Phytochemicals with Chemopreventive Activity Obtained from the Thai Medicinal Plant Mammea siamensis (Miq.) T. Anders.: Isolation and Structure Determination of New Prenylcoumarins with Inhibitory Activity against Aromatase
Abstract
1. Introduction
2. Results and Discussion
2.1. Isolation
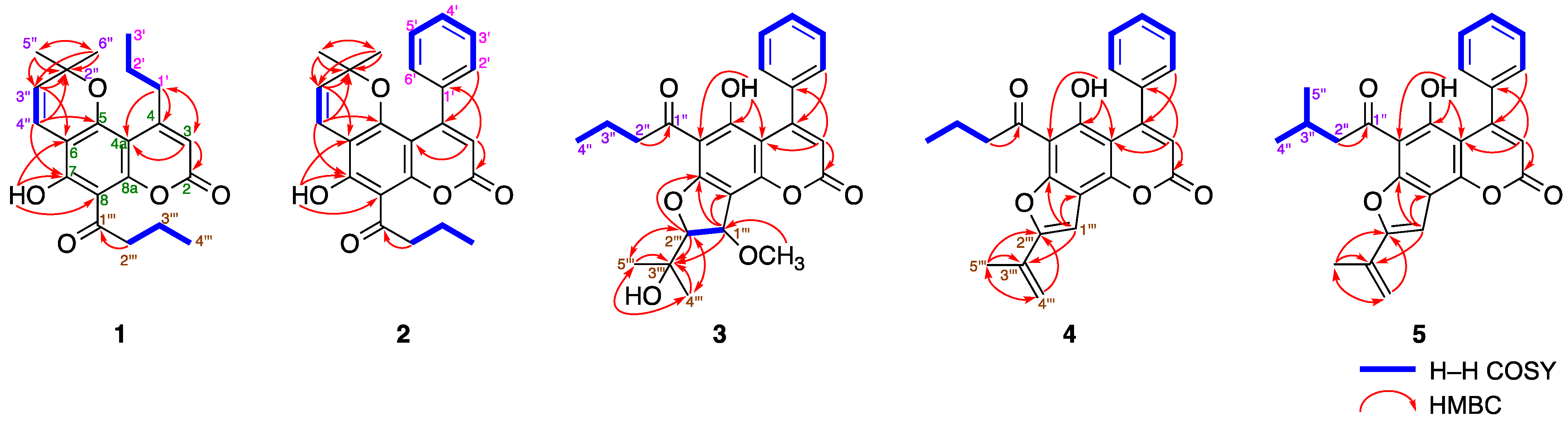
2.2. Structure Determination for Mammeasins K (1), L (2), M (3), N (4), and O (5)
2.3. Inhibitory Activity against Aromatase
3. Materials and Methods
3.1. General
3.2. Plant Material
3.3. Extraction and Isolation
3.3.1. Mammeasin K (1)
3.3.2. Mammeasin L (2)
3.3.3. Mammeasin M (3)
3.3.4. Mammeasin N (4)
3.3.5. Mammeasin O (5)
3.4. Assay for Aromatase Inhibitory Activity
3.4.1. Reagents
3.4.2. Inhibitory Effects against Human Recombinant Aromatase
3.4.3. Kinetic Analysis of Inhibitory Activity against Human Recombinant Aromatase Using Lineweaver-Burk Plots
3.4.4. Statistics
4. Conclusions
Supplementary Materials
Author Contributions
Funding
Institutional Review Board Statement
Informed Consent Statement
Data Availability Statement
Acknowledgments
Conflicts of Interest
References
- Lake, B.G. Coumarin metabolism, toxicity and carcinogenicity: Relevance for human risk assessment. Food Chem. Toxicol. 1999, 37, 423–453. [Google Scholar] [CrossRef]
- Bourgaud, F.; Hehn, A.; Larbat, R.; Doerper, S.; Gonitier, E.; Kellner, S.; Matern, U. Biosynthesis of coumarins in plants: A majior pathway still to be unravelled for cytochrome P450 enzymes. Phytochem. Rev. 2006, 5, 293–308. [Google Scholar] [CrossRef]
- Kostova, I. Synthetic and natural coumarins as antioxidants. Mini-Rev. Med. Chem. 2006, 6, 365–374. [Google Scholar] [CrossRef]
- Vogt, T. Phynylpropanoid biosynthesis. Mol. Plant 2010, 3, 2–20. [Google Scholar] [CrossRef] [PubMed]
- Venugopala, K.N.; Rashmi, V.; Odhav, B. Review on natural coumarin lead compounds for their pharmacological activity. BioMed. Res. Int. 2013, 2013, 963248. [Google Scholar] [CrossRef]
- Musa, M.A.; Latinwo, L.M.; Virgile, C.; Badisa, V.L.D.; Gbadebo, A.J. Synthesis and in vitro evaluation of 3-(4-nitrophenyl)coumarin derivatives in tumor cell lines. Bioorg. Chem. 2015, 58, 96–103. [Google Scholar] [CrossRef] [PubMed]
- Stefanachi, A.; Leonetti, F.; Pisani, L.; Catto, M.; Carotti, A. Coumarin: A natural, privileged and versatile scaffold for bioactive compounds. Molecules 2018, 23, 250. [Google Scholar] [CrossRef] [PubMed]
- Srikrishana, D.; Godugu, C.; Dubey, P.K. A review on pharmacological properties of coumarins. Mini-Rev. Med. Chem. 2018, 18, 113–141. [Google Scholar] [CrossRef]
- Pereira, T.M.; Franco, D.P.; Vitorio, F.; Kümmerle, A.E. Coumarin compounds in medicinal chemistry: Some important examples from the last years. Curr. Top. Med. Chem. 2018, 18, 124–148. [Google Scholar] [CrossRef]
- Gançalves, G.A.; Spillere, A.R.; das Neves, G.M.; Kagami, L.P.; von Poser, G.L.; Canto, R.F.S.; Eifler-Lima, V. Natural and synthetic coumarins as antileishmanial agents: A review. Eur. J. Med. Chem. 2020, 203, 112514. [Google Scholar] [CrossRef]
- Di Stasi, L.C. Coumarin derivatives in inflammatory bowel disease. Molecules 2021, 26, 422. [Google Scholar] [CrossRef]
- Xu, Z.; Chen, Q.; Zhang, Y.; Liang, C. Coumarin-based derivatives with potential anti-HIV activity. Fitoterapia 2021, 150, 104863. [Google Scholar] [CrossRef]
- Abdelmohsen, U.R.; Albohy, A.; Abdulrazik, B.S.; Bayoumi, S.A.L.; Nalak, L.G.; Khallaf, I.S.A.; Bringmann, G.; Farag, S.F. Natural coumarins as potential anti-SARS-CoV-2 agents supported by docking analysis. RSC Adv. 2021, 11, 16970. [Google Scholar] [CrossRef]
- Morikawa, T.; Matsuda, H.; Ohgushi, T.; Nishida, N.; Ishiwada, T.; Yoshikawa, M. Absolute stereostructures of acylated khellactone-type coumarins from Angelica furcijuga. Heterocycles 2004, 63, 2211–2215. [Google Scholar] [CrossRef]
- Morikawa, T.; Matsuda, H.; Nishida, N.; Ohgushi, T.; Yoshikawa, M. Structures of new aromatics glycosides from a Japanese folk medicine, the roots of Angelica furcijuga. Chem. Pharm. Bull. 2004, 52, 1387–1390. [Google Scholar] [CrossRef]
- Matsuda, H.; Morikawa, T.; Ohgushi, T.; Ishiwada, T.; Nishida, N.; Yoshikawa, M. Inhibitors of nitric oxide production from the flowers of Angelica furcijuga: Structures of hyuganosides IV and V. Chem. Pharm. Bull. 2005, 53, 387–392. [Google Scholar] [CrossRef][Green Version]
- Yoshikawa, M.; Nishida, M.; Ninomiya, K.; Ohgushi, T.; Kubo, M.; Morikawa, T.; Matsuda, H. Inhibitory effects of coumarin and acetylene constituents from the roots of Angelica furcijuga on D-galactosamine/lipopolysaccharide-induced liver injury in mice and on nitric oxide production in lipopolysaccharide-activated mouse peritoneal macrophages. Bioorg. Med. Chem. 2006, 14, 456–463. [Google Scholar] [CrossRef]
- Morikawa, T.; Sueyoshi, M.; Chaipech, S.; Matsuda, H.; Nomura, Y.; Yabe, M.; Matsumoto, T.; Ninomiya, K.; Yoshiikawa, M.; Pongpiriyadacha, Y.; et al. Suppressive effects of coumarins from Mammea siamensis on inducible nitric oxide synthase expression in RAW264.7 cells. Bioorg. Med. Chem. 2012, 20, 4968–4977. [Google Scholar] [CrossRef]
- Ninomiya, K.; Shibatani, K.; Sueyoshi, M.; Chaipech, S.; Pongpiriyadacha, Y.; Hayakawa, T.; Muraoka, O.; Morikawa, T. Aromatase inhibitory activity of geranylated coumarins, mammeasins C and D, isolated from the flowers of Mammea siamensis. Chem. Pharm. Bull. 2016, 64, 880–885. [Google Scholar] [CrossRef]
- Tanage, G.; Tsutsui, N.; Shibatani, K.; Marumoto, S.; Ishikawa, F.; Ninomiya, K.; Muraoka, O.; Morikawa, T. Total synthesis of the aromatase inhibitors, mammeasins C and D, from thai medicinal plant Mammea siamensis. Tetrahedron 2017, 73, 4481–4486. [Google Scholar] [CrossRef]
- Morikawa, T.; Luo, F.; Manse, Y.; Sugita, H.; Saeki, S.; Chaipech, S.; Pongpiriyadacha, Y.; Muraoka, O.; Ninomiya, K. Geranylated coumarins from Thai medicinal plant Memmea siamensis with testosterone 5α-reductase inhibitory activity. Front. Chem. 2020, 8, 199. [Google Scholar] [CrossRef]
- Luo, F.; Sugita, H.; Muraki, K.; Saeki, S.; Chaipech, S.; Pongpiriyadacha, Y.; Muraoka, O.; Morikawa, T. Anti-proliferative activities of coumarins from the Thai medicinal plant Mammea siamensis (Miq.) T. Anders. Against human digestive tract carcinoma cell lines. Fitoterapia 2021, 148, 104780. [Google Scholar] [CrossRef]
- Mahidol, C.; Kaweetripob, W.; Prawat, H.; Ruchirawat, S. Mammea coumarins from the flowers of Mammea siamensis. J. Nat. Prod. 2002, 65, 757–760. [Google Scholar] [CrossRef]
- Kaweetripob, W.; Mahidol, C.; Prawat, H.; Ruchirawat, S. Chemical investigation of Mammea siamensis. Pharm. Biol. 2000, 38 (Suppl. 1), 55–57. [Google Scholar] [CrossRef]
- Prachyawarakorn, V.; Mahidol, C.; Ruchirawat, S. Pyranocoumarins from the twigs of Mammea siamensis. Pytochem. 2006, 67, 924–928. [Google Scholar] [CrossRef]
- Guilet, D.; Hélesbeux, J.-J.; Séraphin, D.; Sévenet, T.; Richomme, P.; Bruneton, J. Novel cytotoxic 4-phenyfuranocoumarins from Calophyllum dispar. J. Nat. Prod. 2001, 64, 563–568. [Google Scholar] [CrossRef]
- Kofinas, C.; Chinou, I.; Loukis, A.; Harvala, C.; Maillard, M.; Hostettmann, K. Flavonoids and bioactive coumarins of Tordylium apulum. Phytochem. 1998, 48, 637–641. [Google Scholar] [CrossRef]
- Shul’ts, E.E.; Ganbaatar, Z.; Petrova, T.N.; Shakirov, M.M.; Bagryanskaya, I.Y.; Taraskin, V.V.; Radnaeva, L.D.; Otgonsuren, D.; Pokrovskii, A.G.; Tolstikov, G.A. Plant coumarins. IX. Phenolic compounds of Ferulopsis hystrix growing in Mongolia, cytotoxic activity of 8,9-dihydrofurocoumarins. Chem. Nat. Comp. 2012, 48, 211–217. [Google Scholar] [CrossRef]
- Ngo, N.T.N.; Nguyen, V.T.; Vo, H.V.; Vang, O.; Duus, F.; Ho, T.-D.H.; Pham, H.D.; Nguyen, L.-H.D. Cytotoxic coumarins from the bark of Mammea siamensis. Chem. Pharm. Bull. 2010, 58, 1487–1491. [Google Scholar] [CrossRef]
- Tung, N.H.; Uto, T.; Sakamoto, A.; Hayashida, Y.; Hidaka, Y.; Morinaga, O.; Lhieochaiphant, S.; Shoyama, Y. Antiproliferative and apoptotic effects of compounds from the flower of Mammea siamensis ‘Miq.) T. Anders. On human cancer cell lines. Bioorg. Med. Chem. 2013, 23, 158–162. [Google Scholar] [CrossRef]
- Rungrojsakul, M.; Saiai, A.; Ampasavate, C.; Anuchapreeda, S.; Okonogi, S. Inhibitory effect of mammea E/BB from Mammea siamensis seed extract on Wilms’ tumor 1 protein expression in a K562 leukaemic cell line. Nat. Prod. Res. 2016, 30, 443–447. [Google Scholar] [CrossRef] [PubMed]
- Rungrojsakul, M.; Katekunlaphan, T.; Saiai, A.; Ampasavate, C.; Okonogi, S.; Sweeney, C.A.; Anuchapreeda, S. Down-regulayory mechanism of mammea E/BB from Mammea siamensis seed extract on Wilm’s tumor 1 expression in K562 cells. BMC Complement. Altern. Med. 2016, 16, 130. [Google Scholar] [CrossRef] [PubMed]
- Uto, T.; Tung, N.H.; Thongjankaew, S.; Shoyama, Y. Kayeassamin A isolated from the flower of Mammea siamensis triggers apoptosis by activation caspase-3/-8 in HL-60 human leukemia cells. Pharmacogn. Res. 2016, 8, 244–248. [Google Scholar] [CrossRef]
- Benson, J.R.; Ravisekar, O. Aromatase inhibitors for treatment of breast cancer. Curr. Cancer Ther. 2007, 3, 67–79. [Google Scholar] [CrossRef]
- Monteiro, R.; Faria, A.; Azevedo, I.; Calhau, C. Modulation of breast cancer cell survival by aromatase inhibiting hop (Humulus lupulus L.) flavonoids. J. Steroid Biochem. Mol. Biol. 2007, 105, 124–130. [Google Scholar] [CrossRef]
- Balunas, M.J.; Kinghorn, A.D. Natural compounds with aromatase inhibitory activity: An update. Planta Med. 2010, 76, 1087–1093. [Google Scholar] [CrossRef]
- Shagufta, I.A. Recent development in steroidal and nonsteroidal aromatase inhibitors for the chemoprevention of estrogen-dependent breast cancer. Eur. J. Med. Chem. 2015, 102, 375–386. [Google Scholar] [CrossRef]
- Barker, S. Non-steroidal anti-estrogens in the treatment of breast cancer. Curr. Opin. Investig. Drugs 2006, 7, 1085–1091. [Google Scholar]
- Recanatini, M.; Cavalli, A.; Valenti, P. Nonsteroidal aromatase inhibitors: Recent advances. Med. Res. Rev. 2002, 22, 282–304. [Google Scholar] [CrossRef]
- Sabnis, G.J.; Jevolac, D.; Lorng, B.; Brodie, A. The role of growth factor receptor pathways in human breast cancer cells adapted to long-term estrogen deprovation. Cancer Res. 2005, 65, 3903–3910. [Google Scholar] [CrossRef]
- Santen, R.J.; Lobenhofer, E.K.; Afshari, C.A.; Bao, Y.; Song, R.X. Adaptation of estrogen-regulated genes on long-term estradiol deprived MCF-7 breast cancer cells. Breast Cancer Res. Treat. 2005, 94, 213–223. [Google Scholar] [CrossRef]
- Khan, S.; Zhao, J.; Khan, I.A.; Walker, L.A.; Dasmahapatra, A.K. Potential utility of natural products as regulators of breast cancer-associated aromatase promoters. Reprod. Biol. Endocrinol. 2011, 9, 91. [Google Scholar] [CrossRef] [PubMed]
- Mocanu, M.-M.; Nagy, P.; Szöllósi, J. Chemoprevention of breast cancer by dietary polyphenols. Molecules 2015, 20, 22578–22620. [Google Scholar] [CrossRef]
- Yuan, L.; Cai, Y.; Zhang, L.; Liu, S.; Li, P.; Li, X. Promoting apoptosis, a promising way to treat breast cancer with natural products: A comprehensive review. Front. Pharmacol. 2022, 12, 801662. [Google Scholar] [CrossRef]
- Naeem, M.; Iqbal, M.O.; Khan, H.; Ahmed, M.M.; Farooq, M.; Aadil, M.M.; Jamaludin, M.I.; Hazafa, A.; Tsai, W.-C. A review of twenty years of research on the regulation of signaling pathways by natural products in breast cancer. Molecules 2022, 27, 3412. [Google Scholar] [CrossRef] [PubMed]
- Son, H.-U.; Yoon, E.-K.; Yoo, C.-Y.; Park, C.-H.; Bae, M.-A.; Kim, T.-H.; Lee, C.-H.; Lee, K.W.; Seo, H.; Kim, K.-J.; et al. Effects of synergistic inhibition on α-glucosidase by phytoalexins in soybeans. Biomolecules 2019, 9, 828. [Google Scholar] [CrossRef]
- Kellis, J.T., Jr.; Vickery, L.E. Inhibition of estrogen synthetase (aromatase) by 4-cyclohexylanimine. Endocrinology 1984, 114, 2128–2137. [Google Scholar] [CrossRef]






| Position | 1 a | Position | Mammea B/AC Cyclo D (32) [24] b | ||
|---|---|---|---|---|---|
| δH | δC | δH | δC | ||
| 2 | 159.2 | 2 | 160.06 | ||
| 3 | 6.00 (1H, s) | 110.5 | 3 | 5.93 (1H, s) | 110.32 |
| 4 | 158.4 | 4 | 159.49 | ||
| 4a | 102.7 | 4a | 103.22 | ||
| 5 | 156.5 | 5 | 165.11 | ||
| 6 | 105.9 | 6 | 106.99 | ||
| 7 | 163.0 | 7 | 157.67 | ||
| 8 | 104.3 | 8 | 101.50 | ||
| 8a | 157.4 | 8a | 155.09 | ||
| 7-OH | 14.50 (1H, s) | 5-OH | 15.34 (1H, s) | ||
| 1′ | 2.90 (2H, t, 7.6) | 39.0 | 1′ | 2.92 (2H, dd, 7.5, 7.6) | 38.45 |
| 2′ | 1.66 (2H, qt, 7.6, 7.6) | 23.3 | 2′ | 1.63 (2H, br sext) | 22.74 |
| 3′ | 1.04 (3H, t, 7.6) | 13.9 | 3′ | 0.99 (3H, t, 7.3) | 13.98 |
| 2″ | 79.6 | 1″ | 207.47 | ||
| 3″ | 5.57 (1H, d, 10.1) | 126.3 | 2″ | 3.06 (2H, t, 7.4) | 46.88 |
| 4″ | 6.73 (1H, d, 10.1) | 115.9 | 3″ | 1.72 (2H, sext, 7.4) | 18.28 |
| 5″ | 1.53 (3H, s) | 28.2 | 4″ | 1.00 (3H, t, 7.4) | 13.90 |
| 6″ | 1.53 (3H, s) | 28.2 | 2‴ | 79.65 | |
| 1‴ | 206.4 | 3‴ | 5.57 (1H, d, 10.0) | 126.20 | |
| 2‴ | 3.26 (2H, t, 7.1) | 46.7 | 4‴ | 6.81 (1H, d, 10.0) | 115.67 |
| 3‴ | 1.78 (2H, qt, 7.6, 7.1) | 18.0 | 5‴ | 1.52 (3H, s) | 28.69 |
| 4‴ | 1.03 (3H, t, 7.6) | 13.8 | 6‴ | 1.52 (3H, s) | 29.69 |
| Position | 2 a | Position | Mammea A/AC Cyclo D (30) [24] b | ||
|---|---|---|---|---|---|
| δH | δC | δH | δC | ||
| 2 | 158.9 | 2 | 159.63 | ||
| 3 | 6.01 (1H, s) | 111.9 | 3 | 5.96 (1H, s) | 112.66 |
| 4 | 156.0 | 4 | 156.38 | ||
| 4a | 102.2 | 4a | 102.15 | ||
| 5 | 156.2 | 5 | 164.37 | ||
| 6 | 105.8 | 6 | 106.97 | ||
| 7 | 163.6 | 7 | 158.20 | ||
| 8 | 104.0 | 8 | 101.48 | ||
| 8a | 157.0 | 8a | 154.79 | ||
| 7-OH | 14.59 (1H, s) | 5-OH | 14.73 (1H, s) | ||
| 1′ | 140.0 | 1′ | 139.21 | ||
| 2′,5′ | 7.23 (2H, dd, 1.6, 7.8) | 127.1 | 2′,5′ | 7.29 (2H, m) | 127.15 |
| 3′,6′ | 7.39 (2H, m) | 127.6 | 3′,6′ | 7.38 (2H, m) | 127.60 |
| 4′ | 7.39 (1H, m) | 127.8 | 4′ | 7.38 (1H, m) | 128.21 |
| 2″ | 79.0 | 1″ | 207.20 | ||
| 3″ | 5.39 (1H, d, 10.1) | 126.8 | 2″ | 3.02 (2H, t, 7.3) | 46.79 |
| 4″ | 6.63 (1H, d, 10.1) | 115.3 | 3″ | 1.67 (2H, sext, 7.3) | 18.19 |
| 5″ | 0.95 (3H, s) | 27.4 | 4″ | 0.97 (3H, t, 7.3) | 13.07 |
| 6″ | 0.95 (3H, s) | 27.4 | 2‴ | 79.84 | |
| 1‴ | 206.2 | 3‴ | 5.60 (1H, d, 10.0) | 126.31 | |
| 2‴ | 3.31 (2H, t, 7.3) | 46.6 | 4‴ | 6.86 (1H, d, 10.0) | 115.51 |
| 3‴ | 1.82 (2H, qt, 7.6, 7.3) | 18.1 | 5‴ | 1.55 (3H, s) | 28.26 |
| 4‴ | 1.07 (3H, t, 7.6) | 13.8 | 6‴ | 1.55 (3H, s) | 28.26 |
| Position | 3 | Mammea A/AA Methoxycyclo F (3a) [26] | ||
|---|---|---|---|---|
| δH | δC | δH | δC | |
| 2 | 159.2 | 159.8 | ||
| 3 | 5.98 (1H, s) | 112.6 | 5.99 (1H, s) | 112.5 |
| 4 | 156.5 | 156.5 | ||
| 4a | 102.8 | 102.8 | ||
| 5 | 166.3 | 166.5 | ||
| 6 | 103.0 | 103.3 | ||
| 7 | 165.2 | 164.4 | ||
| 8 | 106.0 | 105.9 | ||
| 8a | 156.5 | 156.8 | ||
| 5-OH | 14.65 (1H, s) | 14.75 (1H, s) | ||
| 1′ | 139.0 | 139.0 | ||
| 2′,5′ | 7.30 (2H, dd, 1.7, 8.1) | 127.2 | 7.31 (2H, m) | 127.2 |
| 3′,6′ | 7.40 (2H, dd, 7.2, 8.1) | 127.7 | 7.40 (2H, m) | 127.7 |
| 4′ | 7.34 (1H, m) | 128.3 | 7.40 (1H, m) | 128.3 |
| 1″ | 205.3 | 205.1 | ||
| 2″ | 3.00 (2H, t, 7.2) | 45.2 | 2.81 (1H, dd, 7.0, 15.0) 3.00 (1H, dd, 7.0, 15.0) | 52.0 |
| 3″ | 1.70 (2H, qt, 7.5, 7.2) | 17.8 | 2.21 (1H, m) | 25.0 |
| 4″ | 0.98 (3H, t, 7.2) | 13.8 | 0.96 (3H, d, 7.0) | 22.6 |
| 5″ | 0.96 (3H, d, 7.0) | 22.6 | ||
| 1‴ | 5.23 (1H, d, 2.9) | 78.7 | 5.23 (1H, d, 3.0) | 78.6 |
| 2‴ | 4.65 (1H, d, 2.9) | 97.8 | 4.65 (1H, d, 3.0) | 97.7 |
| 3‴ | 71.2 | 71.2 | ||
| 4‴ | 1.35 (3H, s) | 25.6 | 1.35 (3H, s) | 25.5 |
| 5‴ | 1.39 (3H, s) | 25.9 | 1.39 (3H, s) | 25.9 |
| 1‴-OCH3 | 3.64 (3H, s) | 57.7 | 3.64 (3H, s) | 57.7 |
| Position | 4 a | 5 b | Oroselone (4a) [28] | |||
|---|---|---|---|---|---|---|
| δH | δC | δH | δC | δH | δC | |
| 2 | 159.3 | 159.3 | 160.62 | |||
| 3 | 6.14 (1H, s) | 114.2 | 6.14 (1H, s) | 114.2 | 6.36 (1H, d, 9.6) | 113.88 |
| 4 | 156.7 | 156.5 | 7.77 (1H, d, 9.6) | 144.32 | ||
| 4a | 103.3 | 103.6 | 113.40 | |||
| 5 | 162.8 | 163.0 | 7.30 (1H, d, 8.5) | 123.79 | ||
| 6 | 104.6 | 104.7 | 7.34 (1H, d, 8.5) | 108.21 | ||
| 7 | 155.7 | 156.4 | 156.90 | |||
| 8 | 111.2 | 111.3 | 118.29 | |||
| 8a | 153.1 | 153.1 | 148.08 | |||
| 5-OH | 14.58 (s) | 14.58 (s) | ||||
| 1′ | 138.9 | 138.9 | ||||
| 2′,5′ | 7.35 (2H, dd, 1.7, 7.7) | 127.2 | 7.36 (2H, dd, 1.7, 7.8) | 127.2 | ||
| 3′,6′ | 7.43 (2H, m) | 127.7 | 7.43 (2H, m) | 127.7 | ||
| 4′ | 7.43 (1H, m) | 128.4 | 7.43 (1H, m) | 128.4 | ||
| 1″ | 204.5 | 204.3 | ||||
| 2″ | 3.26 (2H, t, 7.4) | 45.1 | 3.16 (2H, d, 6.9) | 51.8 | ||
| 3″ | 1.81 (2H, qt, 7.4, 7.4) | 17.7 | 2.32 (1H, m) | 25.0 | ||
| 4″ | 1.06 (3H, t, 7.4) | 13.8 | 1.03 (3H, d, 6.8) | 22.7 | ||
| 5″ | 1.03 (3H, d, 6.8) | 22.7 | ||||
| 1‴ | 6.98 (1H, s) | 100.2 | 6.98 (1H, s) | 100.3 | 6.96 (1H, s) | 99.59 |
| 2‴ | 156.5 | 156.7 | 157.94 | |||
| 3‴ | 132.0 | 132.0 | 132.18 | |||
| 4‴ | 5.25 (1H, br s)5.71 (1H, br s) | 113.4 | 5.25 (1H, br s)5.71 (1H, br s) | 113.3 | 5.24 (1H, s) 5.82 (1H, s) | 118.29 |
| 5‴ | 2.16 (3H, s) | 19.1 | 2.16 (3H, s) | 19.1 | 2.13 (3H, s) | 19.06 |
| Treatment | IC50 (µM) | Treatment | IC50 (µM) |
|---|---|---|---|
| Mammeasin K (1) | 7.6 | Kayaessamin G (22) | 27.8 [19] |
| Mammeasin L (2) | 20.7 | Kayaessamin I (23) | 9.3 |
| Mammeasin M (3) | >100 (43.4) a | Mammea A/AA (24) | 6.9 [19] |
| Mammeasin N (4) | 12.0 | Mammea A/AB (25) | 8.6 [19] |
| Mammeasin O (5) | 9.1 | Mammea A/AC (26) | 13.7 [19] |
| Mammeasin A (6) | 8.7 [19] | Mammea A/AD (27) | 11.3 [19] |
| Mammeasin B (7) | 4.1 [19] | Mammea A/AA cyclo D (28) | 7.2 [19] |
| Mammeasin C (8) | 2.7 [19] | Mammea A/AB cyclo D (29) | 24.1 [19] |
| Mammeasin D (9) | 3.6 [19] | Mammea A/AC cyclo D (30) | 35.0 [19] |
| Mammeasin E (10) | 11.1 | Mammea B/AB cyclo D (31) | 3.1 [19] |
| Mammeasin F (11) | 12.4 | Mammea B/AC cyclo D (32) | 24.6 [19] |
| Mammeasin G (12) | 21.3 | Mammea E/BC cyclo D (33) | 11.5 [19] |
| Mammeasin H (13) | 17.9 | Mammea E/BD cyclo D (34) | 21.1 |
| Mammeasin I (14) | 21.3 | Deacetylammea E/BC cyclo D (35) | 16.6 [19] |
| Mammeasin J (15) | 23.4 | Mammea E/BA (36) | 16.6 [19] |
| Surangin B (16) | 9.8 [19] | Mammea E/BB (37) | 18.6 [19] |
| Surangin C (17) | 8.8 [19] | Mammea E/BC (38) | 23.2 |
| Surangin D (18) | 9.8 [19] | Mammea A/AA cyclo F (39) | 9.2 |
| Kayeassamin A (19) | 10.0 | Mammea A/AC cyclo F (40) | 19.9 |
| Kayaessamin E (20) | 14.9 [19] | Deacetylammea E/AA cyclo D (41) | 19.3 |
| Kayaessamin F (21) | 19.7 [19] | Deacetylammea E/BB cyclo D (42) | 12.1 |
| Aminoglutethimide | 2.0 [19] |
| Treatment | Ki (µM) | Treatment | Ki (µM) |
|---|---|---|---|
| Mammeasin K (1) | 3.4 | Surangin C (17) | 2.6 |
| Mammeasin N (4) | 2.6 | Kayaessamin I (23) | 14.7 |
| Mammeasin O (5) | 2.3 | Mammea A/AA (24) | 13.7 |
| Mammeasin A (6) | 5.1 | Mammea A/AB (25) | 8.1 |
| Mammeasin B (7) | 1.3 | Mammea A/AA cyclo D (28) | 1.2 |
| Mammeasin C (8) | 2.8 | Mammea B/AB cyclo D (31) | 0.84 |
| Mammeasin D (9) | 4.3 | Mammea E/BC cyclo D (33) | 2.3 |
| Mammeasin E (10) | 7.1 | Mammea E/BC (38) | 11.3 |
| Mammeasin F (11) | 12.3 | Mammea A/AA cyclo F (39) | 4.3 |
| Surangin B (16) | 1.3 | ||
| Aminoglutethimide | 0.84 |
Publisher’s Note: MDPI stays neutral with regard to jurisdictional claims in published maps and institutional affiliations. |
© 2022 by the authors. Licensee MDPI, Basel, Switzerland. This article is an open access article distributed under the terms and conditions of the Creative Commons Attribution (CC BY) license (https://creativecommons.org/licenses/by/4.0/).
Share and Cite
Luo, F.; Manse, Y.; Chaipech, S.; Pongpiriyadacha, Y.; Muraoka, O.; Morikawa, T. Phytochemicals with Chemopreventive Activity Obtained from the Thai Medicinal Plant Mammea siamensis (Miq.) T. Anders.: Isolation and Structure Determination of New Prenylcoumarins with Inhibitory Activity against Aromatase. Int. J. Mol. Sci. 2022, 23, 11233. https://doi.org/10.3390/ijms231911233
Luo F, Manse Y, Chaipech S, Pongpiriyadacha Y, Muraoka O, Morikawa T. Phytochemicals with Chemopreventive Activity Obtained from the Thai Medicinal Plant Mammea siamensis (Miq.) T. Anders.: Isolation and Structure Determination of New Prenylcoumarins with Inhibitory Activity against Aromatase. International Journal of Molecular Sciences. 2022; 23(19):11233. https://doi.org/10.3390/ijms231911233
Chicago/Turabian StyleLuo, Fenglin, Yoshiaki Manse, Saowanee Chaipech, Yutana Pongpiriyadacha, Osamu Muraoka, and Toshio Morikawa. 2022. "Phytochemicals with Chemopreventive Activity Obtained from the Thai Medicinal Plant Mammea siamensis (Miq.) T. Anders.: Isolation and Structure Determination of New Prenylcoumarins with Inhibitory Activity against Aromatase" International Journal of Molecular Sciences 23, no. 19: 11233. https://doi.org/10.3390/ijms231911233
APA StyleLuo, F., Manse, Y., Chaipech, S., Pongpiriyadacha, Y., Muraoka, O., & Morikawa, T. (2022). Phytochemicals with Chemopreventive Activity Obtained from the Thai Medicinal Plant Mammea siamensis (Miq.) T. Anders.: Isolation and Structure Determination of New Prenylcoumarins with Inhibitory Activity against Aromatase. International Journal of Molecular Sciences, 23(19), 11233. https://doi.org/10.3390/ijms231911233

