A Case–Control Study by ddPCR of ALU 260/111 and LINE-1 266/97 Copy Number Ratio in Circulating Cell-Free DNA in Plasma Revealed LINE-1 266/97 as a Potential Biomarker for Early Breast Cancer Detection
Abstract
1. Introduction
2. Results
2.1. Characateristics of the Study Population
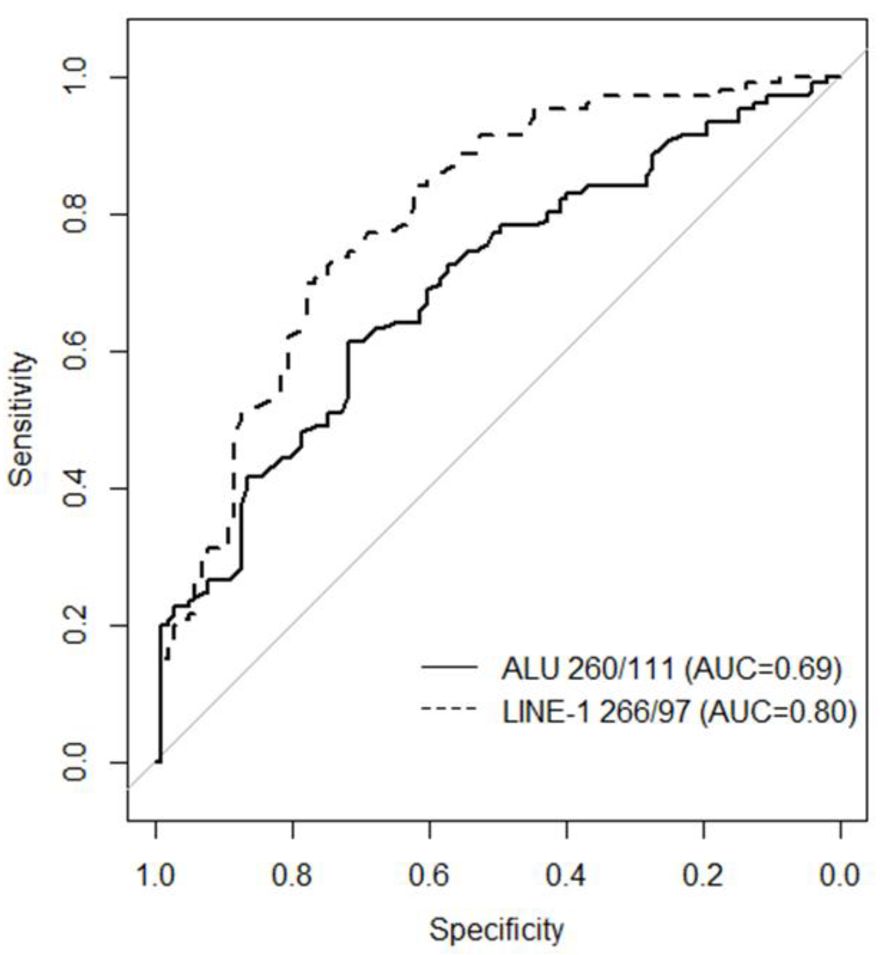
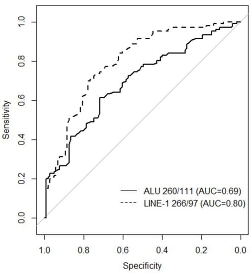
2.2. Evaluation of ALU 260/111 and LINE-1 266/97 Copy Number Ratio in Plasma of BC Patients and Healthy Controls
2.3. Correlation between Clinical Parameters and ALU 260/111 or LINE-1 266/97 Copy Number Ratio
2.4. Evaluation of the Cell-Free DNA Integrity (cfDI) of ALU 260/111 and LINE-1 266/97 in BC Patients and Healthy Controls
2.5. Deepening Larger or Shorter Fragments Quantity Variation in Copy Number Ratio
3. Discussion
4. Materials and Methods
4.1. Study Population
4.2. Plasma Preparation and DNA Extraction
4.3. Digital Droplet PCR Quantification of ALU and LINE-1 Copy Number, cfDI, and EEF1A2 cfDNA Quantity in Plasma
4.4. Statistical Analyses and Data Visualization
5. Conclusions
Supplementary Materials
Author Contributions
Funding
Institutional Review Board Statement
Informed Consent Statement
Data Availability Statement
Acknowledgments
Conflicts of Interest
References
- Trapani, D.; Ginsburg, O.; Fadelu, T.; Lin, N.U.; Hassett, M.; Ilbawi, A.M.; Anderson, B.O.; Curigliano, G. Global Challenges and Policy Solutions in Breast Cancer Control. Cancer Treat. Rev. 2022, 104, 102339. [Google Scholar] [CrossRef] [PubMed]
- Timmermans, L.; De Brabander, I.; Van Damme, N.; Bleyen, L.; Martens, P.; Van Herck, K.; Thierens, H.; Bacher, K.; Depypere, H. Tumour Characteristics of Screen-Detected and Interval Cancers in the Flemish Breast Cancer Screening Programme: A Mammographic Breast Density Study. Maturitas 2022, 158, 55–60. [Google Scholar] [CrossRef]
- Gao, Y.; Samreen, N.; Heller, S.L. Non-BRCA Early-Onset Breast Cancer in Young Women. Radiographics 2022, 42, 5–22. [Google Scholar] [CrossRef] [PubMed]
- Duque, G.; Manterola, C.; Otzen, T.; Arias, C.; Galindo, B.; Mora, M.; Guerrero, E.; García, N. Clinical Utility of Liquid Biopsy in Breast Cancer: A Systematic Review. Clin. Genet. 2022, 101, 285–295. [Google Scholar] [CrossRef]
- Alborelli, I.; Generali, D.; Jermann, P.; Cappelletti, M.R.; Ferrero, G.; Scaggiante, B.; Bortul, M.; Zanconati, F.; Nicolet, S.; Haegele, J.; et al. Cell-Free DNA Analysis in Healthy Individuals by next-Generation Sequencing: A Proof of Concept and Technical Validation Study. Cell Death Dis. 2019, 10, 534. [Google Scholar] [CrossRef]
- Sobhani, N.; Generali, D.; Zanconati, F.; Bortul, M.; Scaggiante, B. Cell-Free DNA Integrity for the Monitoring of Breast Cancer: Future Perspectives? World J. Clin. Oncol. 2018, 9, 26–32. [Google Scholar] [CrossRef]
- Madhavan, D.; Wallwiener, M.; Bents, K.; Zucknick, M.; Nees, J.; Schott, S.; Cuk, K.; Riethdorf, S.; Trumpp, A.; Pantel, K.; et al. Plasma DNA Integrity as a Biomarker for Primary and Metastatic Breast Cancer and Potential Marker for Early Diagnosis. Breast Cancer Res. Treat. 2014, 146, 163–174. [Google Scholar] [CrossRef]
- Chénais, B. Transposable Elements and Human Diseases: Mechanisms and Implication in the Response to Environmental Pollutants. Int. J. Mol. Sci. 2022, 23, 2551. [Google Scholar] [CrossRef]
- Nielsen, T.O.; Leung, S.C.Y.; Rimm, D.L.; Dodson, A.; Acs, B.; Badve, S.; Denkert, C.; Ellis, M.J.; Fineberg, S.; Flowers, M.; et al. Assessment of Ki67 in Breast Cancer: Updated Recommendations from the International Ki67 in Breast Cancer Working Group. J. Natl. Cancer Inst. 2021, 113, 808–819. [Google Scholar] [CrossRef] [PubMed]
- Kumar, S.; Nadda, N.; Paul, S.; Gamanagatti, S.; Dash, N.R.; Vanamail, P.; Saraya, A.; Shalimar; Nayak, B. Evaluation of the Cell-Free DNA Integrity Index as a Liquid Biopsy Marker to Differentiate Hepatocellular Carcinoma from Chronic Liver Disease. Front. Mol. Biosci. 2022, 9, 1024193. [Google Scholar] [CrossRef]
- Gautschi, O.; Bigosch, C.; Huegli, B.; Jermann, M.; Marx, A.; Chassé, E.; Ratschiller, D.; Weder, W.; Joerger, M.; Betticher, D.C.; et al. Circulating Deoxyribonucleic Acid as Prognostic Marker in Non-Small-Cell Lung Cancer Patients Undergoing Chemotherapy. J. Clin. Oncol. 2004, 22, 4157–4164. [Google Scholar] [CrossRef]
- Kazazian, H.H.; Moran, J.V. Mobile DNA in Health and Disease. N. Engl. J. Med. 2017, 377, 361–370. [Google Scholar] [CrossRef] [PubMed]
- Ma, G.; Wang, J.; Huang, H.; Han, X.; Xu, J.; Selvamanee Veeramootoo, J.; Xia, T.; Wang, S.; Shui Wang, C. Identification of the Plasma Total CfDNA Level before and after Chemotherapy as an Indicator of the Neoadjuvant Chemotherapy Response in Locally Advanced Breast Cancer. Cancer Med. 2020, 9, 2271–2282. [Google Scholar] [CrossRef] [PubMed]
- Wang, W.; Zhang, W.; Su, L.; Sang, J.; Wang, S.; Yao, Y. Plasma Cell-Free DNA Integrity: A Potential Biomarker to Monitor the Response of Breast Cancer to Neoadjuvant Chemotherapy. Transl. Cancer Res. 2019, 8, 1531–1539. [Google Scholar] [CrossRef]
- Nair, M.G.; Ramesh, R.S.; Naidu, C.M.; Mavatkar, A.D.; V.P., S.; Ramamurthy, V.; Somashekaraiah, V.M.; C.E., A.; Raghunathan, K.; Panigrahi, A.; et al. Estimation of ALU Repetitive Elements in Plasma as a Cost-Effective Liquid Biopsy Tool for Disease Prognosis in Breast Cancer. Cancers 2023, 15, 1054. [Google Scholar] [CrossRef]
- Cheng, J.; Holland-Letz, T.; Wallwiener, M.; Surowy, H.; Cuk, K.; Schott, S.; Trumpp, A.; Pantel, K.; Sohn, C.; Schneeweiss, A.; et al. Circulating Free DNA Integrity and Concentration as Independent Prognostic Markers in Metastatic Breast Cancer. Breast Cancer Res. Treat. 2018, 169, 69–82. [Google Scholar] [CrossRef] [PubMed]
- Miao, Y.; Fan, Y.; Zhang, L.; Ma, T.; Li, R. Cellular and Molecular Biology Clinical Value of Plasma CfDNA Concentration and Integrity in Breast Cancer Patients. Cell. Mol. Biol. 2019, 65, 64–72. [Google Scholar] [CrossRef]
- Umetani, N.; Giuliano, A.E.; Hiramatsu, S.H.; Amersi, F.; Nakagawa, T.; Martino, S.; Hoon, D.S.B. Prediction of Breast Tumor Progression by Integrity of Free Circulating DNA in Serum. J. Clin. Oncol. 2006, 24, 4270–4276. [Google Scholar] [CrossRef]
- Mettler, E.; Fottner, C.; Bakhshandeh, N.; Trenkler, A.; Kuchen, R.; Weber, M.M. Quantitative Analysis of Plasma Cell-Free DNA and Its DNA Integrity and Hypomethylation Status as Biomarkers for Tumor Burden and Disease Progression in Patients with Metastatic Neuroendocrine Neoplasias. Cancers 2022, 14, 1025. [Google Scholar] [CrossRef]
- Rapado-González, Ó.; López-Cedrún, J.L.; Lago-Lestón, R.M.; Abalo, A.; Rubin-Roger, G.; Salgado-Barreira, Á.; López-López, R.; Muinelo-Romay, L.; Suárez-Cunqueiro, M.M. Integrity and Quantity of Salivary Cell-Free DNA as a Potential Molecular Biomarker in Oral Cancer: A Preliminary Study. J. Oral Pathol. Med. 2022, 51, 429–435. [Google Scholar] [CrossRef]
- Thierry, A.R.; El Messaoudi, S.; Gahan, P.B.; Anker, P.; Stroun, M. Origins, Structures, and Functions of Circulating DNA in Oncology. Cancer Metastasis Rev. 2016, 35, 347–376. [Google Scholar] [CrossRef]
- Cristiano, S.; Leal, A.; Phallen, J.; Fiksel, J.; Adleff, V.; Bruhm, D.C.; Østrup Jensen, S.; Medina, J.; Hruban, C.; White, J.; et al. Genome-Wide Cell-Free DNA Fragmentation in Patients with Cancer. Nature 2019, 570, 385–389. [Google Scholar] [CrossRef] [PubMed]
- Jahr, S.; Hentze, H.; Englisch, S.; Hardt, D.; Fackelmayer, F.O.; Hesch, R.-D.; Knippers, R. DNA Fragments in the Blood Plasma of Cancer Patients: Quantitations and Evidence for Their Origin from Apoptotic and Necrotic Cells. Cancer Res. 2001, 61, 1659–1665. [Google Scholar]
- Jin, Z.; El-Deiry, W.S. Overview of Cell Death Signaling Pathways. Cancer Biol. Ther. 2005, 4, 147–171. [Google Scholar] [CrossRef]
- Van Der Vaart, M.; Pretorius, P.J. The Origin of Circulating Free DNA. Clin. Chem. 2007, 53, 2215. [Google Scholar] [CrossRef] [PubMed]
- Lo, Y.M.D.; Han, D.S.C.; Jiang, P.; Chiu, R.W.K. Epigenetics, Fragmentomics, and Topology of Cell-Free DNA in Liquid Biopsies. Science 2021, 372, eaaw3616. [Google Scholar] [CrossRef]
- Ding, S.C.; Lo, Y.M.D. Cell-Free DNA Fragmentomics in Liquid Biopsy. Diagnostics 2022, 12, 978. [Google Scholar] [CrossRef] [PubMed]
- Breitbach, S.; Tug, S.; Simon, P. Circulating Cell-Free DNA: An up-Coming Molecular Marker in Exercise Physiology. Sports Med. 2012, 42, 565–586. [Google Scholar] [CrossRef]
- Tai, A.C.; Parfenov, M.; Gorham, J.M. Droplet Digital PCR with EvaGreen Assay: Confirmational Analysis of Structural Variants. Curr. Protoc. Hum. Genet. 2018, 97, e58. [Google Scholar] [CrossRef]
- DeLong, E.R.; DeLong, D.M.; Clarke-Pearson, D.L. Comparing the Areas under Two or More Correlated Receiver Operating Characteristic Curves: A Nonparametric Approach. Biometrics 1988, 44, 837. [Google Scholar] [CrossRef]
- Gianni, C.; Palleschi, M.; Merloni, F.; Di Menna, G.; Sirico, M.; Sarti, S.; Virga, A.; Ulivi, P.; Cecconetto, L.; Mariotti, M.; et al. Cell-Free DNA Fragmentomics: A Promising Biomarker for Diagnosis, Prognosis and Prediction of Response in Breast Cancer. Int. J. Mol. Sci. 2022, 23, 14197. [Google Scholar] [CrossRef] [PubMed]




| Variable | Case Cohort (n = 106) |
|---|---|
| Mean Age, years (SD) | 62 (13) |
| Age (N,%) | |
| <60 | 47 (44.3%) |
| ≥60 | 59 (55.7%) |
| Type of Tumor (N,%) | |
| In situ | 8 (7.6%) |
| Invasive | 98 (92.4%) |
| Surgery (N,%) | |
| Conservative | 66 (62.3%) |
| Mastectomy | 40 (37.7%) |
| Tumor dimension (N,%) | |
| In situ | 8 (7.6%) |
| <2 cm | 70 (66.0%) |
| ≥2 cm | 28 (26.4%) |
| Lymph node status (N,%) | |
| N0 | 82 (77.4%) |
| N+ | 24 (22.6%) |
| Ki-67 (N,%) | |
| <20 | 60 (56.6%) |
| ≥20 | 46 (43.4%) |
| Grading (N,%) | |
| G1 | 24 (22.6%) |
| G2 | 46 (43.4%) |
| G3 | 36 (34.0%) |
| Molecular Profile Invasive BC (N,%) | |
| Luminal-like | 76 (77.6%) |
| Her2+ | 12 (12.2%) |
| Triple Negative | 10 (10.2%) |
| Variable | ALU 260/111 Copy Number Ratio Median (Min-Max) | p-Value | LINE-1 266/97 Copy Number Ratio Median (Min-Max) | p-Value |
|---|---|---|---|---|
| Age | ||||
| <60 | 0.08 (0.04–0.16) | 0.31 | 0.18 (0.10–0.35) | 0.54 |
| ≥60 | 0.08 (0.03–0.34) | 0.18 (0.08–0.42) | ||
| Type of Tumor | ||||
| In situ | 0.07 (0.03–0.11) | 0.41 | 0.20 (0.08–0.26) | 0.92 |
| Invasive | 0.08 (0.03–0.34) | 0.19 (0.08–0.42) | ||
| Surgery | ||||
| Conservative | 0.07 (0.03–0.34) | 0.53 | 0.20 (0.08–0.37) | 0.43 |
| Mastectomy | 0.08 (0.04–0.16) | 0.19 (0.08–0.42) | ||
| Tumor dimension | ||||
| in situ | 0.07 (0.03–0.11) | 0.70 | 0.20 (0.08–0.26) | 0.44 |
| <2 cm | 0.08 (0.04–0.34) | 0.20 (0.08–0.35) | ||
| ≥2 cm | 0.08 (0.03–0.16) | 0.19 (0.08–0.42) | ||
| Lymph node status | ||||
| N0 | 0.07 (0.03–0.34) | 0.002 | 0.19 (0.08–0.37) | 0.62 |
| N+ | 0.09 (0.04–0.16) | 0.20 (0.10–0.42) | ||
| Ki67 | ||||
| <20 | 0.07 (0.03–0.34) | 0.53 | 0.20 (0.08–0.37) | 0.64 |
| ≥20 | 0.08 (0.04–0.16) | 0.19 (0.08–0.42) | ||
| Grading | ||||
| G1–G2 | 0.08 (0.03–0.34) | 0.06 | 0.20 (0.08–0.37) | 0.94 |
| G3 | 0.09 (0.04–0.16) | 0.20 (0.08–0.42) | ||
| Molecular Profile | ||||
| Luminal-like | 0.08 (0.04–0.34) | 0.73 | 0.20 (0.08–0.42) | 0.06 |
| Her2+ | 0.08 (0.04–0.11) | 0.18 (0.10–0.30) | ||
| Triple Negative | 0.08 (0.04–0.12) | 0.15 (0.10–0.25) |
| Study Groups | cfDI ALU 260/111 | n | cfDI LINE-1 266/97 | n |
|---|---|---|---|---|
| PBMC from healthy donors | 0.85 ± 0.12 (0.74–0.99) | 5 | 1.14 ± 0.13 (1.04–1.29) | 3 |
| Healthy Controls | 0.23 ± 0.09 (0.06–0.72) | 103 | 0.77 ± 0.45 (0.15–3.97) | 103 |
| BC Patients | 0.17 ± 0.25 (0.02–2.21) * | 106 | 0.53 ± 0.25 (0.08–1.66) ** | 106 |
| Study Groups | ALU 260 | ALU 111 | LINE-1 266 | LINE-1 97 | n |
|---|---|---|---|---|---|
| Healthy controls | 14,404 ± 5673 (3500–37,629) | 148,630 ± 50,708 (25,791–306,666) | 1744 ± 673 (330–4481) | 6193 ± 2145 (1163–14,733) | 103 |
| BC patients | 11,445 ± 7904 * (3200–82,377) | 154,339 ± 112,700 (14,462 –715,800) | 1207 ± 385 * (155–2325) | 6295 ± 1843 (2601–11,955) | 106 |
Disclaimer/Publisher’s Note: The statements, opinions and data contained in all publications are solely those of the individual author(s) and contributor(s) and not of MDPI and/or the editor(s). MDPI and/or the editor(s) disclaim responsibility for any injury to people or property resulting from any ideas, methods, instructions or products referred to in the content. |
© 2023 by the authors. Licensee MDPI, Basel, Switzerland. This article is an open access article distributed under the terms and conditions of the Creative Commons Attribution (CC BY) license (https://creativecommons.org/licenses/by/4.0/).
Share and Cite
Bortul, M.; Giudici, F.; Tierno, D.; Generali, D.; Scomersi, S.; Grassi, G.; Bottin, C.; Cappelletti, M.R.; Zanconati, F.; Scaggiante, B. A Case–Control Study by ddPCR of ALU 260/111 and LINE-1 266/97 Copy Number Ratio in Circulating Cell-Free DNA in Plasma Revealed LINE-1 266/97 as a Potential Biomarker for Early Breast Cancer Detection. Int. J. Mol. Sci. 2023, 24, 8520. https://doi.org/10.3390/ijms24108520
Bortul M, Giudici F, Tierno D, Generali D, Scomersi S, Grassi G, Bottin C, Cappelletti MR, Zanconati F, Scaggiante B. A Case–Control Study by ddPCR of ALU 260/111 and LINE-1 266/97 Copy Number Ratio in Circulating Cell-Free DNA in Plasma Revealed LINE-1 266/97 as a Potential Biomarker for Early Breast Cancer Detection. International Journal of Molecular Sciences. 2023; 24(10):8520. https://doi.org/10.3390/ijms24108520
Chicago/Turabian StyleBortul, Marina, Fabiola Giudici, Domenico Tierno, Daniele Generali, Serena Scomersi, Gabriele Grassi, Cristina Bottin, Maria Rosa Cappelletti, Fabrizio Zanconati, and Bruna Scaggiante. 2023. "A Case–Control Study by ddPCR of ALU 260/111 and LINE-1 266/97 Copy Number Ratio in Circulating Cell-Free DNA in Plasma Revealed LINE-1 266/97 as a Potential Biomarker for Early Breast Cancer Detection" International Journal of Molecular Sciences 24, no. 10: 8520. https://doi.org/10.3390/ijms24108520
APA StyleBortul, M., Giudici, F., Tierno, D., Generali, D., Scomersi, S., Grassi, G., Bottin, C., Cappelletti, M. R., Zanconati, F., & Scaggiante, B. (2023). A Case–Control Study by ddPCR of ALU 260/111 and LINE-1 266/97 Copy Number Ratio in Circulating Cell-Free DNA in Plasma Revealed LINE-1 266/97 as a Potential Biomarker for Early Breast Cancer Detection. International Journal of Molecular Sciences, 24(10), 8520. https://doi.org/10.3390/ijms24108520

