Novel Morpholine-Bearing Quinoline Derivatives as Potential Cholinesterase Inhibitors: The Influence of Amine, Carbon Linkers and Phenylamino Groups
Abstract
:1. Introduction
2. Results and Discussion
2.1. Chemistry
2.2. Biological Evaluation
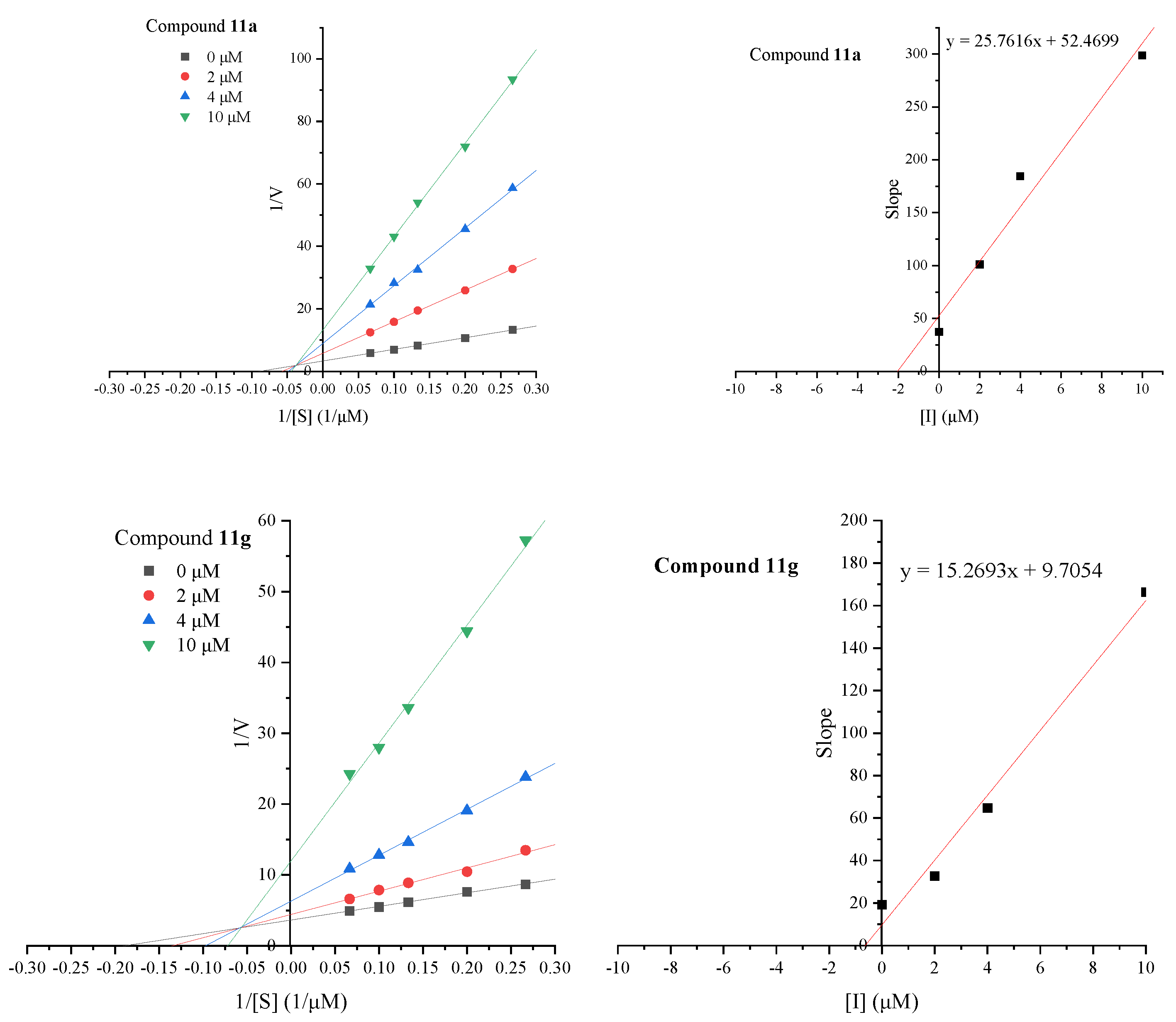
2.3. Enzyme Kinetic Analysis against AChE
2.4. ABTS Radical-Scavenging Activity
2.5. Docking Studies
2.6. Blood–Brain Barrier Assay
3. Materials and Methods
3.1. General
3.2. Synthesis of Compounds 11a–11r
3.2.1. 6-Methoxy-7-(3-Morpholinopropoxy)-3-Nitro-4-Phenylamino-Quinoline (11a)
3.2.2. 6-Methoxy-7-(3-Morpholinopropoxy)-3-Nitro-4-(2-Chlorophenylamino)-Quinoline (11b)
3.2.3. 6-Methoxy-7-(3-Morpholinopropoxy)-3-Nitro-4-(3-Chlorophenylamino)-Quinoline (11c)
3.2.4. 6-Methoxy-7-(3-Morpholinopropoxy)-3-Nitro-4-(4-Chlorophenylamino)-Quinoline (11d)
3.2.5. 6-Methoxy-7-(3-Morpholinopropoxy)-3-Nitro-4-(4-Hydroxylphenylamino)-Quinoline (11e)
3.2.6. 6-Methoxy-7-(3-Morpholinopropoxy)-3-Nitro-4-(4-Methoxyphenylamino)-Quinoline (11f)
3.2.7. 6-Methoxy-7-(2-Morpholinoethoxy)-3-Nitro-4-Phenylamino-Quinoline (11g)
3.2.8. 6-Methoxy-7-(2-Morpholinoethoxy)-3-Nitro-4-(2-Chlorophenylamino)-Quinoline (11h)
3.2.9. 6-Methoxy-7-(2-Morpholinoethoxy)-3-Nitro-4-(3-Chlorophenylamino)-Quinoline (11i)
3.2.10. 6-Methoxy-7-(2-Morpholinoethoxy)-3-Nitro-4-(4-Chlorophenylamino)-Quinoline (11j)
3.2.11. 6-Methoxy-7-(2-Morpholinoethoxy)-3-Nitro-4-(4-Hydroxylphenylamino)-Quinoline (11k)
3.2.12. 6-Methoxy-7-(2-Morpholinoethoxy)-3-Nitro-4-(4-Methoxyphenyamino)-Quinoline (11l)
3.2.13. 6-Methoxy-7-(4-Morpholinobutoxy)-3-Nitro-4-Phenylamino-Quinoline (11m)
3.2.14. 6-Methoxy-7-(4-Morpholinobutoxy)-3-Nitro-4-(2-Chlorophenylamino)-Quinoline (11n)
3.2.15. 6-Methoxy-7-(4-Morpholinobutoxy)-3-Nitro-4-(3-Chlorophenylamino)-Quinoline (11o)
3.2.16. 6-Methoxy-7-(4-Morpholinobutoxy)-3-Nitro-4-(4-Chlorophenylamino)-Quinoline (11p)
3.2.17. 6-Methoxy-7-(4-Morpholinobutoxy)-3-Nitro-4-(4-Hydroxyphenylamino)-Quinoline (11q)
3.2.18. 6-Methoxy-7-(4-Morpholinobutoxy)-3-Nitro-4-(4-Methoxyphenylamino)-Quinoline (11r)
3.3. Synthesis of Compounds 12a–12d
3.3.1. 6-Methoxy-7-(3-Morpholinopropoxy)-3-Amino-4-Phenylamino-Quinoline (12a)
3.3.2. 6-Methoxy-7-(3-Morpholinopropoxy)-3-Amino-4-(2-Chlorophenylamino)-Quinoline (12b)
3.3.3. 6-Methoxy-7-(3-Morpholinopropoxy)-3-Amino-4-(3-Chlorophenylamino)-Quinoline (12c)
3.3.4. 6-Methoxy-7-(3-Morpholinopropoxy)-3-Amino-4-(4-Chlorophenylamino)-Quinoline (12d)
3.4. Biological Evaluation
3.4.1. AChE and BChE Inhibition Assay
3.4.2. Enzyme Kinetic Analysis against AChE
3.4.3. ABTS Radical-Scavenging Activity
3.5. Docking Study
3.5.1. Molecular Docking Studies on AChE
3.5.2. Molecular Docking Studies on BChE
3.6. Solubility Measurement
3.7. Lipophilicity Determination
4. Conclusions
Supplementary Materials
Author Contributions
Funding
Institutional Review Board Statement
Informed Consent Statement
Data Availability Statement
Conflicts of Interest
References
- Fu, Y.; Mu, Y.; Lei, H.; Wang, P.; Li, X.; Leng, Q.; Han, L.; Qu, X.; Wang, Z.; Huang, X. Design, synthesis and evaluation of novel tacrine-ferulic acid hybrids as multifunctional drug candidates against Alzheimer’s disease. Molecules 2016, 21, 1338. [Google Scholar] [CrossRef] [PubMed]
- Mishra, P.; Sharma, P.; Tripathi, P.N.; Gupta, S.K.; Srivastava, P.; Seth, A.; Tripathi, A.; Shrivastava, S.K. Design and development of novel p-aminobenzoic acid derivatives as potential cholinesterase inhibitors for the treatment of Alzheimer’s disease. Bioorg. Chem. 2019, 82, 211–223. [Google Scholar]
- Rizzo, S.; Bartolini, M.; Ceccarini, L.; Piazzi, L.; Gobbi, S.; Cavalli, A.; Recanatini, M.; Andrisano, V.; Rampa, A. Targeting Alzheimer’s disease: Novel indanone hybrids bearing a pharmacophoric fragment of ap2238. Bioorg. Med. Chem. 2010, 18, 1749–1760. [Google Scholar] [CrossRef] [PubMed]
- Shi, Y.; Zhang, H.; Song, Q.; Yu, G.; Liu, Z.; Zhong, F.; Tan, Z.; Liu, X.; Deng, Y. Design, Development of novel 2-aminoalkyl-6-(2-hydroxyphenyl)pyridazin-3(2H)-one derivatives as balanced multifunctional agents against Alzheimer’s disease. Bioorg. Chem. 2022, 230, 114098. [Google Scholar]
- Davies, P.; Maloney, A.J.F. Selective loss of central cholinergic neurons in Alzheimer senile dementia. Lancet 1976, 308, 1403. [Google Scholar] [CrossRef]
- Hardy, J.; Allsop, D. Amyloid deposition as the central event in the aetiology of Alzheimer’s disease, Trends. Pharmacol. Sci. 1991, 12, 383–388. [Google Scholar]
- Alonso, A.C.; Grundke-Iqbal, I.; Iqbal, K. Alzheimer’s disease hyperphosphorylated tau sequesters normal tau into tangles of filaments and disassembles microtubules. Nat. Med. 1996, 2, 783. [Google Scholar] [CrossRef]
- Tramutola, A.; Lanzillotta, C.; Perluigi, M.; Allan Butterfield, D. Oxidative stress, protein modification and Alzheimer disease. Brain Res. Bull. 2017, 133, 88–96. [Google Scholar] [CrossRef]
- Liu, Y.M.; Feng, Y.D.; Lu, X.; Nie, J.B.; Li, W.; Wang, L.N.; Tian, L.J.; Liu, Q.H. Isosteroidal alkaloids as potent dual-binding site inhibitors of both acetylcholinesterase and butyrylcholinesterase from the bulbs of Fritillaria walujewii. Eur. J. Med. Chem. 2017, 137, 280–291. [Google Scholar] [CrossRef]
- Almaz, Z.; Oztekin, A.; Tan, A.; Ozdemir, H. Biological evaluation and molecular docking studies of 4-aminobenzohydrazide derivatives as cholinesterase inhibitors. J. Mol. Struct. 2021, 1244, 30918. [Google Scholar] [CrossRef]
- Greig, N.H.; Utsuki, T.; Yu, Q.; Zhu, X.; Holloway, H.W.; Perry, T.A.; Lee, B.; Ingram, D.K.; Lahiri, D.K. A new therapeutic target in Alzheimer’s disease treatment: Attention to butyrylcholinesterase. Curr. Med. Res. Opin. 2001, 17, 159–165. [Google Scholar] [CrossRef]
- Darvesh, S. Butyrylcholinesterase as a diagnostic and therapeutic target for Alzheimer’s disease. Curr. Alzheimer Res. 2016, 13, 1173–1177. [Google Scholar] [CrossRef]
- Praticò, D. Oxidative stress hypothesis in Alzheimer’s disease: A reappraisal. Trends Pharmacol. Sci. 2008, 29, 609–615. [Google Scholar] [CrossRef]
- Van Muiswinkel, F.L.; Kuiperij, H.B. The nrf2-are signalling pathway: Promising drug target to combat oxidative stress in neurodegenerative disorders. Curr. Drug. Targets CNS Neurol. Disord. 2005, 4, 267–281. [Google Scholar] [CrossRef]
- Zhang, Z.; Guo, J.; Cheng, M.; Zhou, W.; Wan, Y.; Wang, R.; Fang, Y.; Jin, Y.; Liu, J.; Xie, S. Design, synthesis, and biological evaluation of novel xanthone-alkylbenzylamine hybrids as multifunctional agents for the treatment of Alzheimer’s disease. Eur. J. Med. Chem. 2021, 213, 113154. [Google Scholar] [CrossRef]
- Cai, R.; Wang, L.; Fan, J.; Geng, S.; Liu, Y. New 4-N-phenylaminoquinoline derivatives as antioxidant, metal chelating and cholinesterase inhibitors for Alzheimer’s disease. Bioorg. Chem. 2019, 93, 103328. [Google Scholar] [CrossRef]
- Zhu, J.; Wang, L.; Cai, R.; Geng, S.; Dong, Y.; Liu, Y. Design, synthesis, evaluation and molecular modeling study of 4-N-phenylaminoquinolines for Alzheimer disease treatment. Bioorg. Med. Chem. Lett. 2019, 29, 1325–1329. [Google Scholar] [CrossRef]
- Liu, Y.; Tian, L.; Hu, D.; Nie, J. Syntheses and anti-cholinesterase activity of 4-N-phenylaminoquinoline derivatives. Chem. J. Chin. Univ. 2017, 38, 392–397. [Google Scholar]
- Wang, J.; Li, W.; Qin, J.; Wang, L.; Wei, S.; Tang, H. Assessment of novel azaanthraquinone derivatives as potent multi-target inhibitors of inflammation and amyloid-beta aggregation in Alzheimer’s disease. Bioorg. Chem. 2019, 83, 477–486. [Google Scholar] [CrossRef]
- Cebeci, Y.U.; Bayrak, H.; Şirin, Y. Synthesis of novel schiff bases and azol-beta-lactam derivatives starting from morpholine and thiomorpholine and investigation of their antitubercular, antiurease activity, acethylcolinesterase inhibition effect and antioxidant capacity. Bioorg. Chem. 2019, 88, 102928. [Google Scholar] [CrossRef]
- Sameem, B.; Saeedi, M.; Mahdavi, M.; Nadri, H.; Moghadam, F.H.; Edraki, N.; Khan, M.I.; Amini, M. Synthesis, docking study and neuroprotective effects of some novel pyrano [3,2-c]chromene derivatives bearing morpholine/phenylpiperazine moiety. Bioorg. Med. Chem. 2017, 25, 3980–3988. [Google Scholar] [CrossRef]
- Ellman, G.L.; Courtney, K.D.; Andres, V.; Featherstone, R.M. A new and rapid colorimetric determination of acetylcholinesterase activity. Biochem. Pharmacol. 1961, 7, 88–95. [Google Scholar] [CrossRef]
- Daina, A.; Michielin, O.; Zoete, V. iLOGP: A simple, robust, and efficient description of n-octanol/water partition coefficient for drug design using the GB/SA approach. J. Chem. Inf. Model. 2014, 54, 3284–3301. [Google Scholar] [CrossRef]
- Cheung, J.; Rudolph, M.J.; Burshteyn, F.; Cassidy, M.S.; Gary, E.N.; Love, J.; Franklin, M.C.; Jude, J. Height Structures of human acetylcholinesterase in complex with pharmacologically important ligands. J. Med. Chem. 2012, 55, 10282. [Google Scholar] [CrossRef]
- Mermer, A.; Demirbaş, N.; Şirin, Y.; Uslu, H.; Özdemir, Z.; Demirbaş, A. Conventional and microwave prompted synthesis, antioxidant, anticholinesterase activity screening and molecular docking studies of new quinolone-triazole hybrids. Bioorg. Chem. 2018, 78, 236–248. [Google Scholar] [CrossRef]
- Nicolet, Y.; Lockridge, O.; Masson, P.; Fontecilla-Camps, J.C.; Nachon, F. Crystal structure of human butyrylcholinesterase and of its complexes with substrate and products. J. Biol. Chem. 2003, 278, 41141–41147. [Google Scholar] [CrossRef]
- Ragab, H.M.; Teleb, M.; Haidar, H.R.; Gouda, N. Chlorinated tacrine analogs: Design, synthesis and biological evaluation of their anti-cholinesterase activity as potential treatment for Alzheimer’s disease. Bioorg. Chem. 2019, 86, 557–568. [Google Scholar] [CrossRef]
- Pajouhesh, H.; Lenz, G.R. Medicinal chemical properties of successful central nervous system drugs. NeuroRx 2005, 2, 541–553. [Google Scholar] [CrossRef]
- Kerns, E.H.; Di, L. Chapter 7 Solubility. In Drug-like Properties: Structure Design and Methods: From ADME to Toxicity Optimization; Kerns, E.H., Di, L., Eds.; Academic Press: Burlington, MA, USA, 2008; pp. 56–85. [Google Scholar]
- Wang, M.; Sun, X.; Luo, W.; Božović, S.; Gong, C.; Ren, J. Characterization and analysis of antioxidant activity of walnut-derived pentapeptide PW5 via nuclear magnetic resonance spectroscopy. Food Chem. 2021, 339, 128047. [Google Scholar] [CrossRef]
- Smietana, M.; Clayette, P.; Mialocq, P.; Vasseur, J.; Oiry, J. Synthesis of new N-isobutyryl-L-cysteine/MEA conjugates: Evaluation of their free radical-scavenging activities and anti-HIV properties in human macrophages. Bioorg. Chem. 2008, 36, 133–140. [Google Scholar] [CrossRef]
- Liu, Y.; Fan, J.; Wang, L. Discovery of guanidine derivatives from Buthus martensii Karsch with metal-binding and cholinesterase inhibition properties. Molecules 2021, 26, 6737. [Google Scholar] [CrossRef] [PubMed]
- Kawakami, K.; Miyoshi, K.; Ida, Y. Impact of the amount of excess solids on apparent solubility. Pharm. Res. 2005, 22, 1537–1543. [Google Scholar] [CrossRef] [PubMed]
- Kerns, E.H.; Di, L. Chapter 23 Lipophilicity Methods. In Drug-like Properties: Structure Design and Methods: From ADME to Toxicity Optimization; Kerns, E.H., Di, L., Eds.; Academic Press: Burlington, MA, USA, 2008; pp. 260–270. [Google Scholar]







| Compd. | n | R | AChE IC50 (μM) a | BChE IC50 (μM) a | SI b | LogP | TPSA (Å2) | MW |
|---|---|---|---|---|---|---|---|---|
| 11a | 3 | H | 4.94 ± 0.15 | 80.91 ± 2.31 | 16.37 | 3.41 | 107.13 | 438.19 |
| 11b | 3 | 2-Cl | 12.51 ± 0.21 | 130.38 ± 4.62 | 10.42 | 4.03 | 107.13 | 472.15 |
| 11c | 3 | 3-Cl | 32.40 ± 0.16 | 114.12 ± 5.36 | 3.55 | 4.03 | 107.13 | 472.15 |
| 11d | 3 | 4-Cl | 88.68 ± 1.10 | 82.39 ± 3.06 | 0.92 | 4.03 | 107.13 | 472.15 |
| 11e | 3 | 4-OH | 34.47 ± 0.09 | >150 | >4.35 | 3.02 | 127.36 | 454.19 |
| 11f | 3 | 4-OCH3 | 12.80 ± 0.55 | 96.60 ± 4.75 | 7.54 | 3.54 | 116.36 | 468.20 |
| 11g | 2 | H | 1.94 ± 0.13 | 28.37 ± 1.85 | 16.30 | 2.96 | 107.13 | 424.17 |
| 11h | 2 | 2-Cl | 6.46 ± 0.77 | 81.08 ± 4.03 | 12.55 | 3.58 | 107.13 | 458.14 |
| 11i | 2 | 3-Cl | 10.01 ± 0.52 | 110.96 ± 5.59 | 11.08 | 3.58 | 107.13 | 458.14 |
| 11j | 2 | 4-Cl | 8.63 ± 0.40 | 76.81 ± 3.76 | 8.90 | 3.58 | 107.13 | 458.14 |
| 11k | 2 | 4-OH | 18.49 ± 1.74 | >150 | >8.11 | 2.57 | 127.36 | 440.17 |
| 11l | 2 | 4-OCH3 | 9.08 ± 0.53 | 63.92 ± 2.87 | 7.03 | 3.09 | 116.36 | 454.19 |
| 11m | 4 | H | 13.34 ± 0.07 | >150 | >11.24 | 3.87 | 107.13 | 452.21 |
| 11n | 4 | 2-Cl | 85.57 ± 0.04 | >150 | >1.75 | 4.49 | 107.13 | 486.17 |
| 11o | 4 | 3-Cl | >150 | 116.25 ± 5.36 | <0.77 | 4.49 | 107.13 | 486.17 |
| 11p | 4 | 4-Cl | 90.46 ± 0.06 | 98.10 ± 0.02 | 1.08 | 4.49 | 107.13 | 486.17 |
| 11q | 4 | 4-OH | 36.81 ± 0.45 | >150 | >4.07 | 3.48 | 127.36 | 468.20 |
| 11r | 4 | 4-OCH3 | 18.92 ± 0.51 | 106.49 ± 1.16 | 5.65 | 5.86 | 116.36 | 482.22 |
| 12a | 3 | H | 9.13 ± 0.42 | 30.53 ± 2.48 | 3.34 | 2.23 | 81.34 | 408.22 |
| 12b | 3 | 2-Cl | 43.28 ± 0.68 | 130.10 ± 3.76 | 3.01 | 2.79 | 81.34 | 442.18 |
| 12c | 3 | 3-Cl | 22.06 ± 0.33 | 27.84 ± 2.16 | 1.26 | 2.79 | 81.34 | 442.18 |
| 12d | 3 | 4-Cl | 21.84 ± 0.20 | 145.00 ± 4.25 | 6.63 | 2.79 | 81.34 | 442.18 |
| A | 0.92 ± 0.05 c | 14.20 ± 0.96 c | 15.43 c | −3.25 d | 100.56 | 501.36 | ||
| B | 0.86 ± 0.03 e | 2.65 ± 0.52 e | 3.08 e | 4.58 | 97.90 | 506.98 | ||
| C | 1.20 ± 0.18 f | 18.52 ± 1.2 f | 15.43 f | 5.20 | 107.13 | 480.56 | ||
| Galanthamine | 1.28 ± 0.01 | 24.41 ± 2.01 | 19.07 | 1.41 | 41.93 | 287.15 | ||
| Compd. | IC50 (μg/mL) | IC50 (μM) |
|---|---|---|
| 11e | 12.01 ± 1.49 | 26.43 ± 3.28 |
| 11f | 4.25 ± 0.63 | 9.07 ± 1.34 |
| 11g | 17.50 ± 2.71 | 41.23 ± 6.38 |
| 11k | 5.75 ± 1.37 | 13.55 ± 3.23 |
| 11l | 2.75 ± 0.53 | 6.05 ± 1.17 |
| 11q | 26.12 ± 2.13 | 55.75 ± 4.55 |
| 11r | 11.25 ± 1.27 | 23.33 ± 2.63 |
| Trolox | 2.76 ± 0.19 | 11.03 ± 0.76 |
Publisher’s Note: MDPI stays neutral with regard to jurisdictional claims in published maps and institutional affiliations. |
© 2022 by the authors. Licensee MDPI, Basel, Switzerland. This article is an open access article distributed under the terms and conditions of the Creative Commons Attribution (CC BY) license (https://creativecommons.org/licenses/by/4.0/).
Share and Cite
Liu, C.; Wang, L.-N.; Liu, Y.-M. Novel Morpholine-Bearing Quinoline Derivatives as Potential Cholinesterase Inhibitors: The Influence of Amine, Carbon Linkers and Phenylamino Groups. Int. J. Mol. Sci. 2022, 23, 11231. https://doi.org/10.3390/ijms231911231
Liu C, Wang L-N, Liu Y-M. Novel Morpholine-Bearing Quinoline Derivatives as Potential Cholinesterase Inhibitors: The Influence of Amine, Carbon Linkers and Phenylamino Groups. International Journal of Molecular Sciences. 2022; 23(19):11231. https://doi.org/10.3390/ijms231911231
Chicago/Turabian StyleLiu, Cheng, Li-Ning Wang, and Yu-Ming Liu. 2022. "Novel Morpholine-Bearing Quinoline Derivatives as Potential Cholinesterase Inhibitors: The Influence of Amine, Carbon Linkers and Phenylamino Groups" International Journal of Molecular Sciences 23, no. 19: 11231. https://doi.org/10.3390/ijms231911231
APA StyleLiu, C., Wang, L.-N., & Liu, Y.-M. (2022). Novel Morpholine-Bearing Quinoline Derivatives as Potential Cholinesterase Inhibitors: The Influence of Amine, Carbon Linkers and Phenylamino Groups. International Journal of Molecular Sciences, 23(19), 11231. https://doi.org/10.3390/ijms231911231

