Coordination Compound (2,3,5-Triphenyltetrazolium)2[CuBr4] as Catalyst for the Curing Process of Epoxy Vinyl Ester Binders
Abstract
1. Introduction
2. Results
2.1. Synthesis and Characterization
2.1.1. Synthesis of Complex (TPhTz)2[CuIIBr4]
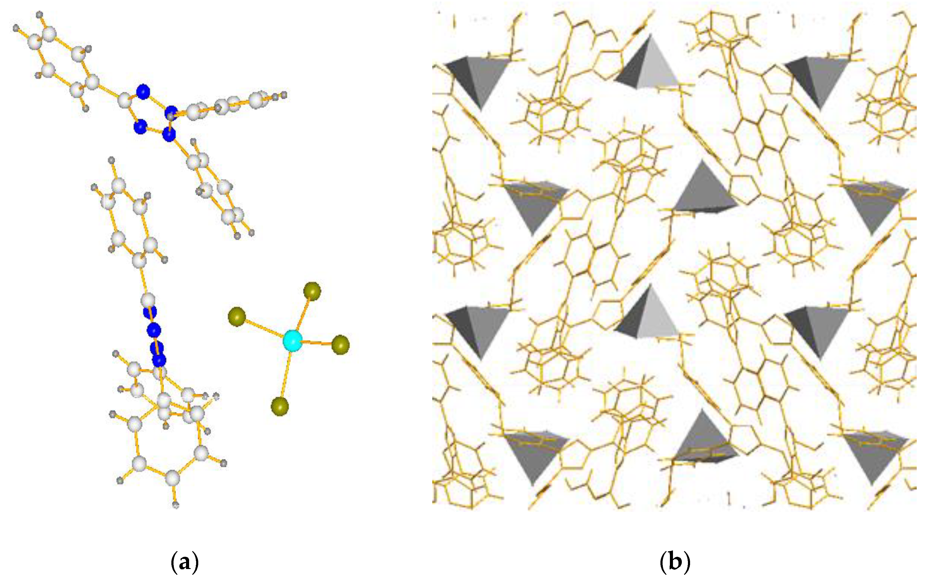
2.1.2. X-ray Structure Analysis
2.1.3. Fourier-Transform Infrared Spectroscopy
2.1.4. Thermal Analysis
2.2. Catalytic Activity of Complexes in the Curing Reaction
2.2.1. Solubility
2.2.2. Curing of EVE
2.2.3. Hardness Test of Cured EVE
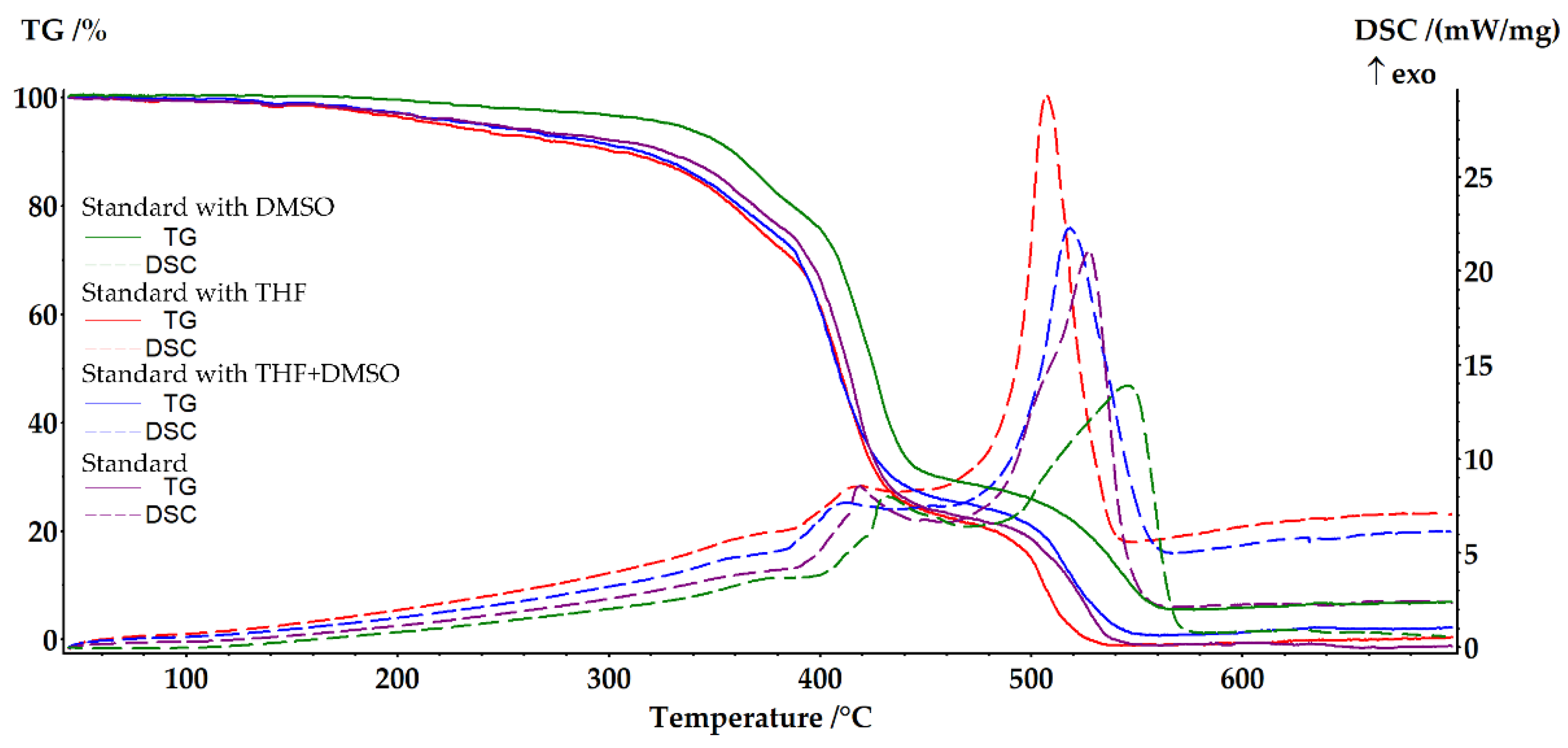
2.2.4. Thermal Analysis
2.2.5. FTIR Spectroscopy
2.2.6. Scanning Electron Microscopy
2.3. FGRP Production and Testing
2.3.1. Production
2.3.2. FGRP Strength Test
3. Discussion
3.1. Synthesis and Characterization
3.1.1. Synthesis
3.1.2. X-ray Structure Analysis
3.1.3. FTIR Spectroscopy
3.1.4. Thermal Analysis
3.2. Catalytic Activity
3.2.1. Curing of EVE
3.2.2. Hardness Test of Cured EVE
3.2.3. Thermal Analysis
3.2.4. FTIR Spectroscopy
3.2.5. Scanning Electron Microscopy
3.3. FGRP Strength Test
4. Materials and Methods
5. Conclusions
Supplementary Materials
Author Contributions
Funding
Institutional Review Board Statement
Informed Consent Statement
Data Availability Statement
Acknowledgments
Conflicts of Interest
References
- Protsenko, A.E.; Petrov, V.V. Recycling of Fiberglass Fillers Obtained from Polymer Composites Based on an Epoxy Vinyl Ester Binder. Mech. Compos. Mater. 2022, 58, 537–544. [Google Scholar] [CrossRef]
- Alshahrani, H.; Ahmed, A.; Kabrein, H.; Prakash, V.R.A.; Alshahrani, H.; Ahmed, A.; Kabrein, H.; Prakash, V.R.A. Mechanical Properties Study on Sandwich Composites of Glass Fiber Reinforced Plastics (GFRP) Using Liquid Thermoplastic Resin, Elium®: Preliminary Experiments. Coatings 2022, 12, 1423. [Google Scholar] [CrossRef]
- Erenkov, O.Y.; Nikishechkin, V.L.; Zelenov, M.V. Production of Fiberglass Components. Russ. Eng. Res. 2014, 34, 628–631. [Google Scholar] [CrossRef]
- Protsenko, A.E.; Telesh, V.V.; Malysheva, D.P. Technological Principles of Regulating the Kinetics of Carbon Fiber Reinforced Plastic Curing Process under Conditions of Difficult Temperature Programs. In Current Problems and Ways of Industry Development: Equipment and Technologies; Part of Lecture Notes in Networks and Systems Book Series (LNNS, Volume 200); Springer: Cham, Switzerland, 2021; pp. 254–264. [Google Scholar] [CrossRef]
- Martins, M.; Gomes, R.; Pina, L.; Pereira, C.; Reichmann, O.; Teti, D.; Correia, N.; Rocha, N. Highly Conductive Carbon Fiber-Reinforced Polymer Composite Electronic Box: Out-Of-Autoclave Manufacturing for Space Applications. Fibers 2018, 6, 92. [Google Scholar] [CrossRef]
- Borjan, D.; Knez, Ž.; Knez, M. Recycling of Carbon Fiber-Reinforced Composites—Difficulties and Future Perspectives. Materials 2021, 14, 4191. [Google Scholar] [CrossRef]
- Kooduvalli, K.; Unser, J.; Ozcan, S.; Vaidya, U.K. Embodied Energy in Pyrolysis and Solvolysis Approaches to Recycling for Carbon Fiber-Epoxy Reinforced Composite Waste Streams. Recycling 2022, 7, 6. [Google Scholar] [CrossRef]
- Adeniran, O.; Cong, W.; Aremu, A. Material Design Factors in the Additive Manufacturing of Carbon Fiber Reinforced Plastic Composites: A State-of-the-Art Review. Adv. Ind. Manuf. Eng. 2022, 5, 100100. [Google Scholar] [CrossRef]
- Muflikhun, M.A.; Fiedler, B. Failure Prediction and Surface Characterization of GFRP Laminates: A Study of Stepwise Loading. Polymers 2022, 14, 4322. [Google Scholar] [CrossRef]
- Balıkoğlu, F.; Demircioğlu, T.K.; Yıldız, M.; Arslan, N.; Ataş, A. Mechanical Performance of Marine Sandwich Composites Subjected to Flatwise Compression and Flexural Loading: Effect of Resin Pins. J. Sandw. Struct. Mater. 2018, 22, 2030–2048. [Google Scholar] [CrossRef]
- Saitta, L.; Pergolizzi, E.; Tosto, C.; Sergi, C.; Cicala, G. Fully-Recyclable Epoxy Fibres Reinforced Composites (FRCs) for Maritime Field: Chemical Recycling and Re-Use Routes. Prog. Mar. Sci. Technol. 2022, 6, 70–77. [Google Scholar] [CrossRef]
- Li, X.; Li, P.; Lin, Z.; Yang, D. Mechanical Behavior of a Glass-Fiber Reinforced Composite to Steel Joint for Ships. J. Mar. Sci. Appl. 2015, 14, 39–45. [Google Scholar] [CrossRef]
- Mattsson, C.; André, A.; Juntikka, M.; Tränkle, T.; Sott, R. Chemical Recycling of End-of-Life Wind Turbine Blades by Solvolysis/HTL. In Proceedings of the IOP Conference Series: Materials Science and Engineering, Chennai, India, 16–17 September 2020; IOP Publishing Ltd.: Bristol, UK, 2020; Volume 942. [Google Scholar]
- Thomsen, O.T. Sandwich Materials for Wind Turbine Blades—Present and Future. J. Sandw. Struct. Mater. 2009, 11, 7–26. [Google Scholar] [CrossRef]
- Mangalgiri, P.D. Composite Materials for Aerospace Applications. Bull. Mater. Sci. 1999, 22, 657–664. [Google Scholar] [CrossRef]
- Soutis, C. Fibre Reinforced Composites in Aircraft Construction. Prog. Aerosp. Sci. 2005, 41, 143–151. [Google Scholar] [CrossRef]
- Kumar, K.V. An Approach To Optimize Autoclaves for Curing Frp. Int. J. Eng. Res. Adv. Technol. 2016, 2, 597–604. [Google Scholar]
- Lavaggi, T.; Samizadeh, M.; Niknafs Kermani, N.; Khalili, M.M.; Advani, S.G. Theory-Guided Machine Learning for Optimal Autoclave Co-Curing of Sandwich Composite Structures. Polym. Compos. 2022, 43, 5319–5331. [Google Scholar] [CrossRef]
- Protsenko, A.E.; Telesh, V.V. Inhibition and Cathalysis as a Method to Improve the Mechanical Properties of a Fiberglass-Reinforced Plastic. Mech. Compos. Mater. 2015, 51, 555–560. [Google Scholar] [CrossRef]
- Tang, W.; Xu, Y.; Hui, X.; Zhang, W. Multi-Objective Optimization of Curing Profile for Autoclave Processed Composites: Simultaneous Control of Curing Time and Process-Induced Defects. Polymers 2022, 14, 2815. [Google Scholar] [CrossRef]
- Protsenko, A.E.; Petrov, V.V.; Malysheva, D.P.; Gnatik, A.O. Investigation of the Possibilities to Obtain Integral Sandwich Constructions. Defect. Diffus. Forum 2019, 394, 5–8. [Google Scholar]
- Ekuase, O.A.; Anjum, N.; Eze, V.O.; Okoli, O.I. A Review on the Out-of-Autoclave Process for Composite Manufacturing. J. Compos. Sci. 2022, 6, 172. [Google Scholar] [CrossRef]
- Tu, R.; Liu, T.; Steinke, K.; Nasser, J.; Sodano, H.A. Laser Induced Graphene-Based out-of-Autoclave Curing of Fiberglass Reinforced Polymer Matrix Composites. Compos. Sci. Technol. 2022, 226, 109529. [Google Scholar] [CrossRef]
- Robert Walker, T.; Chatziparaskeva, G.; Papamichael, I.; Voukkali, I.; Loizia, P.; Sourkouni, G.; Argirusis, C.; Zorpas, A.A. End-of-Life of Composite Materials in the Framework of the Circular Economy. Microplastics 2022, 1, 377–392. [Google Scholar] [CrossRef]
- Parveez, B.; Kittur, M.I.; Badruddin, I.A.; Kamangar, S.; Hussien, M.; Umarfarooq, M.A. Scientific Advancements in Composite Materials for Aircraft Applications: A Review. Polymers 2022, 14, 5007. [Google Scholar] [CrossRef]
- Marsh, G. Composites Consolidate in Commercial Aviation. Reinf. Plast. 2016, 60, 302–305. [Google Scholar] [CrossRef]
- Onishchenko, D.V.; Protsenko, A.E.; Petrov, V.V. Modification of the Epoxy Binder of a Polymeric Composite by Multilayer Carbon Nanotubes. Mater. Sci. 2014, 50, 431–434. [Google Scholar] [CrossRef]
- Protsenko, A.E.; Safoklov, B.B.; Petrov, V.V.; Dolgov, O.S. The Assessment of the Prospects of Composite Materials Manufactured by Vacuum Infusion (VaRTM). In ICASSE 2021: Proceedings of the International Conference on Aerospace System Science and Engineering 2021; Part of the Lecture Notes in Electrical Engineering Book Series (LNEE, Volume 849); Springer: Singapore, 2023; pp. 465–471. [Google Scholar] [CrossRef]
- Petrova, A.P.; Mukhametov, R.R. Binders for Polymer Composite Materials Based on Epoxy Oligomers. Polym. Sci. Ser. D 2019, 12, 35–40. [Google Scholar] [CrossRef]
- Maung, P.P.; Malysheva, G.; Romanova, I. Optimization of the Rheological Properties of Epoxy Resins for Glass and Carbon Reinforced Plastics. IOP Conf. Ser. Mater. Sci. Eng. 2016, 153, 012006. [Google Scholar] [CrossRef]
- Rassmann, S.; Paskaramoorthy, R.; Reid, R.G. Effect of Resin System on the Mechanical Properties and Water Absorption of Kenaf Fibre Reinforced Laminates. Mater. Des. 2011, 32, 1399–1406. [Google Scholar] [CrossRef]
- Li, L.; Lee, L.J. Effects of a Chelating Agent—2,4-Pentanedione on Low Temperature Composite Molding of Vinyl Ester and Unsaturated Polyester Resins. Polym. Compos. 2002, 23, 971–990. [Google Scholar] [CrossRef]
- Martin, J.S.; Laza, J.M.; Morrás, M.L.; Rodríguez, M.; León, L.M. Study of the Curing Process of a Vinyl Ester Resin by Means of TSR and DMTA. Polymers 2000, 41, 4203–4211. [Google Scholar] [CrossRef]
- Abadie, M.J.M.; Mekhissi, K.; Burchill, P.J. Effects of Processing Conditions on the Curing of a Vinyl Ester Resin. J. Appl. Polym. Sci. 2002, 84, 1146–1154. [Google Scholar] [CrossRef]
- Aydoğmuş, E.; Aydın, M.; Arslanoğlu, H. Production and Characterization of Microsphere Reinforced Polyester Composite: Modeling of Thermal Decomposition with ANN and Optimization Studies by RSM. Pet. Sci. Technol. 2022. [Google Scholar] [CrossRef]
- Bushuev, M.B.; Krivopalov, V.P.; Semikolenova, N.V.; Shvedenkov, Y.G.; Sheludyakova, L.A.; Moskalenko, G.G.; Lavrenova, L.G.; Zakharov, V.A.; Larionov, S.V. Cu(II) complexes with 4,6-bis(3,5-dimethyl-1H-pyrazole-1-yl)pyrimidine, 4-(3,5-dimethyl-1H-pyrazole-1-yl)-6-(3,5-diphenyl-1H-pyrazole-1-yl)pyrimidine: Synthesis and catalytic activity in ethylene polymerization reaction. Russ. J. Coord. Chem. 2007, 33, 601–606. [Google Scholar] [CrossRef]
- Li, L.; Lee, L.J. Effects of Inhibitors and Retarders on Low Temperature Free Radical Crosslinking Polymerization Between Styrene and Vinyl Ester Resin. Polym. Eng. Sci. 2001, 41, 53–65. [Google Scholar] [CrossRef]
- Titi, A.; Warad, I.; Tillard, M.; Touzani, R.; Messali, M.; El Kodadi, M.; Eddike, D.; Zarrouk, A. Inermolecular Interaction in [C6H10N3]2[CoCl4] Complex: Synthesis, XRD/HSA Relation, Spectral and Catecholase Catalytic Analysis. J. Mol. Struct. 2020, 1217, 128422. [Google Scholar] [CrossRef]
- Silva, A.C.; Fernández, T.L.; Carvalho, N.M.F.; Herbst, M.H.; Bordinhão, J.; Jr, A.H.; Wardell, J.L.; Oestreicher, E.G.; Antunes, O.A.C. Oxidation of cyclohexane catalyzed by bis-(2-pyridylmethyl)amine Cu(II) complexes. Appl. Catal. A Gen. 2007, 317, 154–160. [Google Scholar] [CrossRef]
- Kurta, S.; Mykytyn, I.; Ribun, V.; Khatsevich, O. Features of the Structure Active Centers of Industrial Catalysts for the Oxidative Chlorination of Ethylene. Artic. Int. J. Eng. Technol. 2018, 7, 307–316. [Google Scholar] [CrossRef]
- Jia, X.; Peng, P.; Cui, J.; Xin, N.; Huang, X. Four N,O-Bidentate-Chelated Ligand-Tunable Copper(II) Complexes: Synthesis, Structural Characterization and Exceptional Catalytic Properties for Chan–Lam Coupling Reactions. Asian J. Org. Chem. 2018, 7, 1093–1100. [Google Scholar] [CrossRef]
- Protsenko, A.E.; Protsenko, A.N.; Shakirova, O.G.; Petrov, V.V. Recycling of Epoxy/Fiberglass Composite Using Supercritical Ethanol with (2,3,5-Triphenyltetrazolium)2[CuCl4] Complex. Polymers 2023, 15, 1559. [Google Scholar] [CrossRef]
- Scott, T.F.; Cook, W.D.; Forsythe, J.S. Kinetics and Network Structure of Thermally Cured Vinyl Ester Resins. Eur. Polym. J. 2002, 38, 705–716. [Google Scholar] [CrossRef]
- Vimalathithan, P.K.; Barile, C.; Vijayakumar, C.T. Investigation of Kinetic Triplets for Thermal Degradation of Thermally Cured Vinyl Ester Resin Systems and Lifetime Predictions. J. Therm. Anal. Calorim. 2018, 133, 881–891. [Google Scholar] [CrossRef]
- Dadashi-Silab, S.; Atilla Tasdelen, M.; Yagci, Y. Photoinitiated Atom Transfer Radical Polymerization: Current Status and Future Perspectives. J. Polym. Sci. A Polym. Chem. 2014, 52, 2878–2888. [Google Scholar] [CrossRef]
- Dadashi-Silab, S.; Kim, K.; Lorandi, F.; Schild, D.J.; Fantin, M.; Matyjaszewski, K. Effect of Halogen and Solvent on Iron-Catalyzed Atom Transfer Radical Polymerization. Polym. Chem. 2022, 13, 1059–1066. [Google Scholar] [CrossRef]
- Gao, M.; Cheung, C.F.; Wang, B.; Wang, C. Synthesis of Green and Red-Emitting Polymethyl Methacrylate Composites Grafted from ZnAl2O4:Mn-Bonded GO via Surface-Initiated Atom Transfer Radical Polymerization. Polymers 2022, 14, 3689. [Google Scholar] [CrossRef]
- Liu, S.H.; Chen, J.D.; Liou, L.S.; Wang, J.C. Synthesis and Crystal Structures of (C5H7N3Br)3CUBr4 and (C5H8N3)CuBr2: An Isolated Tetrahedral CuBr43- Anion. Inorg. Chem. 2001, 40, 6499–6501. [Google Scholar] [CrossRef]
- Neve, F.; Crispini, A. C-Hmellip;Br-M Interactions at Work: Tetrabromometalates of the Bolaamphiphilic N,N′-Dodecamethylenedipyridinium Cation. Cryst. Growth Des. 2001, 1, 387–393. [Google Scholar] [CrossRef]
- Romanenko, G.V.; Bushuev, M.B.; Barmin, M.I.; Gromova, S.A.; Mel’nikov, V.V.; Lavrenova, L.G. Synthesis and Crystal Structure of the (batre)[CuBr4] Complex, where Batre is bis-1,1′-(4-amino-1,2,4-triazolio)ethane. J. Struct. Chem. 2003, 44, 310–313. [Google Scholar] [CrossRef]
- Cheon, J.; Cho, D. Effects of Peroxide-Based Initiators with Different Molecular Sizes on Cure Behavior and Kinetics of Vinyl Ester Resin Containing Multi-Walled Carbon Nanotubes. J. Therm. Anal. Calorim. 2022, 147, 11883–11898. [Google Scholar] [CrossRef]
- Assche, G. Pultrusion Study of the Process Parameters for Unsaturated Polyester Resins and Numerical Modeling. Ph.D. Thesis, Vrije Universiteit Brussel, Brussels, Belgium, 1998. [Google Scholar]
- Rodriguez, E.; Larrañaga, M.; Mondragón, I.; Vázquez, A. Relationship between the Network Morphology and Properties of Commercial Vinyl Ester Resins. J. Appl. Polym. Sci. 2006, 100, 3895–3903. [Google Scholar] [CrossRef]
- Xiancong, H.; Meiwu, S.; Guotai, Z.; Hong, Z.; Xiaopeng, H.; Chunlan, Z. Investigation on the Electron-Beam Curing of Vinylester Resin. Radiat. Phys. Chem. 2008, 77, 643–655. [Google Scholar] [CrossRef]
- Wu, C.; Meng, B.C.; Tam, L.-h.; He, L. Yellowing Mechanisms of Epoxy and Vinyl Ester Resins under Thermal, UV and Natural Aging Conditions and Protection Methods. Polym. Test. 2022, 114, 107708. [Google Scholar] [CrossRef]
- Startsev, V.O. Methods for Studying Aging of Polymer Binders. Polym. Sci. Ser. D 2021, 14, 169–178. [Google Scholar] [CrossRef]
- Startsev, V.O.; Lebedev, M.P.; Khrulev, K.A.; Molokov, M.V.; Frolov, A.S.; Nizina, T.A. Effect of Outdoor Exposure on the Moisture Diffusion and Mechanical Properties of Epoxy Polymers. Polym. Test. 2018, 65, 281–296. [Google Scholar] [CrossRef]
- Deev, I.S.; Kobets, L.P. Fractography of Epoxy Polymers. Vysokomol. Soedin. Seriya A Seriya B 1996, 38, 627–633. [Google Scholar]
- Hull, D. The Effect of Mixed Mode I/III on Crack Evolution in Brittle Solids; Kluwer Academic Publishers: Dordrecht, The Netherlands, 1995; Volume 70. [Google Scholar]
- Tang, L.C.; Zhang, H.; Sprenger, S.; Ye, L.; Zhang, Z. Fracture Mechanisms of Epoxy-Based Ternary Composites Filled with Rigid-Soft Particles. Compos. Sci. Technol. 2012, 72, 558–565. [Google Scholar] [CrossRef]
- Protsenko, A.E.; Malysheva, D.P.; Petrov, V.V. Investigation of the Influence of Heat Treatment on the Strength of FGRP Used in Sandwich Constructions. Key Eng. Mater. 2018, 773, 72–76. [Google Scholar]
- Papa, I.; Formisano, A.; Lopresto, V.; Russo, P. Mechanical Degradation of Carbon Fiber/Vinyl Ester Samples Subject to Marine Environments. J. Compos. Mater. 2021, 55, 2967–2974. [Google Scholar] [CrossRef]
- Pączkowski, P.; Puszka, A.; Gawdzik, B. Investigation of Degradation of Composites Based on Unsaturated Polyester Resin and Vinyl Ester Resin. Materials 2022, 15, 1286. [Google Scholar] [CrossRef]
- Bruker AXS Inc. (2000–2012). APEX2 (Version 2012.2-0), SAINT (Version 8.18c), and SADABS (Version 2008/1); Bruker Advanced X-Ray Solutions: Madison, WI, USA, 2012. [Google Scholar]
- Sheldrick, G.M. Crystal Structure Refinement with SHELXL. Acta Crystallogr. C Struct. Chem. 2015, 71, 3–8. [Google Scholar] [CrossRef]
- ISO 2535:2001; Plastics—Unsaturated-Polyester Resins—Measurement of Gel Time at Ambient Temperature. International Organization for Standardization: Geneva, Switzerland, 2001.
- Sultania, M.; Rai, J.S.P.; Srivastava, D. Modeling and Simulation of Curing Kinetics for the Cardanol-Based Vinyl Ester Resin by Means of Non-Isothermal DSC Measurements. Mater. Chem. Phys. 2012, 132, 180–186. [Google Scholar] [CrossRef]
- Slopiecka, K.; Bartocci, P.; Fantozzi, F. Thermogravimetric Analysis and Kinetic Study of Poplar Wood Pyrolysis. Appl. Energy 2012, 97, 491–497. [Google Scholar] [CrossRef]
- ISO 868:2003; Plastics and Ebonite—Determination of Indentation Hardness by Means of a Durometer (Shore Hardness). International Organization for Standardization: Geneva, Switzerland, 2003.










| Empirical Formula | C38H30N8CuBr4 | C38H30N8CuBr3 |
|---|---|---|
| Formula weight (g/mol) | 981.87 | 901.97 |
| Temperature (K) | 296(2) | 150(2) |
| Crystal system | monoclinic | monoclinic |
| Space group | P 21/c | P 21/c |
| Cell Parameters | a = 12.0591(6) Å b = 15.2836(8) Å c = 20.8014(12) Å α = 90° β = 90.025(2)° γ = 90° | a = 16.2413(4) Å b = 12.9059(3) Å c = 17.6154(5) Å α = 90° β = 90.638(1)° γ = 90° |
| V (Å3) | 3833.83(35) | 3692.11(17) |
| Z | 4 | 4 |
| ρ calc (g/cm–3) | 1.701 | 1.62255 |
| (TPhTz)2[CuIIBr4] | (TPhTz)2[CuIBr3] | ||||||||||
|---|---|---|---|---|---|---|---|---|---|---|---|
| Atom 1 | Atom 2 | d1,2 (Å) | Atom 3 | d1,3 (Å) | Angle2,1,3 (°) | Atom 1 | Atom 2 | d1,2 (Å) | Atom 3 | d1,3 (Å) | Angle2,1,3 (°) |
| Cu | Br(3) | 2.3641(1) | Br(2) | 2.3808(1) | 100.304(3) | Cu | Br(2) | 2.3753(1) | Br(3) | 2.3815(0) | 124.454(1) |
| Cu | Br(3) | 2.3641(1) | Br(1) | 2.3958(1) | 101.526(2) | Cu | Br(2) | 2.3753(1) | Br(1) | 2.3817(0) | 119.623(1) |
| Cu | Br(3) | 2.3641(1) | Br(4) | 2.4142(1) | 132.481(2) | Cu | Br(3) | 2.3815(0) | Br(1) | 2.3817(0) | 115.921(1) |
| Cu | Br(2) | 2.3808(1) | Br(1) | 2.3958(1) | 123.233(2) | Cu | Br(1) | 2.3817(0) | H(114) | 2.7252(1) | 80.798(1) |
| Cu | Br(2) | 2.3808(1) | Br(4) | 2.4142(1) | 100.794(2) | Cu | Br(2) | 2.3753(1) | H(114) | 2.7252(1) | 111.246(1) |
| Cu | Br(1) | 2.3958(1) | Br(4) | 2.4142(1) | 101.533(2) | Cu | Br(3) | 2.3815(0) | H(114) | 2.7252(1) | 77.525(1) |
| Assignment | TPhTzCl (Figure S1) | (TPhTz)2[CuBr4] (Figure S2) | (TPhTz)2[CuBr3] (Figure S3) |
|---|---|---|---|
| n(H3O+) | 3446 1709 1675 | - | 3439 |
| n(Carom-H) | 3057 | 3058 | 3043 |
| R(Ph) | 1608 1527 | 1607 1528 | 1607 1528 |
| R(Tz) | 1485 1455 | 1484 1457 | 1484 1455 |
| Solvent | Complex Concentration, w.% |
|---|---|
| THF | 6 |
| DMSO | 3 |
| Styrene | 7 |
| THF + DMSO | 8 |
| Styrene + DMSO | 5 |
| CH2Cl2 + DMSO | 7 |
| Catalyst | Solvent | Gel Time, min | Curing Time, min |
|---|---|---|---|
| Co(Oct)2 | - | 16 | 38 |
| THF | 22 | 40 | |
| DMSO | 37 | 55 | |
| CH2Cl2 | 41 | 59 | |
| Acetone | 21 | 42 | |
| THF + DMSO | 19 | 46 | |
| Styrene + DMSO | 21 | 69 | |
| CH2Cl2 + DMSO | 16 | 56 | |
| (TPhTz)2[CuBr4] | THF | 86 | 270 |
| DMSO | 207 | 320 | |
| Styrene | 296 | 610 | |
| THF + DMSO | 66 | 144 | |
| Styrene + DMSO | 107 | 204 | |
| CH2Cl2 + DMSO | 32 | 98 |
| Catalyst | Solvent | Salt Concentration, w.% | Shore D Hardness | |
|---|---|---|---|---|
| Before Heat Treatment | After Heat Treatment | |||
| Co(Oct)2 | - | 8 | 83 | 86 |
| THF | 83.5 | 87 | ||
| DMSO | 80 | 85 | ||
| CH2Cl2 | 83 | 87 | ||
| Acetone | 83 | 84 | ||
| THF + DMSO | 75 | 75.5 | ||
| Styrene + DMSO | 78 | 82 | ||
| CH2Cl2 + DMSO | 79 | 88.5 | ||
| (TPhTz)2[CuBr4] | THF | 6 | 80 | 79 |
| DMSO | 3 | 76 | 83 | |
| Styrene | 7 | 74 | 82.5 | |
| THF + DMSO | 8 | 83 | 88 | |
| Styrene + DMSO | 5 | 75.5 | 87 | |
| CH2Cl2 + DMSO | 7 | 76 | 85 | |
| Assignment | Catalyst Solution | ||
|---|---|---|---|
| Co(Oct)2 (Figure S5) | Co(Oct)2 with THF/DMSO (Figure S6) | (TPhTz)2[CuBr4] in THF/DMSO (Figure S7) | |
| ν(OH) δ(OH) | 3444 1377 | 3441 1387 1368 | 3448 1384 1363 |
| ν(C-H)Ar δ(C-H)Ar | 3030 830 | 3058 829 | 3080 3027 828 |
| ν(CH3) | 2963 2929 | 2965 2931 | 2929 |
| ν(CH2) δ(CH2) | 2879 944 | 2875 944 | 2873 948 |
| ν(COO) δ(COO) | 1725 1181 | 1725 1181 | 1716 1710 1182 |
| R(Ph) | 1608 1507 1458 | 1644 1609 1510 1459 | 1653 1636 1607 1508 1457 |
| ν(-C-O-C) | 1297 1242 1115 1039 | 1296 1243 1112 1039 | 1297 1244 11201039 |
| ν(-S-O-) | - | 670 | 668 |
| Catalyst | № | Heat Treatment | Flexural Strength, MPa | Shore D Hardness |
|---|---|---|---|---|
| Co(Oct)2 | 1 | - | 308 | 90 |
| 2 | 120 °C | 427 | 94 | |
| (TPhTz)2[CuBr4] | 3 | - | 307 | 90.5 |
| 4 | 120 °C | 424 | 93.5 |
| Sample Containig Catalyst | Enthalpy Value, J/g |
|---|---|
| Co(Oct)2 | 6606 |
| (TPhTz)2[CuBr3] | 7477 |
| Sample Containing Catalyst | Temperature of Peak (T), K | Heating Rate (v), K/min | ln(v/T2) | 1000/T |
|---|---|---|---|---|
| (TPhTz)2[CuBr3] | 354.7 | 2.5 | −10.83 | 2.82 |
| 369.2 | 5 | −10.21 | 2.71 | |
| 379.6 | 10 | −9.58 | 2.63 | |
| Co(Oct)2 | 332.4 | 2.5 | −10.69 | 3.01 |
| 345.6 | 5 | −10.08 | 2.89 | |
| 370.2 | 10 | −9.52 | 2.70 | |
| - | 362.6 | 2.5 | −10.87 | 2.75 |
| 372.7 | 5 | −10.25 | 2.65 | |
| 379.6 | 10 | −9.57 | 2.64 |
| Sample Containig Catalyst | tg(α) | Ea, kJ/mol |
|---|---|---|
| (TPhTz)2[CuBr3] | −6.5715 | 54.7 |
| Co(Oct)2 | −3.7196 | 31.0 |
| - | −10.2390 | 85.23 |
Disclaimer/Publisher’s Note: The statements, opinions and data contained in all publications are solely those of the individual author(s) and contributor(s) and not of MDPI and/or the editor(s). MDPI and/or the editor(s) disclaim responsibility for any injury to people or property resulting from any ideas, methods, instructions or products referred to in the content. |
© 2023 by the authors. Licensee MDPI, Basel, Switzerland. This article is an open access article distributed under the terms and conditions of the Creative Commons Attribution (CC BY) license (https://creativecommons.org/licenses/by/4.0/).
Share and Cite
Protsenko, A.E.; Protsenko, A.N.; Shakirova, O.G.; Zhelevskaya, D.D. Coordination Compound (2,3,5-Triphenyltetrazolium)2[CuBr4] as Catalyst for the Curing Process of Epoxy Vinyl Ester Binders. Int. J. Mol. Sci. 2023, 24, 11808. https://doi.org/10.3390/ijms241411808
Protsenko AE, Protsenko AN, Shakirova OG, Zhelevskaya DD. Coordination Compound (2,3,5-Triphenyltetrazolium)2[CuBr4] as Catalyst for the Curing Process of Epoxy Vinyl Ester Binders. International Journal of Molecular Sciences. 2023; 24(14):11808. https://doi.org/10.3390/ijms241411808
Chicago/Turabian StyleProtsenko, Alexander E., Alexandra N. Protsenko, Olga G. Shakirova, and Daria D. Zhelevskaya. 2023. "Coordination Compound (2,3,5-Triphenyltetrazolium)2[CuBr4] as Catalyst for the Curing Process of Epoxy Vinyl Ester Binders" International Journal of Molecular Sciences 24, no. 14: 11808. https://doi.org/10.3390/ijms241411808
APA StyleProtsenko, A. E., Protsenko, A. N., Shakirova, O. G., & Zhelevskaya, D. D. (2023). Coordination Compound (2,3,5-Triphenyltetrazolium)2[CuBr4] as Catalyst for the Curing Process of Epoxy Vinyl Ester Binders. International Journal of Molecular Sciences, 24(14), 11808. https://doi.org/10.3390/ijms241411808

