BRAF-AXL-PD-L1 Signaling Axis as a Possible Biological Marker for RAI Treatment in the Thyroid Cancer ATA Intermediate Risk Category
Abstract
1. Introduction
2. Results
2.1. Patients’ Characteristics
2.2. Association between BRAF Mutation and Clinical and Biological Parameters
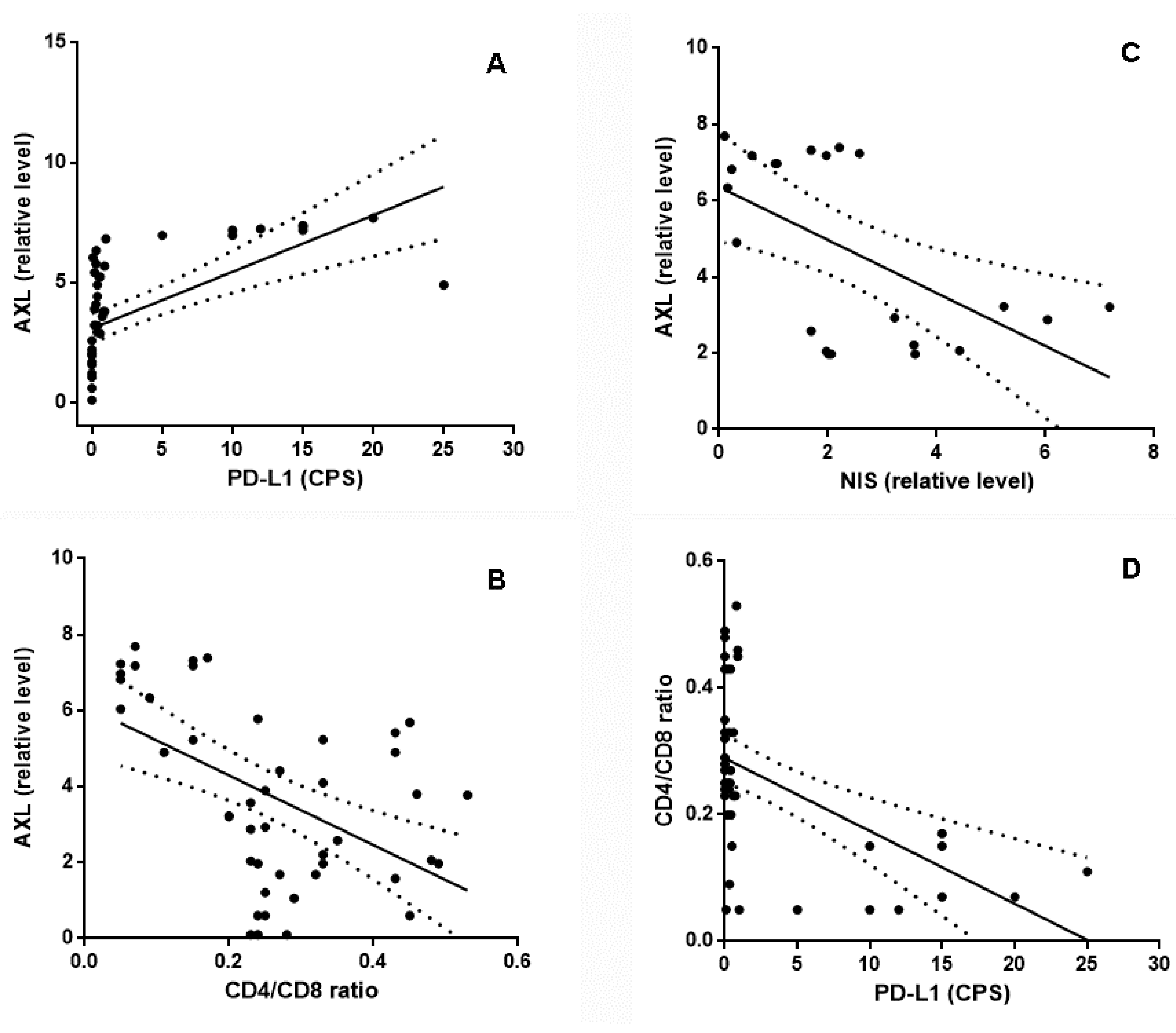
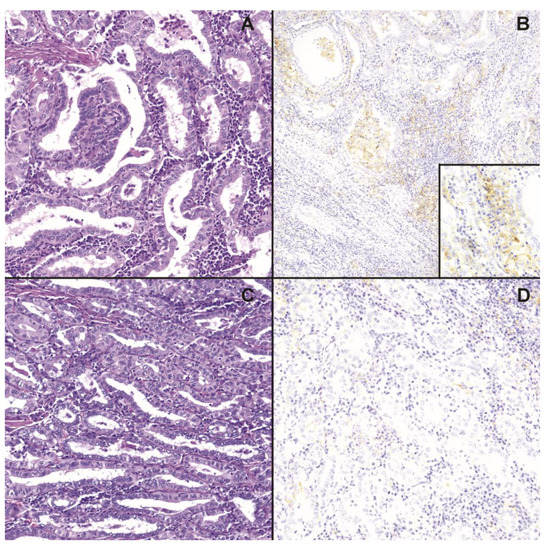
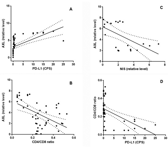
2.3. AXL, NIS, PD-L1 and CD4/CD8 Expression (TIL) and Association with the RAI Response
3. Discussion
4. Materials and Methods
4.1. Study Design and Sample Collection
4.2. Follow-Up Strategy and Clinical Outcome
4.3. Inclusion Criteria
4.4. BRAF, NRAS, TERT, PIK3 and RET Mutational Analysis
4.5. Real-Time PCR for NIS and AXL Expression
4.6. PD-L1 Immunohistochemistry (IHC) and Interpretation; Tumor-Infiltrating Lymphocytes (TIL) as CD4 and CD8 Ratio
4.7. Immunohistochemistry and Immunostaining Analysis for Mismatch Repair System (MMR)
4.8. TCGA Analysis of AXL, NIS and CD274 Expression
4.9. Statistical Analysis
5. Conclusions
Author Contributions
Funding
Institutional Review Board Statement
Informed Consent Statement
Data Availability Statement
Conflicts of Interest
Abbreviations
| AKT | AK Strain Transforming |
| ATA | American Thyroid Association |
| AXL | Anexelekto |
| BIR | Biochemically Indeterminate/Incomplete Response |
| BRAF | V-Raf Murine Sarcoma Viral Oncogene Homolog B |
| CPS Score | Combined Positive Score |
| DTC | Differentiated Thyroid Cancer |
| ER | Excellent Response |
| ERK | Extracellular Signal-Regulated Kinase |
| IHC | Immunohistochemistry |
| LER | Less than Excellent/Incomplete Response |
| MAPK | Mitogen-Activated Protein Kinase |
| MMR | Mismatch Repair |
| NIS | Sodium Iodide Symporter |
| NSCLC | Non-Small-Cell Lung Cancer |
| PD-L1 | Programmed Death Ligand-1 |
| PIK3 | Phosphoinositide 3-Kinase |
| RAI | Radioactive Iodine |
| RAI-R | Radioactive Iodine Resistance |
| RAS | Rat Sarcoma |
| RET | Rearranged during Transfection |
| RIT | Radioiodine Therapy |
| RTK | Receptor Tyrosine Kinases |
| SIR | Structurally Incomplete Response |
| TCGA | The Cancer Genome Atlas |
| TERT | Telomerase Reverse Transcriptase |
| Tg | Thyroglobulin |
| TILs | Tumor-Infiltrating Lymphocytes |
References
- Haugen, B.R.; Alexander, E.K.; Bible, K.C.; Doherty, G.M.; Mandel, S.J.; Nikiforov, Y.E.; Pacini, F.; Randolph, G.W.; Sawka, A.M.; Schlumberger, M.; et al. 2015 American Thyroid Association Management Guidelines for Adult Patients with Thyroid Nodules and Differentiated Thyroid Cancer: The American Thyroid Association Guidelines Task Force on Thyroid Nodules and Differentiated Thyroid Cancer. Thyroid 2016, 26, 1–133. [Google Scholar] [CrossRef] [PubMed]
- Cooper, D.S.; Doherty, G.M.; Haugen, B.R.; Kloos, R.T.; Lee, S.L.; Mandel, S.J.; Mazzaferri, E.L.; McIver, B.; Pacini, F.; Schlumberger, M.; et al. Revised American Thyroid Association Management Guidelines for Patients with Thyroid Nodules and Differentiated Thyroid Cancer. Thyroid 2009, 19, 1167–1214. [Google Scholar] [CrossRef] [PubMed]
- Sparano, C.; Moog, S.; Hadoux, J.; Dupuy, C.; Al Ghuzlan, A.; Breuskin, I.; Guerlain, J.; Hartl, D.; Baudin, E.; Lamartina, L. Strategies for Radioiodine Treatment: What’s New. Cancers 2022, 14, 3800. [Google Scholar] [CrossRef]
- Wang, S.; Zhou, Z.; Hu, R.; Dong, M.; Zhou, X.; Ren, S.; Zhang, Y.; Chen, C.; Huang, R.; Zhu, M.; et al. Metabolic Intervention Liposome Boosted Lung Cancer Radio-Immunotherapy via Hypoxia Amelioration and PD-L1 Restraint. Adv. Sci. 2023, 2207608. [Google Scholar] [CrossRef] [PubMed]
- Pacini, F.; Basolo, F.; Bellantone, R.; Boni, G.; Cannizzaro, M.A.; De Palma, M.; Durante, C.; Elisei, R.; Fadda, G.; Frasoldati, A.; et al. Italian Consensus on Diagnosis and Treatment of Differentiated Thyroid Cancer: Joint Statements of Six Italian Societies. J. Endocrinol. Investig. 2018, 41, 849–876. [Google Scholar] [CrossRef] [PubMed]
- Hassan, A.; Riaz, S.; Bashir, H.; Nawaz, M.K.; Hussain, R. Can the American Thyroid Association Risk of Recurrence Predict Radioiodine Refractory Disease in Differentiated Thyroid Cancer? Eur. Thyroid J. 2016, 5, 261–267. [Google Scholar] [CrossRef]
- Silaghi, H.; Lozovanu, V.; Georgescu, C.E.; Pop, C.; Nasui, B.A.; Cătoi, A.F.; Silaghi, C.A. State of the Art in the Current Management and Future Directions of Targeted Therapy for Differentiated Thyroid Cancer. Int. J. Mol. Sci. 2022, 23, 3470. [Google Scholar] [CrossRef]
- Xing, M. Molecular Pathogenesis and Mechanisms of Thyroid Cancer. Nat. Rev. Cancer 2013, 13, 184–199. [Google Scholar] [CrossRef]
- Ricarte-Filho, J.C.; Ryder, M.; Chitale, D.A.; Rivera, M.; Heguy, A.; Ladanyi, M.; Janakiraman, M.; Solit, D.; Knauf, J.A.; Tuttle, R.M.; et al. Mutational Profile of Advanced Primary and Metastatic Radioactive Iodine-Refractory Thyroid Cancers Reveals Distinct Pathogenetic Roles for BRAF, PIK3CA, and AKT1. Cancer Res. 2009, 69, 4885–4893. [Google Scholar] [CrossRef]
- Xing, M.; Haugen, B.R.; Schlumberger, M. Progress in Molecular-Based Management of Differentiated Thyroid Cancer. Lancet 2013, 381, 1058–1069. [Google Scholar] [CrossRef]
- Collina, F.; La Sala, L.; Liotti, F.; Prevete, N.; La Mantia, E.; Chiofalo, M.G.; Aquino, G.; Arenare, L.; Cantile, M.; Liguori, G.; et al. AXL Is a Novel Predictive Factor and Therapeutic Target for Radioactive Iodine Refractory Thyroid Cancer. Cancers 2019, 11, 785. [Google Scholar] [CrossRef]
- Aashiq, M.; Silverman, D.A.; Na’ara, S.; Takahashi, H.; Amit, M. Radioiodine-Refractory Thyroid Cancer: Molecular Basis of Redifferentiation Therapies, Management, and Novel Therapies. Cancers 2019, 11, 1382. [Google Scholar] [CrossRef]
- Vaisman, F.; Tala, H.; Grewal, R.; Tuttle, R.M. In Differentiated Thyroid Cancer, an Incomplete Structural Response to Therapy Is Associated with Significantly Worse Clinical Outcomes Than Only an Incomplete Thyroglobulin Response. Thyroid 2011, 21, 1317–1322. [Google Scholar] [CrossRef]
- Zhu, C.; Wei, Y.; Wei, X. AXL Receptor Tyrosine Kinase as a Promising Anti-Cancer Approach: Functions, Molecular Mechanisms and Clinical Applications. Mol. Cancer 2019, 18, 153. [Google Scholar] [CrossRef]
- Fullmer, T.; Cabanillas, M.E.; Zafereo, M. Novel Therapeutics in Radioactive Iodine-Resistant Thyroid Cancer. Front. Endocrinol. 2021, 12, 720723. [Google Scholar] [CrossRef]
- De Leo, S.; Trevisan, M.; Fugazzola, L. Recent Advances in the Management of Anaplastic Thyroid Cancer. Thyroid Res. 2020, 13, 17. [Google Scholar] [CrossRef]
- Zhou, Z.; Liu, Y.; Jiang, X.; Zheng, C.; Luo, W.; Xiang, X.; Qi, X.; Shen, J. Metformin Modified Chitosan as a Multi-Functional Adjuvant to Enhance Cisplatin-Based Tumor Chemotherapy Efficacy. Int. J. Biol. Macromol. 2023, 224, 797–809. [Google Scholar] [CrossRef] [PubMed]
- Mehnert, J.M.; Varga, A.; Brose, M.S.; Aggarwal, R.R.; Lin, C.-C.; Prawira, A.; de Braud, F.; Tamura, K.; Doi, T.; Piha-Paul, S.A.; et al. Safety and Antitumor Activity of the Anti–PD-1 Antibody Pembrolizumab in Patients with Advanced, PD-L1–Positive Papillary or Follicular Thyroid Cancer. BMC Cancer 2019, 19, 196. [Google Scholar] [CrossRef] [PubMed]
- Angell, T.E.; Lechner, M.G.; Jang, J.K.; Correa, A.J.; LoPresti, J.S.; Epstein, A.L. BRAF V600E in Papillary Thyroid Carcinoma Is Associated with Increased Programmed Death Ligand 1 Expression and Suppressive Immune Cell Infiltration. Thyroid 2014, 24, 1385–1393. [Google Scholar] [CrossRef]
- Bai, Y.; Niu, D.; Huang, X.; Jia, L.; Kang, Q.; Dou, F.; Ji, X.; Xue, W.; Liu, Y.; Li, Z.; et al. PD-L1 and PD-1 Expression Are Correlated with Distinctive Clinicopathological Features in Papillary Thyroid Carcinoma. Diagn. Pathol. 2017, 12, 72. [Google Scholar] [CrossRef] [PubMed]
- Dudnik, E.; Peled, N.; Nechushtan, H.; Wollner, M.; Onn, A.; Agbarya, A.; Moskovitz, M.; Keren, S.; Popovits-Hadari, N.; Urban, D.; et al. BRAF Mutant Lung Cancer: Programmed Death Ligand 1 Expression, Tumor Mutational Burden, Microsatellite Instability Status, and Response to Immune Check-Point Inhibitors. J. Thorac. Oncol. 2018, 13, 1128–1137. [Google Scholar] [CrossRef]
- Krzyżanowska, N.; Krawczyk, P.; Wojas-Krawczyk, K.; Kucharczyk, T.; Milanowski, J. Immunotherapy in Non-Small-Cell Lung Cancer Patients with Driver Alterations: A New Strategy? Cells 2022, 11, 3280. [Google Scholar] [CrossRef]
- Skinner, H.D.; Giri, U.; Yang, L.P.; Kumar, M.; Liu, Y.; Story, M.D.; Pickering, C.R.; Byers, L.A.; Williams, M.D.; Wang, J.; et al. Integrative Analysis Identifies a Novel AXL–PI3 Kinase–PD-L1 Signaling Axis Associated with Radiation Resistance in Head and Neck Cancer. Clin. Cancer Res. 2017, 23, 2713–2722. [Google Scholar] [CrossRef]
- Kim, S.; Koh, J.; Kim, M.-Y.; Kwon, D.; Go, H.; Kim, Y.A.; Jeon, Y.K.; Chung, D.H. PD-L1 Expression Is Associated with Epithelial-to-Mesenchymal Transition in Adenocarcinoma of the Lung. Hum. Pathol. 2016, 58, 7–14. [Google Scholar] [CrossRef]
- Zurlo, I.V.; Schino, M.; Strippoli, A.; Calegari, M.A.; Cocomazzi, A.; Cassano, A.; Pozzo, C.; Di Salvatore, M.; Ricci, R.; Barone, C.; et al. Predictive Value of NLR, TILs (CD4+/CD8+) and PD-L1 Expression for Prognosis and Response to Preoperative Chemotherapy in Gastric Cancer. Cancer Immunol. Immunother. 2022, 71, 45–55. [Google Scholar] [CrossRef]
- Pitoia, F.; Jerkovich, F. Dynamic Risk Assessment in Patients with Differentiated Thyroid Cancer. Endocr. Relat. Cancer 2019, 26, R553–R566. [Google Scholar] [CrossRef]
- Lloyd, R.V.; Osamura, R.Y.; Klöppel, G.; Rosai, J. WHO Classification of Tumours of Endocrine Organs; International Agency for Research on Cancer: Lyon, France, 2017. [Google Scholar]
- World Medical Association Declaration of Helsinki. JAMA 2013, 310, 2191. [CrossRef]
- Dell’Aquila, M.; Fiorentino, V.; Martini, M.; Capodimonti, S.; Cenci, T.; Lombardi, C.P.; Raffaelli, M.; Pontecorvi, A.; Fadda, G.; Pantanowitz, L.; et al. How Limited Molecular Testing Can Also Offer Diagnostic and Prognostic Evaluation of Thyroid Nodules Processed with Liquid-based Cytology: Role of TERT Promoter and BRAF V600E Mutation Analysis. Cancer Cytopathol. 2021, 129, 819–829. [Google Scholar] [CrossRef]
- Manca, A.; Sini, M.C.; Cesinaro, A.M.; Portelli, F.; Urso, C.; Lentini, M.; Cardia, R.; Alos, L.; Cook, M.; Simi, S.; et al. NGS-Based Analysis of Atypical Deep Penetrating Nevi. Cancers 2021, 13, 3066. [Google Scholar] [CrossRef]
- Martini, M.; Cenci, T.; D’Alessandris, G.Q.; Cesarini, V.; Cocomazzi, A.; Ricci-Vitiani, L.; De Maria, R.; Pallini, R.; Larocca, L.M. Epigenetic Silencing of Id4 Identifies a Glioblastoma Subgroup with a Better Prognosis as a Consequence of an Inhibition of Angiogenesis. Cancer 2013, 119, 1004–1012. [Google Scholar] [CrossRef]




| n = 46 | |
|---|---|
| Age, mean (±SD) | 46.4 (9.7) |
| Gender, n (%) | |
| Male | 15 (32.6) |
| Female | 31 (67.4) |
| TNM stage, n (%) | |
| I | 32 (69.6) |
| II | 14 (30.4) |
| Lymph node metastasis, n (%) | |
| Positive | 36 (78.3) |
| Negative | 10 (21.7) |
| PD-L1 expression, n (%) | |
| Positive (CPS ≥ 1) | 10 (21.7) |
| Negative (CPS < 1) | 36 (78.3) |
| RAI response (12 months), n (%) | |
| ER | 32 (69.6) |
| LER | 14 (30.4) |
| BRAF mutation, n (%) | |
| Mutated | 22 (47.8) |
| Wild type | 24 (52.2) |
| AXL expression, n (%) | |
| High | 23 (50) |
| Low | 23 (50) |
| NIS expression, n (%) | |
| High | 22 (47.8) |
| Low | 24 (52.2) |
| CD4/CD8 ratio, n (%) | |
| High | 33 (71.7) |
| Low | 13 (28.3) |
| BRAF Mutated | BRAF Wild Type | p | OR (95% CI) | |
|---|---|---|---|---|
| Age | ||||
| <45 | 12 | 6 | 0.069 | 3.600 |
| ≥45 | 10 | 18 | From 1.033 to 12.55 | |
| Gender | ||||
| Male | 9 | 6 | 0.348 | 2.077 |
| Female | 13 | 18 | From 0.592 to 7.291 | |
| TNM stage | ||||
| I | 11 | 21 | 0.009 | 0.143 |
| II | 11 | 3 | From 0.033 to 0.622 | |
| Lymph node metastasis | ||||
| Positive | 21 | 15 | 0.011 | 12.6 |
| Negative | 1 | 9 | From 1.438 to 110.4 | |
| RAI response | ||||
| ER | 10 | 22 | 0.001 | 13.20 |
| LER | 12 | 2 | From 2.476 to 70.37 | |
| AXL expression | ||||
| High | 16 | 7 | 0.007 | 6.476 |
| Low | 6 | 17 | From 1.788 to 23.45 | |
| PD-L1 expression | ||||
| Positive (CPS ≥ 1) | 9 | 1 | 0.004 | 0.063 |
| Negative (CPS < 1) | 13 | 23 | From 0.007 to 0.553 | |
| NIS expression | ||||
| High | 7 | 15 | 0.045 | 0.280 |
| Low | 15 | 9 | From 0.083 to 0.948 | |
| CD4/CD8 ratio | ||||
| High | 13 | 20 | 0.103 | 3.462 |
| Low | 9 | 4 | From 0880 to 13.62 |
Disclaimer/Publisher’s Note: The statements, opinions and data contained in all publications are solely those of the individual author(s) and contributor(s) and not of MDPI and/or the editor(s). MDPI and/or the editor(s) disclaim responsibility for any injury to people or property resulting from any ideas, methods, instructions or products referred to in the content. |
© 2023 by the authors. Licensee MDPI, Basel, Switzerland. This article is an open access article distributed under the terms and conditions of the Creative Commons Attribution (CC BY) license (https://creativecommons.org/licenses/by/4.0/).
Share and Cite
Pizzimenti, C.; Fiorentino, V.; Ieni, A.; Rossi, E.D.; Germanà, E.; Giovanella, L.; Lentini, M.; Alessi, Y.; Tuccari, G.; Campennì, A.; et al. BRAF-AXL-PD-L1 Signaling Axis as a Possible Biological Marker for RAI Treatment in the Thyroid Cancer ATA Intermediate Risk Category. Int. J. Mol. Sci. 2023, 24, 10024. https://doi.org/10.3390/ijms241210024
Pizzimenti C, Fiorentino V, Ieni A, Rossi ED, Germanà E, Giovanella L, Lentini M, Alessi Y, Tuccari G, Campennì A, et al. BRAF-AXL-PD-L1 Signaling Axis as a Possible Biological Marker for RAI Treatment in the Thyroid Cancer ATA Intermediate Risk Category. International Journal of Molecular Sciences. 2023; 24(12):10024. https://doi.org/10.3390/ijms241210024
Chicago/Turabian StylePizzimenti, Cristina, Vincenzo Fiorentino, Antonio Ieni, Esther Diana Rossi, Emanuela Germanà, Luca Giovanella, Maria Lentini, Ylenia Alessi, Giovanni Tuccari, Alfredo Campennì, and et al. 2023. "BRAF-AXL-PD-L1 Signaling Axis as a Possible Biological Marker for RAI Treatment in the Thyroid Cancer ATA Intermediate Risk Category" International Journal of Molecular Sciences 24, no. 12: 10024. https://doi.org/10.3390/ijms241210024
APA StylePizzimenti, C., Fiorentino, V., Ieni, A., Rossi, E. D., Germanà, E., Giovanella, L., Lentini, M., Alessi, Y., Tuccari, G., Campennì, A., Martini, M., & Fadda, G. (2023). BRAF-AXL-PD-L1 Signaling Axis as a Possible Biological Marker for RAI Treatment in the Thyroid Cancer ATA Intermediate Risk Category. International Journal of Molecular Sciences, 24(12), 10024. https://doi.org/10.3390/ijms241210024

