Paeonia peregrina Mill Petals as a New Source of Biologically Active Compounds: Chemical Characterization and Skin Regeneration Effects of the Extracts
Abstract
1. Introduction
2. Results and Discussion
2.1. Total Polyphenol Content of the Extracts
2.1.1. Preliminary Screening of Factor Levels
2.1.2. Factorial Design
2.2. Total Flavonoid Content of the Extracts
2.3. Chemical Composition
2.4. Antioxidant Activity of the Extracts
2.4.1. ABTS-Radical-Scavenging Activity of the Extracts
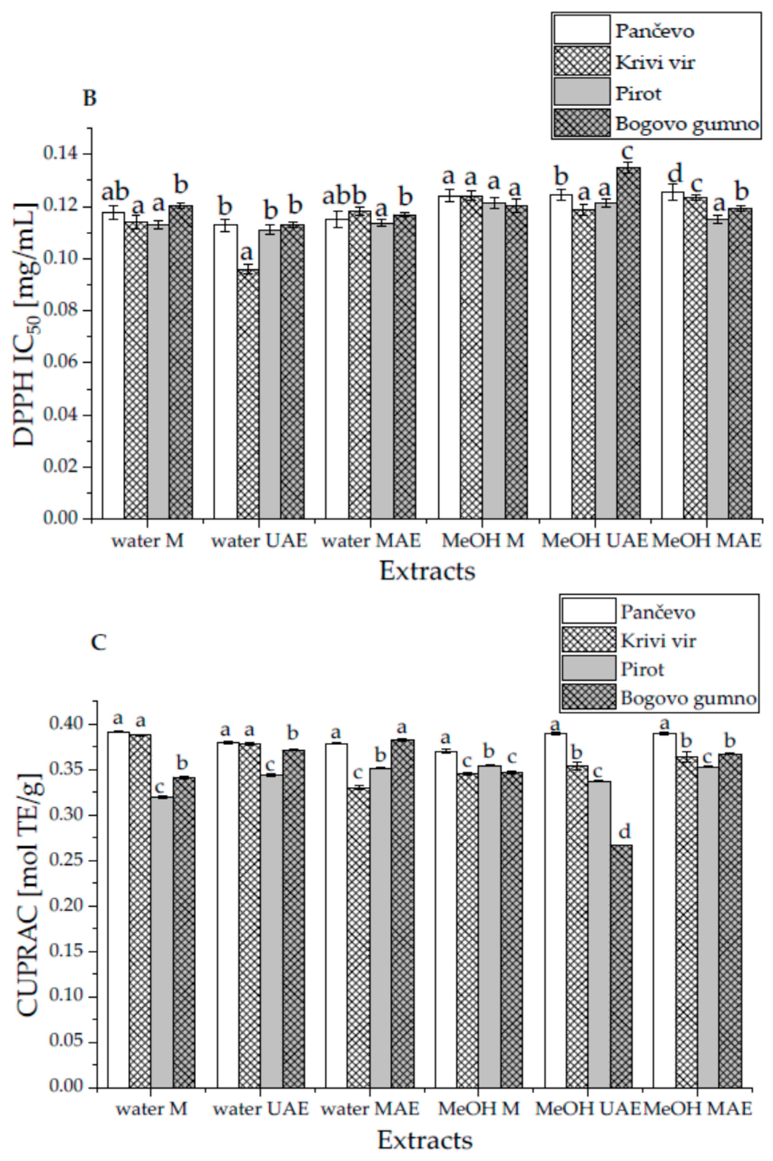
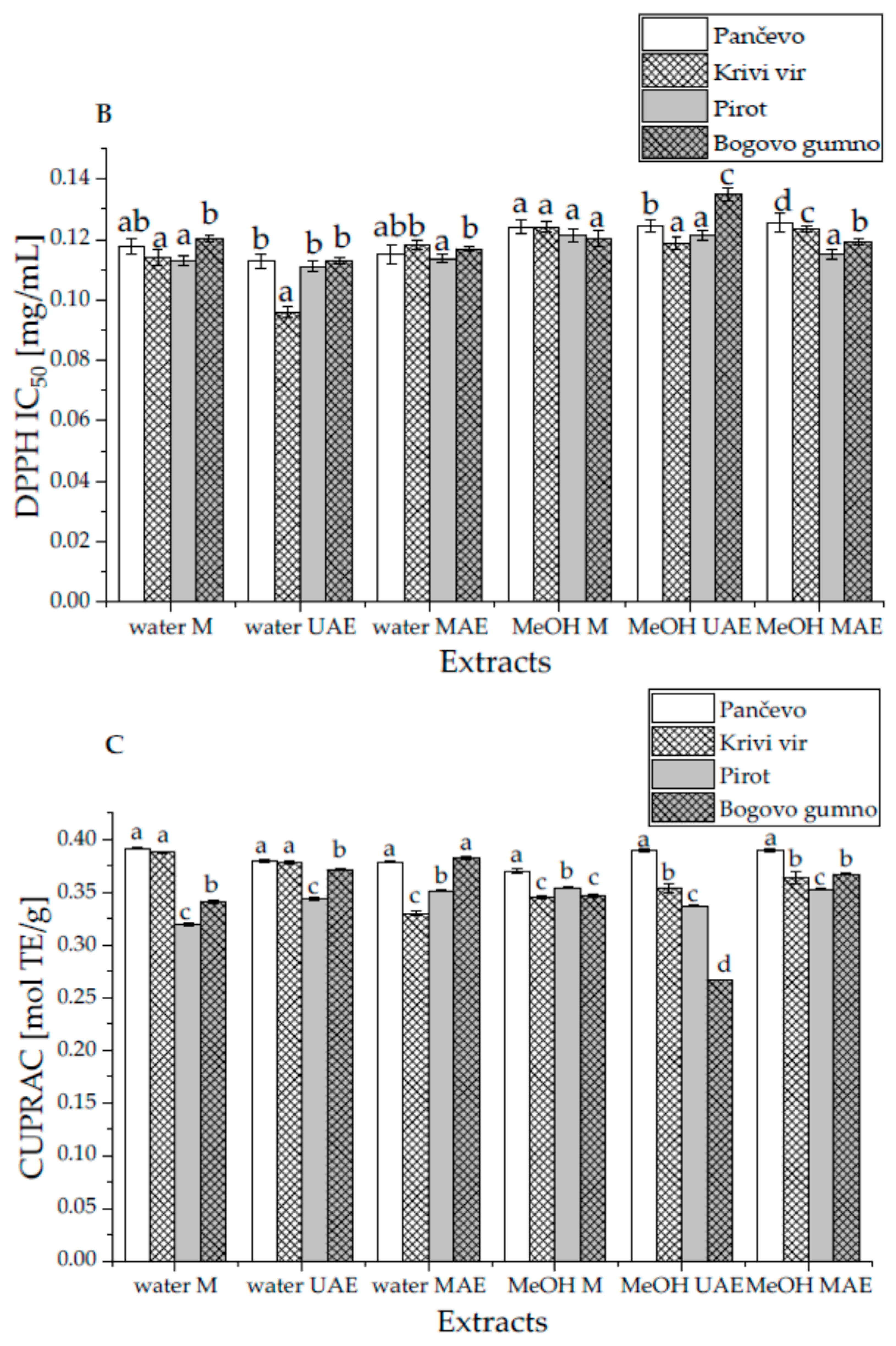
2.4.2. DPPH-Radical-Scavenging Activity of the Extracts
2.4.3. Cupric-Ion-Reducing Antioxidant Capacity of the Extracts
2.4.4. Ferric-Reducing Antioxidant Power of the Extracts
2.5. Antimicrobial and Antibiofilm Activities
2.6. Cytotoxicity
2.7. Wound Healing
2.8. Anti-Inflammatory Activity
3. Materials and Methods
3.1. Origin of Plant Material
3.2. Extraction of Plant Material
3.2.1. Maceration
3.2.2. Ultrasound-Assisted Extraction (UAE)
3.2.3. Microwave-Assisted Extraction (MAE)
3.3. Chemical Analysis
3.3.1. Chemicals
3.3.2. Determination of the Content of Active Constituents in the Extracts
Total Polyphenol Content
Total Flavonoid Content
3.3.3. UHPLC-LTQ-Orbitrap MS
3.3.4. Antioxidant Assay
Cupric-Ion-Reducing Antioxidant Capacity Assay
Ferric-Reducing Antioxidant Power Assay
ABTS Assay
DPPH Assay
3.3.5. Determination of the Antimicrobial and Antibiofilm Activities of the Extracts
Antibacterial Activity
Antifungal Activity
Bacterial Biofilm Inhibitory Activity
3.3.6. Determination of the Cytotoxicity of the Extracts
3.3.7. Scratch Wound Healing Assay
3.3.8. Anti-Inflammatory Activity of the Extracts According to the Inhibition of BSA Denaturation
3.4. Statistical Analysis
4. Conclusions
Supplementary Materials
Author Contributions
Funding
Institutional Review Board Statement
Informed Consent Statement
Data Availability Statement
Acknowledgments
Conflicts of Interest
References
- Hong, D.-Y.; Zhou, S.-L. Peonies of the World: Phylogeny and Evolution; Kew Publishing, Royal Botanic Gardens, Kew: London, UK, 2021. [Google Scholar]
- The Plant List. Available online: http://www.theplantlist.org/ (accessed on 26 May 2023).
- Marković, T.; Peškanov, J.; Rat, M.; Xue, Y.; Zhang, X.; Prijić, Ž.; Anačkov, G. Micromorphology of Wild-Collected Seeds from Paeonia L. in Serbia–Use of Taxonomic Markers in Species Determination. Flora 2023, 305, 152328. [Google Scholar] [CrossRef]
- Official Gazette of RS. The Law on Nature Protection. Available online: https://www.cms.int/cami/en/document/law-nature-protection-%E2%80%9Cofficial-gazette-rs%E2%80%9D-no-3609-8810-9110-1416-and-9518 (accessed on 30 May 2023).
- Stevanović, V. The Red Data Book of Flora of Serbia 1. Extinct and Critically Endangered Taxa, 1st ed.; Stevanovic, V., Ed.; Ministry of Environmental Protection of Republic of Serbia: Belgrade, Serbia, 1999. [Google Scholar]
- Hong, D.-Y.; Pan, K.-Y.; Rao, G.-Y. Cytogeography and Taxonomy of the Paeonia Obovata Polyploid Complex (Paeoniaceae). Plant Syst. Evol. 2001, 227, 123–136. [Google Scholar] [CrossRef]
- Li, P.; Shen, J.; Wang, Z.; Liu, S.; Liu, Q.; Li, Y.; He, C.; Xiao, P. Genus Paeonia: A Comprehensive Review on Traditional Uses, Phytochemistry, Pharmacological Activities, Clinical Application, and Toxicology. J. Ethnopharmacol. 2021, 269, 113708. [Google Scholar] [CrossRef]
- Wang, S.; Xue, J.; Zhang, S.; Zheng, S.; Xue, Y.; Xu, D.; Zhang, X. Composition of Peony Petal Fatty Acids and Flavonoids and Their Effect on Caenorhabditis Elegans Lifespan. Plant Physiol. Biochem. 2020, 155, 1–12. [Google Scholar] [CrossRef] [PubMed]
- Liu, L.; Yuan, Y.; Zuo, J.; Tao, J. Composition and Antioxidant Activity of Paeonia lactiflora Petal Flavonoid Extract and Underlying Mechanisms of the Protective Effect on H2O2-Induced Oxidative Damage in BRL3A Cells. Hortic. Plant J. 2023, 9, 335–344. [Google Scholar] [CrossRef]
- Wu, S.; Wu, D.; Chen, Y. Chemical Constituents and Bioactivities of Plants from the Genus Paeonia. Chem. Biodivers 2010, 7, 90–104. [Google Scholar] [CrossRef]
- Yang, Y.; Li, S.; da Silva, J.A.T.; Yu, X.; Wang, L. Characterization of Phytochemicals in the Roots of Wild Herbaceous Peonies from China and Screening for Medicinal Resources. Phytochemistry 2020, 174, 112331. [Google Scholar] [CrossRef] [PubMed]
- Wang, X.; Xiong, H.; Wang, S.; Zhang, Y.; Song, Z.; Zhang, X. Physicochemical Analysis, Sensorial Evaluation, Astringent Component Identification and Aroma-Active Compounds of Herbaceous Peony (Paeonia lactiflora Pall) Black Tea. Ind. Crop. Prod. 2023, 193, 116159. [Google Scholar] [CrossRef]
- Zhang, D.; Xie, A.; Yang, X.; Yang, L.; Shi, Y.; Dong, L.; Lei, F.; Sun, L.; Bao, M.; Sun, X. Analysis of Physiological and Biochemical Factors Affecting Flower Color of Herbaceous Peony in Different Flowering Periods. Horticulturae 2023, 9, 502. [Google Scholar] [CrossRef]
- Arya, V.; Kumar, D.; Gautam, M. Phytopharmacological Review on Flowers: Source of Inspiration for Drug Discovery. Biomed. Prevent. Nutr. 2014, 4, 45–51. [Google Scholar] [CrossRef]
- Fernandes, L.; Casal, S.; Pereira, J.A.; Saraiva, J.A.; Ramalhosa, E. Edible Flowers: A Review of the Nutritional, Antioxidant, Antimicrobial Properties and Effects on Human Health. J. Food Compost. Anal. 2017, 60, 38–50. [Google Scholar] [CrossRef]
- Chensom, S.; Okumura, H.; Mishima, T. Primary Screening of Antioxidant Activity, Total Polyphenol Content, Carotenoid Content, and Nutritional Composition of 13 Edible Flowers from Japan. Prev. Nutr. Food Sci. 2019, 24, 171. [Google Scholar] [CrossRef] [PubMed]
- Mlcek, J.; Rop, O. Fresh Edible Flowers of Ornamental Plants—A New Source of Nutraceutical Foods. Trends Food Sci. Technol. 2011, 22, 561–569. [Google Scholar] [CrossRef]
- Jadoon, S.; Karim, S.; Asad, M.H.; Bin, H.; Akram, M.R.; Kalsoom Khan, A.; Malik, A.; Chen, C.; Murtaza, G. Anti-Aging Potential of Phytoextract Loaded-Pharmaceutical Creams for Human Skin Cell Longetivity. Oxidative Med. Cell Longev. 2015, 2015, 709628. [Google Scholar] [CrossRef]
- Song, R.; Wu, Q.; Yun, Z.; Zhao, L. Advances in Antioxidative Bioactive Macromolecules. In IOP Conference Series: Earth and Environmental Science; IOP Publishing: Bristol, UK, 2020; Volume 512, p. 012094. [Google Scholar]
- Nichols, J.A.; Katiyar, S.K. Skin Photoprotection by Natural Polyphenols: Anti-Inflammatory, Antioxidant and DNA Repair Mechanisms. Arch. Dermatol. Res. 2010, 302, 71–83. [Google Scholar] [CrossRef]
- Michalak, M. Plant-Derived Antioxidants: Significance in Skin Health and the Ageing Process. Int. J. Mol. Sci. 2022, 23, 585. [Google Scholar] [CrossRef]
- Pai, V.V.; Shukla, P.; Kikkeri, N.N. Our Blog. Available online: https://cellularskinrx.com/antioxidants-in-dermatology/ (accessed on 25 May 2023).
- Kostić, M.; Ivanov, M.; Stojković, D.; Ćirić, A.; Soković, M. Antibacterial and Antibiofilm Activity of Selected Polyphenolic Compounds: An in Vitro Study on Staphylococcus aureus. Nat. Med. Mat. 2020, 40, 57–61. [Google Scholar] [CrossRef]
- Pourmorad, F.; Hosseinimehr, S.J.; Shahabimajd, N. Antioxidant Activity, Phenol and Flavonoid Contents of Some Selected Iranian Medicinal Plants. Afr. J. Biotechnol. 2006, 5, 1142–1145. [Google Scholar]
- Čutović, N.; Marković, T.; Kostić, M.; Gašić, U.; Prijić, Ž.; Ren, X.; Lukić, M.; Bugarski, B. Chemical Profile and Skin-Beneficial Activities of the Petal Extracts of Paeonia tenuifolia L. from Serbia. Pharmaceuticals 2022, 15, 1537. [Google Scholar] [CrossRef]
- Li, P.; Zhang, W.; Tao, J.; Zhao, D. Herbaceous Peony Polyphenols Extend the Vase Life of Cut Flowers. Agriculture 2023, 13, 122. [Google Scholar] [CrossRef]
- Jovanović, A.A.; Đorđević, V.B.; Zdunić, G.M.; Pljevljakušić, D.S.; Šavikin, K.P.; Gođevac, D.M.; Bugarski, B.M. Optimization of the Extraction Process of Polyphenols from Thymus serpyllum L. Herb Using Maceration, Heat-and Ultrasound-Assisted Techniques. Sep. Purif. Technol. 2017, 179, 369–380. [Google Scholar] [CrossRef]
- Vajić, U.-J.; Grujić-Milanović, J.; Živković, J.; Šavikin, K.; Gođevac, D.; Miloradović, Z.; Bugarski, B.; Mihailović-Stanojević, N. Optimization of Extraction of Stinging Nettle Leaf Phenolic Compounds Using Response Surface Methodology. Ind. Crop. Prod. 2015, 74, 912–917. [Google Scholar] [CrossRef]
- Batinić, P.; Čutović, N.; Mrđan, S.; Jovanović, A.A.; Čirić, K.; Marinković, A.; Bugarski, B. The Comparison of Ocimum basilicum and Levisticum officinale Extracts Obtained Using Different Extraction Solvents and Techniques. Nat. Med. Mat. 2022, 42, 43–50. [Google Scholar] [CrossRef]
- Jayasinghe, C.; Gotoh, N.; Aoki, T.; Wada, S. Phenolics Composition and Antioxidant Activity of Sweet Basil (Ocimum basilicum L.). J. Agric. Food Chem. 2003, 51, 4442–4449. [Google Scholar] [CrossRef]
- Shafazila, T.S.; Lee, P.M.; Hung, L.K. Radical Scavenging Activities of Extract and Solvent-Solvent Partition Fractions from Dendrobium sonia “Red Bom” Flower. In Proceedings of the 2010 International Conference on Science and Social Research (CSSR 2010), Kuala Lumpur, Malaysia, 5–7 December 2010; IEEE: New York, NY, USA, 2010; pp. 762–765. [Google Scholar]
- Wang, C.; Cheng, H.; Guan, Y.; Wang, Y.; Yun, Y. In Vitro Activity of Gallic Acid against Candida albicans Biofilms. Chin. Med. J. 2009, 34, 1137–1140. [Google Scholar]
- Chanwitheesuk, A.; Teerawutgulrag, A.; Kilburn, J.D.; Rakariyatham, N. Antimicrobial Gallic Acid from Caesalpinia mimosoides Lamk. Food Chem. 2007, 100, 1044–1048. [Google Scholar] [CrossRef]
- Silva, E.M.; Rogez, H.; Larondelle, Y. Optimization of Extraction of Phenolics from Inga edulis Leaves Using Response Surface Methodology. Sep. Purif. Technol. 2007, 55, 381–387. [Google Scholar] [CrossRef]
- Munin, A.; Edwards-Lévy, F. Encapsulation of Natural Polyphenolic Compounds; a Review. Pharmaceutics 2011, 3, 793–829. [Google Scholar] [CrossRef]
- Kim, H.-K. The Anti-Inflammatory and Anti-Oxidant Activity of Ethanol Extract from Red Rose Petals. Int. J. Internet Broadcast. Commun. 2020, 12, 139–148. [Google Scholar]
- Jovanović, A.A.; Mosurović, M.; Bugarski, B.; Batinić, P.; Čutović, N.; Gordanić, S.; Marković, T. Melissa officinalis Extracts Obtained Using Maceration, Ultrasoundand Microwave-Assisted Extractions: Chemical Composition, Antioxidant Capacity, and Physical Characteristics. Nat. Med. Mat. 2022, 42, 51–59. [Google Scholar] [CrossRef]
- Ginova, A.; Mihalev, K.; Kondakova, V. Antioxidant Capacity of Petals and Leaves from Different Rose (Rosa damascena Mill.) Plantations in Bulgaria. Int. J. Pure Appl. Biosci. 2013, 1, 38–43. [Google Scholar]
- Hidalgo, M.; Sánchez-Moreno, C.; de Pascual-Teresa, S. Flavonoid–Flavonoid Interaction and Its Effect on Their Antioxidant Activity. Food Chem. 2010, 121, 691–696. [Google Scholar] [CrossRef]
- Chávez-González, M.L.; Sepúlveda, L.; Verma, D.K.; Luna-García, H.A.; Rodríguez-Durán, L.V.; Ilina, A.; Aguilar, C.N. Conventional and Emerging Extraction Processes of Flavonoids. Processes 2020, 8, 434. [Google Scholar] [CrossRef]
- Xing, Y.; Meng, W.; Sun, W.; Li, D.; Yu, Z.; Tong, L.; Zhao, Y. Simultaneous Qualitative and Quantitative Analysis of 21 Mycotoxins in Radix Paeoniae Alba by Ultra-High Performance Liquid Chromatography Quadrupole Linear Ion Trap Mass Spectrometry and QuEChERS for Sample Preparation. J. Chrom. 2016, 1031, 202–213. [Google Scholar] [CrossRef] [PubMed]
- Yang, S.; Zhang, X.; Dong, Y.; Sun, G.; Jiang, A.; Li, Y. Cleavage Rules of Mass Spectrometry Fragments and Rapid Identification of Chemical Components of Radix Paeoniae Alba Using UHPLC-Q-TOF-MS. Phytochem. Anal. 2021, 32, 836–849. [Google Scholar] [CrossRef] [PubMed]
- Xiong, P.; Qin, S.; Li, K.; Liu, M.; Zhu, L.; Peng, J.; Shi, S.; Tang, S.; Tian, A.; Cai, W. Identification of the Tannins in Traditional Chinese Medicine Paeoniae radix Alba by UHPLC-Q-Exactive Orbitrap MS. Arab. J. Chem. 2021, 14, 103398. [Google Scholar] [CrossRef]
- Sun, M.; Wang, Y.; Yang, Y.; Lv, M.; Li, S.; Teixeira da Silva, J.A.; Wang, L.; Yu, X. Analysis of Chemical Components in the Roots of Eight Intersubgeneric Hybrids of Paeonia. Chem. Biodivers. 2021, 18, e2000848. [Google Scholar] [CrossRef]
- Liang, J.; Xu, F.; Zhang, Y.-Z.; Huang, S.; Zang, X.-Y.; Zhao, X.; Zhang, L.; Shang, M.-Y.; Yang, D.-H.; Wang, X. The Profiling and Identification of the Absorbed Constituents and Metabolites of Paeoniae Radix Rubra Decoction in Rat Plasma and Urine by the HPLC–DAD–ESI-IT-TOF-MSn Technique: A Novel Strategy for the Systematic Screening and Identification of Absorbed Constituents and Metabolites from Traditional Chinese Medicines. J. Pharm. Biomed. Anal. 2013, 83, 108–121. [Google Scholar]
- Sut, S.; Zengin, G.; Dall’Acqua, S.; Gazdová, M.; Šmejkal, K.; Bulut, G.; Dogan, A.; Haznedaroglu, M.Z.; Aumeeruddy, M.Z.; Maggi, F. Paeonia Arietina and Paeonia kesrounansis Bioactive Constituents: NMR, LC-DAD-MS Fingerprinting and in Vitro Assays. J. Pharm. Biomed. Anal. 2019, 165, 1–11. [Google Scholar] [CrossRef]
- Michalea, R.; Stathopoulou, K.; Polychronopoulos, P.; Benaki, D.; Mikros, E.; Aligiannis, N. Efficient Identification of Acetylcholinesterase and Hyaluronidase Inhibitors from Paeonia parnassica Extracts through a HeteroCovariance Approach. J. Ethnopharmacol. 2020, 257, 111547. [Google Scholar] [CrossRef]
- Wang, X.; Tang, Y.H.; Luan, Y.T.; Zhang, H.C.; Zhao, D.Q.; Tao, J. Flavonoids Composition and Transcriptome Analysis in Herbaceous Peony (Paeonia lactiflora) of Double-Colored Flowers. Russ. J. Plant Physiol. 2022, 69, 66. [Google Scholar] [CrossRef]
- Zhang, H.; Zhang, S.; Hu, M.; Chen, Y.; Wang, W.; Zhang, K.; Kuang, H.; Wang, Q. An Integrative Metabolomics and Network Pharmacology Method for Exploring the Effect and Mechanism of Radix Bupleuri and Radix Paeoniae Alba on Anti-Depression. J. Pharm. Biomed. Anal. 2020, 189, 113435. [Google Scholar] [CrossRef]
- Du, H.; Wu, J.; Ji, K.-X.; Zeng, Q.-Y.; Bhuiya, M.-W.; Su, S.; Shu, Q.-Y.; Ren, H.-X.; Liu, Z.-A.; Wang, L.-S. Methylation Mediated by an Anthocyanin, O-Methyltransferase, Is Involved in Purple Flower Coloration in Paeonia. J. Exp. Bot. 2015, 66, 6563–6577. [Google Scholar] [CrossRef] [PubMed]
- Nie, R.; Zhang, Y.; Jin, Q.; Zhang, S.; Wu, G.; Chen, L.; Zhang, H.; Wang, X. Identification and Characterisation of Bioactive Compounds from the Seed Kernels and Hulls of Paeonia lactiflora Pall by UPLC-QTOF-MS. Food Res. Int. 2021, 139, 109916. [Google Scholar] [CrossRef] [PubMed]
- Demir, A.; Turumtay, H.; Emirik, M.; Sandalli, C.; Kanbolat, Ş.; Özgen, U.; Turumtay, E.A. Paeoniflorigenone Purified from Paeonia daurica Roots Potently Inhibits Viral and Bacterial DNA Polymerases: Investigation by Experimental Validation and Docking Simulation. Med. Chem. Res. 2019, 28, 2232–2245. [Google Scholar] [CrossRef]
- Xu, H.; Wu, M.; Zhang, X.; Wang, B.; Wang, S.; Zheng, Z.; Li, D.; Wang, F. Application of Blanching Pretreatment in Herbaceous Peony (Paeonia lactiflora Pall.) Flower Processing: Improved Drying Efficiency, Enriched Volatile Profile and Increased Phytochemical Content. Ind. Crop. Prod. 2022, 188, 115663. [Google Scholar] [CrossRef]
- Jovanović, A.A.; Petrović, P.M.; Đorđević, V.B.; Zdunić, G.M.; Savikin, K.P.; Bugarski, B.M. Free Radicals’ Scavenging Capacity of Thymus serpyllum L. Extracts Depending on Applied Extraction Conditions and Extraction Techniques. Hrana I Ishr. 2021, 62, 15–20. [Google Scholar] [CrossRef]
- Jovin, E.; Toth, A.; Beara, I.; Balog, K.; Orčić, D.; Mimica-Dukić, N. Chemical Composition and Antioxidant Capacity of Marrubium peregrinum L. from Vojvodina (Serbia). Planta Med. 2008, 74, PB65. [Google Scholar] [CrossRef]
- Hirano, R.; Sasamoto, W.; Matsumoto, A.; Itakura, H.; Igarashi, O.; Kondo, K. Antioxidant Ability of Various Flavonoids against DPPH Radicals and LDL Oxidation. J. Nutr. Sci. Vitaminol. 2001, 47, 357–362. [Google Scholar] [CrossRef]
- Petkova, N.; Todorova, M.; Grozeva, N.; Gerdzhikova, M. Phenolic Content and Antioxidant Activity of Water Extracts from Rosa damascena Petals Grown in Kazanlak Valley, Bulgaria. Sci. Pap. Ser. B Hortic. 2020, 64, 345–352. [Google Scholar]
- Özyürek, M.; Güçlü, K.; Tütem, E.; Başkan, K.S.; Erçağ, E.; Çelik, S.E.; Baki, S.; Yıldız, L.; Karaman, Ş.; Apak, R. A Comprehensive Review of CUPRAC Methodology. Anal. Met. 2011, 3, 2439–2453. [Google Scholar] [CrossRef]
- Yonbawi, A.R.; Abdallah, H.M.; Alkhilaiwi, F.A.; Koshak, A.E.; Heard, C.M. Anti-Proliferative, Cytotoxic and Antioxidant Properties of the Methanolic Extracts of Five Saudi Arabian Flora with Folkloric Medicinal Use: Aizoon canariense, Citrullus colocynthis, Maerua crassifolia, Rhazya stricta and Tribulus macropterus. Plants 2021, 10, 2073. [Google Scholar] [CrossRef] [PubMed]
- Martin, P. Wound Healing—Aiming for Perfect Skin Regeneration. Science 1997, 276, 75–81. [Google Scholar] [CrossRef] [PubMed]
- Tsuchiya, H.; Sato, M.; Miyazaki, T.; Fujiwara, S.; Tanigaki, S.; Ohyama, M.; Tanaka, T.; Iinuma, M. Comparative Study on the Antibacterial Activity of Phytochemical Flavanones against Methicillin-Resistant Staphylococcus aureus. J. Ethnopharmacol. 1996, 50, 27–34. [Google Scholar] [CrossRef]
- Sowmya, B.; Murugan, V.; Jacquline Rosy, P.; Saravanan, P.; Rajeshkannan, R.; Rajasimman, M.; Venkat Kumar, S. Employing Newly Developed Copper Oxide Nanoparticles for Antibacterial Capability from Discarded Wedelia trilobata Flowers. Biomass Convers. Biorefin. 2023, 1–12. [Google Scholar] [CrossRef]
- Park, J.-W.; Lee, Y.-J.; Yoon, S. Total Flavonoids and Phenolics in Fermented Soy Products and Their Effects on Antioxidant Activities Determined by Different Assays. J. Korean Soc. Food Sci. Nutr. 2007, 22, 353–358. [Google Scholar]
- Zengin, G.; Cvetanović, A.; Gašić, U.; Stupar, A.; Bulut, G.; Şenkardes, I.; Dogan, A.; Sinan, K.I.; Uysal, S.; Aumeeruddy-Elalfi, Z. Modern and Traditional Extraction Techniques Affect Chemical Composition and Bioactivity of Tanacetum parthenium (L.) Schultz Bip. Ind. Crop. Prod. 2020, 146, 112202. [Google Scholar] [CrossRef]
- Aghakhani Kaaji, F.; Kharazian, N. Flavonoid Diversity and Morphological Variations among Seven Phlomis Species in Zagros, Iran. Iran J. Sci. Technol. Trans. A Sci. 2019, 43, 415–431. [Google Scholar] [CrossRef]
- Waterhouse, A.L. Determination of Total Phenolics. Curr. Protoc. Food Anal. Chem. 2002, 6, I1-1.2. [Google Scholar]
- Prior, R.L.; Wu, X.; Schaich, K. Standardized Methods for the Determination of Antioxidant Capacity and Phenolics in Foods and Dietary Supplements. J. Agric. Food Chem. 2005, 53, 4290–4302. [Google Scholar] [CrossRef]
- Batinic, P. In Vitro Evaluation of Antioxidative Activities of the Extracts of Petals of Paeonia lactiflora and Calendula officinalis Incorporated in the New Forms of Biobased Carriers. Food Feed Res. 2022, 49, 23–35. [Google Scholar] [CrossRef]
- Ivanov, M.; Kannan, A.; Stojkovic, D.; Glamoclija, J.; Grdadolnik, S.G.; Sanglard, D.; Sokovic, M. Revealing the Astragalin Mode of Anticandidal Action. Excli J. 2020, 19, 1436. [Google Scholar] [PubMed]
- Smiljković, M.; Dias, M.I.; Stojković, D.; Barros, L.; Bukvički, D.; Ferreira, I.C.; Soković, M. Characterization of Phenolic Compounds in Tincture of Edible Nepeta Nuda: Development of Antimicrobial Mouthwash. Food. Funct. 2018, 9, 5417–5425. [Google Scholar] [CrossRef]
- Stojković, D.S.; Kovačević-Grujičić, N.; Reis, F.S.; Davidović, S.; Barros, L.; Popović, J.; Petrović, I.; Pavić, A.; Glamočlija, J.; Ćirić, A. Chemical Composition of the Mushroom Meripilus giganteus Karst. and Bioactive Properties of Its Methanolic Extract. LWT-Food Sci. Technol. 2017, 79, 454–462. [Google Scholar] [CrossRef]
- Stojković, D.; Drakulić, D.; Gašić, U.; Zengin, G.; Stevanović, M.; Rajčević, N.; Soković, M. Ononis spinosa L., an Edible and Medicinal Plant: UHPLC-LTQ-Orbitrap/MS Chemical Profiling and Biological Activities of the Herbal Extract. Food Funct. 2020, 11, 7138–7151. [Google Scholar] [CrossRef] [PubMed]
- Mizushima, Y.; Kobayashi, M. Interaction of Anti-inflammatory Drugs with Serum Proteins, Especially with Some Biologically Active Proteins. J. Pharm. Pharmacol. 1968, 20, 169–173. [Google Scholar] [CrossRef]
- Sakat, S.; Juvekar, A.R.; Gambhire, M.N. In Vitro Antioxidant and Anti-Inflammatory Activity of Methanol Extract of Oxalis Corniculata Linn. Int. J. Pharm. Pharm. Sci. 2010, 2, 146–155. [Google Scholar]













| Effect | Std. Err. | Effect Estimates | Coeff. | Std. Err. Coeff. | p | |
|---|---|---|---|---|---|---|
| TPC * (mg GAE/g) | ||||||
| Constant | 25.732 | 0.123 | 0.000 | |||
| Main factors | ||||||
| Locality (1) | −2.158 | 0.246 | 16.555 | −1.079 | 0.123 | 0.000 |
| Extraction technique (2) | 4.830 | 0.246 | −17.794 | 2.415 | 0.123 | 0.000 |
| Extraction mediums (3) | 8.718 | 0.246 | 13.601 | 4.359 | 0.123 | 0.000 |
| Interaction of two factors | ||||||
| 1 by 2 | 2.967 | 0.246 | −6.221 | 1.483 | 0.123 | 0.000 |
| 1 by 3 | −2.002 | 0.246 | 0.484 | −1.000 | 0.123 | 0.000 |
| 2 by 3 | −0.833 | 0.246 | −0.619 | −0.417 | 0.123 | 0.003 |
| Locality | Extraction Technique | Extraction Medium | Locality | Extraction Technique | Extraction Medium | TPC (mg GAE */g) | |
|---|---|---|---|---|---|---|---|
| Design | Factor levels | Observed | Predicted | ||||
| −1 | −1 | −1 | Pančevo | M | Water | 19.77 ± 0.39 | 20.10 |
| −1 | 1 | −1 | Pančevo | M | Me-OH | 31.99 ± 0.28 | 31.66 |
| 1 | −1 | 1 | Pančevo | MAE | Water | 23.14 ± 0.49 | 22.80 |
| 1 | 1 | 1 | Pančevo | MAE | Me-OH | 32.35 ± 0.48 | 32.69 |
| −1 | −1 | 1 | Pirot | M | Water | 17.32 ± 0.33 | 16.98 |
| −1 | 1 | 1 | Pirot | M | Me-OH | 24.19 ± 0.54 | 24.53 |
| 1 | −1 | −1 | Pirot | MAE | Water | 25.27 ± 0.52 | 25.61 |
| 1 | 1 | −1 | Pirot | MAE | Me-OH | 31.83 ± 0.60 | 31.49 |
| No. | Compound Names | tR, min | Molecular Formula, [M–H]−/[M+H]+ | Calculated Mass, [M–H]−/[M+H]+ | Exact Mass, [M–H]–/[M+H]+ | ΔmDa | MS2 Fragments, (% Base Peak) | MS3 Fragments, (% Base Peak) | MS4 Fragments, (% Base Peak) |
|---|---|---|---|---|---|---|---|---|---|
| Phenolic acids and derivatives | |||||||||
| 1 | Galloyl- hexoside 1 | 0.57 | C13H15O10− | 331.06707 | 331.06438 | 2.69 | 125(8), 151(4), 169(100), 170(3), 193(9), 211(20), 271(38) | 125(100) | 69(55), 76(8), 79(17), 81(100), 97(56), 107(49) |
| 2 | Galloyl- hexoside 2 | 0.87 | C13H15O10− | 331.06707 | 331.06398 | 3.09 | 125(14), 169(100), 170(7), 193(12), 211(28), 271(59), 272(7) | 125(100) | 79(19), 81(100), 97(66), 107(26) |
| 3 | Gallic acid | 1.00 | C7H5O5− | 169.01425 | 169.00924 | 5.00 | 124(3), 125(100) | 51(5), 53(5), 69(17), 79(10), 81(100), 97(91), 107(14) | NA |
| 4 | Digalloyl- hexoside 1 | 2.19 | C20H19O14− | 483.07803 | 483.07383 | 4.20 | 168(9), 169(100), 170(6), 193(4), 271(7), 313(14), 331(25) | 125(100) | 53(30), 81(100), 97(59) |
| 5 | Digallic acid 1 | 3.00 | C14H9O9− | 321.02521 | 321.02246 | 2.75 | 125(4), 169(100), 170(7) | 125(100) | 67(13), 69(16), 81(100), 97(72), 107(24) |
| 6 | Coumaroyl Hexaric acid | 3.11 | C15H15O10− | 355.06707 | 355.06402 | 3.05 | 129(3), 147(4), 173(3), 191(100), 192(5), 209(39), 337(7) | 85(100), 129(5), 147(9), 173(4) | 57(100), 61(30) |
| 7 | Benzoyl hexaric acid | 3.11 | C13H13O9− | 313.05651 | 313.05388 | 2.63 | 129(9), 147(9), 173(7), 191(100), 192(6), 295(13) | 85(100), 129(8), 147(9) | 57(100) |
| 8 | Galloyl- norbergenin 1 | 3.28 | C20H19O13+ | 467.08202 | 467.08282 | −0.80 | 153(100), 237(10), 279(9), 297(18), 305(27), 448(8), 449(20) | 79(4), 125(100), 143(29) | 79(41), 97(100), 107(8), 143(6), 175(3), 248(3) |
| 9 | Methyl gallate 1 | 3.34 | C8H7O5− | 183.02990 | 183.03519 | −5.29 | 124(75), 139(4), 140(8), 153(8), 168(100), 169(5), 183(6) | 111(6), 124(100), 137(4), 139(3), 140(11) | NA |
| 10 | Digalloyl- hexoside 2 | 3.49 | C20H19O14− | 483.07803 | 483.07378 | 4.25 | 169(11), 193(16), 211(16), 271(100), 272(12), 313(22), 331(26) | 169(12), 211(100) | 124(26), 125(8), 139(5), 165(11), 167(46), 168(100), 183(9) |
| 11 | Digallic acid 2 | 3.49 | C14H9O9− | 321.02521 | 321.02212 | 3.08 | 125(3), 169(100), 170(4) | 125(100) | 69(28), 79(16), 81(100), 95(10), 96(9), 97(57), 107(15) |
| 12 | Benzoyl- dihexoside | 3.61 | C19H25O12− | 445.13515 | 445.13137 | 3.78 | 161(59), 162(6), 179(24), 221(7), 321(10), 323(100), 324(26) | 113(73), 125(78), 143(57), 179(45), 221(100), 245(41), 263(90) | NA |
| 13 | Trigalloyl- hexoside 1 | 3.62 | C34H19O13− | 635.08311 | 635.08409 | −0.98 | 313(6), 421(6), 465(100), 466(18), 483(9), 483(52), 484(9) | 161(7), 169(62), 193(7), 235(10), 295(32), 313(100), 421(50) | 125(13), 137(4), 151(9), 169(100), 179(5), 193(4), 295(13) |
| 14 | p-Coumaroyl hexoside | 3.68 | C15H17O8− | 325.09289 | 325.09011 | 2.78 | 119(9), 145(5), 163(100), 164(7) | 119(100) | 101(100) |
| 15 | HHDP-hexoside | 3.90 | C21H21O13− | 481.09877 | 481.09555 | 3.22 | 315(58), 316(22), 319(37), 345(100), 346(26), 463(25), 464(20) | 137(8), 139(100), 164(9), 165(85), 183(23), 207(9), 327(9) | 70(38), 71(69), 76(23), 95(24), 97(100) |
| 16 | Dihydroxybenzoic acid | 3.92 | C7H5O4− | 153.01880 | 153.02423 | −5.43 | 97(21), 108(4), 109(100), 110(9), 111(4), 125(3), 138(4) | 65(97), 66(100), 72(93) | NA |
| 17 | Digalloyl- pentoside | 3.99 | C20H19O13− | 467.08311 | 467.07949 | 3.63 | 313(9), 315(22), 421(8), 423(100), 424(18), 425(3), 449(4) | 125(6), 151(4), 168(5), 169(49), 211(4), 313(100), 314(11) | 125(17), 151(5), 169(100), 211(5), 223(8), 241(4), 253(5) |
| 18 | Trigalloyl- hexoside 2 | 4.07 | C34H19O13− | 635.08311 | 635.08481 | −1.69 | 465(100), 466(18), 467(4) | 169(36), 193(4), 211(6), 235(8), 295(10), 313(100), 447(4) | 125(16), 151(7), 169(100), 193(29), 241(17), 253(16), 295(15) |
| 19 | Galloyl- norbergenin 2 | 4.10 | C20H19O13+ | 467.08202 | 467.08291 | −0.89 | 153(100), 233(8), 261(21), 279(8), 297(20), 449(8), 450(10) | 79(4), 125(100), 143(27) | 69(3), 79(70), 97(100), 107(22) |
| 20 | Galloyl-HHDP- hexose 1 | 4.26 | C27H23O17+ | 619.09298 | 619.09454 | −1.57 | 237(9), 297(15), 304(14), 305(100), 449(30), 600(11), 601(59) | 153(100) | 79(5), 125(100) |
| 21 | Tetragalloyl- hexoside 1 | 4.32 | C41H23O17− | 787.09407 | 787.09506 | −0.99 | 465(5), 617(15), 617(100), 618(25), 635(8) | 277(10), 295(23), 313(8), 447(25), 449(7), 465(100), 573(6) | 169(21), 193(4), 271(6), 295(14), 313(100) |
| 22 | Trigalloyl- hexoside 3 | 4.34 | C34H19O13− | 635.08311 | 635.08459 | −1.48 | 295(5), 313(19), 423(7), 465(100), 466(19), 483(94), 484(15) | 169(29), 295(14), 313(100), 314(9) | 125(18), 151(4), 169(100), 193(4), 241(11), 253(9), 295(3) |
| 23 | Galloyl-methylhydroxy benzoyl-hexoside | 4.37 | C21H21O12− | 465.10385 | 465.10090 | 2.95 | 169(16), 193(7), 205(6), 271(5), 295(12), 313(100), 447(4) | NA | NA |
| 24 | Galloyl-HHDP- hexose 2 | 4.40 | C27H23O17+ | 619.09298 | 619.09470 | −1.72 | 233(7), 237(3), 243(3), 261(18), 279(8), 449(100), 467(3) | 153(100), 297(16) | 79(4), 125(100) |
| 25 | Digallic acid methyl ester 1 | 4.64 | C15H11O9− | 335.04086 | 335.03802 | 2.84 | 182(4), 183(100), 184(5) | 111(3), 124(77), 137(3), 139(4), 140(7), 168(100) | 111(4), 124(100), 137(5), 139(4), 140(10) |
| 26 | Ellagic acid | 4.69 | C14H5O8− | 300.99899 | 300.99682 | 2.17 | 185(53), 229(87), 257(100), 271(66), 272(24), 284(51), 301(51) | 157(4), 185(82), 201(13), 213(22), 229(100), 230(4), 240(9) | 145(11), 147(12), 157(46), 173(35), 185(100), 201(92) |
| 27 | Tetragalloyl- hexoside 2 | 4.73 | C41H23O17− | 787.09407 | 787.09491 | −0.84 | 465(17), 617(98), 618(22), 619(6), 635(100), 636(27), 637(7) | 465(100), 483(8) | 169(31), 193(3), 211(4), 235(6), 295(8), 313(100), 447(4) |
| 28 | Galloyl-HHDP- hexose 3 | 4.76 | C27H23O17+ | 619.09298 | 619.09467 | −1.70 | 237(68), 261(15), 305(34), 449(36), 600(16), 601(100), 602(17) | 237(26), 261(9), 279(8), 305(20), 448(14), 449(100), 583(4) | 153(100), 237(3), 261(6), 279(3) |
| 29 | Pentagalloyl- hexoside 1 | 4.78 | C41H31O26− | 939.11091 | 939.10623 | 4.67 | 617(8), 787(25), 787(100), 788(29) | 465(6), 617(13), 617(100), 635(16) | 277(11), 295(22), 313(8), 447(24), 449(4), 465(100), 573(6) |
| 30 | Ethyl gallate | 4.86 | C9H9O5− | 197.04555 | 197.04403 | 1.51 | 124(5), 125(8), 167(3), 168(7), 169(100), 170(4) | 125(100) | 69(19), 79(13), 81(100), 96(5), 97(52), 107(17) |
| 31 | Methyl gallate 2 | 4.89 | C8H7O5− | 183.02990 | 183.02216 | 7.74 | 111(4), 124(72), 137(3), 139(4), 140(7), 168(100) | 111(6), 124(100), 127(4), 137(7), 139(6), 140(14) | NA |
| 32 | Pentagalloyl- hexoside 2 | 5.02 | C41H31O26− | 939.11091 | 939.10421 | 6.69 | 617(7), 769(100), 770(24), 771(7), 787(7), 788(3) | 429(13), 431(13), 447(25), 599(24), 601(30), 617(100), 725(9) | 271(7), 277(6), 295(5), 313(8), 423(12), 447(22), 465(100) |
| 33 | Digalloyl-HHDP- protoquercitol | 5.06 | C34H27O21+ | 771.10394 | 771.10670 | −2.77 | 233(34), 261(96), 279(58), 304(31), 305(100), 413(14), 431(70) | 153(100) | 79(6), 125(100) |
| 34 | Pentagalloyl- hexoside 3 | 5.19 | C41H31O26− | 939.11091 | 939.10522 | 5.69 | 769(4), 787(100), 788(22) | 403(4), 447(6), 465(11), 573(7), 617(10), 617(100), 635(20) | 295(15), 403(33), 421(14), 447(41), 449(11), 465(100), 573(55) |
| 35 | Digallic acid methyl ester 2 | 5.25 | C15H11O9− | 335.04086 | 335.03822 | 2.63 | 183(100), 184(4) | 111(4), 124(72), 137(3), 139(4), 140(7), 168(100) | 111(6), 124(100), 127(4), 137(7), 139(6), 140(14) |
| 36 | Methyl gallate 3 | 5.25 | C8H7O5− | 183.02990 | 183.02879 | 1.10 | 111(3), 124(74), 137(4), 139(4), 140(6), 168(100) | 111(3), 124(100), 137(7), 139(4), 140(11) | NA |
| 37 | Trigalloyl-HHDP- protoquercitol | 5.27 | C41H31O25+ | 923.11489 | 923.11888 | −3.99 | 305(100), 413(19), 431(59), 457(26), 583(18), 601(28), 771(37) | 153(100) | 79(4), 125(100) |
| 38 | Ethyl-digallate | 5.56 | C16H13O9− | 349.05651 | 349.05390 | 2.60 | 197(100), 198(6) | 124(4), 125(7), 168(9), 169(100) | 125(100) |
| 39 | Trihydroxybenzoyl- benzoyl-hexoside | 5.75 | C20H19O11− | 435.09329 | 435.09060 | 2.69 | 150(13), 168(80), 169(74), 313(100), 314(12), 417(90), 418(20) | 125(32), 137(87), 151(21), 161(15), 168(75), 169(100), 269(47) | 108(4), 123(4), 125(62), 151(100) |
| 40 | p-Coumaric acid | 5.82 | C9H7O3− | 163.04007 | 163.03925 | 0.81 | 91(3), 119(100), 120(10) | 91(100), 101(74), 105(54), 161(53), 168(54), 192(49), 232(55) | NA |
| 41 | Trigallic acid Methyl ester | 5.94 | C22H15O13− | 487.05181 | 487.04859 | 3.22 | 183(9), 334(16), 335(100), 336(8) | 183(100) | 111(5), 124(74), 137(3), 139(3), 140(7), 168(100) |
| 42 | Hydroxybenzoyl- galloyl-hexoside | 5.97 | C20H19O12− | 451.08820 | 451.08493 | 3.27 | 137(8), 169(7), 313(92), 314(13), 331(100), 332(12), 349(7) | 125(34), 150(12), 167(19), 168(95), 169(29), 313(100), 314(13) | 108(48), 117(42), 125(90), 135(48), 137(31), 150(100), 151(44) |
| 43 | Dihydroxybenzoyl- methylgallate | 6.07 | C15H11O8− | 319.04594 | 319.04355 | 2.39 | 183(100), 184(7) | 111(3), 124(72), 137(5), 139(4), 140(8), 168(100) | 82(3), 111(8), 124(100), 137(6), 139(7), 140(6) |
| 44 | Trigalloyl- pentoside | 6.16 | C27H23O15− | 587.10370 | 587.10041 | 3.29 | 169(100), 170(5), 417(38), 418(8), 435(41), 436(6), 465(4) | 125(100) | 51(48), 55(50), 81(63), 97(47), 107(100) |
| 45 | Digallic acid methyl ester 3 | 6.49 | C15H11O9− | 335.04086 | 335.03801 | 2.84 | 183(20), 244(4), 261(7), 276(3), 303(7), 307(100), 308(14) | 247(73), 251(17), 260(18), 261(28), 279(33), 289(100), 290(11) | 201(7), 229(3), 261(100), 262(9) |
| 46 | Phenylethanol gallate | 7.54 | C15H13O5− | 273.07685 | 273.07478 | 2.07 | 125(19), 169(100), 170(6) | 125(100) | 81(70), 83(18), 97(100) |
| Flavonoid glycosides and aglycones | |||||||||
| 47 | Taxifolin 3,7-di-O-hexoside | 3.16 | C34H27O12− | 627.15080 | 627.15153 | −0.73 | 267(25), 285(18), 355(19), 447(49), 463(9), 465(100), 466(18) | 241(14), 285(100), 303(29), 329(4), 339(3), 339(6) | 149(16), 199(23), 217(39), 241(100), 242(22), 243(31), 257(16) |
| 48 | Quercetin 3-O-(2″-rhamnoside)-hexoside-7-O-hexoside | 3.52 | C33H39O21− | 771.19840 | 771.19315 | 5.25 | 299(10), 301(8), 462(28), 463(18), 609(100), 610(57), 611(9) | 255(17), 271(32), 300(100), 301(41), 445(18), 463(11), 489(11) | 151(5), 227(4), 254(11), 255(33), 256(11), 271(100), 272(31) |
| 49 | Methyl (epi)catechin hexuronide | 3.54 | C22H23O12− | 479.11950 | 479.11546 | 4.04 | 231(7), 295(13), 299(36), 315(7), 317(100), 318(14), 341(47) | 165(65), 193(15), 229(10), 231(100), 273(32), 289(7), 299(6) | 123(6), 174(5), 187(5), 188(5), 203(5), 215(13), 216(100) |
| 50 | Quercetin 3,7-di-O-hexoside | 3.74 | C34H25O12− | 625.13515 | 625.13602 | −0.87 | 301(39), 302(7), 462(3), 462(24), 463(100), 464(19), 505(4) | 271(5), 299(3), 300(47), 301(100), 343(8) | 107(9), 151(100), 179(52), 229(13), 255(16), 272(14), 273(10) |
| 51 | Quercetin 3-O-hexoside-7-O- pentoside | 3.80 | C26H27O16− | 595.13046 | 595.12574 | 4.72 | 301(36), 302(5), 433(100), 434(21), 462(71), 463(61), 464(11) | 179(3), 271(6), 300(100), 301(25), 343(4) | 151(5), 179(3), 254(11), 255(25), 271(100), 272(14) |
| 52 | Kaempferol 3-O-hexoside-7-O- pentoside | 3.99 | C26H27O15− | 579.13554 | 579.13192 | 3.62 | 285(7), 417(100), 418(20), 446(12), 447(5), 459(13) | 255(9), 284(100), 285(22), 327(11) | 227(14), 255(100), 256(21) |
| 53 | Kaempferol 3-O-(2″-hexosyl)- hexoside | 4.02 | C27H29O16− | 609.14611 | 609.14187 | 4.24 | 285(24), 286(4), 327(4), 447(100), 448(20), 489(12), 490(3) | 151(4), 227(4), 255(18), 256(4), 284(100), 285(39), 327(16) | 227(16), 255(100), 256(20) |
| 54 | Isorhamnetin 3-O-(2″-hexosyl)- hexoside | 4.13 | C28H31O17− | 639.15610 | 639.15208 | 4.02 | 315(16), 316(3), 357(3), 477(100), 478(18), 519(10) | 271(10), 285(8), 286(4), 299(5), 314(100), 315(45), 357(18) | 243(33), 257(10), 271(84), 285(100), 286(48), 299(12), 300(79) |
| 55 | Quercetin 3-O-hexoside-7-O- rhamnoside | 4.51 | C27H29O16− | 609.14611 | 609.14187 | 4.24 | 301(51), 302(8), 446(50), 447(100), 448(17), 463(72), 464(12) | 300(6), 301(100) | 107(14), 151(100), 179(58), 211(9), 229(13), 255(22), 273(12) |
| 56 | Kaempferol 3-O-pentoside-7-O- hexoside | 4.60 | C26H27O15− | 579.13554 | 579.13199 | 3.55 | 301(30), 302(5), 433(79), 434(14), 446(100), 447(85), 448(12) | 271(3), 299(100), 300(3) | 227(3), 243(6), 255(6), 271(100) |
| 57 | Quercetin 3-O-(6″-galloyl)- hexoside | 4.71 | C28H23O16− | 615.09860 | 615.09548 | 3.12 | 300(5), 301(16), 302(3), 463(100), 464(17) | 300(31), 301(100) | 151(80), 179(100), 193(6), 229(7), 257(12), 273(18), 283(7) |
| 58 | Quercetin 3-O-(2″-rhamnoside)-hexoside | 4.73 | C27H29O16− | 609.14611 | 609.14246 | 3.65 | 255(10), 271(23), 299(14), 300(100), 301(30), 445(11), 489(8) | 243(4), 254(8), 255(47), 256(3), 271(100), 272(10) | 199(23), 203(9), 215(34), 227(76), 229(10), 243(100) |
| 59 | Kaempferol 3-O-hexoside-7-O- rhamnoside | 4.76 | C27H29O15− | 593.15119 | 593.14688 | 4.31 | 285(28), 286(4), 431(50), 432(9), 447(100), 448(17) | 151(3), 227(5), 255(17), 256(4), 284(100), 285(28), 327(16) | 227(15), 255(100), 256(18) |
| 60 | Isorhamnetin 3-O-hexoside-7-O- rhamnoside | 4.84 | C28H31O16− | 623.16176 | 623.15762 | 4.14 | 315(15), 316(3), 461(44), 462(7), 477(100), 478(17) | 271(7), 285(10), 286(4), 299(5), 314(100), 315(23), 357(16) | 243(31), 257(13), 271(81), 285(100), 286(44), 299(13), 300(11) |
| 61 | Kaempferol 3-O-rhamnoside-7-O- pentoside | 4.85 | C26H27O14− | 563.14010 | 563.13695 | 3.15 | 285(55), 286(9), 417(57), 418(8), 430(41), 431(100), 432(16) | 284(6), 285(100) | 169(62), 185(52), 213(100), 229(68), 239(51), 243(91), 257(65) |
| 62 | Quercetin 3-O-hexoside | 4.95 | C21H19O12− | 463.08820 | 463.08534 | 2.86 | 300(31), 301(100), 302(9) | 107(7), 151(81), 179(100), 256(10), 257(11), 272(14), 273(19) | 151(100) |
| 63 | Quercetin 3-O-pentoside | 5.16 | C20H17O11− | 433.07764 | 433.07458 | 3.06 | 299(5), 300(100), 301(81), 302(8) | 151(10), 179(8), 254(6), 255(54), 256(5), 271(100), 272(15) | 199(25), 203(11), 215(28), 227(68), 229(12), 243(100) |
| 64 | Kaempferol 3-O-hexoside | 5.31 | C21H19O11− | 447.09329 | 447.09067 | 2.61 | 255(15), 256(5), 284(100), 285(57), 286(8), 316(7), 327(12) | 227(14), 255(100), 256(19), 257(4) | 183(5), 187(5), 210(7), 211(62), 213(5), 227(100) |
| 65 | Isorhamnetin 3-O-hexoside | 5.37 | C22H21O12− | 477.10385 | 477.10104 | 2.81 | 271(6), 285(8), 300(6), 314(100), 315(61), 316(7), 357(12) | 243(24), 257(9), 271(77), 285(100), 286(30), 299(41), 300(25) | 270(100), 271(4) |
| 66 | Isorhamnetin 3-O-pentoside | 5.64 | C21H19O11− | 447.09329 | 447.09051 | 2.78 | 271(4), 285(5), 286(3), 314(100), 315(25), 316(4), 357(9) | 243(30), 257(12), 271(77), 285(100), 286(44), 299(12), 300(19) | 270(100), 271(4) |
| 67 | Quercetin | 6.36 | C15H9O7− | 301.03538 | 301.03305 | 2.32 | 107(6), 151(86), 179(100), 180(8), 257(11), 271(32), 273(17) | 151(100) | 63(7), 65(3), 83(17), 107(100) |
| 68 | Isorhamnetin | 7.30 | C16H11O7− | 315.05103 | 315.04865 | 2.38 | 300(100), 301(9) | 151(100), 227(40), 228(22), 255(31), 271(88), 272(66), 283(33) | 63(3), 63(3), 65(6), 83(7), 107(100) |
| Anthocyanins and anthocyanidins | |||||||||
| 69 | Cyanidin 3,5-di-O-hexoside 1 | 3.20 | C27H31O16+ | 611.16066 | 611.16234 | −1.67 | 287(97), 288(16), 449(25), 449(100), 450(17) | 287(100) | 137(41), 175(27), 185(33), 213(100), 231(45), 241(53) |
| 70 | Peonidin 3,5-di-O-hexoside | 3.53 | C28H33O16+ | 625.17631 | 625.17765 | −1.34 | 301(70), 302(11), 463(100), 464(14) | 301(100) | 286(100) |
| 71 | Cyanidin 3-O-hexoside 1 | 3.74 | C21H21O11+ | 449.10784 | 449.10869 | −0.85 | 287(100), 288(11) | 137(41), 175(30), 185(30), 213(100), 231(60), 241(52), 287(70) | 129(7), 141(24), 143(9), 157(28), 167(11), 171(12), 185(100) |
| 72 | Delphinidin 3,5-di-O-hexoside | 3.74 | C27H31O17+ | 627.15610 | 627.16114 | −5.04 | 301(4), 303(22), 463(7), 464(22), 465(100) | 303(100) | 137(24), 153(21), 165(55), 229(80), 247(26), 257(100), 285(52) |
| 73 | Delphinidin 3-O-hexoside | 3.74 | C21H21O12+ | 465.10275 | 465.10378 | −1.03 | 303(100) | 137(24), 153(21), 165(55), 229(80), 247(26), 257(100), 285(52) | NA |
| 74 | Delphinidin pentoside-hexoside | 3.79 | C26H29O16+ | 597.14501 | 597.14737 | −2.35 | 301(13), 303(40), 435(15), 463(16), 464(21), 465(100), 466(14) | 303(100) | 137(23), 165(55), 229(80), 247(29), 257(100), 274(20), 285(51) |
| 75 | Cyanidin 3,5-di-O-hexoside 2 | 4.05 | C27H31O16+ | 611.16066 | 611.16241 | −1.75 | 287(27), 449(26), 449(100), 450(7) | 287(100) | 121(42), 153(67), 165(95), 213(94), 231(35), 241(100), 258(54) |
| 76 | Petunidin 3,5-di-O-hexoside | 4.15 | C28H33O17+ | 641.17123 | 641.17222 | −0.99 | 317(21), 478(18), 479(100), 480(8) | 317(100) | 139(8), 165(6), 257(10), 261(6), 274(8), 285(31), 302(100) |
| 77 | Peonidin 3-O-hexoside | 4.15 | C22H23O11+ | 463.12349 | 463.12466 | −1.18 | 301(100), 302(12) | 258(4), 286(100), 287(11) | 202(10), 213(5), 229(10), 230(26), 257(22), 258(100), 268(25) |
| 78 | Delphinidin rhamnoside-hexoside | 4.51 | C27H31O16+ | 611.16066 | 611.16296 | −2.30 | 303(22), 449(100) | 303(100) | 137(24), 153(22), 165(57), 229(89), 247(28), 257(100), 285(54) |
| 79 | Petunidin | 4.70 | C16H13O7+ | 317.06558 | 317.06608 | −0.50 | 302(100), 303(15) | 228(58), 246(15), 256(22), 257(13), 273(32), 274(44), 285(100) | 187(8), 229(8), 239(20), 257(100), 258(12), 267(17) |
| 80 | Cyanidin rhamnoside-hexoside | 4.80 | C27H31O15+ | 595.16575 | 595.16804 | −2.29 | 287(30), 432(24), 433(100), 434(4) | 287(100) | 121(37), 153(68), 165(100), 213(94), 231(36), 241(97), 258(53) |
| 81 | Cyanidin 3-O-rhamnoside | 4.85 | C21H21O10+ | 433.11292 | 433.11405 | −1.13 | 287(100), 288(63) | 121(47), 153(77), 165(100), 213(88), 241(90), 242(47), 258(57) | 109(100), 123(57), 137(67) |
| 82 | Petunidin rhamnoside-hexoside | 4.86 | C28H33O16+ | 625.17631 | 625.17761 | −1.30 | 317(20), 463(100) | 317(100) | 139(8), 165(6), 257(9), 261(7), 274(7), 285(37), 302(100) |
| 83 | Cyanidin rhamnoside-pentoside | 4.90 | C26H29O14+ | 565.15518 | 565.15669 | −1.51 | 287(9), 419(5), 433(100), 434(9) | 287(100) | 121(39), 153(73), 165(100), 213(91), 231(35), 241(90), 258(49) |
| 84 | Delphinidin | 4.96 | C15H11O7+ | 303.04993 | 303.05051 | −0.58 | 137(30), 165(67), 229(91), 230(31), 257(100), 258(36), 285(51) | 161(3), 173(4), 187(3), 201(10), 215(3), 229(100), 230(7) | 145(12), 159(5), 161(30), 173(30), 183(9), 187(19), 201(100) |
| 85 | Cyanidin 3-O-hexoside 2 | 5.32 | C21H21O11+ | 449.10784 | 449.10853 | −0.70 | 287(100), 288(4) | 121(37), 153(69), 165(100), 213(92), 231(34), 241(96), 258(53) | 69(18), 109(100), 137(81) |
| 86 | Petunidin 3-O-hexoside | 5.42 | C22H23O12+ | 479.11840 | 479.11904 | −0.64 | 317(100), 318(8) | 139(9), 257(10), 261(7), 274(8), 285(37), 302(100), 303(7) | 153(29), 246(10), 273(16), 274(100), 275(7), 284(15), 285(23) |
| Terpene derivatives | |||||||||
| 87 | Oxypaeoniflorin | 3.61 | C23H27O12− | 495.15080 | 495.14670 | 4.10 | 245(18), 333(24), 447(92), 448(22), 465(100), 466(22), 477(14) | 137(31), 165(11), 179(12), 217(17), 281(27), 299(100), 447(18) | 89(68), 143(70), 206(68), 209(100), 219(68), 226(68) |
| 88 | 6′-O-Galloyl desbenzoyl paeoniflorin | 3.72 | C23H27O14− | 527.14010 | 527.13640 | 3.70 | 345(19), 347(100), 348(16), 365(18), 375(22), 479(13), 481(12) | 125(25), 151(9), 169(100), 195(10), 285(5), 303(3) | 97(5), 125(100) |
| 89 | Paeonin B | 3.79 | C16H21O9− | 357.11911 | 357.11626 | 2.85 | 191(3), 195(100), 196(9) | 119(7), 123(15), 134(9), 135(100), 136(89), 151(66), 177(20) | 91(32), 91(41), 107(100), 113(25) |
| 90 | Albiflorin + HCOOH | 4.55 | C24H29O13− | 525.16137 | 525.15774 | 3.63 | 449(100), 479(34) | 165(31), 309(7), 327(100) | 113(9), 123(10), 165(100), 215(3), 309(22) |
| 91 | Galloyl paeoniflorin | 5.11 | C30H31O15− | 631.16684 | 631.16273 | 4.12 | 271(21), 313(12), 479(13), 491(23), 509(8), 613(100), 614(22) | 211(23), 241(8), 271(100), 313(38), 375(13), 399(17), 491(81) | 169(11), 211(100) |
| 92 | Paeoniflorin | 5.76 | C23H27O11− | 479.15589 | 479.15289 | 2.99 | 151(4), 183(3), 195(13), 196(3), 213(7), 449(100), 450(63) | 137(4), 139(18), 140(6), 183(17), 184(4), 327(100), 328(63) | 139(100), 143(16), 163(24), 165(25), 183(74), 235(19), 237(21) |
| 93 | Benzoyl paeoniflorin + HCOOH 1 | 7.18 | C31H33O14− | 629.18758 | 629.18334 | 4.24 | 431(3), 552(6), 553(100), 582(4), 583(67) | 165(22), 265(6), 309(4), 413(8), 430(25), 431(100), 525(4) | 147(10), 162(9), 165(100), 217(20), 243(8), 249(7) |
| 94 | Paeoniflorigenone | 7.28 | C17H19O6+ | 319.11762 | 319.11812 | −0.51 | 161(3), 179(54), 180(4), 197(100), 198(7), 300(4), 301(5) | 123(7), 137(11), 151(6), 161(7), 167(16), 179(100) | 105(5), 123(8), 133(100), 137(4), 149(12), 151(36), 161(41) |
| 95 | Benzoyl paeoniflorin + HCOOH 2 | 7.91 | C31H33O14− | 629.18758 | 629.18372 | 3.86 | 431(3), 535(4), 552(26), 553(100), 554(4), 583(98), 584(3) | 163(3), 165(30), 245(6), 291(3), 309(3), 413(9), 431(100) | 165(100), 171(29), 205(26), 217(45), 309(23) |
| Other compounds | |||||||||
| 96 | Citric acid | 0.59 | C7H11O6− | 191.05560 | 191.04553 | 10.07 | 85(51), 93(28), 111(100), 127(37), 129(13), 171(14), 173(36) | 67(100), 81(32), 83(7), 93(7) | NA |
| 97 | Shikimic acid | 0.73 | C7H9O5− | 173.04555 | 173.04418 | 1.36 | 93(86), 111(100), 127(26), 128(11), 137(31), 143(28), 155(85) | 64(4), 81(14), 83(46), 93(100), 119(4), 126(4), 203(4) | NA |
| 98 | Apiopaeonoside | 4.35 | C20H27O12− | 459.15080 | 459.14908 | 1.72 | 164(10), 269(9), 296(100), 297(60), 310(21), 326(9), 327(17) | 176(37), 180(35), 239(57), 240(100), 251(35), 267(71), 268(69) | NA |
| 99 | Paeonoside | 4.57 | C15H19O8− | 327.10854 | 327.10636 | 2.18 | 113(4), 123(12), 137(3), 165(100), 166(6), 179(3), 309(15) | 95(4), 121(12), 122(5), 123(100), 137(8), 147(3), 150(5) | 80(14), 81(100), 95(30), 105(11), 108(25) |
| 100 | Paeonol | 4.57 | C9H9O3− | 165.05572 | 165.05490 | 0.82 | 95(8), 121(7), 122(9), 123(100), 137(11), 147(4), 150(4) | NA | NA |
| 101 | Picrocrocinic acid | 5.22 | C16H27O8+ | 347.17004 | 347.16996 | 0.09 | 107(6), 109(10), 125(8), 149(8), 167(21), 184(19), 185(100) | 107(12), 109(54), 125(62), 129(26), 149(19), 166(9), 167(100) | 107(100), 121(63), 123(57), 125(87), 137(45), 149(72), 245(56) |
| 102 | (+)-Paeonilactone B | 6.40 | C10H13O4+ | 197.08084 | 197.08109 | −0.25 | 121(4), 133(12), 138(33), 139(3), 151(100), 152(9), 179(8) | 105(23), 123(5), 133(100) | 102(3), 105(100) |
| Origin of Plant Material | Extraction Medium, Extraction Technique | Bacteria | |||||
|---|---|---|---|---|---|---|---|
| Staphylococcus lugdunensis | Proteus vulgaris | Staphylococcus aureus | |||||
| MIC | MBC | MIC | MBC | MIC | MBC | ||
| Pančevo | H2O, maceration | 0.25 | 0.5 | 1 | 2 | 1 | 2 |
| MeOH, maceration | 0.0625 | 0.125 | 1 | 2 | 1 | 2 | |
| MeOH, UAE | 0.125 | 0.25 | 0.25 | 0.5 | 0.25 | 0.5 | |
| Krivi vir | H2O, maceration | 0.25 | 0.5 | 1 | 2 | 1 | 2 |
| H2O, UAE | 0.25 | 0.5 | 1 | 2 | 1 | 2 | |
| MeOH, maceration | 0.25 | 0.5 | 1 | 2 | 1 | 2 | |
| MeOH, UAE | 0.25 | 0.5 | 0.5 | 1 | 0.5 | 1 | |
| MeOH, MAE | 0.25 | 0.5 | 0.5 | 1 | 0.5 | 1 | |
| Bogovo gumno | H2O, maceration | 0.25 | 0.5 | 1 | 2 | 1 | 2 |
| H2O, UAE | 0.25 | 0.5 | 1 | 2 | 1 | 2 | |
| MeOH, maceration | 0.125 | 0.25 | 0.5 | 1 | 0.5 | 1 | |
| Pirot | H2O, maceration | 0.25 | 0.5 | 0.5 | 1 | 0.5 | 1 |
| H2O, UAE | 1 | 2 | 1 | 2 | 1 | 2 | |
| H2O, MAE | 0.5 | 1 | 2 | 4 | 2 | 4 | |
| MeOH, UAE | 0.125 | 0.25 | 0.25 | 0.5 | 0.25 | 0.5 | |
| Gentamicin | 0.008 | 0.016 | 0.066 | 0.133 | 1.33 | 2.66 | |
| Origin of Plant Material | Extraction Medium, Extractiontechnique | Candida Species | |||||
|---|---|---|---|---|---|---|---|
| Candida kefyr | Candida krusei | Candida albicans | |||||
| MIC | MFC | MIC | MFC | MIC | MFC | ||
| Pančevo | H2O, maceration | 0.5 | 1 | 1 | 2 | 0.5 | 1 |
| MeOH, maceration | 0.25 | 0.5 | 1 | 2 | 0.125 | 0.25 | |
| MeOH, UAE | 0.5 | 1 | 0.5 | 1 | 0.5 | 1 | |
| Krivi vir | H2O, maceration | 0.5 | 1 | 0.5 | 1 | 0.25 | 0.5 |
| H2O, UAE | 0.5 | 1 | 1 | 2 | 0.5 | 1 | |
| MeOH, maceration | 1 | 2 | 0.5 | 1 | 0.5 | 1 | |
| MeOH, UAE | 0.5 | 1 | 1 | 2 | 0.5 | 1 | |
| MeOH, MAE | 0.5 | 1 | 1 | 2 | 0.125 | 0.25 | |
| Bogovo gumno | H2O, maceration | 1 | 2 | 1 | 2 | 0.5 | 1 |
| H2O, UAE | 1 | 2 | 1 | 2 | 0.5 | 1 | |
| MeOH, maceration | 0.5 | 1 | 1 | 2 | 0.25 | 0.5 | |
| Pirot | H2O, maceration | 1 | 2 | 0.5 | 1 | 0.25 | 0.5 |
| H2O, UAE | 1 | 2 | 1 | 2 | 1 | 2 | |
| H2O, MAE | 4 | 8 | 4 | 8 | 1 | 2 | |
| MeOH, UAE | 0.5 | 1 | 0.5 | 1 | 0.5 | 1 | |
| Ketoconazole | 0.05 | 0.1 | 0.05 | 0.1 | 0.05 | 0.1 | |
| Origin of Plant Material | Extraction Medium, Extraction Technique | MIC | 1/2 MIC | 1/4 MIC |
|---|---|---|---|---|
| Pančevo | MeOH, maceration | NA | NA | 14.28 |
| MeOH, UAE | NA | NA | NA | |
| Bogovo gumno | MeOH, maceration | NA | NA | NA |
| Pirot | MeOH, UAE | NA | NA | NA |
| Origin of Plant Material | Extraction Medium, Extraction Method | Concentration, μg/mL | BSA Denaturation Inhibition, % |
|---|---|---|---|
| Pančevo | MeOH, maceration | 1000 | 53.75 ± 0.46 ab |
| 500 | 34.07 ± 0.74 b | ||
| 250 | 18.64 ± 1.45 d | ||
| MeOH, MAE | 1000 | 47.04 ± 2.28 ab | |
| 500 | 30.58 ± 3.00 c | ||
| 250 | 17.30 ± 0,376 d | ||
| Pirot | MeOH, MAE | 1000 | 62.22 ± 0.77 a |
| 500 | 43.42 ± 0.79 b | ||
| 250 | 27.83 ± 0.16 c | ||
| Control | 100 | 20.84 ± 1.99 d | |
| 50 | 8.78 ± 0.54 e | ||
| 25 | 6.28 ± 0.09 f |
Disclaimer/Publisher’s Note: The statements, opinions and data contained in all publications are solely those of the individual author(s) and contributor(s) and not of MDPI and/or the editor(s). MDPI and/or the editor(s) disclaim responsibility for any injury to people or property resulting from any ideas, methods, instructions or products referred to in the content. |
© 2023 by the authors. Licensee MDPI, Basel, Switzerland. This article is an open access article distributed under the terms and conditions of the Creative Commons Attribution (CC BY) license (https://creativecommons.org/licenses/by/4.0/).
Share and Cite
Marković, T.; Čutović, N.; Carević, T.; Gašić, U.; Stojković, D.; Xue, J.; Jovanović, A. Paeonia peregrina Mill Petals as a New Source of Biologically Active Compounds: Chemical Characterization and Skin Regeneration Effects of the Extracts. Int. J. Mol. Sci. 2023, 24, 11764. https://doi.org/10.3390/ijms241411764
Marković T, Čutović N, Carević T, Gašić U, Stojković D, Xue J, Jovanović A. Paeonia peregrina Mill Petals as a New Source of Biologically Active Compounds: Chemical Characterization and Skin Regeneration Effects of the Extracts. International Journal of Molecular Sciences. 2023; 24(14):11764. https://doi.org/10.3390/ijms241411764
Chicago/Turabian StyleMarković, Tatjana, Natalija Čutović, Tamara Carević, Uroš Gašić, Dejan Stojković, Jingqi Xue, and Aleksandra Jovanović. 2023. "Paeonia peregrina Mill Petals as a New Source of Biologically Active Compounds: Chemical Characterization and Skin Regeneration Effects of the Extracts" International Journal of Molecular Sciences 24, no. 14: 11764. https://doi.org/10.3390/ijms241411764
APA StyleMarković, T., Čutović, N., Carević, T., Gašić, U., Stojković, D., Xue, J., & Jovanović, A. (2023). Paeonia peregrina Mill Petals as a New Source of Biologically Active Compounds: Chemical Characterization and Skin Regeneration Effects of the Extracts. International Journal of Molecular Sciences, 24(14), 11764. https://doi.org/10.3390/ijms241411764

