Impact of Functional Polymorphisms on Drug Survival of Biological Therapies in Patients with Moderate-to-Severe Psoriasis
Abstract
1. Introduction
2. Results
2.1. Patient Characteristics
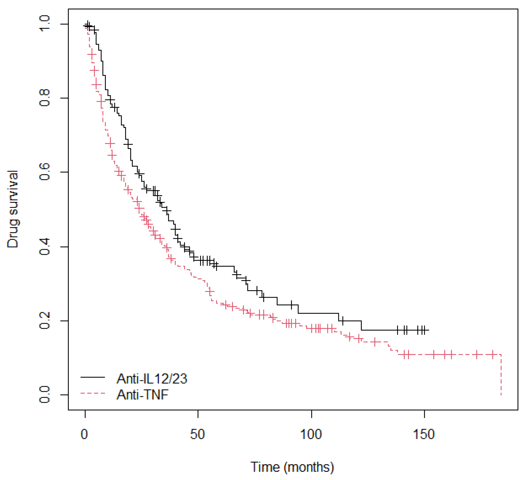
2.2. Survival of Biological Therapies and Reasons for Discontinuation
2.3. Influence of Clinical-Pathological Characteristics on Drug Survival
2.3.1. Anti-TNF
2.3.2. Anti-IL12/23
2.4. Genotype Distribution
2.5. Influence of Gene Polymorphisms on Survival
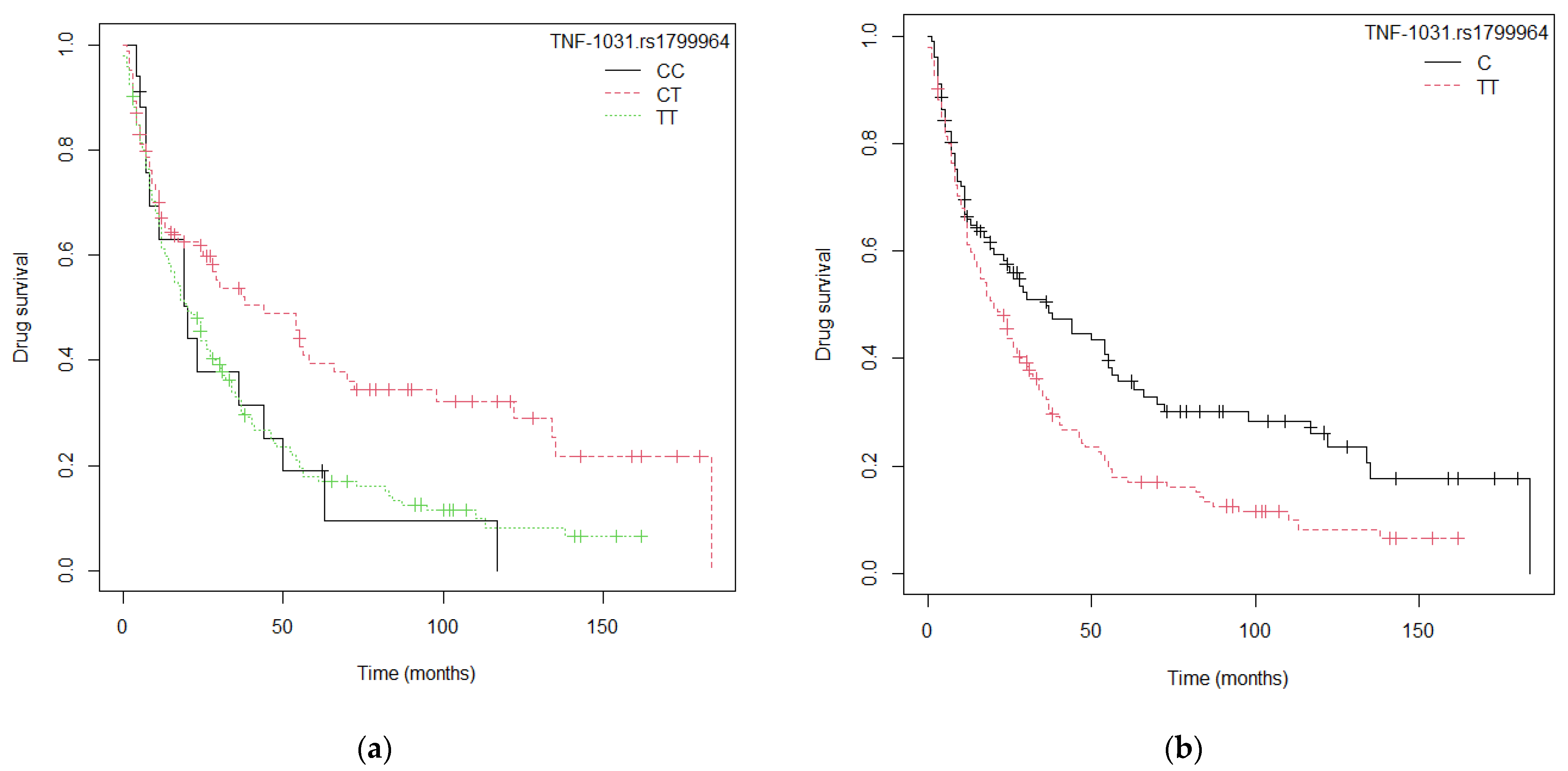
2.5.1. Anti-TNF
2.5.2. Anti-IL12/23
3. Discussion
4. Materials and Methods
4.1. Study Design
4.2. Ethics Statements
4.3. Study Population
4.4. Socio-Demographic and Clinical Variables
4.5. Sample Processing and Genotyping
4.5.1. DNA Isolation
4.5.2. Detection of Gene Polymorphisms and Quality Control
4.6. Survival Variables
4.7. Statistical Analysis
5. Conclusions
Supplementary Materials
Author Contributions
Funding
Institutional Review Board Statement
Informed Consent Statement
Data Availability Statement
Acknowledgments
Conflicts of Interest
References
- Boehncke, W.H. Etiology and Pathogenesis of Psoriasis. Rheum. Dis. Clin. N. Am. 2015, 41, 665–675. [Google Scholar] [CrossRef] [PubMed]
- Nast, A.; Gisondi, P.; Ormerod, A.D.; Saiag, P.; Smith, C.; Spuls, P.I.; Arenberger, P.; Bachelez, H.; Barker, J.; Dauden, E.; et al. European S3-Guidelines on the systemic treatment of psoriasis vulgaris--Update 2015--Short version--EDF in cooperation with EADV and IPC. J. Eur. Acad. Dermatol. Venereol. 2015, 29, 2277–2294. [Google Scholar] [CrossRef] [PubMed]
- Daudén, E.; Puig, L.; Ferrándiz, C.; Sánchez-Carazo, J.L.; Hernanz-Hermosa, J.M.; on behalf of the Spanish Psoriasis Group of the Spanish Academy of Dermatology and Venereology. Venereology, Consensus document on the evaluation and treatment of moderate-to-severe psoriasis: Psoriasis Group of the Spanish Academy of Dermatology and Venereology. J. Eur. Acad. Dermatol. Venereol. 2016, 30 (Suppl. 2), 1–18. [Google Scholar] [PubMed]
- Molina-Leyva, A.; Salvador-Rodriguez, L.; Martinez-Lopez, A.; Ruiz-Carrascosa, J.C.; Arias-Santiago, S. Association Between Psoriasis and Sexual and Erectile Dysfunction in Epidemiologic Studies: A Systematic Review. JAMA Dermatol. 2019, 155, 98–106. [Google Scholar] [CrossRef]
- Feldman, S.R. Psoriasis causes as much disability as other major medical diseases. J. Am. Acad. Dermatol. 2020, 82, 256–257. [Google Scholar] [CrossRef]
- Boeri, M.; Saure, D.; Schuster, C.; Hill, J.; Guerreiro, M.; Klein, K.; Hauber, B. Impact of clinical and demographic characteristics on patient preferences for psoriasis treatment features: Results from a discrete-choice experiment in a multicountry study. J. Dermatol. Treat. 2022, 33, 1598–1605. [Google Scholar] [CrossRef]
- Chandra, A.; Ray, A.; Senapati, S.; Chatterjee, R. Genetic and epigenetic basis of psoriasis pathogenesis. Mol. Immunol. 2015, 64, 313–323. [Google Scholar] [CrossRef]
- Dauden, E.; Carretero, G.; Rivera, R.; Ferrandiz, C.; Llamas-Velasco, M.; de la Cueva, P.; Belinchon, I.; Gomez-Garcia, F.J.; Herrera-Acosta, E.; Ruiz-Genao, D.P.; et al. Long term safety of nine systemic medications for psoriasis: A cohort study using the Biobadaderm Registry. J. Am. Acad. Dermatol. 2020, 83, 139–150. [Google Scholar] [CrossRef]
- Sawyer, L.M.; Malottki, K.; Sabry-Grant, C.; Yasmeen, N.; Wright, E.; Sohrt, A.; Borg, E.; Warren, R.B. Assessing the relative efficacy of interleukin-17 and interleukin-23 targeted treatments for moderate-to-severe plaque psoriasis: A systematic review and network meta-analysis of PASI response. PLoS ONE 2019, 14, e0220868. [Google Scholar] [CrossRef]
- Armstrong, A.W.; Puig, L.; Joshi, A.; Skup, M.; Williams, D.; Li, J.; Betts, K.A.; Augustin, M. Comparison of Biologics and Oral Treatments for Plaque Psoriasis: A Meta-analysis. JAMA Dermatol. 2020, 156, 258–269. [Google Scholar] [CrossRef]
- Armstrong, A.; Fahrbach, K.; Leonardi, C.; Augustin, M.; Neupane, B.; Kazmierska, P.; Betts, M.; Freitag, A.; Kiri, S.; Taieb, V.; et al. Efficacy of Bimekizumab and Other Biologics in Moderate to Severe Plaque Psoriasis: A Systematic Literature Review and a Network Meta-Analysis. Dermatol. Ther. 2022, 12, 1777–1792. [Google Scholar] [CrossRef] [PubMed]
- Peleva, E.; Exton, L.S.; Kelley, K.; Kleyn, C.E.; Mason, K.J.; Smith, C.H. Risk of cancer in patients with psoriasis on biological therapies: A systematic review. Br. J. Dermatol. 2018, 178, 103–113. [Google Scholar] [CrossRef] [PubMed]
- Sawyer, L.M.; Cornic, L.; Levin, L.A.; Gibbons, C.; Moller, A.H.; Jemec, G.B. Long-term efficacy of novel therapies in moderate-to-severe plaque psoriasis: A systematic review and network meta-analysis of PASI response. J. Eur. Acad. Dermatol. Venereol. 2019, 33, 355–366. [Google Scholar] [CrossRef] [PubMed]
- Bergen, L.L.T.; Petrovic, A.; Aarebrot, A.K.; Appel, S. The TNF/IL-23/IL-17 axis-Head-to-head trials comparing different biologics in psoriasis treatment. Scand. J. Immunol. 2020, 92, e12946. [Google Scholar] [CrossRef] [PubMed]
- Farhangian, M.E.; Feldman, S.R. Immunogenicity of biologic treatments for psoriasis: Therapeutic consequences and the potential value of concomitant methotrexate. Am. J. Clin. Dermatol. 2015, 16, 285–294. [Google Scholar] [CrossRef]
- Lunder, T.; Marko, P.; Kolar, N.K.; Kralj, B.; Leskovec, N.K. Drug survival of biologic therapies for the treatment of psoriasis: Results of Slovenian national registry. Biologicals 2018, 54, 44–49. [Google Scholar] [CrossRef]
- Lunder, T.; Zorko, M.S.; Kolar, N.K.; Suhodolcan, A.B.; Marovt, M.; Leskovec, N.K.; Marko, P.B. Drug survival of biological therapy is showing class effect: Updated results from Slovenian National Registry of psoriasis. Int. J. Dermatol. 2019, 58, 631–641. [Google Scholar] [CrossRef]
- Yiu, Z.Z.N.; Becher, G.; Kirby, B.; Laws, P.; Reynolds, N.J.; Smith, C.H.; Warren, R.B.; Griffiths, C.E.M.; Group, B.S. Drug Survival Associated with Effectiveness and Safety of Treatment with Guselkumab, Ixekizumab, Secukinumab, Ustekinumab, and Adalimumab in Patients With Psoriasis. JAMA Dermatol. 2022, 158, 1131–1141. [Google Scholar] [CrossRef]
- Egeberg, A. Predictors of drug survival for tumor necrosis factor-α and interleukin 12/23 antagonists in psoriasis. Br. J. Dermatol. 2016, 175, 247–248. [Google Scholar] [CrossRef]
- No, D.J.; Inkeles, M.S.; Amin, M.; Wu, J.J. Drug survival of biologic treatments in psoriasis: A systematic review. J. Dermatolog. Treat. 2018, 29, 460–466. [Google Scholar] [CrossRef]
- Balak, D.M.W.; Gerdes, S.; Parodi, A.; Salgado-Boquete, L. Long-term Safety of Oral Systemic Therapies for Psoriasis: A Comprehensive Review of the Literature. Dermatol. Ther. 2020, 10, 589–613. [Google Scholar] [CrossRef]
- Mourad, A.I.; Gniadecki, R. Biologic Drug Survival in Psoriasis: A Systematic Review & Comparative Meta-Analysis. Front. Med. (Lausanne) 2020, 7, 625755. [Google Scholar]
- Augustin, M.; McBride, D.; Gilloteau, I.; O’Neill, C.; Neidhardt, K.; Graham, C.N. Cost-effectiveness of secukinumab as first biologic treatment, compared with other biologics, for moderate to severe psoriasis in Germany. J. Eur. Acad. Dermatol. Venereol. 2018, 32, 2191–2199. [Google Scholar] [CrossRef]
- Jiménez, C.M.; Ramírez, C.P.; Martín, A.S.; Maroun, S.V.; Santiago, S.A.; Tortosa, M.C.R.; Morales, A.J. Clinical Application of Pharmacogenetic Markers in the Treatment of Dermatologic Pathologies. Pharmaceuticals 2021, 14, 905. [Google Scholar] [CrossRef]
- van Vugt, L.J.; van den Reek, J.M.P.A.; Hannink, G.; Coenen, M.J.H.; de Jong, E.M.G.J. Association of HLA-C*06:02 Status with Differential Response to Ustekinumab in Patients with Psoriasis: A Systematic Review and Meta-analysis. JAMA Dermatol. 2019, 155, 708–715. [Google Scholar] [CrossRef]
- Ovejero-Benito, M.C.; Muñoz-Aceituno, E.; Reolid, A.; Saiz-Rodríguez, M.; Abad-Santos, F.; Daudén, E. Pharmacogenetics and Pharmacogenomics in Moderate-to-Severe Psoriasis. Am. J. Clin. Dermatol. 2018, 19, 209–222. [Google Scholar] [CrossRef]
- Dand, N.; Duckworth, M.; Baudry, D.; Russell, A.; Curtis, C.J.; Lee, S.H.; Evans, I.; Mason, K.J.; Alsharqi, A.; Becher, G.; et al. HLA-C*06:02 genotype is a predictive biomarker of biologic treatment response in psoriasis. J. Allergy Clin. Immunol. 2019, 143, 2120–2130. [Google Scholar] [CrossRef]
- Linares-Pineda, T.M.; Cañadas-Garre, M.; Sánchez-Pozo, A.; Calleja-Hernández, M. Gene polymorphisms as predictors of response to biological therapies in psoriasis patients. Pharmacol. Res. 2016, 113, 71–80. [Google Scholar] [CrossRef]
- van den Reek, J.M.P.A.; Coenen, M.J.H.; van de L’Isle Arias, M.; Zweegers, J.; Rodijk-Olthuis, D.; Schalkwijk, J.; Vermeulen, S.H.; Joosten, I.; van de Kerkhof, P.C.M.; Seyger, M.M.B.; et al. Polymorphisms in CD84, IL12B and TNFAIP3 are associated with response to biologics in patients with psoriasis. Br. J. Dermatol. 2017, 176, 1288–1296. [Google Scholar] [CrossRef]
- Loft, N.D.; Skov, L.; Iversen, L.; Gniadecki, R.; Dam, T.N.; Brandslund, I.; Hoffmann, H.J.; Andersen, M.R.; Dessau, R.B.; Bergmann, A.C.; et al. Associations between functional polymorphisms and response to biological treatment in Danish patients with psoriasis. Pharm. J. 2018, 18, 494–500. [Google Scholar] [CrossRef]
- Jiménez, C.M.; Ramírez, C.P.; Martín, A.S.; Maroun, S.V.; Santiago, S.A.A.; Tortosa, M.D.C.R.; Morales, A.J. Influence of Genetic Polymorphisms on Response to Biologics in Moderate-to-Severe Psoriasis. J. Pers. Med. 2021, 11, 293. [Google Scholar] [CrossRef] [PubMed]
- Auton, A.; Brooks, L.D.; Durbin, R.M.; Garrison, E.P.; Kang, H.M.; Korbel, J.O.; Marchini, J.L.; McCarthy, S.; McVean, G.A.; Abecasis, G.R.; et al. A global reference for human genetic variation. Nature 2015, 526, 68–74. [Google Scholar] [PubMed]
- Prinz, J.C. Human Leukocyte Antigen-Class I Alleles and the Autoreactive T Cell Response in Psoriasis Pathogenesis. Front. Immunol. 2018, 9, 954. [Google Scholar] [CrossRef] [PubMed]
- Meyer, D.; Aguiar, V.R.C.; Bitarello, B.D.; Brandt, D.Y.C.; Nunes, K. A genomic perspective on HLA evolution. Immunogenetics 2018, 70, 5–27. [Google Scholar] [CrossRef]
- Martínez-Ramos, S.; Rafael-Vidal, C.; Pego-Reigosa, J.M.; García, S. Monocytes and Macrophages in Spondyloarthritis: Functional Roles and Effects of Current Therapies. Cells 2022, 11, 515. [Google Scholar] [CrossRef]
- Talamonti, M.; Galluzzo, M.; van den Reek, J.M.; de Jong, E.M.; Lambert, J.L.W.; Malagoli, P.; Bianchi, L.; Costanzo, A. Role of the HLA-C*06 allele in clinical response to ustekinumab: Evidence from real life in a large cohort of European patients. Br. J. Dermatol. 2017, 177, 489–496. [Google Scholar] [CrossRef]
- Prieto-Pérez, R.; Solano-López, G.; Cabaleiro, T.; Román, M.; Ochoa, D.; Talegón, M.; Baniandrés, O.; López-Estebaranz, J.L.; de la Cueva, P.; Daudén, E.; et al. New polymorphisms associated with response to anti-TNF drugs in patients with moderate-to-severe plaque psoriasis. Pharm. J. 2018, 18, 70–75. [Google Scholar] [CrossRef]
- Feng, B.J.; Sun, L.D.; Soltani-Arabshahi, R.; Bowcock, A.M.; Nair, R.P.; Stuart, P.; Elder, J.T.; Schrodi, S.J.; Begovich, A.B.; Abecasis, G.R.; et al. Multiple Loci within the major histocompatibility complex confer risk of psoriasis. PLoS Genet. 2009, 5, e1000606. [Google Scholar] [CrossRef]
- Caldarola, G.; Sgambato, A.; Fanali, C.; Moretta, G.; Farina, M.; Lucchetti, D.; Peris, K.; De Simone, C. HLA-Cw6 allele, NFkB1 and NFkBIA polymorphisms play no role in predicting response to etanercept in psoriatic patients. Pharm. Genom. 2016, 26, 423–427. [Google Scholar] [CrossRef]
- Ryan, C.; Kelleher, J.; Fagan, M.F.; Rogers, S.; Collins, P.; Barker, J.N.; Allen, M.; Hagan, R.; Renfro, L.; Kirby, B. Genetic markers of treatment response to tumor necrosis factor-α inhibitors in the treatment of psoriasis. Clin. Exp. Dermatol. 2014, 39, 519–524. [Google Scholar] [CrossRef]
- Gallo, E.; Cabaleiro, T.; Román, M.; Solano-López, G.; Abad-Santos, F.; García-Díez, A.; Daudén, E. The relationship between tumour necrosis factor (TNF)-α promoter and IL12B/IL-23R genes polymorphisms and the efficacy of anti-TNF-α therapy in psoriasis: A case-control study. Br. J. Dermatol. 2013, 169, 819–829. [Google Scholar] [CrossRef]
- Talamonti, M.; Galluzzo, M.; Botti, E.; Pavlidis, A.; Spallone, G.; Chimenti, S.; Costanzo, A. Potential role of HLA-Cw6 in clinical response to anti-tumour necrosis factor alpha and T-cell targeting agents in psoriasis patients. Clin. Drug Investig. 2013, 33, S71–S73. [Google Scholar]
- Griffiths, C.E.; Barker, J.N. Pathogenesis and clinical features of psoriasis. Lancet 2007, 370, 263–271. [Google Scholar] [CrossRef]
- Boyman, O.; Hefti, H.P.; Conrad, C.; Nickoloff, B.J.; Suter, M.; Nestle, F.O. Spontaneous development of psoriasis in a new animal model shows an essential role for resident T cells and tumor necrosis factor-alpha. J. Exp. Med. 2004, 199, 731–736. [Google Scholar] [CrossRef]
- Wang, L.; Zhou, H. A Meta-Analysis of the Relationship between Tumor Necrosis Factor-α Polymorphisms and Psoriasis. Dermatology 2019, 237, 39–45. [Google Scholar] [CrossRef]
- Vijay-Kumar, M.; Aitken, J.D.; Carvalho, F.A.; Cullender, T.C.; Mwangi, S.; Srinivasan, S.; Sitaraman, S.V.; Knight, R.; Ley, R.E.; Gewirtz, A.T. Metabolic syndrome and altered gut microbiota in mice lacking Toll-like receptor 5. Science 2010, 328, 228–231. [Google Scholar] [CrossRef]
- Choi, Y.J.; Im, E.; Chung, H.K.; Pothoulakis, C.; Rhee, S.H. TRIF mediates Toll-like receptor 5-induced signaling in intestinal epithelial cells. J. Biol. Chem. 2010, 285, 37570–37578. [Google Scholar] [CrossRef]
- Sheridan, J.; Mack, D.R.; Amre, D.K.; Israel, D.M.; Cherkasov, A.; Li, H.; Grimard, G.; Steiner, T.S. A non-synonymous coding variant (L616F) in the TLR5 gene is potentially associated with Crohn’s disease and influences responses to bacterial flagellin. PLoS ONE 2013, 8, e61326. [Google Scholar] [CrossRef]
- Klimosch, S.N.; Försti, A.; Eckert, J.; Knezevic, J.; Bevier, M.; von Schönfels, W.; Heits, N.; Walter, J.; Hinz, S.; Lascorz, J.; et al. Functional TLR5 genetic variants affect human colorectal cancer survival. Cancer Res. 2013, 73, 7232–7242. [Google Scholar] [CrossRef]
- Dhiman, N.; Ovsyannikova, I.G.; Vierkant, R.A.; Ryan, J.E.; Pankratz, V.S.; Jacobson, R.M.; Poland, G.A. Associations between SNPs in toll-like receptors and related intracellular signaling molecules and immune responses to measles vaccine: Preliminary results. Vaccine 2008, 26, 1731–1736. [Google Scholar] [CrossRef]
- Cui, J.; Stahl, E.A.; Saevarsdottir, S.; Miceli, C.; Diogo, D.; Trynka, G.; Raj, T.; Mirkov, M.U.; Canhao, H.; Ikari, K.; et al. Genome-wide association study and gene expression analysis identifies CD84 as a predictor of response to etanercept therapy in rheumatoid arthritis. PLoS Genet. 2013, 9, e1003394. [Google Scholar] [CrossRef] [PubMed]
- McArdel, S.L.; Terhorst, C.; Sharpe, A.H. Roles of CD48 in regulating immunity and tolerance. Clin. Immunol. 2016, 164, 10–20. [Google Scholar] [CrossRef]
- Julià, A.; Ferrándiz, C.; Dauden, E.; Fonseca, E.; Fernández-López, E.; Sanchez-Carazo, J.L.; Vanaclocha, F.; Puig, L.; Moreno-Ramírez, D.; Lopez-Estebaranz, J.L.; et al. Association of the PDE3A-SLCO1C1 locus with the response to anti-TNF agents in psoriasis. Pharm. J. 2015, 15, 322–325. [Google Scholar] [CrossRef]
- Nast, A.; Smith, C.; Spuls, P.I.; Valle, G.A.; Bata-Csörgö, Z.; Boonen, H.; De Jong, E.; Garcia-Doval, I.; Gisondi, P.; Kaur-Knudsen, D.; et al. EuroGuiDerm Guideline on the systemic treatment of Psoriasis vulgaris—Part 1: Treatment and monitoring recommendations. J. Eur. Acad. Dermatol. Venereol. 2020, 34, 2461–2498. [Google Scholar] [CrossRef]
- R Core Team. A Language and Environment for Statistical Computing 4.0.2; R Core Team: Vienna, Austria, 2020. [Google Scholar]
- Purcell, S.; Neale, B.; Todd-Brown, K.; Thomas, L.; Ferreira, M.A.; Bender, D.; Maller, J.; Sklar, P.; de Bakker, P.I.; Daly, M.J.; et al. PLINK: A tool set for whole-genome association and population-based linkage analyses. Am. J. Hum. Genet. 2007, 81, 559–575. [Google Scholar] [CrossRef]
- Barrett, J.C.; Fry, B.; Maller, J.; Daly, M.J. Haploview: Analysis and visualization of LD and haplotype maps. Bioinformatics 2005, 21, 263–265. [Google Scholar] [CrossRef]
- Solé, X.; Guinó, E.; Valls, J.; Iniesta, R.; Moreno, V. SNPStats: A web tool for the analysis of association studies. Bioinformatics 2006, 22, 1928–1929. [Google Scholar] [CrossRef]






| ADA | Adalimumab |
|---|---|
| ANTI-IL12/23 | Il-12 and Il-23 inhibitor drug |
| ANTI-TNF | Tumor necrosis factor inhibitors drugs |
| BCL2 | Apoptosis regulator Bcl-2 |
| BTs | Biological therapies |
| CD84 | CD84 receptor |
| CDKAL1 | CDK5 regulatory subunit associated protein 1 like 1 |
| CTL | Certolizumab |
| ETN | Etanercept |
| FCGR | Fc gamma receptor |
| HLA | Human leukocyte antigen |
| IL | Interleukins |
| IL-17RA | Interleukins 17-A receptor |
| IL-23R | Interleukins 23 receptor |
| INF | Infliximab |
| LY96 | Lymphocyte antigen 96 |
| PDE3A | Fosfodiesterase 3A |
| PGLYR | Peptidoglycan recognition protein 4 |
| SLC | Solute carrier family |
| SNPs | Single-nucleotide polymorphisms |
| TIRAP | TIR domain containing the Adaptor Protein |
| TLR | Toll-like receptor |
| TNF | Tumor necrosis factor |
| TNFAIP3 | Tumor necrosis factor alpha-induced protein 3 |
| UTK | Ustekinumab |
| Variable | All Treatments (379) | Anti-TNF (247) | Anti-IL12/23 (132) | |||
|---|---|---|---|---|---|---|
| N | % or Mean ± SD | N | % or Mean ± SD | N | % or Mean ± SD | |
| Female | 199 | 51.61 | 122 | 49.39 | 77 | 58.33 |
| Age at baseline | 324 | 54 (42.75–63) | 197 | 54.29 ± 13.45 | 127 | 51.53 ± 13.13 |
| BMI at baseline | 376 | 27.68 (24.22–31.47) | 245 | 27.42 (24.22–30.48) | 131 | 29.26 ± 6.13 |
| Normal weight | 114 | 30.89 | 78 | 32.37 | 36 | 28.12 |
| Overweight | 132 | 35.77 | 90 | 37.34 | 42 | 32.81 |
| Obesity Type I | 76 | 20.60 | 45 | 18.67 | 31 | 24.22 |
| Obesity Type II | 29 | 7.86 | 17 | 7.05 | 12 | 9.38 |
| Obesity Type III | 18 | 4.88 | 11 | 4.56 | 7 | 5.47 |
| Comorbidities | ||||||
| Psoriatic arthritis | 192 | 50.66 | 129 | 52.23 | 63 | 47.73 |
| Hypertension | 137 | 36.15 | 96 | 38.87 | 41 | 31.06 |
| Dyslipidaemia | 168 | 44.33 | 111 | 44.94 | 57 | 43.18 |
| Other comorbidities | 254 | 67.02 | 160 | 64.78 | 94 | 71.21 |
| Age at PS diagnosis | 379 | 28 (18–42) | 247 | 29 (18.5–42.5) | 132 | 26 (16–39.25) |
| Family history of PS | 210 | 55.85 | 133 | 54.51 | 77 | 58.33 |
| Type of PS | ||||||
| Plaque | 352 | 92.88 | 231 | 93.52 | 121 | 91.67 |
| Other types of PS | 27 | 7.12 | 16 | 6.48 | 11 | 8.33 |
| Location of lesions | ||||||
| Trunk and limbs | 347 | 91.56 | 227 | 91.9 | 120 | 90.91 |
| Scalp and face | 251 | 66.23 | 153 | 61.94 | 98 | 74.24 |
| Nails | 162 | 42.74 | 96 | 38.87 | 66 | 50 |
| Palmoplantar | 62 | 16.36 | 40 | 16.19 | 22 | 16.67 |
| Flexures | 117 | 30.87 | 68 | 27.53 | 49 | 37.12 |
| Genital | 45 | 12.03 | 24 | 9.8 | 21 | 16.28 |
| Bio-naive | 182 | 48.02 | 138 | 55.87 | 44 | 33.33 |
| Lines of treatment | 379 | 3 (2–4) | 247 | 3 (2–4) | 132 | 4 (3–5) |
| Discontinuation of BT | ||||||
| No | 99 | 26.12 | 54 | 21.86 | 45 | 34.09 |
| Yes | 280 | 73.88 | 193 | 78.14 | 87 | 65.91 |
| Discontinuation of BT and reason | 280 | 73.88 | ||||
| Ineffective in the short term | 36 | 9.50 | 26 | 10.53 | 10 | 7.58 |
| Ineffective in the long term | 152 | 40.11 | 95 | 38.46 | 57 | 43.18 |
| Remission therapy | 17 | 4.49 | 15 | 6.07 | 2 | 1.52 |
| Adverse events | 56 | 14.78 | 42 | 17 | 13 | 9.85 |
| Other reasons | 19 | 5.01 | 15 | 6.07 | 5 | 3.79 |
| Concomitant treatment for PS | ||||||
| Acitretin | 2 | 0.53 | 2 | 0.81 | – | – |
| Cyclosporine | 6 | 1.58 | 4 | 1.62 | 2 | 1.52 |
| Methotrexate | 52 | 13.72 | 32 | 12.96 | 20 | 15.15 |
| Topicals | 102 | 26.91 | 55 | 22.27 | 47 | 35.61 |
| Adherent to BT | ||||||
| Yes | 293 | 78.55 | 195 | 80.58 | 98 | 74.81 |
| No | 80 | 21.45 | 47 | 19.42 | 33 | 25.19 |
| Baseline PASI | 239 | 8.2 (5–10.7) | 132 | 9.1 (5.17–12) | 107 | 7.2 (4–10) |
| Duration of BT | ||||||
| Months | 379 | 24 (9–51.5) | 247 | 21 (8–52.5) | 132 | 28.5 (13.25–50.25) |
| Days | 379 | 742 (288.5–1584) | 247 | 666 (249–1603) | 132 | 884.5 (397.5–1506.75) |
| Anti-TNF Drug Survival | |||
|---|---|---|---|
| HR | 95% CI | p-Value | |
| Age at baseline | 0.981 | 0.96–0.99 | 0.004 |
| Bio-naïve | 0.653 | 0.46–0.91 | 0.013 |
| HLA-C rs12191877 (T vs. CC) | 0.560 | 0.40–0.78 | 0.0006 |
| TNF-1031 (rs1799964) (C vs. TT) | 0.707 | 0.50–0.99 | 0.048 |
| Anti-IL12/23 Drug Survival | |||
|---|---|---|---|
| HR | 95% CI | p-Value | |
| Psoriatic arthritis | 2.526 | 1.61–3.96 | 0.00005 |
| TLR5 rs5744174 [G vs. AA] | 0.589 | 0.37–0.92 | 0.02 |
| CD84 rs6427528 [GG vs. A] | 0.557 | 0.35–0.88 | 0.013 |
| PDE3A rs11045392; SLCO1C1 rs3794271 [T vs. CC] | 0.508 | 0.32–0.79 | 0.002 |
| Gene | dbSNP ID | Taqman ID | Gene | dbSNP ID | Taqman ID |
|---|---|---|---|---|---|
| BCL2 | rs59532114 | ANFVZRF * | PDE3A | rs11045392 | C__31106576_10 |
| CD84 | rs6427528 | C__29332612_10 | PGLYRP4-24 | rs2916205 | C___9092093_10 |
| CDKAL1 | rs6908425 | C___2504037_10 | SLCO1C1 | rs3794271 | C__27502188_10 |
| FCGR2A | rs1801274 | C___9077561_20 | TIRAP | rs8177374 | C_25983622_10 |
| FCGR3A | rs396991 | C__25815666_10 | TLR2 | rs4696480 | C__27994607_10 |
| HLA-B/MICA | rs13437088 | ANPRYYF * | TLR2 | rs11938228 | C__32212770_10 |
| HLA-C | rs12191877 | C_176062476_10 | TLR5 | rs5744174 | C_25608809_10 |
| IL12B | rs3213094 | C__29927086_10 | TLR9 | rs352139 | C___2301953_10 |
| IL12B | rs2546890 | C__15894458_10 | TNFAIP3 | rs610604 | C____884105_20 |
| IL17RA | rs4819554 | C____337392_30 | TNFRSF1B | rs1061622 | C___8861232_20 |
| IL1B-623 | rs1143623 | C__1839941_10 | TNF-1031 | rs1799964 | C___7514871_10 |
| IL1B-627 | rs1143627 | C__1839944_10 | TNF-238 | rs361525 | C___2215707_10 |
| IL23R | rs11209026 | C___1272298_10 | TNF-308 | rs1800629 | C__7514879_10 |
| IL6 | rs1800795 | C__1839697_20 | TNF-857 | rs1799724 | C__11918223_10 |
| LY96 | rs11465996 | C__30755344_10 |
Disclaimer/Publisher’s Note: The statements, opinions and data contained in all publications are solely those of the individual author(s) and contributor(s) and not of MDPI and/or the editor(s). MDPI and/or the editor(s) disclaim responsibility for any injury to people or property resulting from any ideas, methods, instructions or products referred to in the content. |
© 2023 by the authors. Licensee MDPI, Basel, Switzerland. This article is an open access article distributed under the terms and conditions of the Creative Commons Attribution (CC BY) license (https://creativecommons.org/licenses/by/4.0/).
Share and Cite
Membrive-Jiménez, C.; Pérez-Ramírez, C.; Arias-Santiago, S.; Richetta, A.G.; Ottini, L.; Pineda-Lancheros, L.E.; Ramírez-Tortosa, M.d.C.; Jiménez-Morales, A. Impact of Functional Polymorphisms on Drug Survival of Biological Therapies in Patients with Moderate-to-Severe Psoriasis. Int. J. Mol. Sci. 2023, 24, 8703. https://doi.org/10.3390/ijms24108703
Membrive-Jiménez C, Pérez-Ramírez C, Arias-Santiago S, Richetta AG, Ottini L, Pineda-Lancheros LE, Ramírez-Tortosa MdC, Jiménez-Morales A. Impact of Functional Polymorphisms on Drug Survival of Biological Therapies in Patients with Moderate-to-Severe Psoriasis. International Journal of Molecular Sciences. 2023; 24(10):8703. https://doi.org/10.3390/ijms24108703
Chicago/Turabian StyleMembrive-Jiménez, Cristina, Cristina Pérez-Ramírez, Salvador Arias-Santiago, Antonio Giovanni Richetta, Laura Ottini, Laura Elena Pineda-Lancheros, Maria del Carmen Ramírez-Tortosa, and Alberto Jiménez-Morales. 2023. "Impact of Functional Polymorphisms on Drug Survival of Biological Therapies in Patients with Moderate-to-Severe Psoriasis" International Journal of Molecular Sciences 24, no. 10: 8703. https://doi.org/10.3390/ijms24108703
APA StyleMembrive-Jiménez, C., Pérez-Ramírez, C., Arias-Santiago, S., Richetta, A. G., Ottini, L., Pineda-Lancheros, L. E., Ramírez-Tortosa, M. d. C., & Jiménez-Morales, A. (2023). Impact of Functional Polymorphisms on Drug Survival of Biological Therapies in Patients with Moderate-to-Severe Psoriasis. International Journal of Molecular Sciences, 24(10), 8703. https://doi.org/10.3390/ijms24108703

