Towards the Definition of the Molecular Hallmarks of Idiopathic Membranous Nephropathy in Serum Proteome: A DIA-PASEF Approach
Abstract
1. Introduction
2. Results
2.1. Proteome Variations Associated with IMN
2.2. Dysregulation of Lipid Metabolism and Immune System Modulation in IMN: In Silico Functional Signatures
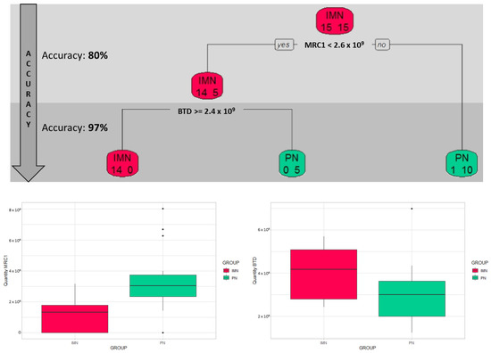
2.3. Proteomic Tree Clustering: MRC1 and BTD
3. Discussion
Limitations
4. Materials and Methods
4.1. Chemicals and Reagents
4.2. Serum Sample Collection
4.3. Trypsin Digestion
4.4. Mass Spectrometry Analysis
4.5. Data Processing
5. Conclusions
Supplementary Materials
Author Contributions
Funding
Institutional Review Board Statement
Informed Consent Statement
Data Availability Statement
Conflicts of Interest
References
- Liu, Q.; Liu, J.; Lin, B.; Zhang, Y.; Ma, M.; Yang, M.; Qin, X. Novel Biomarkers in Membranous Nephropathy. Front. Immunol. 2022, 13, 845767. [Google Scholar] [CrossRef] [PubMed]
- Wasserstein, A.G. Membranous Glomerulonephritis. J. Am. Soc. Nephrol. 1997, 8, 664–674. [Google Scholar] [CrossRef]
- Mallick, N.P.; Short, C.D.; Manos, J. Clinical Membranous Nephropathy. Nephron 1983, 34, 209–219. [Google Scholar] [CrossRef]
- Lai, W.L.; Yeh, T.H.; Chen, P.M.; Chan, C.K.; Chiang, W.C.; Chen, Y.M.; Wu, K.D.; Tsai, T.J. Membranous Nephropathy: A Review on the Pathogenesis, Diagnosis, and Treatment. J. Formos. Med. Assoc. 2015, 114, 102–111. [Google Scholar] [CrossRef] [PubMed]
- Nachman, P.H.; Jennette, J.C.; Falk, R.J. Primary Glomerular Disease. In Brenner and Rector’s the Kidney, 9th ed.; Taal, M., Brenner, B., Rector, F., Eds.; Elsevier/Saunders: Philadelphia, PA, USA, 2012; pp. 1100–1191. [Google Scholar]
- Muruve, D.A.; Debiec, H.; Dillon, S.T.; Gu, X.; Plaisier, E.; Can, H.; Otu, H.H.; Libermann, T.A.; Ronco, P. Serum Protein Signatures Using Aptamer-Based Proteomics for Minimal Change Disease and Membranous Nephropathy. Kidney Int. Rep. 2022, 7, 1539–1556. [Google Scholar] [CrossRef] [PubMed]
- Beck, L.H.; Bonegio, R.G.B.; Lambeau, G.; Beck, D.M.; Powell, D.W.; Cummins, T.D.; Klein, J.B.; Salant, D.J. M-Type Phospholipase A2 Receptor as Target Antigen in Idiopathic Membranous Nephropathy. N. Engl. J. Med. 2009, 361, 11–21. [Google Scholar] [CrossRef] [PubMed]
- Ronco, P.; Debiec, H. Pathophysiological Advances in Membranous Nephropathy: Time for a Shift in Patient’s Care. Lancet 2015, 385, 1983–1992. [Google Scholar] [CrossRef]
- Choi, Y.W.; Kim, Y.G.; Song, M.-Y.; Moon, J.-Y.; Jeong, K.-H.; Lee, T.-W.; Ihm, C.-G.; Park, K.-S.; Lee, S.-H. Potential Urine Proteomics Biomarkers for Primary Nephrotic Syndrome. Clin. Proteom. 2017, 14, 18. [Google Scholar] [CrossRef]
- Chinello, C.; de Haan, N.; Capitoli, G.; Trezzi, B.; Radice, A.; Pagani, L.; Criscuolo, L.; Signorini, S.; Galimberti, S.; Sinico, R.A.; et al. Definition of IgG Subclass-Specific Glycopatterns in Idiopathic Membranous Nephropathy: Aberrant IgG Glycoforms in Blood. Int. J. Mol. Sci. 2022, 23, 4664. [Google Scholar] [CrossRef]
- Smith, A.; L’Imperio, V.; De Sio, G.; Ferrario, F.; Scalia, C.; Dell’Antonio, G.; Pieruzzi, F.; Pontillo, C.; Filip, S.; Markoska, K.; et al. α-1-Antitrypsin Detected by MALDI Imaging in the Study of Glomerulonephritis: Its Relevance in Chronic Kidney Disease Progression. Proteomics 2016, 16, 1759–1766. [Google Scholar] [CrossRef]
- Jóźwik, J.; Kałużna-Czaplińska, J. Current Applications of Chromatographic Methods in the Study of Human Body Fluids for Diagnosing Disorders. Crit. Rev. Anal. Chem. 2016, 46, 1–14. [Google Scholar] [CrossRef] [PubMed]
- Ignjatovic, V.; Geyer, P.E.; Palaniappan, K.K.; Chaaban, J.E.; Omenn, G.S.; Baker, M.S.; Deutsch, E.W.; Schwenk, J.M. Mass Spectrometry-Based Plasma Proteomics: Considerations from Sample Collection to Achieving Translational Data. J. Proteome Res. 2019, 18, 4085–4097. [Google Scholar] [CrossRef] [PubMed]
- Lan, J.; Núñez Galindo, A.; Doecke, J.; Fowler, C.; Martins, R.N.; Rainey-Smith, S.R.; Cominetti, O.; Dayon, L. Systematic Evaluation of the Use of Human Plasma and Serum for Mass-Spectrometry-Based Shotgun Proteomics. J. Proteome Res. 2018, 17, 1426–1435. [Google Scholar] [CrossRef]
- Chan, P.P.; Wasinger, V.C.; Leong, R.W. Current Application of Proteomics in Biomarker Discovery for Inflammatory Bowel Disease. World J. Gastrointest. Pathophysiol. 2016, 7, 27–37. [Google Scholar] [CrossRef]
- Vlahou, A. Implementation of Clinical Proteomics: A Step Closer to Personalized Medicine? Proteom.–Clin. Appl. 2019, 13, 1800088. [Google Scholar] [CrossRef]
- Demichev, V.; Szyrwiel, L.; Yu, F.; Teo, G.C.; Rosenberger, G.; Niewienda, A.; Ludwig, D.; Decker, J.; Kaspar-Schoenefeld, S.; Lilley, K.S.; et al. Dia-PASEF Data Analysis Using FragPipe and DIA-NN for Deep Proteomics of Low Sample Amounts. Nat. Commun. 2022, 13, 3944. [Google Scholar] [CrossRef] [PubMed]
- Lee, J.; Han, J.J.; Altwerger, G.; Kohn, E.C. Proteomics and Biomarkers in Clinical Trials for Drug Development. J. Proteom. 2011, 74, 2632–2641. [Google Scholar] [CrossRef]
- Meier, F.; Brunner, A.-D.; Frank, M.; Ha, A.; Bludau, I.; Voytik, E.; Kaspar-Schoenefeld, S.; Lubeck, M.; Raether, O.; Bache, N.; et al. DiaPASEF: Parallel Accumulation–Serial Fragmentation Combined with Data-Independent Acquisition. Nat. Methods 2020, 17, 1229–1236. [Google Scholar] [CrossRef]
- Raudvere, U.; Kolberg, L.; Kuzmin, I.; Arak, T.; Adler, P.; Peterson, H.; Vilo, J. G:Profiler: A Web Server for Functional Enrichment Analysis and Conversions of Gene Lists (2019 Update). Nucleic Acids Res. 2019, 47, W191–W198. [Google Scholar] [CrossRef]
- Dominiczak, M.H.; Caslake, M.J. Apolipoproteins: Metabolic Role and Clinical Biochemistry Applications. Ann. Clin. Biochem. 2011, 48, 498–515. [Google Scholar] [CrossRef]
- Dong, L.; Li, Y.; Guo, S.; Xu, G.; Wei, W.; Han, M. Hypercholesterolemia Correlates with Glomerular Phospholipase A2 Receptor Deposit and Serum Anti-Phospholipase A2 Receptor Antibody and Predicts Proteinuria Outcome in Idiopathic Membranous Nephropathy. Front. Immunol. 2022, 13, 905930. [Google Scholar] [CrossRef] [PubMed]
- Wu, D.; Yu, Z.; Zhao, S.; Qu, Z.; Sun, W.; Jiang, Y. Lipid Metabolism Participates in Human Membranous Nephropathy Identified by Whole-Genome Gene Expression Profiling. Clin. Sci. 2019, 133, 1255–1269. [Google Scholar] [CrossRef]
- Exner, M.; Susani, M.; Witztum, J.; Hovorka, A.; Curtiss, L.; Spitzauer, S.; Kerjaschki, D. Lipoproteins Accumulate in Immune Deposits and Are Modified by Lipid Peroxidation in Passive Heymann Nephritis. Am. J. Pathol. 1996, 149, 1313–1320. [Google Scholar] [PubMed]
- van Gent, D.; Sharp, P.; Morgan, K.; Kalsheker, N. Serpins: Structure, Function and Molecular Evolution. Int. J. Biochem. Cell Biol. 2003, 35, 1536–1547. [Google Scholar] [CrossRef]
- Tomas, N.M.; Beck, L.H.; Meyer-Schwesinger, C.; Seitz-Polski, B.; Ma, H.; Zahner, G.; Dolla, G.; Hoxha, E.; Helmchen, U.; Dabert-Gay, A.-S.; et al. Thrombospondin Type-1 Domain-Containing 7A in Idiopathic Membranous Nephropathy. N. Engl. J. Med. 2014, 371, 2277–2287. [Google Scholar] [CrossRef] [PubMed]
- Matsushita, M.; Endo, Y.; Fujita, T. Cutting Edge: Complement-Activating Complex of Ficolin and Mannose-Binding Lectin-Associated Serine Protease1. J. Immunol. 2000, 164, 2281–2284. [Google Scholar] [CrossRef] [PubMed]
- Caza, T.N.; Storey, A.J.; Hassen, S.I.; Herzog, C.; Edmondson, R.D.; Arthur, J.M.; Kenan, D.J.; Larsen, C.P. Discovery of Seven Novel Putative Antigens in Membranous Nephropathy and Membranous Lupus Nephritis Identified by Mass Spectrometry. Kidney Int. 2023, 103, 593–606. [Google Scholar] [CrossRef]
- Bally, S.; Debiec, H.; Ponard, D.; Dijoud, F.; Rendu, J.; Fauré, J.; Ronco, P.; Dumestre-Perard, C. Phospholipase A2 Receptor–Related Membranous Nephropathy and Mannan-Binding Lectin Deficiency. J. Am. Soc. Nephrol. JASN 2016, 27, 3539–3544. [Google Scholar] [CrossRef]
- Salant, D.J. Genetic Variants in Membranous Nephropathy: Perhaps a Perfect Storm Rather than a Straightforward Conformeropathy? J. Am. Soc. Nephrol. 2013, 24, 525. [Google Scholar] [CrossRef]
- Haddad, G.; Lorenzen, J.M.; Ma, H.; de Haan, N.; Seeger, H.; Zaghrini, C.; Brandt, S.; Kölling, M.; Wegmann, U.; Kiss, B.; et al. Altered Glycosylation of IgG4 Promotes Lectin Complement Pathway Activation in Anti-PLA2R1–Associated Membranous Nephropathy. J. Clin. Investig. 2021, 131, e140453. [Google Scholar] [CrossRef]
- Bautista, C.A.; Srikumar, A.; Tichy, E.D.; Qian, G.; Jiang, X.; Qin, L.; Mourkioti, F.; Dyment, N.A. CD206+ Tendon Resident Macrophages and Their Potential Crosstalk with Fibroblasts and the ECM during Tendon Growth and Maturation. Front. Physiol. 2023, 14, 1122348. [Google Scholar] [CrossRef]
- Rayego-Mateos, S.; Marquez-Expósito, L.; Rodrigues-Diez, R.; Sanz, A.B.; Guiteras, R.; Doladé, N.; Rubio-Soto, I.; Manonelles, A.; Codina, S.; Ortiz, A.; et al. Molecular Mechanisms of Kidney Injury and Repair. Int. J. Mol. Sci. 2022, 23, 1542. [Google Scholar] [CrossRef] [PubMed]
- Meng, X.-M.; Mak, T.S.-K.; Lan, H.-Y. Macrophages in Renal Fibrosis. Adv. Exp. Med. Biol. 2019, 1165, 285–303. [Google Scholar] [CrossRef] [PubMed]
- Chen, T.; Cao, Q.; Wang, Y.; Harris, D.C.H. M2 Macrophages in Kidney Disease: Biology, Therapies, and Perspectives. Kidney Int. 2019, 95, 760–773. [Google Scholar] [CrossRef] [PubMed]
- Tang, P.M.-K.; Nikolic-Paterson, D.J.; Lan, H.-Y. Macrophages: Versatile Players in Renal Inflammation and Fibrosis. Nat. Rev. Nephrol. 2019, 15, 144–158. [Google Scholar] [CrossRef] [PubMed]
- Ferrario, F.; Castiglione, A.; Colasanti, G.; Barbiano di Belgioioso, G.; Bertoli, S.; D’Amico, G. The Detection of Monocytes in Human Glomerulonephritis. Kidney Int. 1985, 28, 513–519. [Google Scholar] [CrossRef]
- Wu, Q.; Jinde, K.; Nishina, M.; Tanabe, R.; Endoh, M.; Okada, Y.; Sakai, H.; Kurokawa, K. Analysis of Prognostic Predictors in Idiopathic Membranous Nephropathy. Am. J. Kidney Dis. 2001, 37, 380–387. [Google Scholar] [CrossRef]
- Hu, W.; Li, G.; Lin, J.; Dong, W.; Yu, F.; Liu, W.; Wu, Y.; Hao, W.; Liang, X. M2 Macrophage Subpopulations in Glomeruli Are Associated With the Deposition of IgG Subclasses and Complements in Primary Membranous Nephropathy. Front. Med. 2021, 8, 657232. [Google Scholar] [CrossRef]
- An, X.-N.; Wei, Z.-N.; Xie, Y.-Y.; Xu, J.; Shen, Y.; Ni, L.-Y.; Shi, H.; Shen, P.-Y.; Zhang, W.; Chen, Y.-X. CD206+CD68+ Mono-Macrophages and Serum Soluble CD206 Level Are Increased in Antineutrophil Cytoplasmic Antibodies Associated Glomerulonephritis. BMC Immunol. 2022, 23, 55. [Google Scholar] [CrossRef]
- van de Logt, A.-E.; Fresquet, M.; Wetzels, J.F.; Brenchley, P. The Anti-PLA2R Antibody in Membranous Nephropathy: What We Know and What Remains a Decade after Its Discovery. Kidney Int. 2019, 96, 1292–1302. [Google Scholar] [CrossRef]
- Wolf, B.; Grier, R.E.; Allen, R.J.; Goodman, S.I.; Kien, C.L. Biotinidase Deficiency: The Enzymatic Defect in Late-Onset Multiple Carboxylase Deficiency. Clin. Chim. Acta Int. J. Clin. Chem. 1983, 131, 273–281. [Google Scholar] [CrossRef] [PubMed]
- Erdol, S.; Kocak, T.A.; Bilgin, H. Evaluation of 700 Patients Referred with a Preliminary Diagnosis of Biotinidase Deficiency by the National Newborn Metabolic Screening Program: A Single-Center Experience. J. Pediatr. Endocrinol. Metab. 2023, 36, 555–560. [Google Scholar] [CrossRef] [PubMed]
- Pagani, L.; Chinello, C.; Risca, G.; Capitoli, G.; Criscuolo, L.; Lombardi, A.; Ungaro, R.; Mangioni, D.; Piga, I.; Muscatello, A.; et al. Plasma Proteomic Variables Related to COVID-19 Severity: An Untargeted NLC-MS/MS Investigation. Int. J. Mol. Sci. 2023, 24, 3570. [Google Scholar] [CrossRef] [PubMed]
- Makridakis, M.; Kontostathi, G.; Petra, E.; Stroggilos, R.; Lygirou, V.; Filip, S.; Duranton, F.; Mischak, H.; Argiles, A.; Zoidakis, J.; et al. Multiplexed MRM-Based Protein Quantification of Putative Prognostic Biomarkers for Chronic Kidney Disease Progression in Plasma. Sci. Rep. 2020, 10, 4815. [Google Scholar] [CrossRef]
- FAIRsharing|MassIVE. Available online: https://fairsharing.org/FAIRsharing.LYsiMd (accessed on 30 June 2023).







| Sample ID | Diagnosis | Group | Additional Info | Gender | Age | PLA2R pos/neg | PLA2R Titre |
|---|---|---|---|---|---|---|---|
| IMN v10 | IMN | IMN | M | 34 | pos | 1000 | |
| IMN v8 | IMN | IMN | F | 40 | pos | 320 | |
| IMN v14 | IMN | IMN | M | 40 | pos | 320 | |
| IMN v15 | IMN | IMN | F | 41 | pos | 1000 | |
| IMN o12 | IMN | IMN | F | 44 | pos | 320 | |
| IMN v13 | IMN | IMN | M | 47 | pos | 1000 | |
| IMN v37 | IMN | IMN | F | 51 | pos | 1000 | |
| IMN v30 | IMN | IMN | M | 51 | pos | 320 | |
| IMN v22 | IMN | IMN | M | 54 | pos | 320 | |
| IMN v5 | IMN | IMN | M | 67 | pos | 1000 | |
| IMN v9 | IMN | IMN | moderate nephroangiosclerosis | M | 68 | pos | 320 |
| IMN o1 | IMN | IMN | F | 70 | pos | 320 | |
| IMN v1 | IMN | IMN | F | 72 | pos | 100 | |
| IMN v20 | IMN | IMN | sclerotic progression | M | 73 | pos | 100 |
| IMN v2 | IMN | IMN | declivious oedemas | F | 83 | pos | 320 |
| PN12 | Amyloidosis nephropathy | PN | M | 35 | neg | <10 | |
| PN3 | MCD/FSGS | PN | F | 40 | neg | <10 | |
| PN8 | MCD | PN | IgM deposits | F | 40 | neg | <10 |
| PN4 | MPGN | PN | M | 44 | neg | <10 | |
| PN7 | MPGN | PN | IgM deposits | F | 45 | neg | <10 |
| PN11 | MCD | PN | M | 47 | neg | <10 | |
| PN9 | Fabry disease | PN | F | 49 | neg | <10 | |
| PN17 | FGS | PN | M | 51 | neg | <10 | |
| PN2 | FGS | PN | outcome of FGS-Alport like | M | 56 | neg | <10 |
| PN10 | IgAN | PN | M | 65 | neg | <10 | |
| PN19 | MCD | PN | F | 71 | neg | <10 | |
| PN14 | IgAN | PN | M | 71 | neg | <10 | |
| PN5 | FSGS | PN | F | 72 | neg | <10 | |
| PN20 | MPGN | PN | Acute renal failure (ARF) with nephrotic syndrome (NS) | M | 73 | neg | <10 |
| PN1 | FGS | PN | F | 81 | neg | <10 |
| Protein Names | Protein Accessions | Genes | Protein Descriptions | Fold Change (FC) | |
|---|---|---|---|---|---|
| APOC1_HUMAN | P02654 | APOC1 | Apolipoprotein C-I | 12.0 | UPREGULATED IN IMN |
| KV240_HUMAN; KVD40_HUMAN | A0A087WW87; P01614 | IGKV2-40; IGKV2D-40 | Immunoglobulin kappa variable 2-40; Immunoglobulin kappa variable 2D-40 | 3.7 | |
| CRIS2_HUMAN | P16562 | CRISP2 | Cysteine-rich secretory protein 2 | 2.8 | |
| GPX3_HUMAN | P22352 | GPX3 | Glutathione peroxidase 3 | 2.6 | |
| PTGDS_HUMAN | P41222 | PTGDS | Prostaglandin-H2 D-isomerase | 2.3 | |
| PCYOX_HUMAN | Q9UHG3 | PCYOX1 | Prenylcysteine oxidase 1 | 2.3 | |
| KAIN_HUMAN | P29622 | SERPINA4 | Kallistatin | 2.3 | |
| LCAT_HUMAN | P04180 | LCAT | Phosphatidylcholine-sterol acyltransferase | 2.1 | |
| HEP2_HUMAN | P05546 | SERPIND1 | Heparin cofactor 2 | 2.0 | |
| APOB_HUMAN | P04114 | APOB | Apolipoprotein B-100 | 2.0 | |
| PON3_HUMAN | Q15166 | PON3 | Serum paraoxonase/lactonase 3 | 2.0 | |
| SPP24_HUMAN | Q13103 | SPP2 | Secreted phosphoprotein 24 | 1.9 | |
| THBG_HUMAN | P05543 | SERPINA7 | Thyroxine-binding globulin | 1.8 | |
| CHLE_HUMAN | P06276 | BCHE | Cholinesterase | 1.8 | |
| BTD_HUMAN | P43251 | BTD | Biotinidase | 1.8 | |
| IL1AP_HUMAN | Q9NPH3 | IL1RAP | Interleukin-1 receptor accessory protein | 1.8 | |
| CBG_HUMAN | P08185 | SERPINA6 | Corticosteroid-binding globulin | 1.8 | |
| A2AP_HUMAN | P08697 | SERPINF2 | Alpha-2-antiplasmin | 1.7 | |
| FCN2_HUMAN | Q15485 | FCN2 | Ficolin-2 | 1.7 | |
| APOC4_HUMAN | P55056 | APOC4 | Apolipoprotein C-IV | 1.7 | |
| PRG4_HUMAN | Q92954 | PRG4 | Proteoglycan 4 | 1.6 | |
| APOL1_HUMAN | O14791 | APOL1 | Apolipoprotein L1 | 1.6 | |
| PCOC1_HUMAN | Q15113 | PCOLCE | Procollagen C-endopeptidase enhancer 1 | 1.6 | |
| PEDF_HUMAN | P36955 | SERPINF1 | Pigment epithelium-derived factor | 1.5 | |
| FETUB_HUMAN | Q9UGM5 | FETUB | Fetuin-B | 1.5 | |
| IGL1_HUMAN | P0DOX8 | Immunoglobulin lambda-1 light chain | 0.7 | DOWNREGULATED IN IMN | |
| LV147_HUMAN | P01700 | IGLV1-47 | Immunoglobulin lambda variable 1-47 | 0.7 | |
| LV39_HUMAN | A0A075B6K5 | IGLV3-9 | Immunoglobulin lambda variable 3-9 | 0.7 | |
| KPYM_HUMAN | P14618 | PKM | Pyruvate kinase PKM | 0.6 | |
| PERM_HUMAN | P05164 | MPO | Myeloperoxidase | 0.6 | |
| IGG1_HUMAN | P0DOX5 | Immunoglobulin gamma-1 heavy chain | 0.6 | ||
| IGA2_HUMAN | P0DOX2 | Immunoglobulin alpha-2 heavy chain | 0.6 | ||
| LYSC_HUMAN | P61626 | LYZ | Lysozyme C | 0.6 | |
| ENOA_HUMAN | P06733 | ENO1 | Alpha-enolase | 0.5 | |
| IGHG3_HUMAN | P01860 | IGHG3 | Immunoglobulin heavy constant gamma 3 | 0.5 | |
| KV37_HUMAN | A0A075B6H7 | IGKV3-7 | Probable non-functional immunoglobulin kappa variable 3-7 | 0.5 | |
| LV140_HUMAN | P01703 | IGLV1-40 | Immunoglobulin lambda variable 1-40 | 0.5 | |
| LV861_HUMAN | A0A075B6I0 | IGLV8-61 | Immunoglobulin lambda variable 8-61 | 0.5 | |
| GRN_HUMAN | P28799 | GRN | Progranulin | 0.5 | |
| IGLC3_HUMAN | P0DOY3 | IGLC3 | Immunoglobulin lambda constant 3 | 0.5 | |
| LV316_HUMAN | A0A075B6K0 | IGLV3-16 | Immunoglobulin lambda variable 3-16 | 0.5 | |
| LV310_HUMAN | A0A075B6K4 | IGLV3-10 | Immunoglobulin lambda variable 3-10 | 0.5 | |
| PROF1_HUMAN | P07737 | PFN1 | Profilin-1 | 0.5 | |
| ELNE_HUMAN | P08246 | ELANE | Neutrophil elastase | 0.5 | |
| G3P_HUMAN | P04406 | GAPDH | Glyceraldehyde-3-phosphate dehydrogenase | 0.5 | |
| ACTB_HUMAN | P60709 | ACTB | Actin, cytoplasmic 1 | 0.5 | |
| ZYX_HUMAN | Q15942 | ZYX | Zyxin | 0.5 | |
| MRC1_HUMAN | P22897 | MRC1 | Macrophage mannose receptor 1 | 0.4 | |
| DEF3_HUMAN | P59666 | DEFA3 | Neutrophil defensin 3 | 0.4 | |
| COR1A_HUMAN | P31146 | CORO1A | Coronin-1A | 0.4 | |
| ILEU_HUMAN | P30740 | SERPINB1 | Leukocyte elastase inhibitor | 0.3 | |
| KV139_HUMAN; KVD39_HUMAN | P01597; P04432 | IGKV1-39; IGKV1D-39 | Immunoglobulin kappa variable 1-39; Immunoglobulin kappa variable 1D-39 | 0.3 | |
| H2A1_HUMAN; H2A1D_HUMAN; H2A2C_HUMAN; H2A2A_HUMAN; H2A1H_HUMAN; H2A1J_HUMAN; H2AJ_HUMAN | P0C0S8; P20671; Q16777; Q6FI13; Q96KK5; Q99878; Q9BTM1 | H2AC11; H2AC7; H2AC20; H2AC18; H2AC12; H2AC14; H2AJ | Histone H2A type 1; Histone H2A type 1-D; Histone H2A type 2-C; Histone H2A type 2-A; Histone H2A type 1-H; Histone H2A type 1-J; Histone H2A.J | 0.3 | |
| H2B1K_HUMAN; H2BFS_HUMAN; H2B1D_HUMAN; H2B1C_HUMAN; H2B2F_HUMAN; H2B1H_HUMAN; H2B1N_HUMAN; H2B1M_HUMAN; H2B1L_HUMAN | O60814; P57053; P58876; P62807; Q5QNW6; Q93079; Q99877; Q99879; Q99880 | H2BC12; H2BC12L; H2BC5; H2BC4; H2BC18; H2BC9; H2BC15; H2BC14; H2BC13 | Histone H2B type 1-K; Histone H2B type F-S; Histone H2B type 1-D; Histone H2B type 1-C/E/F/G/I; Histone H2B type 2-F; Histone H2B type 1-H; Histone H2B type 1-N; Histone H2B type 1-M; Histone H2B type 1-L | 0.3 | |
| IPSP_HUMAN | P05154 | SERPINA5 | Plasma serine protease inhibitor | 0.2 | |
| H14_HUMAN; H13_HUMAN; H12_HUMAN | P10412; P16402; P16403 | H1-4; H1-3; H1-2 | Histone H1.4; Histone H1.3; Histone H1.2 | 0.2 | |
| TYB4_HUMAN | P62328 | TMSB4X | Thymosin beta-4 | 0.1 |
| Present Study | Literature Evidence | ||||||
|---|---|---|---|---|---|---|---|
| Protein | UP/DOWN | Disease | Sample | UP/DOWN | Technique | Reference | |
| APOB | UP | MN | Renal tissue | UP | Illumina® Whole-Genome Gene Expression Direct Hybridization Assay system | Wu et al. [23] | Lipoprotein-related proteins |
| Passive Heymann nephritis model | Renal tissue | UP | Immunohistochemistry | Exner et al. [24] | |||
| KAIN | UP | MN vs. MCD | Serum | UP | Quantitave SOMAscan proteomics | Muruve et al. [6] | Serpins |
| A2AP | UP | MN vs. MCD | Serum | UP | Quantitave SOMAscan proteomics | Muruve et al. [6] | |
| THGB | UP | MN | Urine | UP | LC-MS/MS | Choi et al. [9] | |
| PEDF | UP | MN vs. MCD | Serum | UP | Quantitave SOMAscan proteomics | Muruve et al. [6] | |
| A1AT | UP | IMN | Renal tissue | UP | MALDI-imaging | Smith et al. [11] | |
| MRC1 | DOWN | IMN | Serum | DOWN | Immunohistochemistry | Tomas et al. [26] | |
Disclaimer/Publisher’s Note: The statements, opinions and data contained in all publications are solely those of the individual author(s) and contributor(s) and not of MDPI and/or the editor(s). MDPI and/or the editor(s) disclaim responsibility for any injury to people or property resulting from any ideas, methods, instructions or products referred to in the content. |
© 2023 by the authors. Licensee MDPI, Basel, Switzerland. This article is an open access article distributed under the terms and conditions of the Creative Commons Attribution (CC BY) license (https://creativecommons.org/licenses/by/4.0/).
Share and Cite
Previtali, P.; Pagani, L.; Risca, G.; Capitoli, G.; Bossi, E.; Oliveira, G.; Piga, I.; Radice, A.; Trezzi, B.; Sinico, R.A.; et al. Towards the Definition of the Molecular Hallmarks of Idiopathic Membranous Nephropathy in Serum Proteome: A DIA-PASEF Approach. Int. J. Mol. Sci. 2023, 24, 11756. https://doi.org/10.3390/ijms241411756
Previtali P, Pagani L, Risca G, Capitoli G, Bossi E, Oliveira G, Piga I, Radice A, Trezzi B, Sinico RA, et al. Towards the Definition of the Molecular Hallmarks of Idiopathic Membranous Nephropathy in Serum Proteome: A DIA-PASEF Approach. International Journal of Molecular Sciences. 2023; 24(14):11756. https://doi.org/10.3390/ijms241411756
Chicago/Turabian StylePrevitali, Paolo, Lisa Pagani, Giulia Risca, Giulia Capitoli, Eleonora Bossi, Glenda Oliveira, Isabella Piga, Antonella Radice, Barbara Trezzi, Renato Alberto Sinico, and et al. 2023. "Towards the Definition of the Molecular Hallmarks of Idiopathic Membranous Nephropathy in Serum Proteome: A DIA-PASEF Approach" International Journal of Molecular Sciences 24, no. 14: 11756. https://doi.org/10.3390/ijms241411756
APA StylePrevitali, P., Pagani, L., Risca, G., Capitoli, G., Bossi, E., Oliveira, G., Piga, I., Radice, A., Trezzi, B., Sinico, R. A., Magni, F., & Chinello, C. (2023). Towards the Definition of the Molecular Hallmarks of Idiopathic Membranous Nephropathy in Serum Proteome: A DIA-PASEF Approach. International Journal of Molecular Sciences, 24(14), 11756. https://doi.org/10.3390/ijms241411756

