Biological Solubilisation of Leather Industry Waste in Anaerobic Conditions: Effect of Chromium (III) Presence, Pre-Treatments and Temperature Strategies
Abstract
1. Introduction
2. Results and Discussion
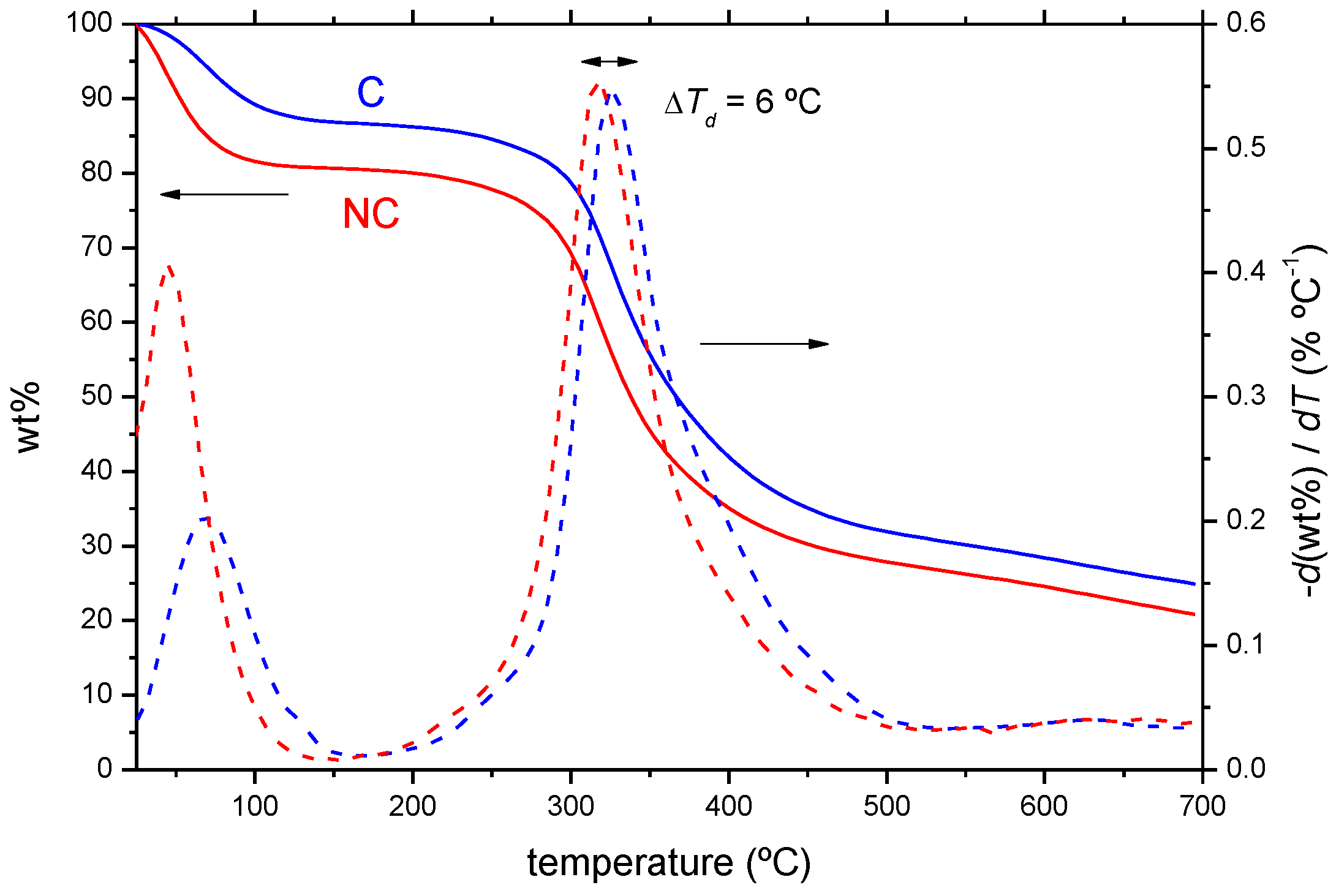
2.1. Thermal Behaviour of the Leather Shavings
2.2. Solubilisation of Chrome-Tanned and Chromium-Free Leather Shavings: Effect of Temperature
2.2.1. Study of pH Evolution
2.2.2. Volatile Solids (VS) Evolution
2.2.3. Soluble Chemical Oxygen Demand (CODs) and Dissolved Organic Carbon (DOC)
2.3. Solubilisation of Chrome-Tanned and Chromium-Free Leather Shavings: Effect of Temperature and Pre-Treatment
2.3.1. Study of pH Evolution
2.3.2. Volatile Solids (VS) Evolution
2.3.3. Soluble Chemical Oxygen Demand (CODs) and Dissolved Organic Carbon (DOC)
3. Materials and Methods
3.1. Substrates
3.2. Experimental Set-Up
- –
- C leather shavings: 2% oxalic acid and 10 mM ethylenediaminetetraacetic acid (EDTA), 2 h stirring with 200% water at room temperature.
- –
- NC leather shavings: 1.5% sodium borate (borax) and 0.5% sodium sulphate, 2 h stirring with 100% water at room temperature.
- –
- The description of the experimental set-up, and acronyms used for the different conditions and corresponding operational parameters, is summarized in Table 3.
3.3. Characterization Methods
3.4. Substrate Characterization
4. Conclusions
Supplementary Materials
Author Contributions
Funding
Institutional Review Board Statement
Informed Consent Statement
Data Availability Statement
Acknowledgments
Conflicts of Interest
References
- Brugnoli, F.; Kral, I. Life Cycle Assessment, Carbon Footprint in Leather Processing, Eighteenth Session of the Leather and Leather Products Industry Panel. UNIDO: Shanghai, China, 2012. [Google Scholar]
- Kolomaznik, K.; Mladek, M.; Langmaier, F.; Shelly, D.C.; Taylor, M.M. Closed loop for chromium in tannery operation. J. Am. Leather Chem. Assoc. 2003, 98, 487–490. [Google Scholar]
- ACEXPIEL. Available online: https://www.leather-spain.com/en/the-sector/ (accessed on 26 October 2022).
- Beghetto, V.; Zancanaro, A.; Scrivanti, A.; Matteoli, U.; Pozz, G. The Leather Industry: A Chemistry Insight Part I: An Overview of the Industrial Process. Sci. Ca’ Foscari 2013, 12–22. [Google Scholar] [CrossRef]
- Zhang, J.; Chen, W. A rapid and cleaner chrome tanning technology based on ultrasound and microwave. J. Clean. Prod. 2020, 247, 119452. [Google Scholar] [CrossRef]
- Pillai, P.; Archana, G. A novel process for biodegradation and effective utilization of chrome shavings, a solid waste generated in tanneries, using chromium resistant Bacillus subtilis P13. Process Biochem. 2012, 47, 2116–2122. [Google Scholar] [CrossRef]
- Leather Naturally. 2022. Available online: https://www.leathernaturally.org/ (accessed on 26 October 2022).
- Yao, Q.; Li, C.; Huang, H. Waterborne carboxyl-terminated hyperbranched oligomer polyester ligand: Synthesis, characterization and chelation with chromium (III). J. Mol. Struct. 2017, 1143, 371–377. [Google Scholar] [CrossRef]
- Fontaine, M.; Clement, Y.; Blanc, N.; Demesmay, C. Hexavalent chromium release from leather over time natural ageing vs accelerated ageing according to a multivariate approach. J. Hazard Mater. 2019, 368, 811–818. [Google Scholar] [CrossRef]
- Kolomaznik, K.; Adamek, M.; Andel, L.; Uhlirova, M. Leather waste—Potential threat to human health, and a new technology of its treatment. J. Hazard. Mater. 2008, 160, 514–520. [Google Scholar] [CrossRef]
- Li, S.; Cai, M.; Liu, Y.; Wang, C.; Lv, K.; Chen, X. S-Scheme photocatalyst TaON/Bi2WO6 nanofibers with oxygen vacancies for efficient abatement of antibiotics and Cr(VI): Intermediate eco-toxicity analysis and mechanistic insights. Chin. J. Catal. 2022, 43, 2652–2664. [Google Scholar] [CrossRef]
- Tie, J.; Li, W.; Liu, H.; Huang, K.; Mi, X.; Wei, M.; Hou, L. Efficient adsorption and reduction of Cr(VI) by a novel polyaniline modified magnetic iron-based waterworks sludge from aqueous solution. Chem. Eng. J. 2023, 451 Pt 3, 137673. [Google Scholar] [CrossRef]
- Escoto-Palacios, M.J.; Pérez-Limiñana, M.A.; Arán-Ais, F.; José, M.; Palacios, E.; Ais, F.A. From Leather Waste to Functional Leather; INESCOP: Alicante, Spain, 2016. [Google Scholar]
- Moktadir, M.A.; Kumar, A.; Ali, S.M.; Paul, S.K.; Sultana, R.; Rezaei, J. Critical success factors for a circular economy: Implications for business strategy and the environment. Bus. Strat. Environ. 2020, 29, 3611–3635. [Google Scholar] [CrossRef]
- Sowmiya, S.; Jeevan, V.; Jonnalagadda, R.R.; Fathima, N.N. Conversion of tannery solid waste to sound absorbing nanofibrous materials: A road to sustainability. J. Clean. Prod. 2019, 213, 375–383. [Google Scholar]
- Di Fraia, S.; Massarotti, N.; Prati, M.V.; Vanoli, L. A new example of circular economy: Waste vegetable oil for cogeneration in wastewater treatment plants. Energy Convers. Manag. 2020, 211, 112763. [Google Scholar] [CrossRef]
- Donia, E.; Mineo, A.M.; Sgroi, F. A methodological approach for assessing business investments in renewable resources from a circular economy perspective. Land Use Policy 2018, 76, 823–827. [Google Scholar] [CrossRef]
- Vidaurre-Arbizu, M.; Pérez-Bou, S.; Zuazua-Ros, A.; Martín-Gómez, C. From the leather industry to building sector: Exploration of potential applications of discarded solid wastes. J. Clean. Prod. 2021, 291, 125960. [Google Scholar] [CrossRef]
- Yuliansyah, A.T.; Prasetya, A.; Putra, A.E.; Satriawan, H.B. Preliminary study on immobilization of buffing dust by solidification method in ceramic brick. In AIP Conference Proceedings; AIP Publishing LLC: New York, NY, USA, 2017; Volume 020064. [Google Scholar] [CrossRef]
- Yildiz, F.; Parlar, A.G.; Parlar, Z.; Bakkal, M. Properties of sound panels made from recycled footwear treads. Acta Phys. Pol. A 2017, 132, 936–940. [Google Scholar] [CrossRef]
- Martínez-Hernández, E.; Sadhukhan, J. Process Design and Integration Philosophy for Competitive Waste Biorefineries: Example of Levulinic Acid Production From Representative Lignocellulosic Biomasses. In Waste Biorefinery Potential and Perspectives; Elsevier: Amsterdam, The Netherlands, 2018; Chapter 24; pp. 695–725. [Google Scholar]
- Mpofu, A.B.; Oyekola, O.O.; Welz, P.J. Anaerobic treatment of tannery wastewater in the context of a circular bio economy for developing countries. J. Clean. Prod. 2021, 296, 126490. [Google Scholar] [CrossRef]
- Gallert, C.; Henning, A.; Winter, J. Scale-up of anaerobic digestion of the biowaste fraction from domestic wastes. Water Res. 2003, 37, 1433–1441. [Google Scholar] [CrossRef]
- Kim, M.S.; Kim, D.H.; Yun, Y.M. Effect of operation temperature on anaerobic digestion of food waste: Performance and microbial analysis. Fuel 2017, 209, 598–605. [Google Scholar] [CrossRef]
- de Diego-Díaz, B.; Peñas, F.J.; Fernández-Rodríguez, J. Sustainable management of lignocellulosic wastes: Temperature strategies for anaerobic digestion of artichoke. J. Clean. Prod. 2021, 280 Pt 2, 12447. [Google Scholar] [CrossRef]
- Sakar, S.; Yetilmezsoy, K.; Kocak, E. Anaerobic digestion technology in poultry and livestock waste treatment–a literature review. Waste Manag. Res. 2009, 27, 3–18. [Google Scholar] [CrossRef]
- Samoraj, M.; Mironiuk, M.; Izydorczyk, G.; Witek-Krowiak, A.; Szopa, D.; Moustakas, K.; Chojnacka, K. The challenges and perspectives for anaerobic digestion of animal waste and fertilizer application of the digestate. Chemosphere 2022, 295, 133799. [Google Scholar] [CrossRef] [PubMed]
- Kabir, M.M.; Taherzadeh, M.J.; Sárvári Horváth, I. Dry anaerobic digestion of lignocellulosic and protein residues. Biofuel Res. J. 2015, 2, 309–316. [Google Scholar] [CrossRef][Green Version]
- Zupancic, G.D.; Jemec, A. Anaerobic digestion of tannery waste: Semi-continuous and anaerobic sequencing batch reactor processes. Bioresour. Technol. 2010, 101, 26–33. [Google Scholar] [CrossRef]
- Thangamani, A.; Rajakumar, S.; Ramanujam, R.A. Anaerobic co-digestion of hazardous tannery solid waste and primary sludge: Biodegradation kinetics and metabolite analysis. Clean Technol. Environ. Policy 2010, 12, 517–524. [Google Scholar] [CrossRef]
- Agustini, C.B.; Spier, F.; da Costa, M.; Gutterres, M. Biogas production for anaerobic co-digestion of tannery solid wastes under presence and absence of the tanning agent. Resour. Conserv. Recycl. 2018, 130, 51–59. [Google Scholar] [CrossRef]
- Ma, J.; Frear, C.; Wang, Z.; Yu, L.; Zhao, Q.; Li, X.; Chen, S. A simple methodology for rate-limiting step determination for anaerobic digestion of complex substrates and effect of microbial community ratio. Bioresour. Technol. 2013, 134, 391–395. [Google Scholar] [CrossRef] [PubMed]
- Vassalle, L.; Passos, F.; Rosa-Machado, A.T.; Moreira, C.; Reis, M.; Pascoal de Freitas, M.; Ferrer, I.; Mota, C.R. The Use of Solar Pre-Treatment as a Strategy to Improve the Anaerobic Biodegradability of Microalgal Biomass in Co-Digestion with Sewage. Chemosphere 2022, 286, 131929. [Google Scholar] [CrossRef]
- Liu, X.; Shen, J.; Guo, Y.; Wang, S.; Chen, B.; Luo, L.; Zhang, H. Technical progress and perspective on the thermochemical conversion of kitchen waste and relevant applications: A comprehensive review. Fuel 2023, 331, 125803. [Google Scholar] [CrossRef]
- Pawlak-Kruczek, H.; Urbanowska, A.; Yang, W.; Brem, G.; Magdziarz, A.; Seruga, P.; Niedzwiecki, L.; Pozarlik, A.; Mlonka-Mędrala, A.; Kabsch-Korbutowicz, M.; et al. Industrial Process Description for the Recovery of Agricultural Water from Digestate. J. Energy Resour. Technol. 2020, 142, 070917. [Google Scholar] [CrossRef]
- Suarez, E.; Tobajas, M.; Mohedano, A.F.; de la Rubia, M.A. Energy recovery from food waste and garden and park waste: Anaerobic co-digestion versus hydrothermal treatment and anaerobic co-digestion. Chemosphere 2022, 297, 134223. [Google Scholar] [CrossRef]
- Ahmed, B.; Tyagi, S.; Rahmani, A.M.; Kazmi, A.A.; Varjani, S.; Tyagi, V.K. Novel insight on ferric ions addition to mitigate recalcitrant formation during thermal-alkali hydrolysis to enhance biomethanation. Sci. Total Environ. 2022, 829, 154621. [Google Scholar] [CrossRef] [PubMed]
- Chen, H.; Fu, Q.; Liao, Q.; Xiao, C.; Huang, Y.; Xia, A.; Zhu, X.; Kang, Z. Rheokinetics of microalgae slurry during hydrothermal pre-treatment processes. Bioresour. Technol. 2019, 289, 121650. [Google Scholar] [CrossRef] [PubMed]
- Dhayalan, K.; Fathima, N.N.; Gnanamani, A.; Rao, J.R.; Nair, B.U.; Ramasami, T. Biodegradability of leathers through anaerobic pathway. Waste Manag. 2007, 27, 760–767. [Google Scholar] [CrossRef] [PubMed]
- Marcilla, A.; García, A.N.; León, M.; Bañón, E.; Martínez, P. Characterization of commercially available leather using thermogravimetric analysis and Py/GCMS system. J. Am. Leather Chem. Assoc. 2012, 107, 220–230. [Google Scholar]
- Stani, C.; Vaccari, L.; Mitri, E.; Birarda, G. FTIR investigation of the secondary structure of type I collagen: New insight into the amide III band. Spectrochim. Acta Part A Mol. Biomol. Spectrosc. 2020, 229, 118006. [Google Scholar] [CrossRef]
- Hassan, R.R.A. Fourier transform infrared spectroscopy to detect thermal degradation of vegetable and chrome-tanned leather. Spectrosc. Lett. 2019, 52, 288–296. [Google Scholar] [CrossRef]
- Yin, D.; Liu, W.; Zhai, N.; Li, J. Influence of pH controlling on fermentation performance in kitchen waste and cow manure. Energy Sources Part A Recovery Util. Environ. Eff. 2019, 43, 2339–2351. [Google Scholar] [CrossRef]
- Bassani, I.; Kougias, P.G.; Treu, L.; Angelidaki, I. Biogas upgrading via hydrogenotrophic methanogenesis in two-stage continuous stirred tank reactors at mesophilic and thermophilic conditions. Environ. Sci. Technol. 2015, 49, 12585–12593. [Google Scholar] [CrossRef]
- Holliguer, C. Towards a standardization of biomethane potential tests. Water Sci. Technol. 2016, 74, 2515–2522. [Google Scholar] [CrossRef]
- de Diego-Díaz, B.; Alejandro Cerdán, J.M.; Peñas, F.J.; Fernández-Rodríguez, J. Impact of supplementary nutrients on codigestion of agricultural waste: Study of temperatures. Food Bioprod. Process. 2018, 110, 120–125. [Google Scholar] [CrossRef]
- Zeiner, M.; Rezić, I.; Ujević, D.; Steffan, I. Determination of total chromium in tanned leather samples used in car industry. Coll. Antropol. 2011, 35, 89–92. [Google Scholar] [PubMed]
- American Public Health Association. Standard Methods for the Examination of Water and Wastewater, 23rd ed.; American Public Health Association: Washington, DC, USA, 2017. [Google Scholar]
- Dias da Silva, L.I.; Veronesi Marinho Pontes, F.; Castro Carneiro, M.; Couto Monteiro, M.I.; Dominguez de Almeida, M.; Alcover Neto, A. Evaluation of the chromium bioavailability in tanned leather shavings using the SM&T sequential extractions scheme. Chem. Speciat. Bioavailab. 2011, 23, 183–187. [Google Scholar] [CrossRef]
- Arellano-Sánchez, M.G.; Devouge-Boyer, C.; Hubert-Roux, M.; Afonso, C.; Mignot, M. Chromium Determination in Leather and Other Matrices: A Review. Crit. Rev. Anal. Chem. 2021, 52, 1537–1556. [Google Scholar] [CrossRef] [PubMed]








| Reactor | T (°C) | Substrate | TS (%) | VS (%) ** | CODs (mgO2/L) * | CODs (%) | DOC (mg/L) * | DOC (%) |
|---|---|---|---|---|---|---|---|---|
| 55C | 55 | Cr(III) | −10.0 | −5.9 | 4213 | 971 | 484 | 152 |
| 55NC | Cr(III)-free | −65.5 | −73.4 | 59708 | 25211 | 9294 | 2820 | |
| 42C | 42 | Cr(III) | −16.2 | −12.6 | 867 | 56 | 50 | 16 |
| 42NC | Cr(III)-free | −8.0 | −8.6 | 3167 | 170 | 323 | 121 | |
| 35C | 35 | Cr(III) | −32.2 | −14.6 | 1470 | 144 | 60 | 30 |
| 35NC | Cr(III)-free | −9.4 | −10.6 | 7741 | 228 | 1101 | 352 |
| Reactor | T (°C) | Substrate | TS (%) | VS (%) ** | CODs (mgO2/L) * | CODs (%) | DOC (mg/L) * | DOC (%) |
|---|---|---|---|---|---|---|---|---|
| 55C-P | 55 | Cr(III) pre-treated | −36.3 | −56.5 | 49,520 | 2109 | 19,888 | 2234 |
| 55NC-P | Cr(III)-free pre-treated | −50.7 | −56.6 | 58,768 | 1446 | 20,619 | 1256 | |
| 42C-P | 42 | Cr(III) pre-treated | −19.1 | −18.4 | 46,729 | 1030 | 18,189 | 1144 |
| 42NC-P | Cr(III)-free pre-treated | −58.1 | −61.1 | 33,029 | 492 | 20,858 | 927 | |
| 35C-P | 35 | Cr(III) pre-treated | −31.4 | −57.8 | 47,200 | 3762 | 11,849 | 2154 |
| 35NC-P | Cr(III)-free pre-treated | −57.5 | −62.0 | 49,225 | 1342 | 18,917 | 1653 |
| Nomenclature | Substrate | Inoculum | T (°C) | Pre-Treatment |
|---|---|---|---|---|
| 35 | -- | Yes | 35 | - |
| 35NC | Chromium-free leather shavings | Yes | 35 | - |
| 35C | Chrome-tanned leather shavings | Yes | 35 | - |
| 42 | -- | Yes | 42 | - |
| 42NC | Chromium-free leather shavings | Yes | 42 | - |
| 42C | Chrome-tanned leather shavings | Yes | 42 | - |
| 55 | -- | Yes | 55 | - |
| 55NC | Chromium-free leather shavings | Yes | 55 | - |
| 55C | Chrome-tanned leather shavings | Yes | 55 | - |
| 35NC-P | Chromium-free leather shavings | Yes | 35 | Thermal 120 °C, 15 min Chemical 1.5% sodium borate 0.5% sodium sulphate 25 °C, 120 min |
| 35C-P | Chrome-tanned leather shavings | Yes | 35 | Thermal 120 °C, 15 min Chemical 2% oxalic acid 10 mM EDTA 25 °C, 120 min |
| 42NC-P | Chromium-free leather shavings | Yes | 42 | Thermal 120 °C, 15 min Chemical 1.5% sodium borate 0.5% sodium sulphate 25 °C, 120 min |
| 42C-P | Chrome-tanned leather shavings | Yes | 42 | Thermal 120 °C 15 min Chemical 2% oxalic acid 10 mM EDTA 25 °C, 120 min |
| 55NC-P | Chromium-free leather shavings | Yes | 55 | Thermal 120 °C, 15 min Chemical 1.5% sodium borate 0.5% sodium sulphate 25 °C, 120 min |
| 55C-P | Chrome-tanned leather shavings | Yes | 55 | Thermal 120 °C, 15 min Chemical 2% oxalic acid 10 mM EDTA 25 °C, 120 min |
Publisher’s Note: MDPI stays neutral with regard to jurisdictional claims in published maps and institutional affiliations. |
© 2022 by the authors. Licensee MDPI, Basel, Switzerland. This article is an open access article distributed under the terms and conditions of the Creative Commons Attribution (CC BY) license (https://creativecommons.org/licenses/by/4.0/).
Share and Cite
Fernández-Rodríguez, J.; Lorea, B.; González-Gaitano, G. Biological Solubilisation of Leather Industry Waste in Anaerobic Conditions: Effect of Chromium (III) Presence, Pre-Treatments and Temperature Strategies. Int. J. Mol. Sci. 2022, 23, 13647. https://doi.org/10.3390/ijms232113647
Fernández-Rodríguez J, Lorea B, González-Gaitano G. Biological Solubilisation of Leather Industry Waste in Anaerobic Conditions: Effect of Chromium (III) Presence, Pre-Treatments and Temperature Strategies. International Journal of Molecular Sciences. 2022; 23(21):13647. https://doi.org/10.3390/ijms232113647
Chicago/Turabian StyleFernández-Rodríguez, Juana, Beñat Lorea, and Gustavo González-Gaitano. 2022. "Biological Solubilisation of Leather Industry Waste in Anaerobic Conditions: Effect of Chromium (III) Presence, Pre-Treatments and Temperature Strategies" International Journal of Molecular Sciences 23, no. 21: 13647. https://doi.org/10.3390/ijms232113647
APA StyleFernández-Rodríguez, J., Lorea, B., & González-Gaitano, G. (2022). Biological Solubilisation of Leather Industry Waste in Anaerobic Conditions: Effect of Chromium (III) Presence, Pre-Treatments and Temperature Strategies. International Journal of Molecular Sciences, 23(21), 13647. https://doi.org/10.3390/ijms232113647

