Characterization of the Flash-Induced Fluorescence Wave Phenomenon in the Coral Endosymbiont Algae, Symbiodiniaceae
Abstract
1. Introduction
2. Results
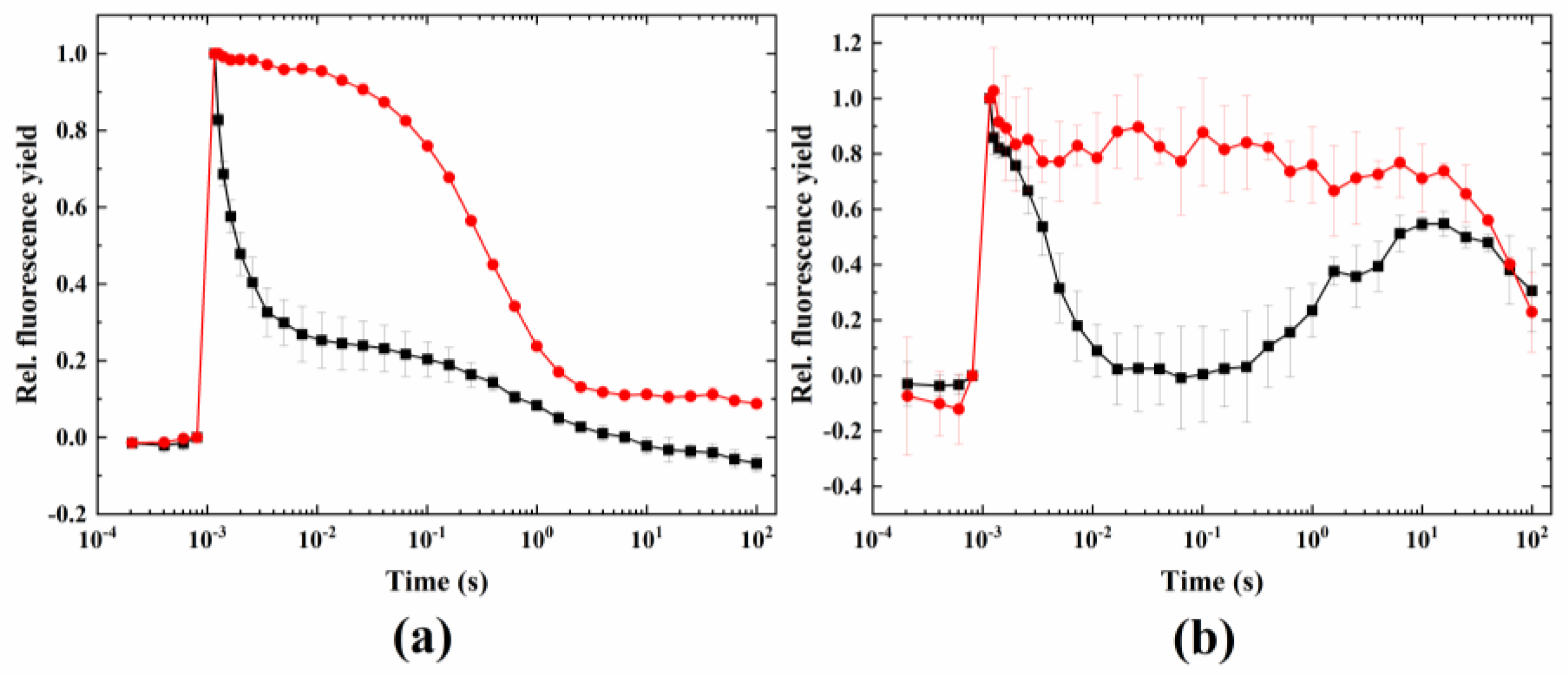
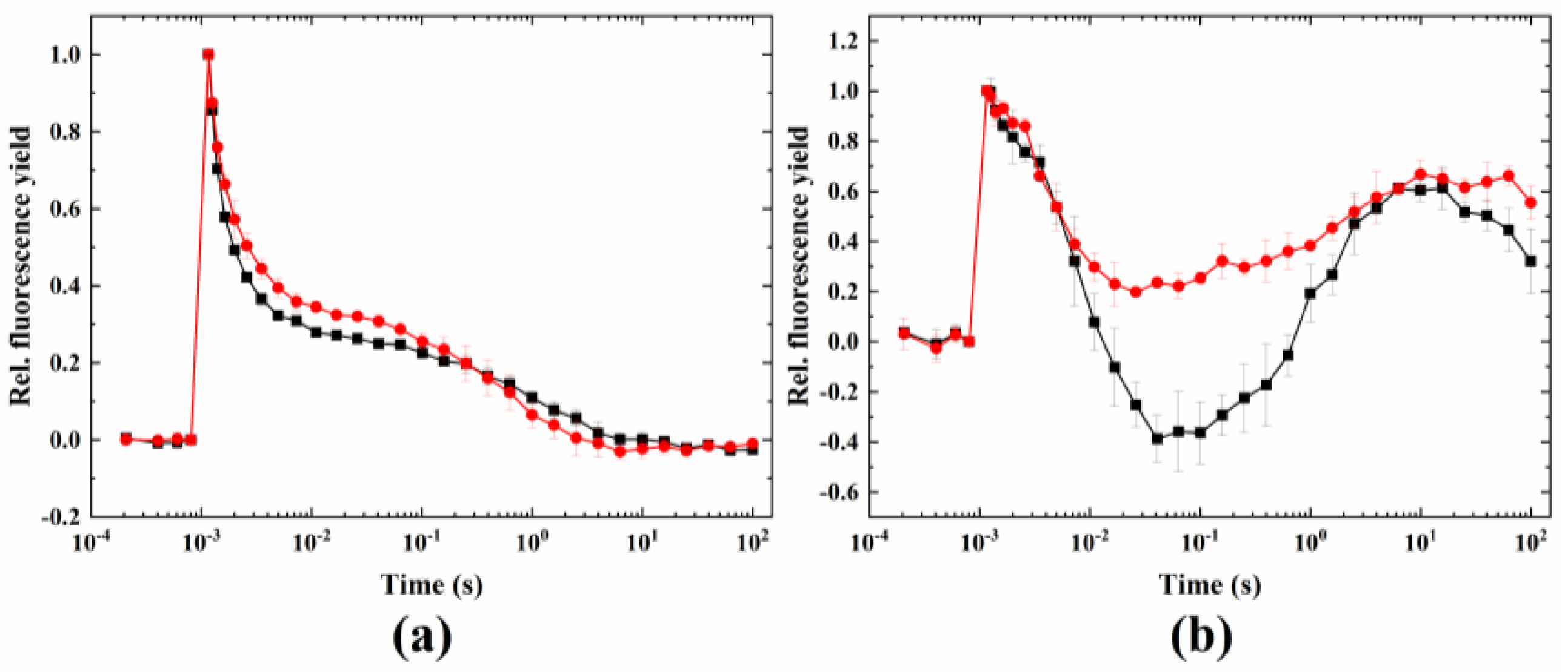
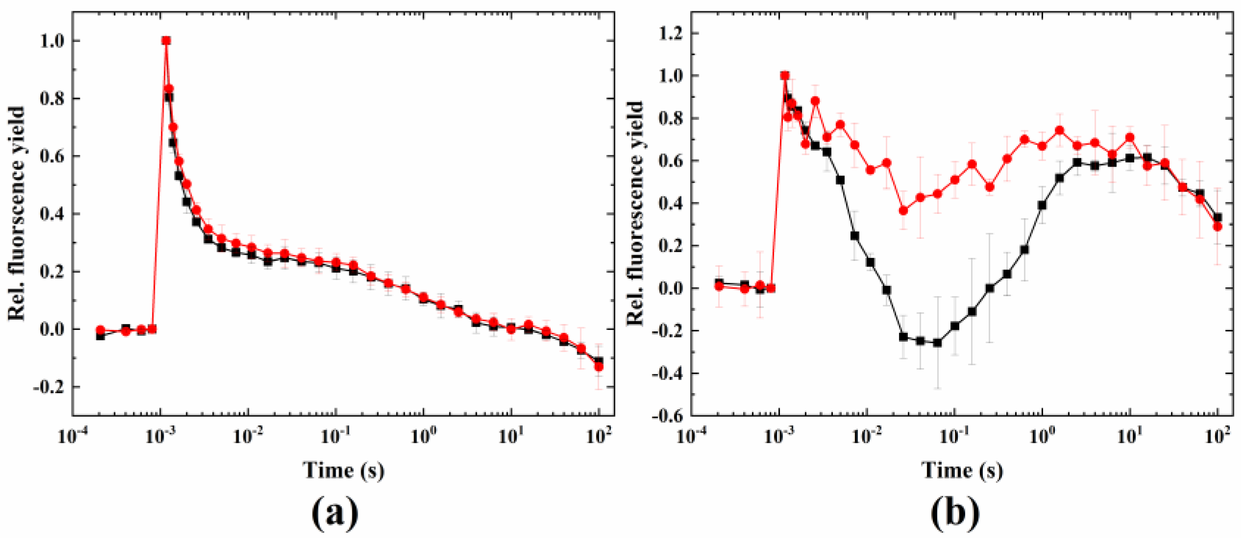
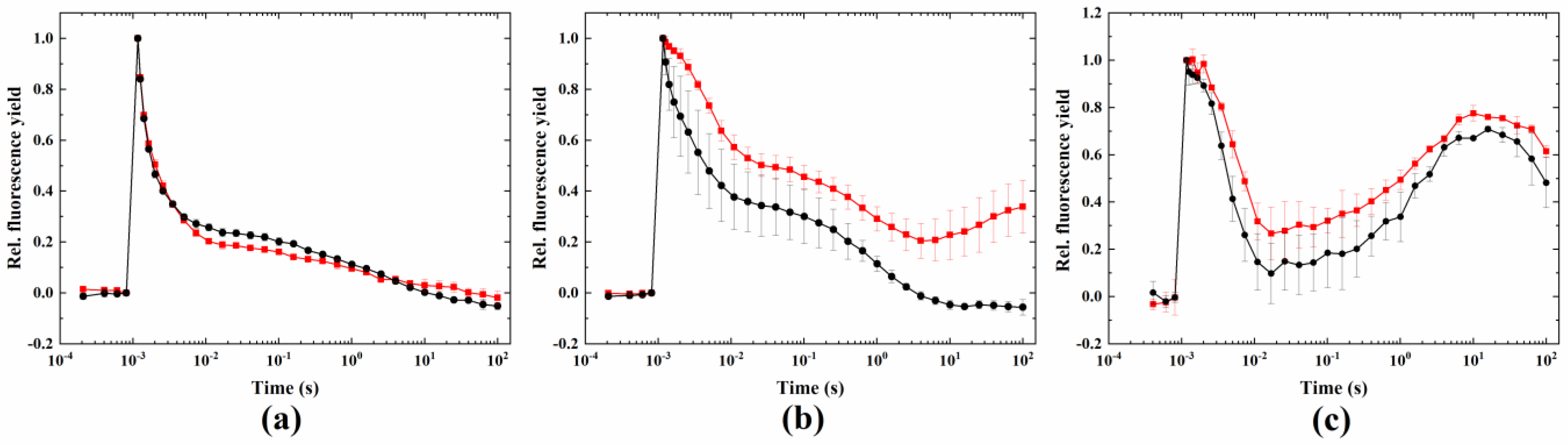
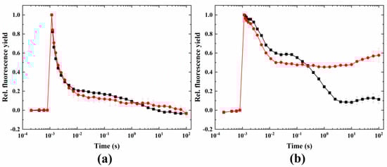
2.1. Effect of Blocking Linear Electron Flow
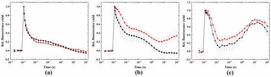
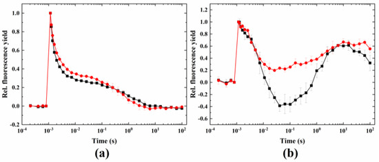
2.2. Effect of Blocking the Primary Electron Donor of PSII and the Terminal Electron Acceptor in CO2 Fixation
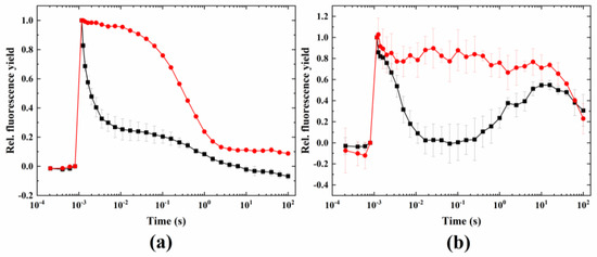
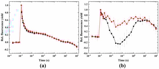
2.3. Effect of Cyclic Electron Flow Inhibitors
3. Discussion
3.1. Linear Electron Flow Inhibitors Largely Blocked the Fluorescence Wave Phenomenon in Symbiodiniaceae
3.2. Inhibiting the Donor Side of PSII and the Calvin–Benson Cycle Distinctly Affected the Wave Phenomenon
3.3. The Role of NDH-2-Mediated Electron Flow in the Wave Phenomenon
4. Materials and Methods
4.1. Symbiodiniaceae Cultures
4.2. Partial Digestion of Symbiodinium Tridacnidorum
4.3. Measurement of Flash-Induced Chlorophyll Fluorescence Relaxation Kinetics
4.4. P700⁺ Reduction Kinetics
4.5. Inhibitors
4.6. Experimental Procedure
Supplementary Materials
Author Contributions
Funding
Institutional Review Board Statement
Informed Consent Statement
Data Availability Statement
Conflicts of Interest
References
- Muller-Parker, G.; Davy, S.K. Temperate and tropical algal-sea anemone symbioses. Invertebr. Biol. 2001, 120, 104–123. [Google Scholar] [CrossRef]
- Reaka-Kudla, M.L. The global biodiversity of coral reefs: A comparison with rain forests. In Biodiversity II: Understanding and Protecting our Biological Resources; Reaka-Kudla, M. L., Wilson E., O., Eds.; Joseph Hen-ry/National Academy Press: Washington DC, USA, 1997; pp. 83–108. [Google Scholar]
- Wang, J.-T.; Douglas, A.E. Nitrogen Recycling or Nitrogen Conservation in an Alga–Invertebrate Symbiosis? J. Exp. Biol. 1998, 201, 2445–2453. [Google Scholar] [CrossRef]
- Niedzwiedzki, D.M.; Jiang, J.; Lo, C.S.; Blankenship, R.E. Spectroscopic properties of the Chlorophyll a–Chlorophyll c2–Peridinin-Protein-Complex (acpPC) from the coral symbiotic dinoflagellate Symbiodinium. Photosynth. Res. 2014, 120, 125–139. [Google Scholar] [CrossRef]
- Sandmann, G.; Reck, H.; Kessler, E.; Böger, P. Distribution of plastocyanin and soluble plastidic cytochrome c in various classes of algae. Arch. Microbiol. 1983, 134, 23–27. [Google Scholar] [CrossRef]
- Rochaix, J.-D. Regulation of photosynthetic electron transport. Biochim. Biophys. Acta 2011, 1807, 375–383. [Google Scholar] [CrossRef] [PubMed]
- Kramer, D.M.; Evans, J.R. The Importance of Energy Balance in Improving Photosynthetic Productivity. Plant Physiol. 2011, 155, 70–78. [Google Scholar] [CrossRef]
- Davis, G.A.; Kramer, D.M. Optimization of ATP Synthase c–Rings for Oxygenic Photosynthesis. Front. Plant Sci. 2020, 10, 1778. [Google Scholar] [CrossRef] [PubMed]
- Cardol, P.; Forti, G.; Finazzi, G. Regulation of electron transport in microalgae. Biochim. Et Biophys. Acta (BBA)-Bioenerg. 2011, 1807, 912–918. [Google Scholar] [CrossRef] [PubMed]
- Strand, D.D.; Fisher, N.; Kramer, D.M. The higher plant plastid NAD (P) H dehydrogenase-like complex (NDH) is a high efficiency proton pump that increases ATP production by cyclic electron flow. J. Biol. Chem. 2017, 292, 11850–11860. [Google Scholar] [CrossRef]
- Peltier, G.; Aro, E.-M.; Shikanai, T. NDH-1 and NDH-2 plastoquinone reductases in oxygenic photosynthesis. Annu. Rev. Plant Biol. 2016, 67, 55–80. [Google Scholar] [CrossRef]
- Hertle, A.P.; Blunder, T.; Wunder, T.; Pesaresi, P.; Pribil, M.; Armbruster, U.; Leister, D. PGRL1 Is the Elusive Ferredoxin-Plastoquinone Reductase in Photosynthetic Cyclic Electron Flow. Mol. Cell 2013, 49, 511–523. [Google Scholar] [CrossRef] [PubMed]
- Nawrocki, W.J.; Bailleul, B.; Picot, D.; Cardol, P.; Rappaport, F.; Wollman, F.A.; Joliot, P. The mechanism of cyclic electron flow. Biochim. Biophys. Acta 2019, 1860, 433–438. [Google Scholar] [CrossRef] [PubMed]
- Roberty, S.; Bailleul, B.; Berne, N.; Franck, F.; Cardol, P. PSI Mehler reaction is the main alternative photosynthetic electron pathway in Symbiodinium sp., symbiotic dinoflagellates of cnidarians. New Phytol. 2014, 204, 81–91. [Google Scholar] [CrossRef]
- Aihara, Y.; Takahashi, S.; Minagawa, J. Heat induction of cyclic electron flow around photosystem I in the symbiotic dinoflagellate Symbiodinium. Plant Physiol. 2016, 171, 522–529. [Google Scholar] [CrossRef]
- Helman, Y.; Tchernov, D.; Reinhold, L.; Shibata, M.; Ogawa, T.; Schwarz, R.; Ohad, I.; Kaplan, A. Genes Encoding A-Type Flavoproteins Are Essential for Photoreduction of O2 in Cyanobacteria. Curr. Biol. 2003, 13, 230–235. [Google Scholar] [CrossRef]
- Shimakawa, G.; Shoguchi, E.; Burlacot, A.; Ifuku, K.; Che, Y.; Kumazawa, M.; Tanaka, K.; Nakanishi, S. Coral symbionts evolved a functional polycistronic flavodiiron gene. Photosynth. Res. 2022, 151, 113–124. [Google Scholar] [CrossRef] [PubMed]
- Asada, K. The water–water cycle as alternative photon and electron sinks. Philos. Trans. R. Soc. London. Ser. B Biol. Sci. 2000, 355, 1419–1431. [Google Scholar] [CrossRef] [PubMed]
- NOAA National Centers for Environmental Information, Monthly Global Climate Report for Annual 2020. Available online: https://www.ncei.noaa.gov/access/monitoring/monthly-report/global/202013 (accessed on 18 April 2023).
- Hoogenboom, M.O.; Campbell, D.A.; Beraud, E.; Dezeeuw, K.; Ferrier-Pages, C. Effects of light, food availability and temperature stress on the function of photosystem II and photosystem I of coral symbionts. PLoS ONE 2012, 7, e30167. [Google Scholar] [CrossRef]
- Roberty, S.; Fransolet, D.; Cardol, P.; Plumier, J.C.; Franck, F. Imbalance between oxygen photoreduction and antioxidant capacities in Symbiodinium cells exposed to combined heat and high light stress. Coral Reefs 2015, 34, 1063–1073. [Google Scholar] [CrossRef]
- Vega de Luna, F.; Córdoba-Granados, J.J.; Dang, K.-V.; Roberty, S.; Cardol, P. In vivo assessment of mitochondrial respiratory alternative oxidase activity and cyclic electron flow around photosystem I on small coral fragments. Sci. Rep. 2020, 10, 17514. [Google Scholar] [CrossRef]
- Szabó, M.; Larkum, A.W.; Suggett, D.J.; Vass, I.; Sass, L.; Osmond, B.; Zavafer, A.; Ralph, P.J.; Chow, W.S. Non-intrusive assessment of Photosystem II and Photosystem I in whole coral tissues. Front. Mar. Sci. 2017, 4, 269. [Google Scholar] [CrossRef]
- Vass, I.; Styring, S.; Hundal, T.; Koivuniemi, A.; Aro, E.; Andersson, B. Reversible and irreversible intermediates during photoinhibition of photosystem II: Stable reduced QA species promote chlorophyll triplet formation. Proc. Natl. Acad. Sci. USA 1992, 89, 1408–1412. [Google Scholar] [CrossRef]
- Vass, I.; Kirilovsky, D.; Etienne, A.-L. UV-B Radiation-Induced Donor- and Acceptor-Side Modifications of Photosystem II in the Cyanobacterium Synechocystis sp. PCC 6803. Biochemistry 1999, 38, 12786–12794. [Google Scholar] [CrossRef] [PubMed]
- Cser, K.; Vass, I. Radiative and non-radiative charge recombination pathways in Photosystem II studied by thermoluminescence and chlorophyll fluorescence in the cyanobacterium Synechocystis 6803. Biochim. Biophys. Acta 2007, 1767, 233–243. [Google Scholar] [CrossRef]
- Deák, Z.; Sass, L.; Kiss, É.; Vass, I. Characterization of wave phenomena in the relaxation of flash-induced chlorophyll fluorescence yield in cyanobacteria. Biochim. Biophys. Acta (BBA)-Bioenerg. 2014, 1837, 1522–1532. [Google Scholar] [CrossRef] [PubMed]
- Ermakova, M.; Huokko, T.; Richaud, P.; Bersanini, L.; Howe, C.J.; Lea-Smith, D.J.; Peltier, G.; Allahverdiyeva, Y. Distinguishing the Roles of Thylakoid Respiratory Terminal Oxidases in the Cyanobacterium Synechocystis sp. PCC 6803. Plant Physiol. 2016, 171, 1307–1319. [Google Scholar] [CrossRef]
- Volgusheva, A.; Styring, S.; Mamedov, F. Increased photosystem II stability promotes H2 production in sulfur-deprived Chlamydomonas reinhardtii. Proc. Natl. Acad. Sci. USA 2013, 110, 7223–7228. [Google Scholar] [CrossRef]
- Volgusheva, A.; Kruse, O.; Styring, S.; Mamedov, F. Changes in the Photosystem II complex associated with hydrogen formation in sulfur deprived Chlamydomonas reinhardtii. Algal Res. 2016, 18, 296–304. [Google Scholar] [CrossRef]
- Krishna, P.S.; Morello, G.; Mamedov, F. Characterization of the transient fluorescence wave phenomenon that occurs during H2 production in Chlamydomonas reinhardtii. J. Exp. Bot. 2019, 70, 6321–6336. [Google Scholar] [CrossRef]
- Patil, P.P.; Mohammad Aslam, S.; Vass, I.; Szabó, M. Characterization of the wave phenomenon of flash-induced chlorophyll fluorescence in Chlamydomonas reinhardtii. Photosynth. Res. 2022, 152, 235–244. [Google Scholar] [CrossRef]
- Patil, P.P.; Vass, I.; Szabó, M. Characterization of the Wave Phenomenon in Flash-Induced Fluorescence Relaxation and Its Application to Study Cyclic Electron Pathways in Microalgae. Int. J. Mol. Sci. 2022, 23, 4927. [Google Scholar] [CrossRef] [PubMed]
- Mohammad Aslam, S.; Patil, P.P.; Vass, I.; Szabó, M. Heat-Induced Photosynthetic Responses of Symbiodiniaceae Revealed by Flash-Induced Fluorescence Relaxation Kinetics. Front. Mar. Sci. 2022, 9, 932355. [Google Scholar] [CrossRef]
- Schansker, G.; Toth, S.Z.; Strasser, R.J. Methylviologen and dibromothymoquinone treatments of pea leaves reveal the role of photosystem I in the Chl a fluorescence rise OJIP. Biochim. Biophys. Acta-Bioenerg. 2005, 1706, 250–261. [Google Scholar] [CrossRef] [PubMed]
- Dang, K.V.; Pierangelini, M.; Roberty, S.; Cardol, P. Alternative Photosynthetic Electron Transfers and Bleaching Phenotypes Upon Acute Heat Stress in Symbiodinium and Breviolum spp. (Symbiodiniaceae) in Culture. Front. Mar. Sci. 2019, 6, 656. [Google Scholar] [CrossRef]
- Bashir, F.; Kovács, S.; Ábrahám, Á.; Nagy, K.; Ayaydin, F.; Valkony-Kelemen, I.; Ferenc, G.; Galajda, P.; Tóth, S.Z.; Sass, L.; et al. Viable protoplast formation of the coral endosymbiont alga Symbiodinium spp. in a microfluidics platform. Lab A Chip 2022, 22, 2986–2999. [Google Scholar] [CrossRef]
- Havurinne, V.; Tyystjärvi, E. Photosynthetic sea slugs induce protective changes to the light reactions of the chloroplasts they steal from algae. eLife 2020, 9, e57389. [Google Scholar] [CrossRef]
- Bhagooli, R. Inhibition of Calvin–Benson cycle suppresses the repair of photosystem II in Symbiodinium: Implications for coral bleaching. Hydrobiologia 2013, 714, 183–190. [Google Scholar] [CrossRef]
- Hill, R.; Szabó, M.; ur Rehman, A.; Vass, I.; Ralph, P.J.; Larkum, A.W. Inhibition of photosynthetic CO2 fixation in the coral Pocillopora damicornis and its relationship to thermal bleaching. J. Exp. Biol. 2014, 217, 2078–2088. [Google Scholar] [CrossRef]
- Camp, E.F.; Schoepf, V.; Mumby, P.J.; Hardtke, L.A.; Rodolfo-Metalpa, R.; Smith, D.J.; Suggett, D.J. The Future of Coral Reefs Subject to Rapid Climate Change: Lessons from Natural Extreme Environments. Front. Mar. Sci. 2018, 5, 4. [Google Scholar] [CrossRef]
- Hughes, D.J.; Alderdice, R.; Cooney, C.; Kühl, M.; Pernice, M.; Voolstra, C.R.; Suggett, D.J. Coral reef survival under accelerating ocean deoxygenation. Nat. Clim. Change 2020, 10, 296–307. [Google Scholar] [CrossRef]
- Levin, R.A.; Suggett, D.J.; Nitschke, M.R.; van Oppen, M.J.; Steinberg, P.D. Expanding the Symbiodinium (Dinophyceae, Suessiales) toolkit through protoplast technology. J. Eukaryot. Microbiol. 2017, 64, 588–597. [Google Scholar] [CrossRef] [PubMed]
- Nawrocki, W.J.; Bailleul, B.; Cardol, P.; Rappaport, F.; Wollman, F.A.; Joliot, P. Maximal cyclic electron flow rate is independent of PGRL1 in Chlamydomonas. Biochim. Biophys. Acta 2019, 1860, 425–432. [Google Scholar] [CrossRef] [PubMed]
- Ritchie, R.J. Consistent Sets of Spectrophotometric Chlorophyll Equations for Acetone, Methanol and Ethanol Solvents. Photosynth. Res. 2006, 89, 27–41. [Google Scholar] [CrossRef] [PubMed]
- Trtilek, M.; Kramer, D.M.; Koblizek, M.; Nedbal, L. Dual-modulation LED kinetic fluorometer. J. Lumin. 1997, 72–74, 597–599. [Google Scholar] [CrossRef]









Disclaimer/Publisher’s Note: The statements, opinions and data contained in all publications are solely those of the individual author(s) and contributor(s) and not of MDPI and/or the editor(s). MDPI and/or the editor(s) disclaim responsibility for any injury to people or property resulting from any ideas, methods, instructions or products referred to in the content. |
© 2023 by the authors. Licensee MDPI, Basel, Switzerland. This article is an open access article distributed under the terms and conditions of the Creative Commons Attribution (CC BY) license (https://creativecommons.org/licenses/by/4.0/).
Share and Cite
Mohammad Aslam, S.; Vass, I.; Szabó, M. Characterization of the Flash-Induced Fluorescence Wave Phenomenon in the Coral Endosymbiont Algae, Symbiodiniaceae. Int. J. Mol. Sci. 2023, 24, 8712. https://doi.org/10.3390/ijms24108712
Mohammad Aslam S, Vass I, Szabó M. Characterization of the Flash-Induced Fluorescence Wave Phenomenon in the Coral Endosymbiont Algae, Symbiodiniaceae. International Journal of Molecular Sciences. 2023; 24(10):8712. https://doi.org/10.3390/ijms24108712
Chicago/Turabian StyleMohammad Aslam, Sabit, Imre Vass, and Milán Szabó. 2023. "Characterization of the Flash-Induced Fluorescence Wave Phenomenon in the Coral Endosymbiont Algae, Symbiodiniaceae" International Journal of Molecular Sciences 24, no. 10: 8712. https://doi.org/10.3390/ijms24108712
APA StyleMohammad Aslam, S., Vass, I., & Szabó, M. (2023). Characterization of the Flash-Induced Fluorescence Wave Phenomenon in the Coral Endosymbiont Algae, Symbiodiniaceae. International Journal of Molecular Sciences, 24(10), 8712. https://doi.org/10.3390/ijms24108712

