Comparative Investigation of the Spectroscopic Behavior Based on High-Concentrated Solution in Nitrogen and Air Atmospheres
Abstract
1. Introduction
2. Results and Discussion
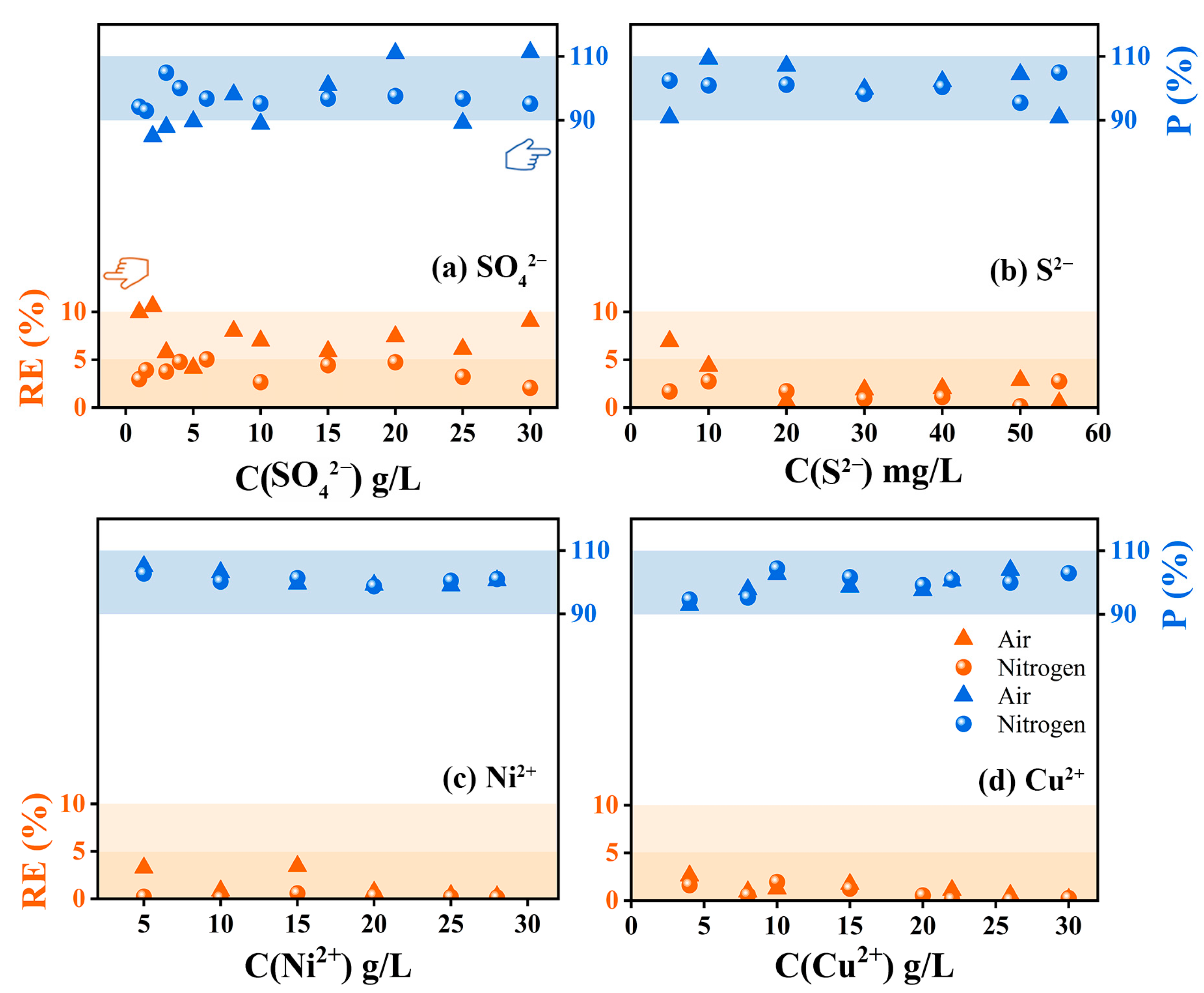
2.1. Comparison of Measurement Errors in Air and Nitrogen Atmospheres
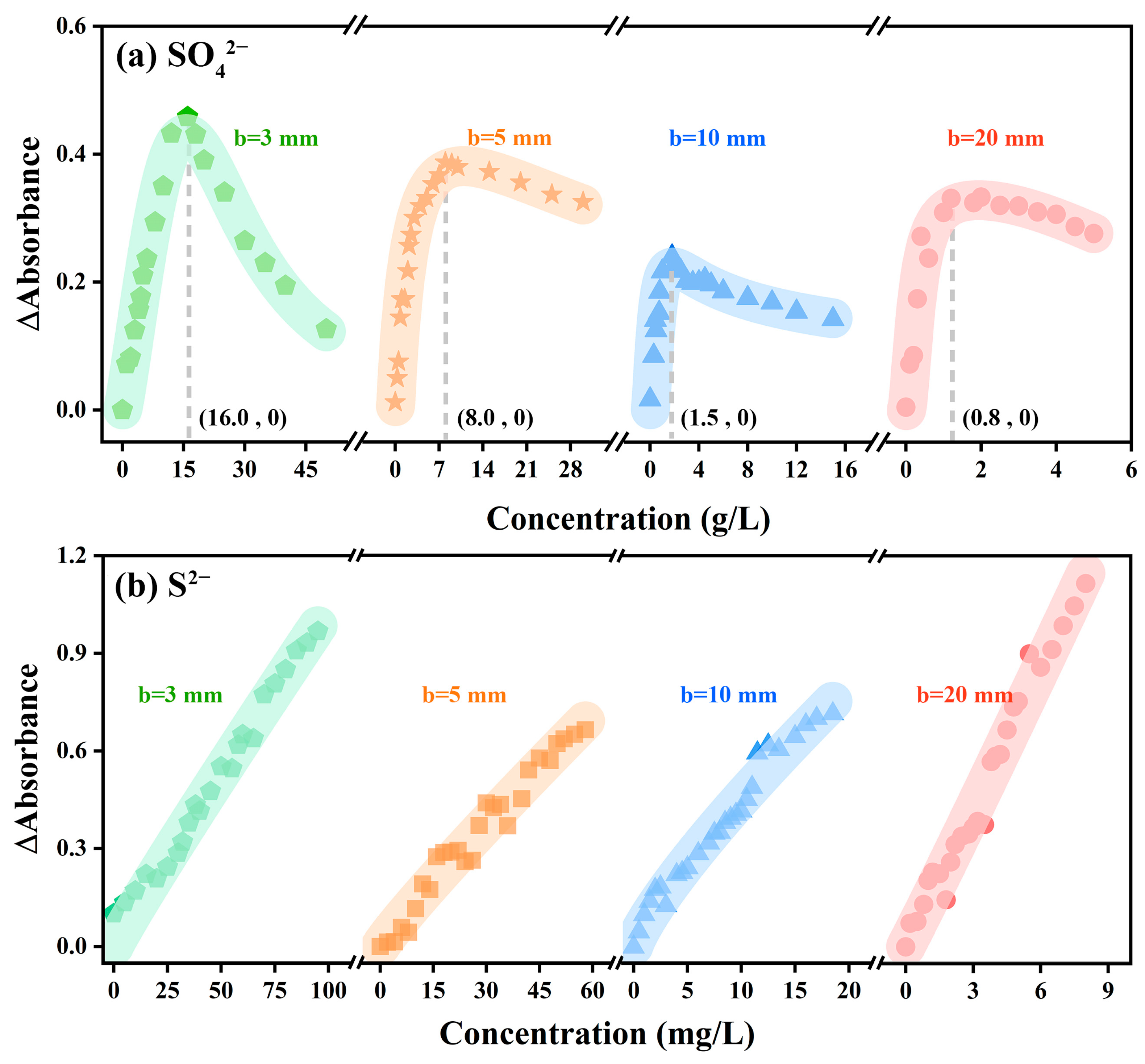
2.2. The Synergistic Influence of Detection Atmosphere and Substance Concentration on the Detection of Substances in the UV Region
2.3. Mechanism of Intergroup Interaction Affecting Electron Excitation Properties
3. Materials and Methods
3.1. Sample Preparation
3.2. Instruments Construction and Measurements
3.3. Performance Indicators
3.3.1. Sensitivity
3.3.2. Accuracy
3.3.3. Precision
3.4. Computational Details
4. Conclusions
Supplementary Materials
Author Contributions
Funding
Institutional Review Board Statement
Informed Consent Statement
Data Availability Statement
Acknowledgments
Conflicts of Interest
References
- Silva, R.D.C.F.S.; Almeida, D.G.; Rufino, R.D.; Luna, J.M.; Santos, V.A.; Sarubbo, L.A. Applications of Biosurfactants in the Petroleum Industry and the Remediation of Oil Spills. Int. J. Mol. Sci. 2014, 15, 12523–12542. [Google Scholar] [CrossRef]
- Isac, L.; Enesca, A. Recent Developments in ZnS-Based Nanostructures Photocatalysts for Wastewater Treatment. Int. J. Mol. Sci. 2022, 23, 15668. [Google Scholar] [CrossRef]
- Ellaf, A.; Ali Ammar Taqvi, S.; Zaeem, D.; Siddiqui, F.U.H.; Kazmi, B.; Idris, A.; Alshgari, R.A.; Mushab, M.S.S. Energy, exergy, economic, environment, exergo-environment based assessment of amine-based hybrid solvents for natural gas sweetening. Chemosphere 2023, 313, 137426. [Google Scholar] [CrossRef] [PubMed]
- Shen, H.; Nugegoda, D. Real-time automated behavioural monitoring of mussels during contaminant exposures using an improved microcontroller-based device. Sci. Total Environ. 2022, 806, 150567. [Google Scholar] [CrossRef] [PubMed]
- Zhang, X.; Shen, J.; Huo, X.; Li, J.; Zhou, Y.; Kang, J.; Chen, Z.; Chu, W.; Zhao, S.; Bi, L.; et al. Variations of disinfection byproduct precursors through conventional drinking water treatment processes and a real-time monitoring method. Chemosphere 2021, 272, 129930. [Google Scholar] [CrossRef]
- Yuan, C.; Pu, J.; Fu, D.; Min, Y.; Wang, L.; Liu, J. UV–vis spectroscopic detection of formaldehyde and its analogs: A convenient and sensitive methodology. J. Clean Prod. 2022, 438, 129457. [Google Scholar]
- Gámez, S.; De La Torre, E.; Gaigneaux, E.M. Carbon black-polydopamine-ruthenium composite as a recyclable boomerang catalyst for the oxidative cleavage of oleic acid. Chem. Eng. J. 2022, 427, 131820. [Google Scholar] [CrossRef]
- Krystek, P.; Bäuerlein, P.S.; Kooij, P.J.F. Analytical assessment about the simultaneous quantification of releasable pharmaceutical relevant inorganic nanoparticles in tap water and domestic waste water. J. Pharm. Biomed. Anal. 2015, 106, 116–123. [Google Scholar] [CrossRef]
- Deng, S.; Wang, Q.; Cai, Q.; Ong, S.L.; Hu, J. Efficient bio-refractory industrial wastewater treatment with mitigated membrane fouling in a membrane bioreactor strengthened by the micro-scale ZVI@GAC galvanic-cells-initiated radical generation and coagulation processes. Water Res. 2022, 209, 117943. [Google Scholar] [CrossRef]
- Wacławek, S.; Ma, X.; Sharma, V.K.; Xiao, R.; O’shea, K.E.; Dionysiou, D.D. Making waves: Defining advanced reduction technologies from the perspective of water treatment. Water Res. 2022, 212, 118101. [Google Scholar] [CrossRef]
- Hassan, S.A.; Gad, S.F.; Abdu-Allah, H.H.M.; Qayed, W.S.; Abouelmagd, S.A.; Ibrahim, E.A. Ionic liquid of ketoprofen-piperine modulates the pharmaceutical and therapeutic characters of ketoprofen. Int. J. Pharm. 2022, 620, 121724. [Google Scholar] [CrossRef]
- Panzitta, M.; Calamassi, N.; Sabatini, C.; Grassi, M.; Spagnoli, C.; Vizzini, V.; Ricchiuto, E.; Venturini, A.; Brogi, A.; Brassier Font, J.; et al. Spectrophotometry and pharmaceutical PAT/RTRT: Practical challenges and regulatory landscape from development to product lifecycle. Int. J. Pharm. 2021, 601, 120551. [Google Scholar] [CrossRef]
- Zhang, K.; Guo, R.; Wang, Y.; Nie, Q.; Zhu, G. One-step derivatization and temperature-controlled vortex-assisted liquid-liquid microextraction based on the solidification of floating deep eutectic solvents coupled to UV–Vis spectrophotometry for the rapid determination of total iron in water and food samples. Food Chem. 2022, 384, 132414. [Google Scholar] [PubMed]
- Antony, A.; Mitra, J. Refractive index-assisted UV/Vis spectrophotometry to overcome spectral interference by impurities. Anal. Chim. Acta 2021, 1149, 238186. [Google Scholar] [CrossRef] [PubMed]
- Ju, T.; Han, S.; Meng, Y.; Song, M.; Jiang, J. Occurrences and patterns of major elements in coal fly ash under multi-acid system during microwave digestion processes. J. Clean Prod. 2022, 359, 131950. [Google Scholar] [CrossRef]
- Muhammad, S.; Javed, M.N.; Gill, K.A.; Ali, F.I.; Henderson, W.; Bari, A.; Musharraf, S.G.; Baig, J.A.; Hashmi, I.A. Selective extraction of heavy metals (Fe, Co, Ni) from their aqueous mixtures by task-specific salicylate functionalized imidazolium based ionic liquid. J. Clean Prod. 2022, 344, 131119. [Google Scholar] [CrossRef]
- Singh, K.; Kumar, A. Kinetics of complex formation of Fe(III) with caffeic acid: Experimental and theoretical study. Spectrochim. Acta Part A 2019, 211, 148–153. [Google Scholar] [CrossRef]
- Duan, N.; Jiang, L.; Xu, F.; Zhang, G. A non-contact original-state online real-time monitoring method for complex liquids in industrial processes. Engineering 2018, 4, 392–397. [Google Scholar] [CrossRef]
- Wimmer, A.; Ritsema, R.; Schuster, M.; Krystek, P. Sampling and pre-treatment effects on the quantification of (nano)silver and selected trace elements in surface water—Application in a Dutch case study. Sci. Total Environ. 2019, 663, 154–161. [Google Scholar] [CrossRef]
- Xue, J.; Lei, D.; Zhao, X.; Hu, Y.; Yao, S.; Lin, K.; Wang, Z.; Cui, C. Antibiotic residue and toxicity assessment of wastewater during the pharmaceutical production processes. Chemosphere 2022, 291, 132837. [Google Scholar] [CrossRef] [PubMed]
- Hu, Y.; Lei, D.; Wu, D.; Xia, J.; Zhou, W.; Cui, C. Residual β-lactam antibiotics and ecotoxicity to Vibrio fischeri, Daphnia magna of pharmaceutical wastewater in the treatment process. J. Hazard. Mater. 2022, 425, 127840. [Google Scholar] [CrossRef] [PubMed]
- Ciro, E.; Dell’era, A.; Razzi, M.; Lupi, C. Optimization of indium electrowinning from sulfate solutions on Ni cathode. J. Clean Prod. 2022, 347, 131309. [Google Scholar] [CrossRef]
- Zhuang, S.; Duan, N.; Jiang, L.; Zhang, F.; Hu, J.; Chen, Z.; Xu, F. Reaction selectivity-regulation via interfacial reconstruction for preventing hazardous slime generation: Driving mechanism of Pb-based anode with oxygen vacancy-rich MnO2. J. Clean Prod. 2023, 404, 136961. [Google Scholar] [CrossRef]
- Luo, J.; Duan, N.; Xu, F.; Jiang, L.; Zhang, C.; Ye, W. System-level analysis of the generation and distribution for Pb, Cu, and Ag in the process network of zinc hydrometallurgy: Implications for sustainability. J. Clean Prod. 2019, 234, 755–766. [Google Scholar] [CrossRef]
- Ye, W.; Xu, F.; Jiang, L.; Duan, N.; Li, J.; Ma, Z.; Zhang, F.; Chen, L. Lead release kinetics and film transformation of Pb-MnO2 pre-coated anode in long-term zinc electrowinning. J. Hazard. Mater. 2021, 408, 124931. [Google Scholar] [CrossRef] [PubMed]
- Zhang, C.; Jiang, L.; Xu, F.; Duan, N.; Xin, B.; Han, G.; Zhang, G.; Wen, Y. New insight into cleaner control of heavy metal anode slime from aqueous sulfate electrolytes containing Mn (Ⅱ): Preliminary characterization and mechanism analysis. J. Clean Prod. 2018, 177, 276–283. [Google Scholar]
- Nie, H.; Cao, C.; Xu, Z.; Tian, L. Novel method to remove arsenic and prepare metal arsenic from copper electrolyte using titanium(IV) oxysulfate coprecipitation and carbothermal reduction. Sep. Purif. Technol. 2020, 231, 115919. [Google Scholar] [CrossRef]
- Szczuka, A.; Berglund-Brown, J.P.; Macdonald, J.A.; Mitch, W.A. Control of sulfides and coliphage MS2 using hydrogen peroxide and UV disinfection for non-potable reuse of pilot-scale anaerobic membrane bioreactor effluent. Water Res. X 2021, 11, 100097. [Google Scholar] [CrossRef]
- Lima, M.J.A.; Kamogawa, M.Y.; Reis, B.F. A new sensitive photometric procedure for the determination of sulfate in fuel ethanol without sample preparation exploiting a flow-batch strategy. Microchem. J. 2019, 145, 921–926. [Google Scholar] [CrossRef]
- Zhou, F.; Li, C.; Yang, C.; Zhu, H.; Li, Y. A spectrophotometric method for simultaneous determination of trace ions of copper, cobalt, and nickel in the zinc sulfate solution by ultraviolet-visible spectrometry. Spectrochim. Acta Part A 2019, 223, 117370. [Google Scholar] [CrossRef]
- Gürkan, R.; Kır, U.; Altunay, N. Development of a simple, sensitive and inexpensive ion-pairing cloud point extraction approach for the determination of trace inorganic arsenic species in spring water, beverage and rice samples by UV–Vis spectrophotometry. Food Chem. 2015, 180, 32–41. [Google Scholar] [CrossRef] [PubMed]
- Zhang, X.; Duan, N.; Jiang, L.; Cheng, W.; Yu, Z.; Li, W.; Zhu, G.; Xu, Y. Study on stability and sensitivity of deep ultraviolet spectrophotometry detection system. Spectrosc. Spectral Anal. 2022, 42, 3802–3810. [Google Scholar]
- Tanabe, I.; Shimizu, M.; Kawabata, R.; Katayama, C.; Fukui, K.I. Far-and deep-ultraviolet surface plasmon resonance using Al film for efficient sensing of organic thin overlayer. Sens. Actuators A 2020, 301, 111661. [Google Scholar] [CrossRef]
- Morisawa, Y.; Goto, T.; Ikehata, A.; Higashi, N.; Ozaki, Y. Far-ultraviolet (FUV) spectroscopy in the solid and liquid states. In Principle, Instrumentation, and Application of Encyclopedia of Analytical Chemistry; John Wiley & Sons, Ltd.: Hoboken, NJ, USA, 2013. [Google Scholar]
- Wang, L.; Zhang, Y.; Zhou, X.; Zhang, Z. Sensitive dual sensing system for oxygen and pressure based on deep ultraviolet absorption spectroscopy. Sens. Actuators B 2019, 281, 514–519. [Google Scholar] [CrossRef]
- Ai, X.; Zhang, Z. Quantitative measurement model for sulfate in the temperature range of 298.15–343.15K based on vacuum ultraviolet absorption spectroscopy. Vacuum 2022, 200, 111035. [Google Scholar] [CrossRef]
- Kafle, B.P. Theory and Instrumentation of Absorption Spectroscopy; Elsevier: Amsterdam, The Netherlands, 2020. [Google Scholar]
- Shard, A.G.; Schofield, R.C.; Minelli, C. Chapter 3.2.3—Ultraviolet-Visible Spectrophotometry; Elsevier: Amsterdam, The Netherlands, 2020. [Google Scholar]
- Worsfold, P.J.; Zagatto, E. Spectrophotometry: Overview; Elsevier: Amsterdam, The Netherlands, 2017. [Google Scholar]
- Cheng, W.; Zhang, X.; Duan, N.; Jiang, L.; Xu, Y.; Chen, Y.; Liu, Y.; Fan, P. Direct-determination of high-concentration sulfate by serial differential spectrophotometry with multiple optical pathlengths. Sci. Total Environ. 2022, 811, 152121. [Google Scholar] [CrossRef]
- Zhou, F.; Li, C.; Zhu, H.; Li, Y. Determination of trace ions of cobalt and copper by UV–vis spectrometry in purification process of zinc hydrometallurgy. Optik 2019, 184, 227–233. [Google Scholar] [CrossRef]
- Ke, Y.; Dong, H. Handbook of Analytical Chemistry 3B Molecular Spectral Analysis, 3rd ed.; Chemical Industry Press: Beijing, China, 2016. [Google Scholar]
- University, B.N. Inorganic Chemistry, 4th ed.; Higher Education Press: Beijing, China, 2006; Volume I. [Google Scholar]
- Comelli, R.A.; Vera, C.R.; Parera, J. Influence of ZrO2 crystalline structure and sulfate ion concentration on the catalytic activity of SO42−-ZrO2. J. Catal. 1995, 151, 96–101. [Google Scholar] [CrossRef]
- Kosuch, N.; Wiech, G.J.; Fäßler, A. Oxygen k-spectra and electronic structure of the oxyanions SO32−, SeO32−, TeO32− and SO42−, SeO42−, TeO42−. J. Electron Spectrosc. Relat. Phenom. 1980, 20, 11–23. [Google Scholar] [CrossRef]
- Arrouvel, C.; Viossat, V.; Minot, C. Theoretical study of hydrated sulfuric acid: Clusters and periodic modeling. J. Mol. Struct. Theochem. 2005, 718, 71–76. [Google Scholar] [CrossRef]
- Kakizaki, A.; Motegi, H.; Yoshikawa, T.; Takayanagi, T.; Shiga, M.; Tachikawa, M. Path-integral molecular dynamics simulations of small hydrated sulfuric acid clusters H2SO4·(H2O)n (n = 1–6) on semiempirical PM6 potential surfaces. J. Mol. Struct. Theochem. 2009, 901, 1–8. [Google Scholar] [CrossRef]
- Zhang, X.; Duan, N.; Jiang, L.; Xu, F.; Yu, Z.; Cheng, W.; Lv, W.; Qiu, Y. Application of PLC-Based Spectrophotometric System Nitrogen Protection Device to Automated Direct Measurement of Target Substances in Zinc Hydrometallurgy. Processes 2023, 11, 672. [Google Scholar] [CrossRef]
- University, W. Analytical Chemistry, 5th ed.; Higher Education Press: Beijing, China, 2007; Volume II. [Google Scholar]
- Ramana, P.V.; Sundius, T.; Muthu, S.; Mouli, K.C.; Krishna, Y.R.; Prasad, K.V.; Devi, R.N.; Irfan, A.; Santhamma, C. Spectroscopic, quantum mechanical, electronic excitation properties (Ethanol solvent), DFT investigations and molecular docking analysis of an anti-cancer drug Bendamustine. J. Mol. Struct. 2022, 1253, 132211. [Google Scholar] [CrossRef]
- Arstila, H.; Laasonen, K.; Laaksonen, A. Ab initio study of gas-phase sulphuric acid hydrates containing 1 to 3 water molecules. J. Chem. Phys. 1998, 108, 1031–1039. [Google Scholar] [CrossRef]
- Lu, T.; Chen, F. Multiwfn: A multifunctional wavefunction analyzer. J. Comput. Chem. 2012, 33, 580–592. [Google Scholar] [CrossRef]
- Mackoy, T.; Kale, B.; Papka, M.E.; Wheeler, R.A. A Visual Molecular Dynamics (VMD) module for calculating, analyzing, and visualizing X-ray and neutron structure factors from atomistic simulations. Comput. Phys. Commun. 2021, 264, 107881. [Google Scholar] [CrossRef]
- Humphrey, W.; Dalke, A.; Schulten, K. VMD: Visual molecular dynamics. J. Mol. Graph. 1996, 14, 33–38. [Google Scholar] [CrossRef]







| Models Structure | All Groups/Ions | Single Groups/Ions | ||
|---|---|---|---|---|
| Egap (eV) | Es1 (eV) | Egap (eV) | Es1 (eV) | |
| (H2SO4)1·(H2O)3 | 5.19 | 5.21 | 5.19 | 5.21 |
| (H2SO4)2·(H2O)3 | 5.57 | 5.59 | 2.79 | 2.80 |
| (H2SO4)3·(H2O)3 | 5.64 | 5.65 | 1.88 | 1.88 |
| (Na2S)1·(H2O)3 | 1.81 | 1.84 | 1.81 | 1.84 |
| (Na2S)2·(H2O)3 | 1.79 | 1.80 | 0.90 | 0.90 |
| (Na2S)3·(H2O)3 | 1.72 | 2.37 | 0.57 | 0.79 |
| (Na2SO4)1·(H2O)3 | 4.06 | 4.07 | 4.06 | 4.07 |
| (Na2SO4)2·(H2O)3 | 3.79 | 3.79 | 1.90 | 1.90 |
| (Na2SO4)3·(H2O)3 | 3.90 | 3.90 | 1.30 | 1.30 |
| Partical Name | Component Name | Model and Manufacturer |
|---|---|---|
| Instrumentation | UV-visible spectrophotometer | T10CS, Beijing Persee General Instrument Co., Ltd., Beijing, China |
| Instrument external cover | 1200 mm × 850 mm × 437 mm | Organic glass |
| Control nitrogen flow into the cover | 1 M.F.C. (the measuring range was 0~30 L/min) | S48-32/HMT, HORIBA Precision Instruments (Beijing) Co., Ltd., Beijing, China |
| Control nitrogen flow into light source system | 1 M.F.C. (the measuring range was 0~10 L/min) | |
| Control nitrogen flow into sample chamber | 1 M.F.C. (the measuring range was 0~5 L/min) | |
| Control nitrogen flow into data receiving areauk | 1 M.F.C. (the measuring range was 0~5 L/min) | |
| Monitor the nitrogen flow at the outlet | 1 M.F.C. (the measuring range was 0~30 L/min) | |
| Auto-injection flow cell | Peristaltic pump | BT100-2J, Baoding Longer Precision Pump Co., Ltd., Baoding, China |
| The rotation speed of the peristaltic pump | 30 r/min | |
| Automatic control device | PLC | S7-1200, Siemens AG, Munich, Germany |
| Upper computer | MCGSPro, Shenzhen Kunluntongtai Automation Software Technology Co., Ltd., Shenzhen, China |
Disclaimer/Publisher’s Note: The statements, opinions and data contained in all publications are solely those of the individual author(s) and contributor(s) and not of MDPI and/or the editor(s). MDPI and/or the editor(s) disclaim responsibility for any injury to people or property resulting from any ideas, methods, instructions or products referred to in the content. |
© 2023 by the authors. Licensee MDPI, Basel, Switzerland. This article is an open access article distributed under the terms and conditions of the Creative Commons Attribution (CC BY) license (https://creativecommons.org/licenses/by/4.0/).
Share and Cite
Zhang, X.; Duan, N.; Jiang, L.; Xu, F.; Li, W. Comparative Investigation of the Spectroscopic Behavior Based on High-Concentrated Solution in Nitrogen and Air Atmospheres. Int. J. Mol. Sci. 2023, 24, 12629. https://doi.org/10.3390/ijms241612629
Zhang X, Duan N, Jiang L, Xu F, Li W. Comparative Investigation of the Spectroscopic Behavior Based on High-Concentrated Solution in Nitrogen and Air Atmospheres. International Journal of Molecular Sciences. 2023; 24(16):12629. https://doi.org/10.3390/ijms241612629
Chicago/Turabian StyleZhang, Xuefei, Ning Duan, Linhua Jiang, Fuyuan Xu, and Weidong Li. 2023. "Comparative Investigation of the Spectroscopic Behavior Based on High-Concentrated Solution in Nitrogen and Air Atmospheres" International Journal of Molecular Sciences 24, no. 16: 12629. https://doi.org/10.3390/ijms241612629
APA StyleZhang, X., Duan, N., Jiang, L., Xu, F., & Li, W. (2023). Comparative Investigation of the Spectroscopic Behavior Based on High-Concentrated Solution in Nitrogen and Air Atmospheres. International Journal of Molecular Sciences, 24(16), 12629. https://doi.org/10.3390/ijms241612629
