk, G.; Lacombe, B. ABA transport and transporters. Trends Plant Sci. 2013, 18, 325–333. [Google Scholar] [CrossRef]
- Zhang, Q.; Yuan, W.; Wang, Q.W.; Cao, Y.Y.; Xu, F.Y.; Dodd, I.C.; Xu, W.F. ABA regulation of root growth during soil drying and recovery can involve auxin response. Plant Cell Environ. 2022, 45, 871–883. [Google Scholar] [CrossRef]
- Sussmilch, F.C.; Atallah, N.M.; Brodribb, T.J.; Banks, J.A. Abscisic acid (ABA) and key proteins in its perception and signaling pathways are ancient, but their roles have changed through time. Plant Signal. Behav. 2017, 12, e1365210. [Google Scholar] [CrossRef] [PubMed]
- Vishwakarma, K.; Upadhyay, N.; Kumar, N.; Yadav, G.; Singh, J.; Mishra, R.K.; Kumar, V.; Verma, R.; Upadhyay, R.G.; Pandey, M.; et al. Abscisic acid signaling and abiotic stress tolerance in plants: A review on current knowledge and future prospects. Front. Plant Sci. 2017, 8, 161. [Google Scholar] [CrossRef] [PubMed]
- Li, X.S.; Song, L.L. The role of ABA in the responses of wild-type and abscisic acid mutants of Arabidopsis thaliana to excess zinc. Acta Physiol. Plant 2020, 42, 74. [Google Scholar] [CrossRef]
- Zhu, Q.Y.; Xu, P.X.; Lei, L.L.; Jing, Y.X. Transcriptome analysis reveals decreased accumulation and toxicity of Cd in upland rice inoculated with arbuscular mycorrhizal fungi. Appl. Soil Ecol. 2022, 177, 104501. [Google Scholar] [CrossRef]
- Ren, Q.Q.; Huang, Z.R.; Huang, W.L.; Huang, W.T.; Chen, H.H.; Yang, L.T.; Ye, X.; Chen, L.S. Physiological and molecular adaptations of Citrus grandis roots to long-term copper excess revealed by physiology, metabolome and transcriptome. Environ. Exp. Bot. 2022, 203, 105049. [Google Scholar] [CrossRef]
- Chen, S.S.; Qi, X.Y.; Feng, J.; Chen, H.J.; Qin, Z.Y.; Wang, H.D.; Deng, Y.M. Biochemistry and transcriptome analyses reveal key genes and pathways involved in high-aluminum stress response and tolerance in hydrangea sepals. Plant Physiol. Bioch. 2022, 185, 268–278. [Google Scholar] [CrossRef]
- Yao, Y.; Xiao, X.; Ou, Y.; Wu, X.; Xu, G. Root transcriptome analysis on the grape genotypes with contrast translocation pattern of excess manganese from root to shoot. Plant Soil 2015, 387, 49–67. [Google Scholar] [CrossRef]
- Xue, Y.B.; Chen, J.Y.; Li, X.H.; Liu, Y. Transcriptome analysis of soybean leaves response to manganese toxicity. Biotechnol. Biotechnol. Equip. 2021, 35, 1043–1051. [Google Scholar] [CrossRef]
- Ishimaru, Y.; Masuda, H.; Bashir, K.; Inoue, H.; Tsukamoto, T.; Takahashi, M.; Nakanishi, H.; Aoki, N.; Hirose, T.; Ohsugi, R.; et al. Rice metal-nicotianamine transporter, OsYSL2, is required for the long-distance transport of iron and manganese. Plant J. 2010, 62, 379–390. [Google Scholar] [CrossRef] [PubMed]
- Noor, I.; Sohail, H.; Zhang, D.M.; Zhu, K.J.; Shen, W.Q.; Pan, J.J.; Hasanuzzaman, M.; Li, G.H.; Liu, J.W. Silencing of PpNRAMP5 improves manganese toxicity tolerance in peach (Prunus persica) seedlings. J. Hazard. Mater. 2023, 454, 131442. [Google Scholar] [CrossRef] [PubMed]
- Connorton, J.M.; Jones, E.R.; Rodríguez-Ramiro, I.; Fairweather-Tait, S.; Uauy, C.; Balk, J. Wheat vacuolar iron transporter TaVIT2 transports Fe and Mn and is effective for biofortification. Plant Physiol. 2017, 174, 2434–2444. [Google Scholar] [CrossRef]
- Wu, Z.; Liang, F.; Hong, B.; Young, J.C.; Sussman, M.R.; Harper, J.F.; Sze, H. An endoplasmic reticulum-bound Ca2+/Mn2+ pump, ECA1, supports plant growth and confers tolerance to Mn2+ stress. Plant Physiol. 2002, 130, 128–137. [Google Scholar] [CrossRef]
- Mills, R.F.; Doherty, M.L.; Lopez-Marques, R.L.; Weimar, T.; Dupree, P.; Palmgren, M.G.; Pittman, J.K.; Williams, L.E. ECA3, a Golgi-localized P2A-type ATPase, plays a crucial role in manganese nutrition in Arabidopsis. Plant Physiol. 2008, 146, 116–128. [Google Scholar] [CrossRef] [PubMed]
- Zhang, M.; Liu, B. Identification of a rice metal tolerance protein OsMTP11 as a manganese transporter. PLoS ONE 2017, 12, e0174987. [Google Scholar] [CrossRef] [PubMed]
- Zhang, X.Y.; Li, Q.H.; Xu, W.L.; Zhao, H.; Guo, F.; Wang, P.; Wang, Y.; Ni, D.; Wang, M.; Wei, C. Identification of MTP gene family in tea plant (Camellia sinensis L.) and characterization of CsMTP8.2 in manganese toxicity. Ecotox. Environ. Saf. 2020, 202, 110904. [Google Scholar] [CrossRef] [PubMed]
- Alam, S.; Kamei, S.; Kawai, S. Amelioration of manganese toxicity in barley with iron. J. Plant Nutr. 2006, 24, 1421–1433. [Google Scholar] [CrossRef]
- Goss, M.J.; Carvalho, M.J.G.P.R. Manganese toxicity: The significance of magnesium for the sensitivity of wheat plants. Plant Soil 1992, 139, 91–98. [Google Scholar] [CrossRef]
- Liu, P.D.; Huang, R.; Hu, X.; Jia, Y.D.; Ki, J.F.; Luo, J.J.; Liu, Q.; Luo, L.J.; Liu, G.D.; Chen, Z.J. Physiological responses and proteomic changes reveal insights into Stylosanthes response to manganese toxicity. BMC Plant Biol. 2019, 19, 212. [Google Scholar] [CrossRef]
- Ribera-Fonseca, A.; Inostroza-Blancheteau, C.; Cartes, P.; Rengel, Z.; Mora, M.L. Early induction of Fe-SOD gene expression is involved in tolerance to Mn toxicity in perennial ryegrass. Plant Physiol. Biochem. 2013, 73, 77–82. [Google Scholar] [CrossRef]
- Fecht-Christoffers, M.M.; Braun, H.P.; Lemaitre-Guillier, C.; Van-Dorsselaer, A.; Horst, W.J. Effect of manganese toxicity on the proteome of the leaf apoplast in cowpea. Plant Physiol. 2003, 133, 1935–1946. [Google Scholar] [CrossRef]
- Ouellet, F.; Overvoorde, P.J.; Theologis, A. IAA17/AXR3: Biochemical insight into an auxin mutant phenotype. Plant Cell 2001, 13, 829–841. [Google Scholar] [CrossRef]
- Yamada, K.; Nagano, A.J.; Nishina, M.; Hara-Nishimura, I.; Nishimura, M. Identification of two novel endoplasmic reticulum body-specific integral membrane proteins. Plant Physiol. 2013, 161, 108–120. [Google Scholar] [CrossRef]
- Pornaro, C.; Macolino, S.; Menegon, A.; Richardson, M. Winrhizo technology for measuring morphological traits of bermudagrass stolons. Agron. J. 2017, 109, 3007–3010. [Google Scholar] [CrossRef]
- Chen, G.J.; Zheng, D.F.; Feng, N.J.; Zhou, H.; Mu, D.W.; Liu, L.; Zhao, L.M.; Shen, X.F.; Rao, G.H.; Li, T.Z. Effects of exogenous salicylic acid and abscisic acid on growth, photosynthesis and antioxidant system of rice. Chil. J. Agr. Res. 2022, 82, 21–32. [Google Scholar] [CrossRef]
- De Araújo Silva, M.M.; Ferreira, L.T.; De Vasconcelos, F.M.T.; Willadino, L.; Camara, T.R.; Dos Santos, D.Y.A.C.; De Oliveira, A.F.M. Water stress-induced responses in the growth, cuticular wax composition, chloroplast pigments and soluble protein content, and redox metabolism of two genotypes of Ricinus communis L. J. Plant Growth Regul. 2021, 40, 342–352. [Google Scholar] [CrossRef]
- Caverzan, A.; Passaia, G.; Rosa, S.B.; Ribeiro, C.W.; Lazzarotto, F.; Margis-Pinheiro, M. Plant responses to stresses: Role of ascorbate peroxidase in the antioxidant protection. Genet. Mol. Biol. 2012, 35, 1011–1019. [Google Scholar] [CrossRef]
- Ghaffari, H.; Tadayon, M.R.; Nadeem, M.; Cheema, M.; Razmjoo, J. Proline-mediated changes in antioxidant enzymatic activities and the physiology of sugar beet under drought stress. Acta Physiol. Plant. 2019, 41, 23. [Google Scholar] [CrossRef]
- Sadak, M.S.; Abdalla, A.M.; Abd Elhamid, E.M.; Ezzo, M.I. Role of melatonin in improving growth, yield quantity and quality of Moringa oleifera L. plant under drought stress. Bull. Nat. Res. Cent. 2020, 44, 18. [Google Scholar] [CrossRef]
- Rácz, A.; Hideg, É.; Czégény, G. Selective responses of class III plant peroxidase isoforms to environmentally relevant UV-B doses. J. Plant Physiol. 2018, 221, 101–106. [Google Scholar] [CrossRef]
- Ekinci, M.; Ors, S.; Yildirim, E.; Turan, M.; Sahin, U.; Dursun, A.; Kul, R. Determination of physiological indices and some antioxidant enzymes of chard exposed to nitric oxide under drought stress. Russ. J. Plant Physiol. 2020, 67, 740–749. [Google Scholar]
- Li, C.G.; Li, J.X.; Du, X.H.; Zhang, J.X.; Zou, Y.R.; Liu, Y.D.; Li, Y.; Lin, H.Y.; Li, H.; Liu, D.; et al. Chloroplast thylakoidal ascorbate peroxidase, PtotAPX, has enhanced resistance to oxidative stress in Populus tomentosa. Int. J. Mol. Sci. 2022, 23, 3340. [Google Scholar] [CrossRef]
- Kalogiouri, N.P.; Manousi, N.; Zachariadis, G.A. Determination of the toxic and nutrient element content of almonds, walnuts, hazelnuts and pistachios by ICP-AES. Separations 2021, 8, 28. [Google Scholar] [CrossRef]
- Pan, X.; Welti, R.; Wang, X. Quantitative analysis of major plant hormones in crude plant extracts by high-performance liquid chromatography–mass spectrometry. Nat. Protoc. 2010, 5, 986–992. [Google Scholar] [CrossRef]
- Khew, C.Y.; Mori, I.C.; Matsuura, T.; Hirayama, T.; Harikrishna, J.A.; Lau, E.T.; Mercer, Z.J.A.; Hwang, S.S. Hormonal and transcriptional analyses of fruit development and ripening in different varieties of black pepper (Piper nigrum). J. Plant Res. 2020, 133, 73–94. [Google Scholar] [CrossRef]
- Trapnell, C.; Roberts, A.; Goff, L.; Pertea, G.; Kim, D.; Kelley, D.R.; Pimentel, H.; Salzberg, S.L.; Rinn, J.L.; Pachter, L. Differential gene and transcript expression analysis of RNA-seq experiments with TopHat and Cufflinks. Nat. Protoc. 2012, 7, 562–578. [Google Scholar] [CrossRef] [PubMed]
- Zhuang, W.J.; Chen, H.; Yang, M.; Wang, J.P.; Pandey, M.K.; Zhang, C.; Chang, W.C.; Zhang, L.S.; Zhang, X.T.; Tang, R.H.; et al. The genome of cultivated peanut provides insight into legume karyotypes, polyploid evolution and crop domestication. Nat. Genet. 2019, 51, 865–876. [Google Scholar] [CrossRef]
- Wang, L.; Feng, Z.; Wang, X.; Zhang, X. DEGseq: An R package for identifying differentially expressed genes from RNA-seq data. Bioinform 2010, 26, 136–138. [Google Scholar] [CrossRef] [PubMed]
- Thimm, O.; Bläsing, O.; Gibon, Y.; Nagel, A.; Meyer, S.; Krüger, P.; Selbig, J.; Müller, L.A.; Rhee, S.Y.; Stitt, M. MapMan: A user-driven tool to display genomic data sets onto diagrams of metabolic pathways and other biological processes. Plant J. 2004, 37, 914–939. [Google Scholar] [CrossRef] [PubMed]
- Huang, D.W.; Sherman, B.T.; Lempicki, R.A. Systematic and integrative analysis of large gene lists using DAVID bioinformatics resources. Nat. Protoc. 2009, 4, 44–57. [Google Scholar] [CrossRef]
- Xue, Y.B.; Zhuang, Q.L.; Zhu, S.N.; Xiao, B.X.; Liang, C.Y.; Liao, H.; Tian, J. Genome wide transcriptome analysis reveals complex regulatory mechanisms underlying phosphate homeostasis in soybean nodules. Int. J. Mol. Sci. 2018, 19, 2924. [Google Scholar] [CrossRef] [PubMed]











| Gene ID | log2FoldChange | Description |
|---|---|---|
| Glyma.08G010400 | −5.2353 | Auxin |
| Glyma.06G134000 | −1.161 | Auxin |
| Glyma.02G142600 | −1.5184 | Auxin |
| Glyma.03G029600 | −2.5301 | Auxin |
| Glyma.05G101300 | −1.482 | Auxin |
| Glyma.09G011200 | −1.34 | Auxin |
| Glyma.19G258800 | −1.1334 | Auxin |
| Glyma.17G046000 | −1.5222 | Auxin |
| Glyma.13G361200 | −1.6535 | Auxin |
| Glyma.07G268400 | −3.3847 | ABA |
| Glyma.09G014700 | −1.4534 | ABA |
| Glyma.08G208500 | 3.2515 | Gibberellin (GA3) |
| Glyma.12G216100 | −1.6498 | Gibberellin (GA3) |
| Glyma.13G259500 | 3.4365 | Gibberellin (GA3) |
| Glyma.19G133600 | 3.8827 | Gibberellin (GA3) |
| Glyma.16G200800 | 2.2778 | Gibberellin (GA3) |
| Glyma.19G022500 | 1.0633 | Gibberellin (GA3) |
| Glyma.12G137700 | −1.8625 | Gibberellin (GA3) |
| Glyma.09G149200 | 1.2522 | Gibberellin (GA3) |
| Glyma.02G010100 | −1.2806 | Gibberellin (GA3) |
| Glyma.13G285400 | −2.3356 | Gibberellin (GA3) |
| Glyma.16G145100 | −1.6728 | Salicylic acid (SA) |
| Gene ID | log2FoldChange | Description |
|---|---|---|
| Glyma.18G055500 | 2.7191 | Peroxidase |
| Glyma.03G038200 | −3.4 | Peroxidase |
| Glyma.20G169200 | −1.7151 | Peroxidase |
| Glyma.16G055900 | −1.0025 | Peroxidase |
| Glyma.20G001400 | −1.2568 | Peroxidase |
| Glyma.01G130800 | −2.0236 | Peroxidase |
| Glyma.03G038700 | −1.2567 | Peroxidase |
| Glyma.01G130500 | −1.0805 | Peroxidase |
| Glyma.10G191700 | −3.9194 | Peroxidase |
| Glyma.09G022800 | −1.6039 | Peroxidase |
| Glyma.09G284400 | −1.7185 | Peroxidase |
| Glyma.02G234200 | −1.9256 | Peroxidase |
| Glyma.17G198700 | 1.159 | Peroxidase |
| Glyma.14G104400 | −3.2773 | Peroxidase |
| Gene ID | log2FoldChange | Description |
|---|---|---|
| Glyma.09G122600 | 1.5918 | Metal tolerance protein |
| Glyma.18G168900 | 1.8991 | Sulfate transporter |
| Glyma.02G082500 | 1.301 | Vacuolar iron transporter |
| Glyma.08G076000 | 1.5034 | Vacuolar iron transporter |
| Glyma.08G075900 | 1.9643 | Vacuolar iron transporter |
| Glyma.05G121300 | 1.7505 | Vacuolar iron transporter |
| Glyma.11G083300 | 2.1146 | Vacuolar iron transporter |
| Glyma.09G031400 | 1.335 | Boron transporter |
| Glyma.05G153000 | 4.1071 | Magnesium transporter |
| Glyma.19G038600 | −1.4041 | Calcium-transporting ATPase |
| Glyma.07G153800 | −2.9733 | Ammonium transporter |
| Glyma.20G082450 | −1.0318 | Ammonium transporter |
| Glyma.19G199900 | 2.257 | Aluminum-activated malate transporter |
| Glyma.06G115800 | 2.2447 | Metal transporter Nramp5 |
| Glyma.06G074100 | 2.0172 | Molybdate transporter |
| Glyma.09G270900 | −2.1497 | Calcium-binding protein |
| Glyma.18G039500 | −1.2755 | Calcium-binding protein |
| Glyma.12G089800 | −1.6159 | Calcium-binding protein |
| Glyma.11G217200 | −1.4206 | Calcium-binding protein |
| Glyma.14G215800 | −1.1839 | Calcium-binding protein |
| Glyma.06G034700 | −1.2927 | Calcium-binding protein |
| Glyma.02G265900 | −1.4369 | Calcium-binding protein |
| Glyma.04G136600 | −2.9988 | Calcium-binding protein |
| Glyma.12G197900 | −1.8754 | Calcium-binding protein |
| Glyma.16G059300 | −1.6615 | Calcium-binding protein |
| Glyma.04G078400 | −1.0643 | Calcium-binding protein |
| Glyma.20G032500 | −2.3907 | Phosphate transporter |
| Gene ID | log2FoldChange | Description |
|---|---|---|
| Glyma.13G267700 | −1.103 | WRKY transcription factor |
| Glyma.13G267600 | −2.0811 | WRKY transcription factor |
| Glyma.13G267500 | −1.1482 | WRKY transcription factor |
| Glyma.06G307700 | −1.314 | WRKY transcription factor |
| Glyma.03G002300 | −1.7427 | WRKY transcription factor |
| Glyma.08G320200 | −1.167 | WRKY transcription factor |
| Glyma.17G222300 | −2.2559 | WRKY transcription factor |
| Glyma.07G262700 | −1.8103 | WRKY transcription factor |
| Glyma.06G142100 | −2.6582 | WRKY transcription factor |
| Glyma.04G238300 | −3.1185 | WRKY transcription factor |
| Glyma.03G256700 | −1.8202 | WRKY transcription factor |
| Glyma.10G230200 | −1.2325 | WRKY transcription factor |
| Glyma.13G117600 | −1.4937 | WRKY transcription factor |
| Glyma.19G254800 | −2.9872 | WRKY transcription factor |
| Glyma.09G240000 | −1.3167 | WRKY transcription factor |
| Glyma.18G208800 | −1.1169 | WRKY transcription factor |
| Glyma.14G103100 | −2.5033 | WRKY transcription factor |
| Glyma.13G370100 | −2.2557 | WRKY transcription factor |
| Glyma.08G021900 | −2.9632 | WRKY transcription factor |
| Glyma.06G147100 | −1.0236 | WRKY transcription factor |
| Glyma.01G128100 | −2.4649 | WRKY transcription factor |
| Glyma.05G215900 | −2.6836 | WRKY transcription factor |
| Glyma.03G042700 | −2.4868 | WRKY transcription factor |
| Glyma.01G224800 | −2.7566 | WRKY transcription factor |
| Glyma.09G005700 | −1.0228 | WRKY transcription factor |
| Glyma.15G110300 | −1.0264 | WRKY transcription factor |
| Glyma.05G211900 | −1.2824 | WRKY transcription factor |
| Glyma.18G213200 | −1.7942 | WRKY transcription factor |
| Glyma.09G274000 | −1.832 | WRKY transcription factor |
| Glyma.06G142000 | −1.1276 | WRKY transcription factor |
| Glyma.16G026400 | −2.4819 | WRKY transcription factor |
| Glyma.06G125600 | −2.3697 | WRKY transcription factor |
| Glyma.17G224800 | −3.7504 | WRKY transcription factor |
| Glyma.07G057400 | −2.1102 | WRKY transcription factor |
| Glyma.18G238200 | −1.0434 | WRKY transcription factor |
| Glyma.04G223300 | −1.5064 | WRKY transcription factor |
| Glyma.06G061900 | −2.2066 | WRKY transcription factor |
| Glyma.11G043700 | −3.1903 | bHLH transcription factor |
| Glyma.15G170500 | −1.3616 | bHLH transcription factor |
| Glyma.04G090100 | 1.9891 | bHLH transcription factor |
| Glyma.02G025500 | 1.0493 | bHLH transcription factor |
| Glyma.13G098000 | 1.8284 | bHLH transcription factor |
| Glyma.09G064200 | −1.4571 | bHLH transcription factor |
| Glyma.01G197900 | −2.2723 | bHLH transcription factor |
| Glyma.07G185300 | 1.4333 | bHLH transcription factor |
| Glyma.19G222000 | 1.1226 | bHLH transcription factor |
| Glyma.18G039200 | 2.2407 | bHLH transcription factor |
| Glyma.10G010400 | −4.0787 | MYB transcription factor |
| Glyma.06G300000 | −2.5385 | MYB transcription factor |
| Glyma.05G234600 | −1.7641 | MYB transcription factor |
| Glyma.10G180800 | −1.3551 | MYB transcription factor |
| Glyma.12G104600 | −2.8527 | MYB transcription factor |
| Glyma.06G300200 | −3.1265 | MYB transcription factor |
| Glyma.19G218800 | −2.8762 | MYB transcription factor |
| Glyma.07G178500 | −1.0826 | MYB transcription factor |
| Glyma.20G209700 | −1.3008 | MYB transcription factor |
| Glyma.02G005600 | −1.2669 | MYB transcription factor |
| Glyma.03G221700 | −2.3185 | MYB transcription factor |
| Glyma.01G016600 | −1.0816 | MYB transcription factor |
| Glyma.13G228900 | −1.0593 | MYB transcription factor |
| Glyma.15G259400 | 1.1537 | MYB transcription factor |
| Glyma.06G178600 | −1.8058 | MYB transcription factor |
| Glyma.06G300400 | −3.4385 | MYB transcription factor |
| Glyma.01G224900 | −1.4078 | MYB transcription factor/CPC transcription factor |
| Glyma.19G104201 | −1.8765 | Ethylene-responsive transcription factor |
| Glyma.02G067600 | 2.3504 | Ethylene-responsive transcription factor |
| Glyma.13G227066 | −1.5663 | Ethylene-responsive transcription factor |
| Glyma.17G047300 | −3.9674 | Ethylene-responsive transcription factor |
| Glyma.10G016500 | −1.1183 | Ethylene-responsive transcription factor |
| Glyma.07G212400 | −3.0852 | Ethylene-responsive transcription factor |
| Glyma.14G020100 | −1.1127 | Ethylene-responsive transcription factor |
| Glyma.13G112400 | −3.563 | Ethylene-responsive transcription factor |
| Glyma.02G132500 | −3.2647 | Ethylene-responsive transcription factor |
| Glyma.16G047600 | −1.6488 | Ethylene-responsive transcription factor |
| Glyma.13G122766 | −4.1664 | Ethylene-responsive transcription factor |
| Glyma.13G088100 | −1.0779 | Ethylene-responsive transcription factor |
| Glyma.11G014200 | 1.1517 | Ethylene-responsive transcription factor |
| Glyma.19G026000 | −1.8527 | Ethylene-responsive transcription factor |
| Glyma.10G119100 | 1.2716 | Ethylene-responsive transcription factor |
| Glyma.15G077100 | −2.0076 | Ethylene-responsive transcription factor |
| Glyma.11G068700 | 1.4964 | GATA transcription factor |
| Glyma.04G008900 | −1.0814 | GATA transcription factor |
| Glyma.03G135800 | −1.9691 | Heat stress transcription factor |
| Glyma.19G137800 | −1.1508 | Heat stress transcription factor |
| Glyma.19G132500 | 1.5119 | ORG transcription factor |
| Glyma.06G114000 | −1.0913 | NAC transcription factor |
| Glyma.05G195000 | −1.1467 | NAC transcription factor |
| Glyma.12G178500 | 2.7368 | Iron deficiency induces transcription factors |
| Glyma.06G090900 | −2.3686 | TGA transcription factor |
| Glyma.17G093600 | 1.1858 | E2FE transcription factor |
| Glyma.12G104800 | −2.7972 | WER transcription factor |
| Glyma.08G169451 | −1.949 | JUNGBRUNNEN transcription factor |
| Glyma.17G231900 | −1.6796 | RAX transcription factor |
| Glyma.07G126900 | 2.8666 | RAX transcription factor |
Disclaimer/Publisher’s Note: The statements, opinions and data contained in all publications are solely those of the individual author(s) and contributor(s) and not of MDPI and/or the editor(s). MDPI and/or the editor(s) disclaim responsibility for any injury to people or property resulting from any ideas, methods, instructions or products referred to in the content. |
© 2023 by the authors. Licensee MDPI, Basel, Switzerland. This article is an open access article distributed under the terms and conditions of the Creative Commons Attribution (CC BY) license (https://creativecommons.org/licenses/by/4.0/).
Share and Cite
Liu, Y.; Pan, Y.; Li, J.; Chen, J.; Yang, S.; Zhao, M.; Xue, Y. Transcriptome Sequencing Analysis of Root in Soybean Responding to Mn Poisoning. Int. J. Mol. Sci. 2023, 24, 12727. https://doi.org/10.3390/ijms241612727
Liu Y, Pan Y, Li J, Chen J, Yang S, Zhao M, Xue Y. Transcriptome Sequencing Analysis of Root in Soybean Responding to Mn Poisoning. International Journal of Molecular Sciences. 2023; 24(16):12727. https://doi.org/10.3390/ijms241612727
Chicago/Turabian StyleLiu, Ying, Yuhu Pan, Jianyu Li, Jingye Chen, Shaoxia Yang, Min Zhao, and Yingbin Xue. 2023. "Transcriptome Sequencing Analysis of Root in Soybean Responding to Mn Poisoning" International Journal of Molecular Sciences 24, no. 16: 12727. https://doi.org/10.3390/ijms241612727
APA StyleLiu, Y., Pan, Y., Li, J., Chen, J., Yang, S., Zhao, M., & Xue, Y. (2023). Transcriptome Sequencing Analysis of Root in Soybean Responding to Mn Poisoning. International Journal of Molecular Sciences, 24(16), 12727. https://doi.org/10.3390/ijms241612727
