Supramolecular Polymorphism of (G4C2)n Repeats Associated with ALS and FTD
Abstract
1. Introduction
2. Results
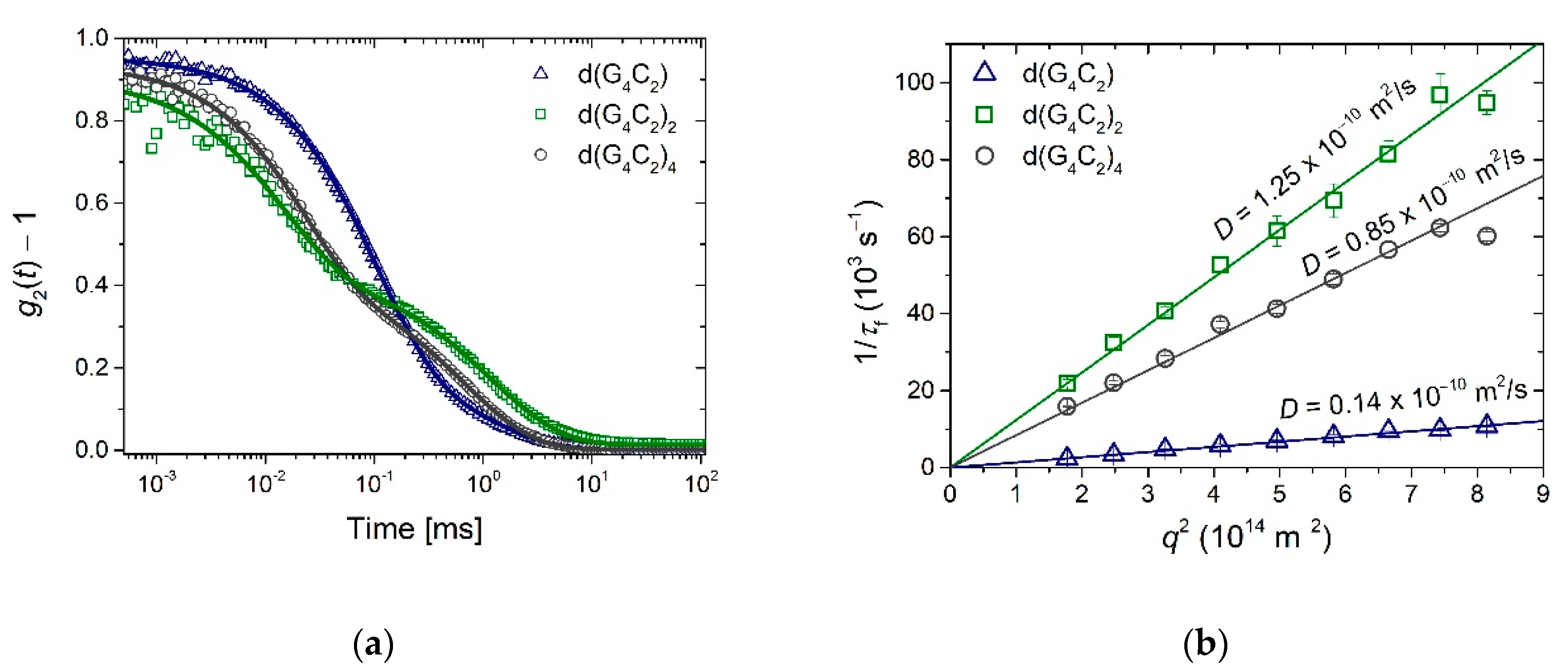
2.1. Dynamic Light Scattering
2.2. Atomic Force Microscopy
3. Discussion
3.1. Self-Assembly of d(G4C2)
3.2. Self-Assembly of d(G4C2)2
3.3. Self-Assembly of d(G4C2)4
4. Materials and Methods
4.1. Materials
4.2. Dynamic Light Scattering
4.3. Atomic Force Microscopy Imaging
5. Conclusions
Author Contributions
Funding
Institutional Review Board Statement
Informed Consent Statement
Data Availability Statement
Conflicts of Interest
References
- Liu, C.; Geng, Y.; Miao, H.; Shi, X.; You, Y.; Xu, N.; Zhou, B.; Zhu, G. G-quadruplex structures formed by human telomeric DNA and C9orf72 hexanucleotide repeats. Biophys. Rev. 2019, 11, 389–393. [Google Scholar] [CrossRef]
- Le, H.T.; Dean, W.L.; Buscaglia, R.; Chaires, J.B.; Trent, J.O. An investigation of g-quadruplex structural polymorphism in the human telomere using a combined approach of hydrodynamic bead modeling and molecular dynamics simulation. J. Phys. Chem. B 2014, 118, 5390–5405. [Google Scholar] [CrossRef]
- Kovanda, A.; Zalar, M.; Sket, P.; Plavec, J.; Rogelj, B. Anti-sense DNA d(GGCCCC)(n) expansions in C9ORF72 form i-motifs and protonated hairpins. Sci. Rep. 2015, 5, 17944. [Google Scholar] [CrossRef]
- Sket, P.; Pohleven, J.; Kovanda, A.; Stalekar, M.; Zupunski, V.; Zalar, M.; Plavec, J.; Rogelj, B. Characterization of DNA G-quadruplex species forming from C9ORF72 G(4)C(2)-expanded repeats associated with amyotrophic lateral sclerosis and frontotemporal lobar degeneration. Neurobiol. Aging 2015, 36, 1091–1096. [Google Scholar] [CrossRef] [PubMed]
- Zhou, B.; Geng, Y.; Liu, C.; Miao, H.; Ren, Y.; Xu, N.; Shi, X.; You, Y.; Lee, T.; Zhu, G. Characterizations of distinct parallel and antiparallel G-quadruplexes formed by two-repeat ALS and FTD related GGGGCC sequence. Sci. Rep. 2018, 8, 2366. [Google Scholar] [CrossRef]
- Bozic, T.; Zalar, M.; Rogelj, B.; Plavec, J.; Sket, P. Structural Diversity of Sense and Antisense RNA Hexanucleotide Repeats Associated with ALS and FTLD. Molecules 2020, 25, 525. [Google Scholar] [CrossRef]
- DeJesus-Hernandez, M.; Mackenzie, I.R.; Boeve, B.F.; Boxer, A.L.; Baker, M.; Rutherford, N.J.; Nicholson, A.M.; Finch, N.A.; Flynn, H.; Adamson, J.; et al. Expanded GGGGCC Hexanucleotide Repeat in Noncoding Region of C9ORF72 Causes Chromosome 9p-Linked FTD and ALS. Neuron 2011, 72, 245–256. [Google Scholar] [CrossRef]
- Leko, M.B.; Župunski, V.; Kirincich, J.; Smilović, D.; Hortobágyi, T.; Hof, P.R.; Šimić, G. Molecular mechanisms of neurodegeneration related to C9orf72 hexanucleotide repeat expansion. Behav. Neurol. 2019. [Google Scholar] [CrossRef]
- Simone, R.; Balendra, R.; Moens, T.G.; Preza, E.; Wilson, K.M.; Heslegrave, A.; Woodling, N.S.; Niccoli, T.; Gilbert-Jaramillo, J.; Abdelkarim, S.; et al. G-quadruplex-binding small molecules ameliorate C9orf72 FTD/ALS pathology in vitro and in vivo. Embo Mol. Med. 2018, 10, 22–31. [Google Scholar] [CrossRef] [PubMed]
- Ursu, A.; Wang, K.W.; Bush, J.A.; Choudhary, S.; Chen, J.L.; Baisden, J.T.; Zhang, Y.-J.; Gendron, T.F.; Petrucelli, L.; Yildirim, I.; et al. Structural features of small molecules targeting the RNA repeat expansion that causes genetically defined ALS/FTD. ACS Chem. Biol. 2020, 15, 3112–3123. [Google Scholar] [CrossRef] [PubMed]
- Brcic, J.; Plavec, J. NMR structure of a G-quadruplex formed by four d(G(4)C(2)) repeats: Insights into structural polymorphism. Nucleic Acids Res. 2018, 46, 11605–11617. [Google Scholar]
- Zhou, B.; Liu, C.; Geng, Y.; Zhu, G. Topology of a G-quadruplex DNA formed by C9orf72 hexanucleotide repeats associated with ALS and FTD. Sci. Rep. 2015, 5. [Google Scholar] [CrossRef]
- Brčić, J.; Plavec, J. ALS and FTD linked GGGGCC-repeat containing DNA oligonucleotide folds into two distinct G-quadruplexes. Biochim. Biophys. Acta Gen. Subj. 2017, 1861, 1237–1245. [Google Scholar] [CrossRef]
- Marsch, T.C.; Henderson, E. G-wires: Self-assembly of a telomeric oligonucleotide, d(GGGGTTGGGG), into large superstructures. Biochemistry 1994, 33, 10718–10724. [Google Scholar] [CrossRef]
- Bose, K.; Lech, C.J.; Heddi, B.; Phan, A.T. High-resolution AFM structure of DNA G-wires in aqueous solution. Nat. Commun. 2018, 9, 1959. [Google Scholar] [CrossRef]
- Varizhuk, A.M.; Protopopova, A.D.; Tsvetkov, V.B.; Barinov, N.A.; Podgorsky, V.V.; Tankevich, M.V.; Vlasenok, M.A.; Severov, V.V.; Smirnov, I.P.; Dubrovin, E.V.; et al. Polymorphism of G4 associates: From stacks to wires via interlocks. Nucleic Acids Res. 2018, 46, 8978–8992. [Google Scholar] [CrossRef] [PubMed]
- Mergny, J.-L.; Sen, D. DNA quadruple helices in nanotechnology. Chem. Rev. 2019, 119, 6290–6325. [Google Scholar] [CrossRef] [PubMed]
- Rodrigues Pontinha, A.D.; Chiorcea-Paquim, A.-M.; Eritja, R.; Oliveira-Brett, A.M. Quadruplex nanostructures of d(TGGGGT): Influence of sodium and potassium ions. Anal. Chem. 2014, 86, 5851–5857. [Google Scholar] [CrossRef]
- Chiorcea-Paquim, A.-M.; Santos, P.V.; Eritja, R.; Oliveira-Brett, A.M. Self-assembled G-quadruplex nanostructures: AFM and voltammetric characterization. Phys. Chem. Chem. Phys. 2013, 15, 9117–9124. [Google Scholar] [CrossRef]
- Keller, D. Reconstruction of STM and AFM images distorted by finite-size tips. Surf. Sci. 1991, 253, 353–364. [Google Scholar] [CrossRef]
- Vesenka, J. Preparation and atomic force microscopy of quadruplex DNA. In DNA Nanotechnology: Methods and Protocols; Zuccheri, G., Samori, B., Eds.; Methods in Molecular Biology; Springer: Cham, Switzerland, 2011; Volume 749, pp. 105–113. [Google Scholar]
- Troha, T.; Drevensek-Olenik, I.; da Silva, M.W.; Spindler, L. Surface-adsorbed long g-quadruplex nanowires formed by G:C linkages. Langmuir 2016, 32, 7056–7063. [Google Scholar] [CrossRef] [PubMed]
- Shankaraswamy, J.; Tyagi, S.; Singh, A.; Miyoshi, D.; Saxena, S. Metal sensitive and DNA concentration dependent structural rearrangement of short oligonucleotide into large suprastructures. J. Biomol. Struct. Dyn. 2019, 37, 2211–2218. [Google Scholar] [CrossRef]
- Reddy, K.; Zamiri, B.; Stanley, S.Y.R.; Macgregor, R.B., Jr.; Pearson, C.E. The Disease-associated r(GGGGCC)(n) Repeat from the C9orf72 gene forms tract length-dependent uni- and multimolecular RNA G-quadruplex structures. J. Biol. Chem. 2013, 288, 9860–9866. [Google Scholar] [CrossRef] [PubMed]
- Haeusler, A.R.; Donnelly, C.J.; Periz, G.; Simko, E.A.J.; Shaw, P.G.; Kim, M.-S.; Maragakis, N.J.; Troncoso, J.C.; Pandey, A.; Sattler, R.; et al. C9orf72 nucleotide repeat structures initiate molecular cascades of disease. Nature 2014, 507, 195. [Google Scholar] [CrossRef]
- Zhang, Y.; Roland, C.; Sagui, C. Structural and dynamical characterization of DNA and RNA quadruplexes obtained from the GGGGCC and GGGCCT hexanucleotide repeats associated with C9FTD/ALS and SCA36 Diseases. ACS Chem. Neurosci. 2018, 9, 1104–1117. [Google Scholar] [CrossRef]
- Parkinson, G.N.; Lee, M.P.H.; Neidle, S. Crystal structure of parallel quadruplexes from human telomeric DNA. Nature 2002, 417, 876–880. [Google Scholar] [CrossRef]
- Smargiasso, N.; Rosu, F.; Hsia, W.; Colson, P.; Baker, E.S.; Bowers, M.T.; De Pauw, E.; Gabelica, V. G-quadruplex DNA assemblies: Loop length, cation identity, and multimer formation. J. Am. Chem. Soc. 2008, 130, 10208–10216. [Google Scholar] [CrossRef]
- Adrian, M.; Ang, D.J.; Lech, C.J.; Heddi, B.; Nicolas, A.; Phan, A.T. Structure and conformational dynamics of a stacked dimeric G-quadruplex formed by the human CEB1 minisatellite. J. Am. Chem. Soc. 2014, 136, 6297–6305. [Google Scholar] [CrossRef] [PubMed]
- Do, N.Q.; Lim, K.W.; Teo, M.H.; Heddi, B.; Phan, A.T. Stacking of G-quadruplexes: NMR structure of a G-rich oligonucleotide with potential anti-HIV and anticancer activity. Nucleic Acids Res. 2011, 39, 9448–9457. [Google Scholar] [CrossRef] [PubMed]
- Spindler, L.; Olenik, I.D.; Copic, M.; Romih, R.; Cerar, J.; Skerjanc, J.; Mariani, P. Dynamic light scattering and (31)P NMR spectroscopy study of the self-assembly of deoxyguanosine 5′-monophosphate. Eur. Phys. J. E 2002, 7, 95–102. [Google Scholar] [CrossRef]
- Spindler, L.; Drevensek-Olenik, I.; Copic, M.; Cerar, J.; Skerjanc, J.; Mariani, P. Dynamic light scattering and P-31 NMR study of the self-assembly of deoxyguanosine 5′-monophosphate: The effect of added salt. Eur. Phys. J. E 2004, 13, 27–33. [Google Scholar] [CrossRef] [PubMed]
- Wlodarczyk, A.; Grzybowski, P.; Patkowski, A.; Dobek, A. Effect of ions on the polymorphism, effective charge, and stability of human telomeric DNA. Photon correlation spectroscopy and circular dichroism studies. J. Phys. Chem. B 2005, 109, 3594–3605. [Google Scholar] [CrossRef]
- Wlodarczyk, A.; Patkowski, A.; Grzybowski, P.; Dobek, A. The effect of mono- and divalent cations on Tetrahymena thermophila telomeric repeat fragment. A photon correlation spectroscopy study. Acta Biochim. Pol. 2004, 51, 971–981. [Google Scholar] [PubMed]
- Kogut, M.; Kleist, C.; Czub, J. Why do G-quadruplexes dimerize through the 5′-ends? Driving forces for G4 DNA dimerization examined in atomic detail. PLoS Comput. Biol. 2019, 15, e1007383. [Google Scholar] [CrossRef] [PubMed]
- Marzano, M.; Falanga, A.P.; Dardano, P.; D’Errico, S.; Rea, I.; Terracciano, M.; De Stefano, L.; Piccialli, G.; Borbone, N.; Oliviero, G. pi-pi stacked DNA G-wire nanostructures formed by a short G-rich oligonucleotide containing a 3′-3′ inversion of polarity site. Org. Chem. Front. 2020, 7, 2187–2195. [Google Scholar] [CrossRef]
- Pavc, D.; Wang, B.; Spindler, L.; Drevensek-Olenik, I.; Plavec, J.; Sket, P. GC ends control topology of DNA G-quadruplexes and their cation-dependent assembly. Nucleic Acids Res. 2020, 48, 2749–2761. [Google Scholar] [CrossRef]
- Berne, B.J.; Pecora, R. Dynamic Light Scattering; Wiley: New York, NY, USA, 1976. [Google Scholar]
- Fratta, P.; Mizielinska, S.; Nicoll, A.J.; Zloh, M.; Fisher, E.M.C.; Parkinson, G.; Isaacs, A.M. C9orf72 hexanucleotide repeat associated with amyotrophic lateral sclerosis and frontotemporal dementia forms RNA G-quadruplexes. Sci. Rep. 2012, 2, 1016. [Google Scholar] [CrossRef]
- Petraccone, L.; Spink, C.; Trent, J.O.; Garbett, N.C.; Mekmaysy, C.S.; Giancola, C.; Chaires, J.B. Structure and stability of higher-order human telomeric quadruplexes. J. Am. Chem. Soc. 2011, 133, 20951–20961. [Google Scholar] [CrossRef]
- Rebic, M.; Mocci, F.; Laaksonen, A.; Ulicny, J. Multiscale simulations of human telomeric G-quadruplex DNA. J. Phys. Chem. B 2015, 119, 105–113. [Google Scholar] [CrossRef]
- Tothova, P.; Krafcikova, P.; Viglasky, V. Formation of highly ordered multimers in G-quadruplexes. Biochemistry 2014, 53, 7013–7027. [Google Scholar] [CrossRef]
- Ilc, T.; Sket, P.; Plavec, J.; da Silva, M.W.; Drevensek-Olenik, I.; Spindler, L. Formation of G-wires: The role of G:C-base pairing and G-quartet stacking. J. Phys. Chem. C 2013, 117, 23208–23215. [Google Scholar] [CrossRef]
- Mertelj, A.; Cmok, L.; Copic, M. Anomalous diffusion in ferrofluids. Phys. Rev. E 2009, 79, 1402. [Google Scholar] [CrossRef] [PubMed]
- Protozanova, E.; Macgregor, R.B. Frayed wires: A thermally stable form of DNA with two distinct structural domains. Biochemistry 1996, 35, 16638–16645. [Google Scholar] [CrossRef]
- Zimbone, M.; Bonaventura, G.; Baeri, P.; Barcellona, M.L. Unusual salt-induced behaviour of guanine-rich natural DNA evidenced by dynamic light scattering. Eur. Biophys. J. Biophys. Lett. 2012, 41, 425–436. [Google Scholar] [CrossRef]
- Prislan, I.; Jamnik, A.; Tomsic, M. Kinetically governed formation of d(G(4)T(2)G(4)) assemblies. Acta Chim. Slov. 2012, 59, 590–600. [Google Scholar]
- Tirado, M.M.; García De La Torre, J. Translational friction coefficients of rigid, symmetric top macromolecules. Application to circular cylinders. J. Chem. Phys. 1979, 71, 2581–2587. [Google Scholar] [CrossRef]
- Schindelin, J.; Arganda-Carreras, I.; Frise, E.; Kaynig, V.; Longair, M.; Pietzsch, T.; Preibisch, S.; Rueden, C.; Saalfeld, S.; Schmid, B.; et al. Fiji: An open-source platform for biological-image analysis. Nat. Methods 2012, 9, 676–682. [Google Scholar] [CrossRef] [PubMed]
- Schneider, C.A.; Rasband, W.S.; Eliceiri, K.W. NIH Image to ImageJ: 25 years of image analysis. Nat. Methods 2012, 9, 671–675. [Google Scholar] [CrossRef]
- Wagner, T.; Hiner, M. Thorstenwagner/ij-Ridgedetection: Ridge Detection 1.4.0. Available online: 10.5281/zenodo.845874 (accessed on 5 March 2021).
- Steger, G. An unbiased detector of curvilinear structures. IEEE Trans. Pattern Anal. Mach. Intell. 1998, 20, 113–125. [Google Scholar] [CrossRef]






Publisher’s Note: MDPI stays neutral with regard to jurisdictional claims in published maps and institutional affiliations. |
© 2021 by the authors. Licensee MDPI, Basel, Switzerland. This article is an open access article distributed under the terms and conditions of the Creative Commons Attribution (CC BY) license (https://creativecommons.org/licenses/by/4.0/).
Share and Cite
Potrč, M.; Sebastián, N.; Škarabot, M.; Drevenšek-Olenik, I.; Spindler, L. Supramolecular Polymorphism of (G4C2)n Repeats Associated with ALS and FTD. Int. J. Mol. Sci. 2021, 22, 4532. https://doi.org/10.3390/ijms22094532
Potrč M, Sebastián N, Škarabot M, Drevenšek-Olenik I, Spindler L. Supramolecular Polymorphism of (G4C2)n Repeats Associated with ALS and FTD. International Journal of Molecular Sciences. 2021; 22(9):4532. https://doi.org/10.3390/ijms22094532
Chicago/Turabian StylePotrč, Melani, Nerea Sebastián, Miha Škarabot, Irena Drevenšek-Olenik, and Lea Spindler. 2021. "Supramolecular Polymorphism of (G4C2)n Repeats Associated with ALS and FTD" International Journal of Molecular Sciences 22, no. 9: 4532. https://doi.org/10.3390/ijms22094532
APA StylePotrč, M., Sebastián, N., Škarabot, M., Drevenšek-Olenik, I., & Spindler, L. (2021). Supramolecular Polymorphism of (G4C2)n Repeats Associated with ALS and FTD. International Journal of Molecular Sciences, 22(9), 4532. https://doi.org/10.3390/ijms22094532

