Boosted Activity of g-C3N4/UiO-66-NH2 Heterostructures for the Photocatalytic Degradation of Contaminants in Water
Abstract
1. Introduction
2. Results and Discussion
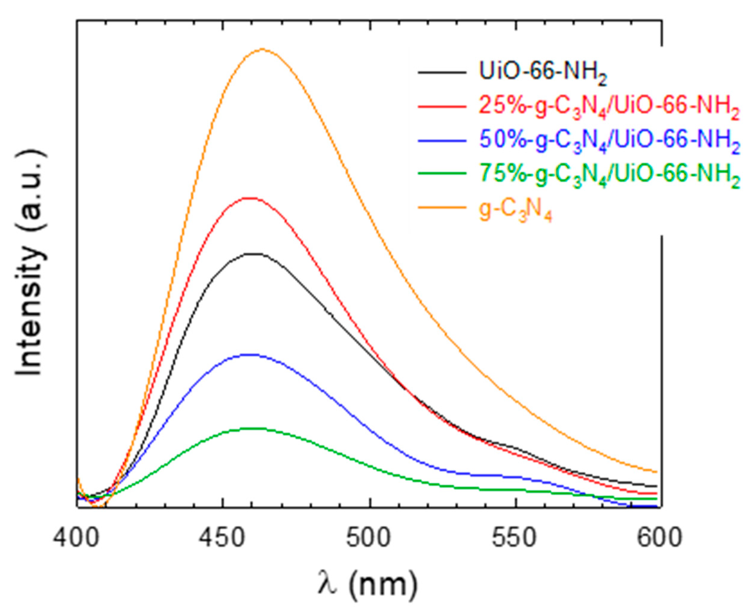
2.1. Characterization of the g-C3N4/UiO-66-NH2 Heterostructures
2.2. Photocatalytic Activity of the g-C3N4/UiO-66-NH2 Heterostructures
2.3. Effect of the pH
2.4. Stability and Reusability
2.5. Plausible Mechanism of Photocatalytic Degradation
3. Materials and Methods
3.1. Chemicals and Synthesis of the Photocatalytic Heterostructures
3.2. Characterization of the Photocatalytic Heterostructures
3.3. Photocatalytic Degradation Tests
4. Conclusions
Supplementary Materials
Author Contributions
Funding
Institutional Review Board Statement
Data Availability Statement
Acknowledgments
Conflicts of Interest
References
- Guerra-Rodríguez, S.; Oulego, P.; Rodríguez, E.; Singh, D.N.; Rodríguez-Chueca, J. Towards the Implementation of Circular Economy in the Wastewater Sector: Challenges and Opportunities. Water 2020, 12, 1431. [Google Scholar] [CrossRef]
- Hering, J.G.; Maag, S.; Schnoor, J.L. A Call for Synthesis of Water Research to Achieve the Sustainable Development Goals by 2030. Environ. Sci. Technol. 2016, 50, 6122–6123. [Google Scholar] [CrossRef] [PubMed]
- Kümmerer, K.; Dionysiou, D.D.; Olsson, O.; Fatta-Kassinos, D. A Path to Clean Water. Science 2018, 361, 222–224. [Google Scholar] [CrossRef]
- Bunting, S.Y.; Lapworth, D.J.; Crane, E.J.; Grima-Olmedo, J.; Koroša, A.; Kuczyńska, A.; Mali, N.; Rosenqvist, L.; van Vliet, M.E.; Togola, A.; et al. Emerging Organic Compounds in European Groundwater. Environ. Pollut. 2021, 269, 115945. [Google Scholar] [CrossRef]
- Desbiolles, F.; Malleret, L.; Tiliacos, C.; Wong-Wah-Chung, P.; Laffont-Schwob, I. Occurrence and Ecotoxicological Assessment of Pharmaceuticals: Is There a Risk for the Mediterranean Aquatic Environment? Sci. Total Environ. 2018, 639, 1334–1348. [Google Scholar] [CrossRef]
- Gavrilescu, M.; Demnerová, K.; Aamand, J.; Agathos, S.; Fava, F. Emerging Pollutants in the Environment: Present and Future Challenges in Biomonitoring, Ecological Risks and Bioremediation. New Biotechnol. 2015, 32, 147–156. [Google Scholar] [CrossRef] [PubMed]
- Rivera-Utrilla, J.; Sánchez-Polo, M.; Ferro-García, M.Á.; Prados-Joya, G.; Ocampo-Pérez, R. Pharmaceuticals as Emerging Contaminants and Their Removal from Water. A Review. Chemosphere 2013, 93, 1268–1287. [Google Scholar] [CrossRef]
- Gonsioroski, A.; Mourikes, V.E.; Flaws, J.A. Endocrine Disruptors in Water and Their Effects on the Reproductive System. Int. J. Mol. Sci. 2020, 21, 1929. [Google Scholar] [CrossRef] [PubMed]
- Ahmed, M.B.; Zhou, J.L.; Ngo, H.H.; Guo, W.; Thomaidis, N.S.; Xu, J. Progress in the Biological and Chemical Treatment Technologies for Emerging Contaminant Removal from Wastewater: A Critical Review. J. Hazard. Mater. 2017, 323, 274–298. [Google Scholar] [CrossRef]
- Rout, P.R.; Zhang, T.C.; Bhunia, P.; Surampalli, R.Y. Treatment Technologies for Emerging Contaminants in Wastewater Treatment Plants: A Review. Sci. Total Environ. 2021, 753, 141990. [Google Scholar] [CrossRef]
- Pillai, S.C.; Štangar, U.L.; Byrne, J.A.; Pérez-Larios, A.; Dionysiou, D.D. Photocatalysis for Disinfection and Removal of Contaminants of Emerging Concern. Chem. Eng. J. 2015, 261, 1–2. [Google Scholar] [CrossRef]
- Ahmed, S.; Khan, F.S.A.; Mubarak, N.M.; Khalid, M.; Tan, Y.H.; Mazari, S.A.; Karri, R.R.; Abdullah, E.C. Emerging Pollutants and Their Removal Using Visible-Light Responsive Photocatalysis—A Comprehensive Review. J. Environ. Chem. Eng. 2021, 9, 106643. [Google Scholar] [CrossRef]
- Ezugwu, C.I.; Sonawane, J.M.; Rosal, R. Redox-Active Metal-Organic Frameworks for the Removal of Contaminants of Emerging Concern. Sep. Purif. Technol. 2022, 284, 120246. [Google Scholar] [CrossRef]
- Loeb, S.K.; Álvarez, P.J.J.; Brame, J.A.; Cates, E.L.; Choi, W.; Crittenden, J.; Dionysiou, D.D.; Li, Q.; Li-Puma, G.; Quan, X.; et al. The Technology Horizon for Photocatalytic Water Treatment: Sunrise or Sunset? Environ. Sci. Technol. 2019, 53, 2937–2947. [Google Scholar] [CrossRef] [PubMed]
- Mamba, G.; Mishra, A.K. Graphitic Carbon Nitride (g-C3N4) Nanocomposites: A New and Exciting Generation of Visible Light Driven Photocatalysts for Environmental Pollution Remediation. Appl. Catal. B Environ. 2016, 198, 347–377. [Google Scholar] [CrossRef]
- Ismael, M. A Review on Graphitic Carbon Nitride (g-C3N4) Based Nanocomposites: Synthesis, Categories, and Their Application in Photocatalysis. J. Alloy Compd. 2020, 846, 156446. [Google Scholar] [CrossRef]
- Bedia, J.; Muelas-Ramos, V.; Peñas-Garzón, M.; Gómez-Avilés, A.; Rodríguez, J.J.; Belver, C. A Review on the Synthesis and Characterization of Metal Organic Frameworks for Photocatalytic Water Purification. Catalysts 2019, 9, 52. [Google Scholar] [CrossRef]
- Cavka, J.H.; Jakobsen, S.; Olsbye, U.; Guillou, N.; Lamberti, C.; Bordiga, S.; Lillerud, K.P. A New Zirconium Inorganic Building Brick Forming Metal Organic Frameworks with Exceptional Stability. J. Am. Chem. Soc. 2008, 130, 13850–13851. [Google Scholar] [CrossRef]
- Bůžek, D.; Adamec, S.; Lang, K.; Demel, J. Metal-Organic Frameworks vs. Buffers: Case Study of UiO-66 Stability. Inorg. Chem. Front. 2021, 8, 720–734. [Google Scholar] [CrossRef]
- Cedeno, R.M.; Cedeno, R.; Gapol, M.A.; Lerdwiriyanupap, T.; Impeng, S.; Flood, A.; Bureekaew, S. Bandgap Modulation in Zr-Based Metal-Organic Frameworks by Mixed-Linker Approach. Inorg. Chem. 2021, 60, 8908–8916. [Google Scholar] [CrossRef]
- Wang, Y.L.; Zhanb, S.; Zhab, Y.F.; Bedia, J.; Rodriguez, J.J.; Belver, C. UiO-66 Based Metal Organic Frameworks for the Photodegradation of Acetaminophen under Simulated Solar Irradiation. J. Environ. Chem. Eng. 2021, 9, 106087. [Google Scholar] [CrossRef]
- Marschall, R. Semiconductor Composites: Strategies for Enhancing Charge Carrier Separation to Improve Photocatalytic Activity. Adv. Funct. Mater. 2014, 24, 2421–2440. [Google Scholar] [CrossRef]
- Jiménez-Calvo, P.; Caps, V.; Keller, V. Plasmonic Au-Based Junctions onto TiO2, GC3N4, and TiO2-GC3N4 Systems for Photocatalytic Hydrogen Production: Fundamentals and Challenges. Renew. Sustain. Energy Rev. 2021, 149, 111095. [Google Scholar] [CrossRef]
- Zhao, C.; Li, Y.; Chu, H.; Pan, X.; Ling, L.; Wang, P.; Fu, H.; Wang, C.C.; Wang, Z. Construction of Direct Z-Scheme Bi5O7I/UiO-66-NH2 Heterojunction Photocatalysts for Enhanced Degradation of Ciprofloxacin: Mechanism Insight, Pathway Analysis and Toxicity Evaluation. J. Hazard. Mater. 2021, 419, 126466. [Google Scholar] [CrossRef] [PubMed]
- Lin, M.; Wang, J.; Kim, G.H.; Liu, J.; Pan, L.; Lee, Y.; Oh, J.W.; Jung, Y.; Seo, S.; Son, Y.; et al. One-Pot Heterointerfacial Metamorphosis for Synthesis and Control of Widely Varying Heterostructured Nanoparticles. J. Am. Chem. Soc. 2021, 143, 3383–3392. [Google Scholar] [CrossRef] [PubMed]
- Muelas-Ramos, V.; Sampaio, M.J.; Silva, C.G.; Bedia, J.; Rodriguez, J.J.; Faria, J.L.; Belver, C. Degradation of Diclofenac in Water under LED Irradiation Using Combined G-C3N4/NH2-MIL-125 Photocatalysts. J. Hazard. Mater. 2021, 416, 126199. [Google Scholar] [CrossRef]
- Wang, Y.; Guo, L.; Zeng, Y.; Guo, H.; Wan, S.; Ou, M.; Zhang, S.; Zhong, Q. Amino-Assisted NH2-UiO-66 Anchored on Porous g-C3N4 for Enhanced Visible-Light-Driven CO2 Reduction. ACS Appl. Mater. Interfaces 2019, 11, 30673–30681. [Google Scholar] [CrossRef]
- Ren, J.; Lv, S.; Wang, S.; Bao, M.; Zhang, X.; Gao, Y.; Liu, Y.; Zhang, Z.; Zeng, L.; Ke, J. Construction of Efficient G-C3N4/NH2-UiO-66 (Zr) Heterojunction Photocatalysts for Wastewater Purification. Sep. Purif. Technol. 2021, 274, 118973. [Google Scholar] [CrossRef]
- Phong Vo, H.N.; Le, G.K.; Hong Nguyen, T.M.; Bui, X.T.; Nguyen, K.H.; Rene, E.R.; Vo, T.D.H.; Thanh Cao, N.D.; Mohan, R. Acetaminophen Micropollutant: Historical and Current Occurrences, Toxicity, Removal Strategies and Transformation Pathways in Different Environments. Chemosphere 2019, 236, 124391. [Google Scholar] [CrossRef]
- Deo, R.P. Pharmaceuticals in the Surface Water of the USA: A Review. Curr. Environ. Health Rep. 2014, 1, 113–122. [Google Scholar] [CrossRef]
- Trickett, C.A.; Gagnon, K.J.; Lee, S.; Gándara, F.; Bürgi, H.B.; Yaghi, O.M. Definitive Molecular Level Characterization of Defects in UiO-66 Crystals. Angew. Chem.-Int. Ed. 2015, 54, 11162–11167. [Google Scholar] [CrossRef] [PubMed]
- Fina, F.; Callear, S.K.; Carins, G.M.; Irvine, J.T.S. Structural Investigation of Graphitic Carbon Nitride via XRD and Neutron Diffraction. Chem. Mater. 2015, 27, 2612–2618. [Google Scholar] [CrossRef]
- Chebanenko, M.I.; Zakharova, N.V.; Lobinsky, A.A.; Popkov, V.I. Ultrasonic-Assisted Exfoliation of Graphitic Carbon Nitride and Its Electrocatalytic Performance in Process of Ethanol Reforming. Semiconductors 2019, 53, 2072–2077. [Google Scholar] [CrossRef]
- Islam, M.R.; Chakraborty, A.K.; Gafur, M.A.; Rahman, M.A.; Rahman, M.H. Easy Preparation of Recyclable Thermally Stable Visible-Light-Active Graphitic-C3N4/TiO2 Nanocomposite Photocatalyst for Efficient Decomposition of Hazardous Organic Industrial Pollutants in Aqueous Medium. Res. Chem. Intermed. 2019, 45, 1753–1773. [Google Scholar] [CrossRef]
- Zhang, S.; Chen, K.; Peng, W.; Huang, J. G-C3N4/UiO-66-NH2 Nanocomposites with Enhanced Visible Light Photocatalytic Activity for Hydrogen Evolution and Oxidation of Amines to Imines. New J. Chem. 2020, 44, 3052–3061. [Google Scholar] [CrossRef]
- Kim, M.; Hwang, S.; Yu, J.S. Novel Ordered Nanoporous Graphitic C3N4 as a Support for Pt–Ru Anode Catalyst in Direct Methanol Fuel Cell. J. Mater. Chem. 2007, 17, 1656–1659. [Google Scholar] [CrossRef]
- Sunasee, S.; Leong, K.H.; Wong, K.T.; Lee, G.; Pichiah, S.; Nah, I.W.; Jeon, B.H.; Yoon, Y.; Jang, M. Sonophotocatalytic Degradation of Bisphenol A and Its Intermediates with Graphitic Carbon Nitride. Environ. Sci. Pollut. Res. 2019, 26, 1082–1093. [Google Scholar] [CrossRef]
- Zhao, D.; Dong, C.-L.; Wang, B.; Chen, C.; Huang, Y.-C.; Diao, Z.; Li, S.; Guo, L.; Shen, S.; Zhao, D.; et al. Synergy of Dopants and Defects in Graphitic Carbon Nitride with Exceptionally Modulated Band Structures for Efficient Photocatalytic Oxygen Evolution. Adv. Mater. 2019, 31, 1903545. [Google Scholar] [CrossRef]
- Kandiah, M.; Usseglio, S.; Svelle, S.; Olsbye, U.; Lillerud, K.P.; Tilset, M. Post-Synthetic Modification of the Metal–Organic Framework Compound UiO-66. J. Mater. Chem. 2010, 20, 9848–9851. [Google Scholar] [CrossRef]
- Shangkum, G.Y.; Chammingkwan, P.; Trinh, D.X.; Taniike, T. Design of a Semi-Continuous Selective Layer Based on Deposition of UiO-66 Nanoparticles for Nanofiltration. Membranes 2018, 8, 129. [Google Scholar] [CrossRef]
- Decoste, J.B.; Peterson, G.W.; Jasuja, H.; Glover, T.G.; Huang, Y.G.; Walton, K.S. Stability and Degradation Mechanisms of Metal–Organic Frameworks Containing the Zr6O4(OH)4 Secondary Building Unit. J. Mater. Chem. A 2013, 1, 5642–5650. [Google Scholar] [CrossRef]
- Vellingiri, K.; Deep, A.; Kim, K.H.; Boukhvalov, D.W.; Kumar, P.; Yao, Q. The Sensitive Detection of Formaldehyde in Aqueous Media Using Zirconium-Based Metal Organic Frameworks. Sens. Actuators B Chem. 2017, 241, 938–948. [Google Scholar] [CrossRef]
- Valenzano, L.; Civalleri, B.; Chavan, S.; Bordiga, S.; Nilsen, M.H.; Jakobsen, S.; Lillerud, K.P.; Lamberti, C. Disclosing the Complex Structure of UiO-66 Metal Organic Framework: A Synergic Combination of Experiment and Theory. Chem. Mater. 2011, 23, 1700–1718. [Google Scholar] [CrossRef]
- Kandiah, M.; Nilsen, M.H.; Usseglio, S.; Jakobsen, S.; Olsbye, U.; Tilset, M.; Larabi, C.; Quadrelli, E.A.; Bonino, F.; Lillerud, K.P. Synthesis and Stability of Tagged UiO-66 Zr-MOFs. Chem. Mater. 2010, 22, 6632–6640. [Google Scholar] [CrossRef]
- Ding, J.; Yang, Z.; He, C.; Tong, X.; Li, Y.; Niu, X.; Zhang, H. UiO-66(Zr) Coupled with Bi2MoO6 as Photocatalyst for Visible-Light Promoted Dye Degradation. J. Colloid Interface Sci. 2017, 497, 126–133. [Google Scholar] [CrossRef] [PubMed]
- Winarta, J.; Shan, B.; Mcintyre, S.M.; Ye, L.; Wang, C.; Liu, J.; Mu, B. A Decade of UiO-66 Research: A Historic Review of Dynamic Structure, Synthesis Mechanisms, and Characterization Techniques of an Archetypal Metal−organic Framework. Cryst. Growth Des. 2020, 20, 1347–1362. [Google Scholar] [CrossRef]
- Peñas-Garzón, M.; Sampaio, M.J.; Wang, Y.L.; Bedia, J.; Rodriguez, J.J.; Belver, C.; Silva, C.G.; Faria, J.L. Solar Photocatalytic Degradation of Parabens Using UiO-66-NH2. Sep. Purif. Technol. 2022, 286, 120467. [Google Scholar] [CrossRef]
- Nasalevich, M.A.; Hendon, C.H.; Santaclara, J.G.; Svane, K.; Van Der Linden, B.; Veber, S.L.; Fedin, M.V.; Houtepen, A.J.; Van Der Veen, M.A.; Kapteijn, F.; et al. Electronic Origins of Photocatalytic Activity in d0 Metal Organic Frameworks. Sci. Rep. 2016, 6, 1–9. [Google Scholar] [CrossRef]
- Long, J.; Wang, S.S.; Ding, Z.; Wang, S.S.; Zhou, Y.; Huang, L.; Wanga, X. Amine-Functionalized Zirconium Metal–Organic Framework as Efficient Visible-Light Photocatalyst for Aerobic Organic Transformations. Chem. Commun. 2012, 48, 11656–11658. [Google Scholar] [CrossRef]
- Cai, Z.; Dwivedi, A.D.; Lee, W.-N.; Zhao, X.; Liu, W.; Sillanpää, M.; Zhao, D.; Huang, C.-H.; Fu, J. Application of Nanotechnologies for Removing Pharmaceutically Active Compounds from Water: Development and Future Trends. Environ. Sci. Nano 2018, 5, 27–47. [Google Scholar] [CrossRef]
- Liqiang, J.; Yichun, Q.; Baiqi, W.; Shudan, L.; Baojiang, J.; Libin, Y.; Wei, F.; Honggang, F.; Jiazhong, S. Review of Photoluminescence Performance of Nano-Sized Semiconductor Materials and Its Relationships with Photocatalytic Activity. Sol. Energy Mater. Sol. Cells 2006, 90, 1773–1787. [Google Scholar] [CrossRef]
- Solís, R.R.; Peñas-Garzón, M.; Belver, C.; Rodriguez, J.J.; Bedia, J. Highly Stable UiO-66-NH2 by the Microwave-Assisted Synthesis for Solar Photocatalytic Water Treatment. J. Environ. Chem. Eng. 2022, 10, 107122. [Google Scholar] [CrossRef]
- Ibrahim, A.H.; El-Mehalmey, W.A.; Haikal, R.R.; Safy, M.E.A.; Amin, M.; Shatla, H.R.; Karakalos, S.G.; Alkordi, M.H. Tuning the Chemical Environment within the UiO-66-NH2 Nanocages for Charge-Dependent Contaminant Uptake and Selectivity. Inorg. Chem. 2019, 58, 15078–15087. [Google Scholar] [CrossRef] [PubMed]
- Li, F.; Li, T.; Zhang, L.; Jin, Y.; Hu, C. Enhancing Photocatalytic Performance by Direct Photo-Excited Electron Transfer from Organic Pollutants to Low-Polymerized Graphitic Carbon Nitride with More C-NH/NH2 Exposure. Appl. Catal. B Environ. 2021, 296, 120316. [Google Scholar] [CrossRef]
- Djokić, A.; Dumanović, D.; Marković, D.; Muk, A. Spectrophotometric Characterization of Some Analgesics and Antipyretics. Talanta 1989, 36, 931–935. [Google Scholar] [CrossRef]
- Ruiz, R.; Rosés, M.; Ràfols, C.; Bosch, E. Critical Validation of a New Simpler Approach to Estimate Aqueous PKa of Drugs Sparingly Soluble in Water. Anal. Chim. Acta 2005, 550, 210–221. [Google Scholar] [CrossRef]
- Igwegbe, C.A.; Aniagor, C.O.; Oba, S.N.; Yap, P.S.; Iwuchukwu, F.U.; Liu, T.; de Souza, E.C.; Ighalo, J.O. Environmental Protection by the Adsorptive Elimination of Acetaminophen from Water: A Comprehensive Review. J. Ind. Eng. Chem. 2021, 104, 117–135. [Google Scholar] [CrossRef]
- Buxton, G.V.; Greenstock, C.L.; Helman, W.P.; Ross, A.B. Critical Review of Rate Constants for Reactions of Hydrated Electrons, Hydrogen Atoms and Hydroxyl Radicals (⋅OH/⋅O−) in Aqueous Solution. J. Phys. Chem. Ref. Data 1988, 17, 513–886. [Google Scholar] [CrossRef]
- Anderson, J.A. Simultaneous Photocatalytic Degradation of Nitrate and Oxalic Acid over Gold Promoted Titania. Catal. Today 2012, 181, 171–176. [Google Scholar] [CrossRef]
- Kinoshita, A.; Nakanishi, K.; Tanaka, A.; Hashimoto, K.; Kominami, H. Photocatalytic Selective Ring Hydrogenation of Phenol to Cyclohexanone over a Palladium-Loaded Titanium(IV) Oxide under Hydrogen-Free Conditions. ChemPhotoChem 2019, 3, 559–567. [Google Scholar] [CrossRef]
- Chen, Y.F.; Tan, L.L.; Liu, J.M.; Qin, S.; Xie, Z.Q.; Huang, J.F.; Xu, Y.W.; Xiao, L.M.; Su, C.Y. Calix[4]Arene Based Dye-Sensitized Pt@UiO-66-NH2 Metal-Organic Framework for Efficient Visible-Light Photocatalytic Hydrogen Production. Appl. Catal. B Environ. 2017, 206, 426–433. [Google Scholar] [CrossRef]
- Li, Y.X.; Wang, X.; Wang, C.C.; Fu, H.; Liu, Y.; Wang, P.; Zhao, C. S-TiO2/UiO-66-NH2 Composite for Boosted Photocatalytic Cr(VI) Reduction and Bisphenol A Degradation under LED Visible Light. J. Hazard. Mater. 2020, 399, 123085. [Google Scholar] [CrossRef]
- Baudys, M.; Paušová, Š.; Praus, P.; Brezová, V.; Dvoranová, D.; Barbieriková, Z.; Krýsa, J. Graphitic Carbon Nitride for Photocatalytic Air Treatment. Materials 2020, 13, 3038. [Google Scholar] [CrossRef] [PubMed]
- Liu, S.; Chen, F.; Li, S.; Peng, X.; Xiong, Y. Enhanced Photocatalytic Conversion of Greenhouse Gas CO2 into Solar Fuels over g-C3N4 Nanotubes with Decorated Transparent ZIF-8 Nanoclusters. Appl. Catal. B Environ. 2017, 211, 1–10. [Google Scholar] [CrossRef]
- Low, J.; Yu, J.; Jaroniec, M.; Wageh, S.; Al-Ghamdi, A.A. Heterojunction Photocatalysts. Adv. Mater. 2017, 29, 1601694. [Google Scholar] [CrossRef]
- Yang, K.; Yu, Q.; Li, H.; Ren, X.; Pan, J.; Li, X. Design of a Higher Positive Valence Band in G-C3N4 Photocatalyst for Enhanced Photocatalytic Activity by Copper Hydroxide Deposition. Mater. Technol. 2022, 37, 1459–1466. [Google Scholar] [CrossRef]
- Tauc, J. Optical Properties and Electronic Structure of Amorphous Ge and Si. Mater. Res. Bull. 1968, 3, 37–46. [Google Scholar] [CrossRef]
- Makuła, P.; Pacia, M.; Macyk, W. How to Correctly Determine the Band Gap Energy of Modified Semiconductor Photocatalysts Based on UV-Vis Spectra. J. Phys. Chem. Lett. 2018, 9, 6814–6817. [Google Scholar] [CrossRef]
- Rajah, Z.; Guiza, M.; Solís, R.R.R.; Becheikh, N.; Rivas, F.J.J.; Ouederni, A. Clopyralid Degradation Using Solar-Photocatalytic/Ozone Process with Olive Stone Activated Carbon. J. Environ. Chem. Eng. 2019, 7, 102900. [Google Scholar] [CrossRef]
- Lee, J.; Kim, J.; Choi, W. Ferrioxalate-Polyoxometalate System as a New Chemical Actinometer. Environ. Sci. Technol. 2007, 41, 5433–5438. [Google Scholar] [CrossRef]
- Duderstadt, J.J.; Martin, W.R. Transport Theory; John Wiley & Sons, Inc.: New York, NY, USA, 1979. [Google Scholar]










| Sample | N2 Isotherm | DRS-UV-Vis | |||
|---|---|---|---|---|---|
| SBET (m2·g−1) | SMP (m2·g−1) | VT (cm3·g−1) | VMP (cm3·g−1) | EBG (eV) | |
| UiO-66-NH2 | 665 | 463 | 1.256 | 0.250 | 2.84 |
| 25%-g-C3N4/UiO-66-NH2 | 505 | 346 | 0.839 | 0.177 | 2.82 |
| 50%-g-C3N4/UiO-66-NH2 | 379 | 252 | 0.648 | 0.130 | 2.80 |
| 75%-g-C3N4/UiO-66-NH2 | 196 | 132 | 0.315 | 0.065 | 2.78 |
| g-C3N4 | 20 | 0 | 0.101 | 0 | 2.70 |
| Sample | eα,ν (Einstein·cm−3·s−1) | rACE,0 (mmol·cm−3·s−1) | QE,0 (%) |
|---|---|---|---|
| UiO-66-NH2 | 3.50 × 10−8 | 6.82 × 10−9 | 0.019 |
| 25%-g-C3N4/UiO-66-NH2 | 3.50 × 10−8 | 8.73 × 10−9 | 0.024 |
| 50%-g-C3N4/UiO-66-NH2 | 3.55 × 10−8 | 1.42 × 10−8 | 0.040 |
| 75%-g-C3N4/UiO-66-NH2 | 3.55 × 10−8 | 1.83 × 10−8 | 0.052 |
| g-C3N4 | 3.63 × 10−8 | 1.07 × 10−8 | 0.031 |
Publisher’s Note: MDPI stays neutral with regard to jurisdictional claims in published maps and institutional affiliations. |
© 2022 by the authors. Licensee MDPI, Basel, Switzerland. This article is an open access article distributed under the terms and conditions of the Creative Commons Attribution (CC BY) license (https://creativecommons.org/licenses/by/4.0/).
Share and Cite
Solís, R.R.; Quintana, M.A.; Martín-Lara, M.Á.; Pérez, A.; Calero, M.; Muñoz-Batista, M.J. Boosted Activity of g-C3N4/UiO-66-NH2 Heterostructures for the Photocatalytic Degradation of Contaminants in Water. Int. J. Mol. Sci. 2022, 23, 12871. https://doi.org/10.3390/ijms232112871
Solís RR, Quintana MA, Martín-Lara MÁ, Pérez A, Calero M, Muñoz-Batista MJ. Boosted Activity of g-C3N4/UiO-66-NH2 Heterostructures for the Photocatalytic Degradation of Contaminants in Water. International Journal of Molecular Sciences. 2022; 23(21):12871. https://doi.org/10.3390/ijms232112871
Chicago/Turabian StyleSolís, Rafael R., María Alejandra Quintana, María Ángeles Martín-Lara, Antonio Pérez, Mónica Calero, and Mario J. Muñoz-Batista. 2022. "Boosted Activity of g-C3N4/UiO-66-NH2 Heterostructures for the Photocatalytic Degradation of Contaminants in Water" International Journal of Molecular Sciences 23, no. 21: 12871. https://doi.org/10.3390/ijms232112871
APA StyleSolís, R. R., Quintana, M. A., Martín-Lara, M. Á., Pérez, A., Calero, M., & Muñoz-Batista, M. J. (2022). Boosted Activity of g-C3N4/UiO-66-NH2 Heterostructures for the Photocatalytic Degradation of Contaminants in Water. International Journal of Molecular Sciences, 23(21), 12871. https://doi.org/10.3390/ijms232112871

