Expanding the Landscape of Amino Acid-Rich Antimicrobial Peptides: Definition, Deployment in Nature, Implications for Peptide Design and Therapeutic Potential
Abstract
1. Introduction
2. Results
2.1. Rich Antimicrobial Peptides in the Six Life Kingdoms
2.2. Distribution of Rich Antimicrobial Peptides in Animals
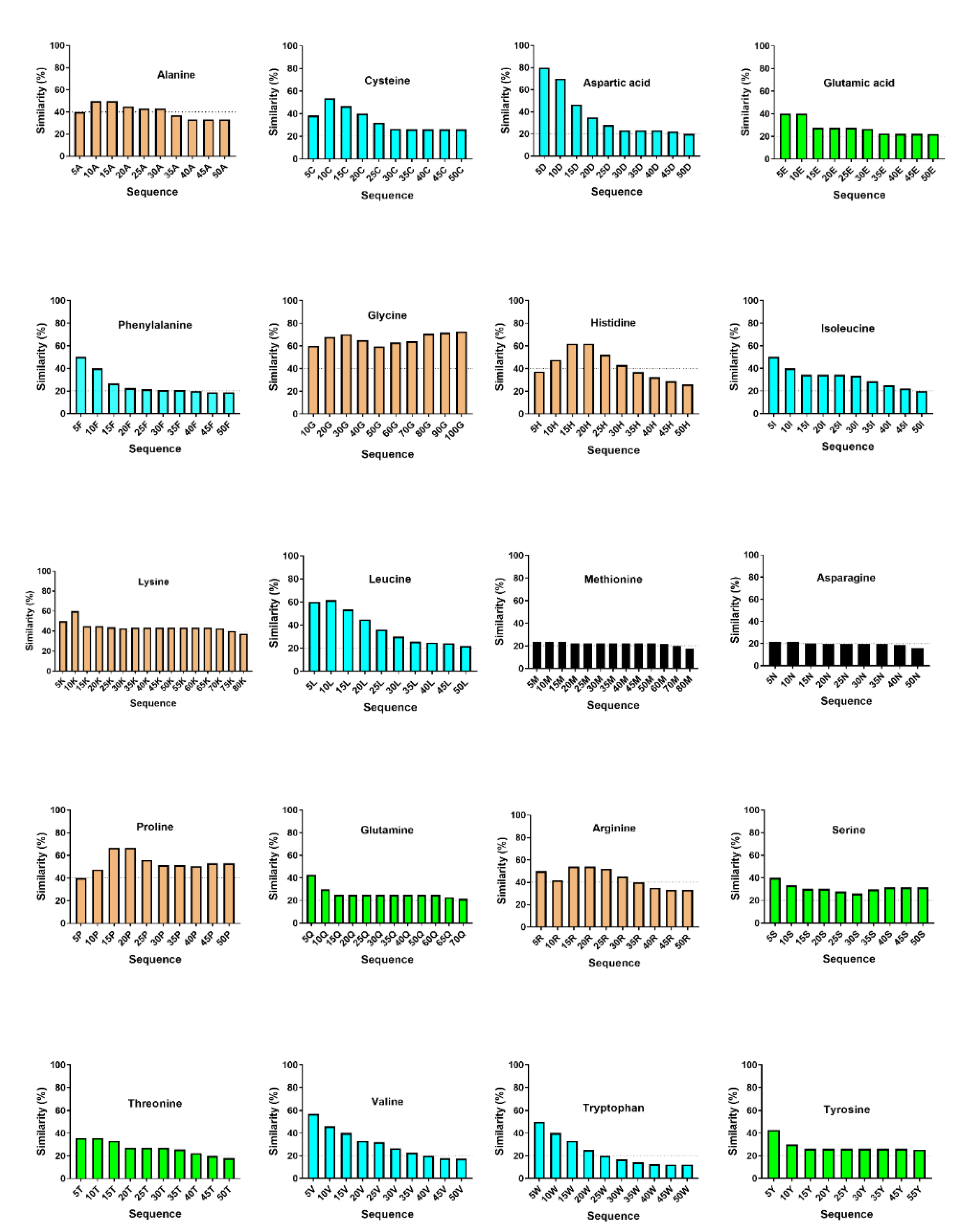
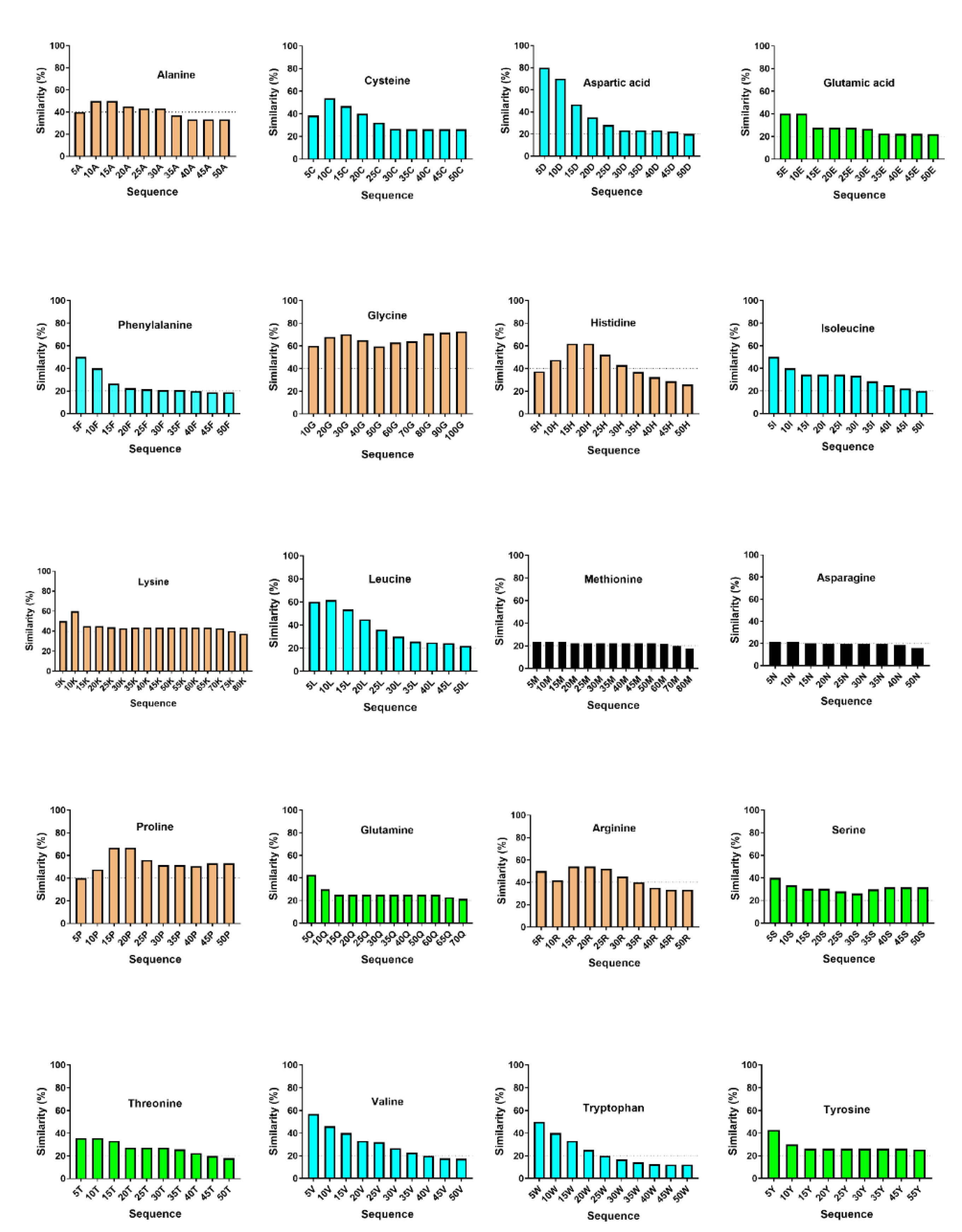
2.3. Length-Dependent Probing of Rich Antimicrobial Peptides with Amino Acid Homopolymers
2.4. Amino Acid Distribution in Selected Rich Antimicrobial Peptides
2.5. Structure of Amino Acid-Rich Antimicrobial Peptides
2.6. Activity of Amino Acid Rich Antimicrobial Peptides
3. Discussion
4. Materials and Methods
4.1. The Antimicrobial Peptide Database
4.2. Definition and Exceptions
4.3. Identification of Rich AMPs in the APD Database
4.4. Amino Acid Homopolymer Probing in the APD
4.5. Structure and Activity Search in the APD
4.6. Tools for Identification of Rich Antimicrobial Peptides
5. Conclusions
Author Contributions
Funding
Institutional Review Board Statement
Informed Consent Statement
Data Availability Statement
Conflicts of Interest
References
- Zasloff, M. Antimicrobial peptides of multicellular organisms. Nature 2002, 415, 389–395. [Google Scholar] [CrossRef] [PubMed]
- Mookherjee, N.; Anderson, M.A.; Haagsman, H.P.; Davidson, D.J. Antimicrobial host defence peptides: Functions and clinical potential. Nat. Rev. Drug Discov. 2020, 19, 311–332. [Google Scholar] [CrossRef]
- Mishra, B.; Reiling, S.; Zarena, D.; Wang, G. Host defense antimicrobial peptides as antibiotics: Design and application strategies. Curr. Opin. Chem. Biol. 2017, 38, 87–96. [Google Scholar] [CrossRef] [PubMed]
- Mangoni, M.L.; Saugar, J.M.; Dellisanti, M.; Barra, D.; Simmaco, M.; Rivas, L. Temporins, small antimicrobial peptides with leishmanicidal activity. J. Biol. Chem. 2005, 280, 984–990. [Google Scholar] [CrossRef] [PubMed]
- Yount, N.Y.; Bayer, A.S.; Xiong, Y.Q.; Yeaman, M.R. Advances in antimicrobial peptide immunobiology. Biopolymers 2006, 84, 435–458. [Google Scholar] [CrossRef]
- Wang, G. Unifying the classification of antimicrobial peptides in the antimicrobial peptide database. Methods Enzymol. 2022, 663, 1–18. [Google Scholar] [PubMed]
- Wang, G.; Zietz, C.M.; Mudgapalli, A.; Wang, S.; Wang, Z. The evolution of the antimicrobial peptide database over 18 years: Milestones and new features. Protein Sci. 2022, 31, 92–106. [Google Scholar] [CrossRef] [PubMed]
- Wang, G.; Li, X.; Wang, Z. APD3: The antimicrobial peptide database as a tool for research and education. Nucleic Acids Res. 2016, 44, D1087–D1093. [Google Scholar] [CrossRef] [PubMed]
- Boman, H.G. Antibacterial peptides: Basic facts and emerging concepts. J. Intern. Med. 2003, 254, 197–215. [Google Scholar] [CrossRef] [PubMed]
- Zasloff, M. Magainins, a class of antimicrobial peptides from Xenopus skin: Isolation, characterization of two active forms, and partial cDNA sequence of a precursor. Proc. Natl. Acad. Sci. USA 1987, 84, 5449–5453. [Google Scholar] [CrossRef]
- Rebuffat, S.; Prigent, Y.; Auvin-Guette, C.; Bodo, B. Tricholongins BI and BII, 19-residue peptaibols from Trichoderma longibrachiatum. Solution structure from two-dimensional NMR spectroscopy. Eur. J. Biochem. 1991, 201, 661–674. [Google Scholar] [CrossRef]
- Slavokhotova, A.A.; Rogozhin, E.A.; Musolyamov, A.K.; Andreev, Y.A.; Oparin, P.B.; Berkut, A.A.; Vassilevski, A.A.; Egorov, T.A.; Grishin, E.V.; Odintsova, T.I. Novel antifungal α-hairpinin peptide from Stellaria media seeds: Structure, biosynthesis, gene structure and evolution. Plant Mol. Biol. 2014, 8, 189–202. [Google Scholar] [CrossRef]
- Leippe, M.; Andrä, J.; Nickel, R.; Tannich, E.; Müller-Eberhard, H.J. Amoebapores, a family of membranolytic peptides from cytoplasmic granules of Entamoeba histolytica: Isolation, primary structure, and pore formation in bacterial cytoplasmic membranes. Mol. Microbiol. 1994, 14, 895–904. [Google Scholar] [CrossRef] [PubMed]
- Wang, G. Structures of human host defense cathelicidin LL-37 and its smallest antimicrobial peptide KR-12 in lipid micelles. J. Biol. Chem. 2008, 283, 32637–32643. [Google Scholar] [CrossRef] [PubMed]
- Epand, R.M. Anionic Lipid Clustering Model. Adv. Exp. Med. Biol. 2019, 1117, 65–71. [Google Scholar]
- Matsuzaki, K.; Murase, O.; Fujii, N.; Miyajima, K. Translocation of a channel-forming antimicrobial peptide, magainin 2, across lipid bilayers by forming a pore. Biochemistry 1995, 34, 6521–6526. [Google Scholar] [CrossRef]
- Shai, Y. Mode of action of membrane active antimicrobial peptides. Biopolymers 2002, 66, 236–248. [Google Scholar] [CrossRef] [PubMed]
- Selsted, M.E.; Harwig, S.S.; Ganz, T.; Schilling, J.W.; Lehrer, R.I. Primary structures of three human neutrophil defensins. J. Clin. Investig. 1985, 76, 1436–1439. [Google Scholar] [CrossRef] [PubMed]
- Hill, C.P.; Yee, J.; Selsted, M.E.; Eisenberg, D. Crystal structure of defensin HNP-3, an amphiphilic dimer: Mechanisms of membrane permeabilization. Science 1991, 251, 1481–1485. [Google Scholar] [CrossRef] [PubMed]
- Chu, H.; Pazgier, M.; Jung, G.; Nuccio, S.P.; Castillo, P.A.; de Jong, M.F.; Winter, M.G.; Winter, S.E.; Wehkamp, J.; Shen, B.; et al. Human α-defensin 6 promotes mucosal innate immunity through self-assembled peptide nanonets. Science 2012, 337, 477–481. [Google Scholar] [CrossRef] [PubMed]
- Schroeder, B.O.; Ehmann, D.; Precht, J.C.; Castillo, P.A.; Küchler, R.; Berger, J.; Schaller, M.; Stange, E.F.; Wehkamp, J. Paneth cell α-defensin 6 (HD-6) is an antimicrobial peptide. Mucosal Immunol. 2015, 8, 661–671. [Google Scholar] [CrossRef] [PubMed]
- Malin, J.J.; de Leeuw, E. Therapeutic compounds targeting Lipid II for antibacterial purposes. Infect. Drug Resist. 2019, 12, 2613–2625. [Google Scholar] [CrossRef] [PubMed]
- Gennaro, R.; Skerlavaj, B.; Romeo, D. Purification, composition, and activity of two bactenecins, antibacterial peptides of bovine neutrophils. Infect. Immun. 1989, 57, 3142–3146. [Google Scholar] [CrossRef] [PubMed]
- Selsted, M.E.; Novotny, M.J.; Morris, W.L.; Tang, Y.Q.; Smith, W.; Cullor, J.S. Indolicidin, a novel bactericidal tridecapeptide amide from neutrophils. J. Biol. Chem. 1992, 267, 4292–4295. [Google Scholar] [CrossRef]
- Davagnino, J.; Herrero, M.; Furlong, D.; Moreno, F.; Kolter, R. The DNA replication inhibitor microcin B17 is a forty-three-amino-acid protein containing sixty percent glycine. Proteins 1986, 1, 230–238. [Google Scholar] [CrossRef] [PubMed]
- Oppenheim, F.G.; Xu, T.; McMillian, F.M.; Levitz, S.M.; Diamond, R.D.; Offner, G.D.; Troxler, R.F. Histatins, a novel family of histidine-rich proteins in human parotid secretion. Isolation, characterization, primary structure, and fungistatic effects on Candida albicans. J. Biol. Chem. 1988, 263, 7472–7477. [Google Scholar] [CrossRef]
- Chan, D.I.; Prenner, E.J.; Vogel, H.J. Tryptophan- and arginine-rich antimicrobial peptides: Structures and mechanisms of action. Biochim. Biophys. Acta. 2006, 1758, 1184–1202. [Google Scholar] [CrossRef] [PubMed]
- Bagheri, M.; Nikolenko, H.; Arasteh, S.; Rezaei, N.; Behzadi, M.; Dathe, M.; Hancock, R.E.W. Bacterial aggregation triggered by fibril forming tryptophan-rich sequences: Effects of peptide side chain and membrane phospholipids. ACS Appl. Mater Interfaces 2020, 12, 26852–26867. [Google Scholar] [CrossRef] [PubMed]
- Zanetti, M.; Gennaro, R.; Romeo, D. Cathelicidins: A novel protein family with a common proregion and a variable C-terminal antimicrobial domain. FEBS Lett. 1995, 374, 1–5. [Google Scholar] [CrossRef]
- Wang, G.; Li, X.; Wang, Z. APD2: The updated antimicrobial peptide database and its application in peptide design. Nucleic Acids Res. 2009, 37, D933–D937. [Google Scholar] [CrossRef] [PubMed]
- Welch, N.G.; Li, W.; Hossain, M.A.; Separovic, F.; O’Brien-Simpson, N.M.; Wade, J.D. (Re)Defining the proline-rich antimicrobial peptide family and the identification of putative new members. Front Chem. 2020, 8, 607769. [Google Scholar] [CrossRef] [PubMed]
- Otvos, L., Jr.; Ostorhazi, E.; Szabo, D.; Zumbrun, S.D.; Miller, L.L.; Halasohoris, S.A.; Desai, P.D.; Int Veldt, S.M.; Kraus, C.N. Synergy between proline-rich antimicrobial peptides and small molecule antibiotics against selected Gram-negative pathogens in vitro and in vivo. Front Chem. 2018, 6, 309. [Google Scholar] [CrossRef] [PubMed]
- Ling, L.L.; Schneider, T.; Peoples, A.J.; Spoering, A.L.; Engels, I.; Conlon, B.P.; Mueller, A.; Schäberle, T.F.; Hughes, D.E.; Epstein, S.; et al. A new antibiotic kills pathogens without detectable resistance. Nature 2015, 517, 455–459. [Google Scholar] [CrossRef] [PubMed]
- Lakshmaiah Narayana, J.; Mishra, B.; Lushnikova, T.; Wu, Q.; Chhonker, Y.S.; Zhang, Y.; Zarena, D.; Salnikov, E.S.; Dang, X.; Wang, F.; et al. Two distinct amphipathic peptide antibiotics with systemic efficacy. Proc. Natl. Acad. Sci. USA 2020, 117, 19446–19454. [Google Scholar] [CrossRef]
- Mishra, B.; Lakshmaiah Narayana, J.; Lushnikova, T.; Wang, X.; Wang, G. Low cationicity is important for systemic in vivo efficacy of database-derived peptides against drug-resistant Gram-positive pathogens. Proc. Natl. Acad. Sci. USA 2019, 116, 13517–13522. [Google Scholar] [CrossRef]
- Su, Y.; Mainardi, V.L.; Wang, H.; McCarthy, A.; Zhang, Y.S.; Chen, S.; John, J.V.; Wong, S.L.; Hollins, R.R.; Wang, G.; et al. Dissolvable microneedles coupled with nanofiber dressings eradicate biofilms via effectively delivering a database-designed antimicrobial peptide. ACS Nano 2020, 14, 11775–11786. [Google Scholar] [CrossRef]
- Basso, V.; Tran, D.Q.; Schaal, J.B.; Tran, P.; Eriguchi, Y.; Ngole, D.; Cabebe, A.E.; Park, A.Y.; Beringer, P.M.; Ouellette, A.J.; et al. Rhesus theta defensin 1 promotes long term survival in systemic candidiasis by host directed mechanisms. Sci. Rep. 2019, 9, 16905. [Google Scholar] [CrossRef]
- Conlon, J.M.; Mechkarska, M.; Leprince, J. Peptidomic analysis in the discovery of therapeutically valuable peptides in amphibian skin secretions. Expert Rev Proteomics. 2019, 16, 897–908. [Google Scholar] [CrossRef]
- Luo, L.; Kamau, P.M.; Lai, R. Bioactive Peptides and Proteins from Wasp Venoms. Biomolecules 2022, 12, 527. [Google Scholar] [CrossRef]
- Crooks, G.E.; Hon, G.; Chandonia, J.M.; Brenner, S.E. WebLogo: A sequence logo generator. Genome Res. 2004, 14, 1188–1190. [Google Scholar] [CrossRef]
- Krizsan, A.; Volke, D.; Weinert, S.; Sträter, N.; Knappe, D.; Hoffmann, R. Insect-derived proline-rich antimicrobial peptides kill bacteria by inhibiting bacterial protein translation at the 70S ribosome. Angew. Chem. Int. Ed. Engl. 2014, 53, 12236–12239. [Google Scholar] [CrossRef] [PubMed]
- Mardirossian, M.; Grzela, R.; Giglione, C.; Meinnel, T.; Gennaro, R.; Mergaert, P.; Scocchi, M. The host antimicrobial peptide Bac71-35 binds to bacterial ribosomal proteins and inhibits protein synthesis. Chem. Biol. 2014, 21, 1639–1647. [Google Scholar] [CrossRef] [PubMed]
- Paulsen, V.S.; Blencke, H.M.; Benincasa, M.; Haug, T.; Eksteen, J.J.; Styrvold, O.B.; Scocchi, M.; Stensvåg, K. Structure-activity relationships of the antimicrobial peptide arasin 1- and mode of action studies of the N-terminal, proline-rich region. PLoS ONE 2013, 8, e53326. [Google Scholar] [CrossRef] [PubMed]
- Li, W.; Tailhades, J.; O’Brien-Simpson, N.M.; Separovic, F.; Otvos, L., Jr.; Hossain, M.A.; Wade, J.D. Proline-rich antimicrobial peptides: Potential therapeutics against antibiotic-resistant bacteria. Amino Acids. 2014, 46, 2287–2294. [Google Scholar] [CrossRef]
- Imjongjirak, C.; Amphaiphan, P.; Charoensapsri, W.; Amparyup, P. Characterization and antimicrobial evaluation of SpPR-AMP1, a proline-rich antimicrobial peptide from the mud crab Scylla paramamosain. Dev. Comp. Immunol. 2017, 74, 209–216. [Google Scholar] [CrossRef] [PubMed]
- Dolashka, P.; Moshtanska, V.; Borisova, V.; Dolashki, A.; Stevanovic, S.; Dimanov, T.; Voelter, W. Antimicrobial proline-rich peptides from the hemolymph of marine snail Rapana venosa. Peptides 2011, 32, 1477–1483. [Google Scholar] [CrossRef]
- Wang, G. The antimicrobial peptide database provides a platform for decoding the design principles of naturally occurring antimicrobial peptides. Protein Sci. 2020, 29, 8–18. [Google Scholar] [CrossRef]
- Johnsen, L.; Fimland, G.; Eijsink, V.; Nissen-Meyer, J. Engineering increased stability in the antimicrobial peptide pediocin PA-1. Appl. Environ. Microbiol. 2000, 66, 4798–4802. [Google Scholar] [CrossRef]
- Hansen, I.K.Ø.; Isaksson, J.; Poth, A.G.; Hansen, K.Ø.; Andersen, A.J.C.; Richard, C.S.M.; Blencke, H.M.; Stensvåg, K.; Craik, D.J.; Haug, T. Isolation and characterization of antimicrobial peptides with unusual disulfide connectivity from the colonial ascidian Synoicum turgens. Mar. Drugs 2020, 18, 51. [Google Scholar] [CrossRef]
- Saito, K.; Watanabe, K.; Yanaoka, R.; Kageyama, L.; Miura, T. Potential role of serotonin as a biological reductant associated with copper transportation. J. Inorg. Biochem. 2019, 199, 110770. [Google Scholar] [CrossRef]
- Ader, C.; Frey, S.; Maas, W.; Schmidt, H.B.; Görlich, D.; Baldus, M. Amyloid-like interactions within nucleoporin FG hydrogels. Proc. Natl. Acad. Sci. USA 2010, 107, 6281–6285. [Google Scholar] [CrossRef] [PubMed]
- Osherovich, L.Z.; Weissman, J.S. Multiple Gln/Asn-rich prion domains confer susceptibility to induction of the yeast [PSI(+)] prion. Cell 2001, 106, 183–194. [Google Scholar] [CrossRef]
- Dubos, R.J. Studies on a bactericidal agent extracted from a soil bacillus: I. Preparation of the agent. Its activity in vitro. J. Exp. Med. 1939, 70, 1–10. [Google Scholar] [CrossRef] [PubMed]
- Soravia, E.; Martini, G.; Zasloff, M. Antimicrobial properties of peptides from Xenopus granular gland secretions. FEBS Lett. 1988, 228, 337–340. [Google Scholar] [CrossRef]
- Lehrer, R.I.; Selsted, M.E.; Szklarek, D.; Fleischmann, J. Antibacterial activity of microbicidal cationic proteins 1 and 2, natural peptide antibiotics of rabbit lung macrophages. Infect. Immun. 1983, 42, 10–14. [Google Scholar] [CrossRef]
- Müller, D.M.; Carrasco, M.S.; Simonetta, A.C.; Beltramini, L.M.; Tonarelli, G.G. A synthetic analog of plantaricin 149 inhibiting food-borne pathogenic bacteria: Evidence for alpha-helical conformation involved in bacteria-membrane interaction. J. Pept. Sci. 2007, 13, 171–178. [Google Scholar] [CrossRef]
- Bradford, A.M.; Raftery, M.J.; Bowie, J.H.; Tyler, M.J.; Wallace, J.C.; Adams, G.W.; Severini, C. Novel uperin peptides from the dorsal glands of the Australian floodplain toadlet Uperoleia inundata. Aust. J. Chem. 1996, 49, 475–484. [Google Scholar] [CrossRef]
- Brogden, K.A.; De Lucca, A.J.; Bland, J.; Elliott, S. Isolation of an ovine pulmonary surfactant-associated anionic peptide bactericidal for Pasteurella haemolytica. Proc. Natl. Acad. Sci. USA 1996, 93, 412–416. [Google Scholar] [CrossRef]
- Goumon, Y.; Strub, J.M.; Moniatte, M.; Nullans, G.; Poteur, L.; Hubert, P.; Van Dorsselaer, A.; Aunis, D.; Metz-Boutigue, M.H. The C-terminal bisphosphorylated proenkephalin-A-(209-237)-peptide from adrenal medullary chromaffin granules possesses antibacterial activity. Eur. J. Biochem. 1996, 235, 516–525. [Google Scholar] [CrossRef]
- Tang, Y.Q.; Yuan, J.; Osapay, G.; Osapay, K.; Tran, D.; Miller, C.J.; Ouellette, A.J.; Selsted, M.E. A cyclic antimicrobial peptide produced in primate leukocytes by the ligation of two truncated alpha-defensins. Science 1999, 286, 498–502. [Google Scholar] [CrossRef]
- Isaacson, T.; Soto, A.; Iwamuro, S.; Knoop, F.C.; Conlon, J.M. Antimicrobial peptides with atypical structural features from the skin of the Japanese brown frog Rana japonica. Peptides 2002, 23, 419–425. [Google Scholar] [CrossRef]
- Couillault, C.; Pujol, N.; Reboul, J.; Sabatier, L.; Guichou, J.F.; Kohara, Y.; Ewbank, J.J. TLR-independent control of innate immunity in Caenorhabditis elegans by the TIR domain adaptor protein TIR-1, an ortholog of human SARM. Nat. Immunol. 2004, 5, 488–494. [Google Scholar] [CrossRef] [PubMed]
- Scholz, R.; Molohon, K.J.; Nachtigall, J.; Vater, J.; Markley, A.L.; Süssmuth, R.D.; Mitchell, D.A.; Borriss, R. Plantazolicin, a novel microcin B17/streptolysin S-like natural product from Bacillus amyloliquefaciens FZB42. J. Bacteriol. 2011, 193, 215–224. [Google Scholar] [CrossRef] [PubMed]
- Tam, J.P.; Wang, S.; Wong, K.H.; Tan, W.L. Antimicrobial Peptides from Plants. Pharmaceuticals 2015, 8, 711–757. [Google Scholar] [CrossRef] [PubMed]
- Mishra, B.; Wang, G. Ab initio design of potent anti-MRSA peptides based on database filtering technology. J. Am. Chem. Soc. 2012, 134, 12426–12429. [Google Scholar] [CrossRef] [PubMed]
- Wu, Q.; Mishra, B.; Wang, G. Linearized teixobactin is inactive and after sequence enhancement, kills methicillin-resistant Staphylococcus aureus via a different mechanism. Pept. Sci. 2022, 114, e24269. [Google Scholar] [CrossRef] [PubMed]
- Mishra, B.; Wang, X.; Lushnikova, T.; Zhang, Y.; Golla, R.M.; Narayana, J.L.; Wang, C.; McGuire, T.R.; Wang, G. Antibacterial, antifungal, anticancer activities and structural bioinformatics analysis of six naturally occurring temporins. Peptides 2018, 106, 9–20. [Google Scholar] [CrossRef]
- Lu, C.; Liu, L.; Ma, C.; Di, L.; Chen, T. A novel antimicrobial peptide found in Pelophylax nigromaculatus. J. Genet. Eng. Biotechnol. 2022, 20, 76. [Google Scholar] [CrossRef]
- Bao, K.; Yuan, W.; Ma, C.; Yu, X.; Wang, L.; Hong, M.; Xi, X.; Zhou, M.; Chen, T. Modification targeting the “rana box” motif of a novel nigrocin peptide from Hylarana latouchii enhances and broadens its potency against multiple bacteria. Front. Microbiol. 2018, 9, 2846. [Google Scholar] [CrossRef]
- Bartels, E.J.H.; Dekker, D.; Amiche, M. Dermaseptins, Multifunctional Antimicrobial Peptides: A Review of Their Pharmacology, Effectivity, Mechanism of Action, and Possible Future Directions. Front. Pharmacol. 2019, 10, 1421. [Google Scholar] [CrossRef]
- Wang, G. Bioinformatic Analysis of 1000 Amphibian Antimicrobial Peptides Uncovers Multiple Length-Dependent Correlations for Peptide Design and Prediction. Antibiotics 2020, 9, 491. [Google Scholar] [CrossRef] [PubMed]
- Wang, G.; Mishra, B.; Lau, K.; Lushnikova, T.; Golla, R.; Wang, X. Antimicrobial peptides in 2014. Pharmaceuticals 2015, 8, 123–150. [Google Scholar] [CrossRef] [PubMed]
- An, M.Y.; Gao, J.; Zhao, X.F.; Wang, J.X. A new subfamily of penaeidin with an additional serine-rich region from kuruma shrimp (Marsupenaeus japonicus) contributes to antimicrobial and phagocytic activities. Dev. Comp. Immunol. 2016, 59, 186–198. [Google Scholar] [CrossRef] [PubMed]
- Ripperda, T.; Yu, Y.; Verma, A.; Klug, E.; Thurman, M.; Reid, S.P.; Wang, G. Improved Database Filtering Technology Enables More Efficient Ab Initio Design of Potent Peptides against Ebola Viruses. Pharmaceuticals 2022, 15, 521. [Google Scholar] [CrossRef] [PubMed]
- Nemeth, E.; Ganz, T. Hepcidin and iron in health and disease. Annu. Rev. Med. 2022, in press. [Google Scholar] [CrossRef]
- Gounder, A.P.; Wiens, M.E.; Wilson, S.S.; Lu, W.; Smith, J.G. Critical determinants of human α-defensin 5 activity against non-enveloped viruses. J. Biol. Chem. 2012, 287, 24554–24562. [Google Scholar] [CrossRef]
- Wang, G.; Epand, R.F.; Mishra, B.; Lushnikova, T.; Thomas, V.C.; Bayles, K.W.; Epand, R.M. Decoding the functional roles of cationic side chains of the major antimicrobial region of human cathelicidin LL-37. Antimicrob. Agents Chemother. 2012, 56, 845–856. [Google Scholar] [CrossRef]
- Wang, G.; Watson, K.M.; Peterkofsky, A.; Buckheit, R.W., Jr. Identification of novel human immunodeficiency virus type 1-inhibitory peptides based on the antimicrobial peptide database. Antimicrob. Agents Chemother. 2010, 54, 1343–1346. [Google Scholar] [CrossRef]
- Cornut, I.; Büttner, K.; Dasseux, J.L.; Dufourcq, J. The amphipathic alpha-helix concept. Application to the de novo design of ideally amphipathic Leu, Lys peptides with hemolytic activity higher than that of melittin. FEBS Lett. 1994, 349, 29–33. [Google Scholar] [CrossRef]
- Hong, J.; Oren, Z.; Shai, Y. Structure and organization of hemolytic and nonhemolytic diastereomers of antimicrobial peptides in membranes. Biochemistry 1999, 38, 16963–16973. [Google Scholar] [CrossRef]
- Juretić, D.; Vukicević, D.; Ilić, N.; Antcheva, N.; Tossi, A. Computational design of highly selective antimicrobial peptides. J Chem. Inf. Model. 2009, 49, 2873–2882. [Google Scholar] [CrossRef] [PubMed]
- Chakraborty, S.; Liu, R.; Hayouka, Z.; Chen, X.; Ehrhardt, J.; Lu, Q.; Burke, E.; Yang, Y.; Weisblum, B.; Wong, G.C.; et al. Ternary nylon-3 copolymers as host-defense peptide mimics: Beyond hydrophobic and cationic subunits. J. Am. Chem. Soc. 2014, 136, 14530–14535. [Google Scholar] [CrossRef] [PubMed]
- Blondelle, S.E.; Takahashi, E.; Dinh, K.T.; Houghten, R.A. The antimicrobial activity of hexapeptides derived from synthetic combinatorial libraries. J. Appl. Bacteriol. 1995, 78, 39–46. [Google Scholar] [CrossRef] [PubMed]
- Duval, E.; Zatylny, C.; Laurencin, M.; Baudy-Floc’h, M.; Henry, J. KKKKPLFGLFFGLF: A cationic peptide designed to exert antibacterial activity. Peptides 2009, 30, 1608–1612. [Google Scholar] [CrossRef]
- Hirt, H.; Gorr, S.U. Antimicrobial peptide GL13K is effective in reducing biofilms of Pseudomonas aeruginosa. Antimicrob. Agents Chemother. 2013, 57, 4903–4910. [Google Scholar] [CrossRef]
- Willcox, M.D.; Hume, E.B.; Aliwarga, Y.; Kumar, N.; Cole, N. A novel cationic-peptide coating for the prevention of microbial colonization on contact lenses. J. Appl. Microbiol. 2008, 105, 1817–1825. [Google Scholar] [CrossRef]
- Berthold, N.; Czihal, P.; Fritsche, S.; Sauer, U.; Schiffer, G.; Knappe, D.; Alber, G.; Hoffmann, R. Novel apidaecin 1b analogs with superior serum stabilities for treatment of infections by Gram-negative pathogens. Antimicrob. Agents Chemother. 2013, 57, 402–409. [Google Scholar] [CrossRef]
- Deslouches, B.; Phadke, S.M.; Lazarevic, V.; Cascio, M.; Islam, K.; Montelaro, R.C.; Mietzner, T.A. De novo generation of cationic antimicrobial peptides: Influence of length and tryptophan substitution on antimicrobial activity. Antimicrob. Agents Chemother. 2005, 49, 316–322. [Google Scholar] [CrossRef]
- Kalfa, V.C.; Jia, H.P.; Kunkle, R.A.; McCray, P.B., Jr.; Tack, B.F.; Brogden, K.A. Congeners of SMAP29 kill ovine pathogens and induce ultrastructural damage in bacterial cells. Antimicrob. Agents Chemother. 2001, 45, 3256–3261. [Google Scholar] [CrossRef]
- Mai, J.C.; Mi, Z.; Kim, S.H.; Ng, B.; Robbins, P.D. A proapoptotic peptide for the treatment of solid tumors. Cancer Res. 2001, 61, 7709–7712. [Google Scholar]
- Cole, A.M.; Hong, T.; Boo, L.M.; Nguyen, T.; Zhao, C.; Bristol, G.; Zack, J.A.; Waring, A.J.; Yang, O.O.; Lehrer, R.I. Retrocyclin: A primate peptide that protects cells from infection by T- and M-tropic strains of HIV-1. Proc. Natl. Acad. Sci. USA 2002, 99, 1813–1818. [Google Scholar] [CrossRef]
- Wang, Z.; Wang, G. APD: The Antimicrobial Peptide Database. Nucleic. Acids Res. 2004, 32, D590–D592. [Google Scholar] [CrossRef] [PubMed]
- Destoumieux, D.; Munoz, M.; Bulet, P.; Bachère, E. Penaeidins, a family of antimicrobial peptides from penaeid shrimp (Crustacea, Decapoda). Cell Mol. Life Sci. 2000, 57, 1260–1271. [Google Scholar] [CrossRef] [PubMed]
- Liu, D.; Wang, Y.; Wei, L.; Ye, H.; Liu, H.; Wang, L.; Liu, R.; Li, D.; Lai, R. Snake venom-like waprin from the frog of Ceratophrys calcarata contains antimicrobial function. Gene 2013, 514, 99–104. [Google Scholar] [CrossRef] [PubMed]
- Wang, G.; Li, Y.; Li, X. Correlation of three-dimensional structures with the antibacterial activity of a group of peptides designed based on a nontoxic bacterial membrane anchor. J. Biol. Chem. 2005, 280, 5803–5811. [Google Scholar] [CrossRef] [PubMed]
- Wang, G. (Ed.) Antimicrobial Peptides: Discovery, Design and Novel Therapeutic Strategies, 1st ed.; CABI: Oxfordshire, UK, 2010; pp. 1–21. [Google Scholar]
- Topalova, Y.; Belouhova, M.; Velkova, L.; Dolashki, A.; Zheleva, N.; Daskalova, E.; Kaynarov, D.; Voelter, W.; Dolashka, P. Effect and Mechanisms of Antibacterial Peptide Fraction from Mucus of C. aspersum against Escherichia coli NBIMCC 8785. Biomedicines 2022, 10, 672. [Google Scholar] [CrossRef] [PubMed]
- Zhao, X.; Wang, X.; Shukla, R.; Kumar, R.; Weingarth, M.; Breukink, E.; Kuipers, O.P. Brevibacillin 2V, a Novel Antimicrobial Lipopeptide with an Exceptionally Low Hemolytic Activity. Front. Microbiol. 2021, 12, 693725. [Google Scholar] [CrossRef] [PubMed]
- Chowdhury, T.; Mandal, S.M.; Dutta, S.; Ghosh, A.K. Identification of a novel proline-rich antimicrobial protein from the hemolymph of Antheraea mylitta. Arch. Insect Biochem. Physiol. 2021, 106, e21771. [Google Scholar] [CrossRef]




| Peptide | Bacteria | Plants | Animals | Total a | Average Rich% b | Man-Made c |
|---|---|---|---|---|---|---|
| Ala-rich | 5 | 0 | 75 | 80 | 29.0% | 4 |
| Arg-rich | 6 | 5 | 63 | 74 | 29.2% | 11 |
| Asn-rich | 0 | 0 | 0 | 0 | NA | 0 |
| Asp-rich | 0 | 0 | 5 | 5 | 84.6% | 0 |
| Cys-rich | 3 | 0 | 41 | 44 | 23.1% | 3 |
| Gln-rich | 0 | 0 | 0 | 0 | NA | 0 |
| Glu-rich | 2 | 0 | 1 | 3 | 28.6% | 0 |
| Gly-rich | 15 | 4 | 85 | 104 | 41.1% | 2 |
| His-rich | 0 | 1 | 31 | 32 | 25.1% | 0 |
| Ile-rich | 2 | 0 | 15 | 17 | 30.9% | 1 |
| Leu-rich | 11 | 1 | 200 | 212 | 32.8% | 12 |
| Lys-rich | 5 | 0 | 59 | 64 | 32.5% | 21 |
| Met-rich | 0 | 0 | 0 | 0 | NA | 0 |
| Phe-rich | 1 | 0 | 5 | 6 | 32.4% | 2 |
| Pro-rich | 4 | 2 | 73 | 79 | 29.5% | 1 |
| Ser-rich | 2 | 0 | 6 | 8 | 28.2% | 0 |
| Thr-rich | 3 | 0 | 0 | 3 | 29.5% | 0 |
| Trp-rich | 1 | 0 | 5 | 6 | 28.6% | 5 |
| Tyr-rich | 1 | 0 | 1 | 2 | 28.3% | 0 |
| Val-rich | 11 | 0 | 3 | 14 | 32.4% | 1 |
| Peptides | Vertebrates | Invertebrates | ||||||||
|---|---|---|---|---|---|---|---|---|---|---|
| Amphibians | Birds | Fish | Mammals | Reptiles | Chelicerata | Crustacean | Insects | Mollusca | Spiders | |
| Ala-rich | 46 | 0 | 4 | 3 | 3 | 0 | 0 | 15 | 2 | 0 |
| Arg-rich | 1 | 3 | 0 | 38 | 3 | 5 | 2 | 1 | 6 | 1 |
| Cys-rich | 1 | 0 | 12 | 19 | 0 | 0 | 9 | 0 | 0 | 0 |
| Gly-rich | 43 | 0 | 8 | 1 | 1 | 6 | 5 | 9 | 0 | 5 |
| His-rich | 0 | 0 | 5 | 15 | 0 | 0 | 1 | 2 | 0 | 0 |
| Ile-rich | 6 | 0 | 2 | 0 | 0 | 4 | 0 | 2 | 0 | 1 |
| Leu-rich | 152 | 0 | 3 | 4 | 0 | 2 | 0 | 35 | 0 | 1 |
| Lys-rich | 5 | 0 | 4 | 2 | 15 | 11 | 0 | 13 | 2 | 10 |
| Pro-rich | 2 | 0 | 0 | 21 | 1 | 0 | 18 | 28 | 3 | 0 |
| Rich AMPs | α-Helix | β-Sheet | αβ | Non-αβ |
|---|---|---|---|---|
| Ala-rich | 20 | 0 | 0 | 0 |
| Arg-rich | 9 | 14 | 1 | 2 |
| Asn-rich | 0 | 0 | 0 | 0 |
| Asp-rich | 0 | 0 | 0 | 0 |
| Cys-rich | 1 | 7 | 1 | 0 |
| Gln-rich | 0 | 0 | 0 | 0 |
| Glu-rich | 0 | 0 | 0 | 0 |
| Gly-rich | 7 | 2 | 0 | 1 |
| His-rich | 7 | 0 | 0 | 0 |
| Ile-rich | 6 | 1 | 0 | 0 |
| Leu-rich | 58 | 1 | 0 | 0 |
| Lys-rich | 38 | 2 | 0 | 0 |
| Met-rich | 0 | 0 | 0 | 0 |
| Phe-rich | 2 | 0 | 0 | 0 |
| Pro-rich | 0 | 0 | 0 | 2 |
| Ser-rich | 0 | 0 | 0 | 0 |
| Thr-rich | 0 | 0 | 0 | 0 |
| Trp-rich | 3 | 0 | 0 | 3 |
| Tyr-rich | 0 | 0 | 0 | 0 |
| Val-rich | 4 | 0 | 0 | 0 |
| Peptides | Antibacterial | Antifungal | Antiviral | Antiparasitic | ||
|---|---|---|---|---|---|---|
| Gram-Positive (G+) | Gram-Negative (G−) | Both (G+/−) | ||||
| Ala-rich | 6 | 7 | 70 | 25 | 3 | 8 |
| Arg-rich | 6 | 11 | 81 | 39 | 11 | 1 |
| Asn-rich | 0 | 0 | 0 | 0 | 0 | 0 |
| Asp-rich | 0 | 2 | 5 | 0 | 0 | 0 |
| Cys-rich | 11 | 2 | 39 | 30 | 11 | 1 |
| Gln-rich | 0 | 0 | 0 | 0 | 0 | 0 |
| Glu-rich | 1 | 0 | 2 | 1 | 1 | 0 |
| Gly-rich | 10 | 22 | 83 | 46 | 7 | 0 |
| His-rich | 0 | 3 | 22 | 21 | 3 | 0 |
| Ile-rich | 5 | 1 | 16 | 7 | 2 | 0 |
| Leu-rich | 70 | 8 | 200 | 77 | 7 | 10 |
| Lys-rich | 4 | 6 | 80 | 30 | 3 | 5 |
| Met-rich | 0 | 0 | 0 | 0 | 0 | 0 |
| Phe-rich | 2 | 1 | 8 | 2 | 0 | 0 |
| Pro-rich | 12 | 19 | 75 | 22 | 0 | 4 |
| Ser-rich | 3 | 3 | 8 | 1 | 0 | 0 |
| Thr-rich | 3 | 0 | 3 | 0 | 1 | 1 |
| Trp-rich | 0 | 2 | 11 | 3 | 2 | 0 |
| Tyr-rich | 1 | 0 | 2 | 2 | 0 | 0 |
| Val-rich | 3 | 0 | 15 | 1 | 2 | 0 |
| APD ID | Name | Amino Acid Sequence | Rich b | Year | Ref |
|---|---|---|---|---|---|
| 499 | Gramicidin A | VGALAVVVWLWLWLW | 27% Trp, 27% Val, 27% Leu | 1939 | [53] |
| 187 | Defensin NP-1 | VVCACRRALCLPRERRAGFCRIRGRIHPLCCRR | 30% Arg | 1983 | [55] |
| 1227 | Microcin B17 | VGIGGGGGGGGGGSCGGQGGGCGGCSNGCS GGNGGSGGSGSHI | 60% Gly | 1986 | [25] |
| 798 | Histatin 1 | DSHEKRHHGYRRKFHEKHHSHREFPFYGDY GSNYLYDN | 18% His | 1986 | [26] |
| 210 | PGLa | GMASKAGAIAGKIAKVALKAL | 33% Ala | 1988 | [54] |
| 9 | Cathelicidin Bac 5 | RFRPPIRRPPIRPPFYPPFRPPIRPPIFPPIRPPF RPPLGPFP | 47% Pro | 1989 | [23] |
| 2143 | Pln149 | YSLQMGATAIKQVKKLFKKKGG | 27% Lys | 1994 | [56] |
| 321 | Uperin 2.7 | GIIDIAKKLVGGIRNVLGI | 26% Ile | 1996 | [57] |
| 528 | SAAP fraction 3 | DDDDDDD | 100% Asp | 1996 | [58] |
| 812 | Enkelytin | FAEPLPSEEEGESYSKEPPEMEKRYGGFM | 28% Glu | 1996 | [59] |
| 445 | RTD-1 | GFCRCLCRRGVCRCICTR | 33% Cys | 1999 | [60] |
| 357 | Japonicin-1 | FFPIGVFCKIFKTC | 29% Phe | 2002 | [61] |
| 1491 | NLP-31 | QWGYGGYGRGYGGYGGYGRGYGGYGGYGR GYGGYGRGMYGGYGRPYGGYGWGK | 26% Tyr, 53% Gly | 2004 | [62] |
| 1647 | PZN | RCTCTTIISSSSTF | 29% Ser, 29% Thr | 2011 | [63] |
| Peptide | Amino Acid Sequence | Rich Amino Acids | Ref. |
|---|---|---|---|
| Combi-1 | RRWWRF | Arg | [83] |
| Adepantin-1 | GIGKHVGKALKGLKGLLKGLGES | Gly | [81] |
| GLK-19 | GLKKLLGKLLKKLGKLLLK | Leu, Lys | [30] |
| DFTamP1 | GLLSLLSLLGKLL | Leu | [65] |
| K4 peptide | KKKKPLFGLFFGLF | Lys, Phe | [84] |
| GL13K | GKIIKLKASLKLL | Leu, Lys | [85] |
| Api137 a | Gu-ONNRPVYIPRPRPPHPRL | Pro | [87] |
| Horine | WWWLRRRW | Trp, Arg | [34] |
| Verine | RRRWWWWV | Trp, Arg | [34] |
| WLBU2 | RRWVRRVRRWVRRVVRVVRRWVRR | Val, Arg | [88] |
| Ovispirin | KNLRRITRKIIHIIKKYGPTILRIIRIIG | Ile | [89] |
| DP1 | KLAKLAKKLAKLAK | Ala, Lys, Leu | [90] |
| Retrocyclin-1 | GICRCICGRGICRCICGR | Cys | [91] |
Publisher’s Note: MDPI stays neutral with regard to jurisdictional claims in published maps and institutional affiliations. |
© 2022 by the authors. Licensee MDPI, Basel, Switzerland. This article is an open access article distributed under the terms and conditions of the Creative Commons Attribution (CC BY) license (https://creativecommons.org/licenses/by/4.0/).
Share and Cite
Decker, A.P.; Mechesso, A.F.; Wang, G. Expanding the Landscape of Amino Acid-Rich Antimicrobial Peptides: Definition, Deployment in Nature, Implications for Peptide Design and Therapeutic Potential. Int. J. Mol. Sci. 2022, 23, 12874. https://doi.org/10.3390/ijms232112874
Decker AP, Mechesso AF, Wang G. Expanding the Landscape of Amino Acid-Rich Antimicrobial Peptides: Definition, Deployment in Nature, Implications for Peptide Design and Therapeutic Potential. International Journal of Molecular Sciences. 2022; 23(21):12874. https://doi.org/10.3390/ijms232112874
Chicago/Turabian StyleDecker, Aaron P., Abraham F. Mechesso, and Guangshun Wang. 2022. "Expanding the Landscape of Amino Acid-Rich Antimicrobial Peptides: Definition, Deployment in Nature, Implications for Peptide Design and Therapeutic Potential" International Journal of Molecular Sciences 23, no. 21: 12874. https://doi.org/10.3390/ijms232112874
APA StyleDecker, A. P., Mechesso, A. F., & Wang, G. (2022). Expanding the Landscape of Amino Acid-Rich Antimicrobial Peptides: Definition, Deployment in Nature, Implications for Peptide Design and Therapeutic Potential. International Journal of Molecular Sciences, 23(21), 12874. https://doi.org/10.3390/ijms232112874

