Experimental Evaluation of Food-Grade Semi-Refined Carrageenan Toxicity
Abstract
1. Introduction
2. Results
3. Discussion
4. Materials and Methods
4.1. Animals and Groups
4.2. Morphological and Immunohistochemical Studies
4.3. Determination of Inflammatory Markers in Blood Serum
4.4. Lysis Protocol for Analysis of Fluorescent Probes and Flow Cytometry
4.5. Analysis of Leukocyte Viability and Cell Death Modes
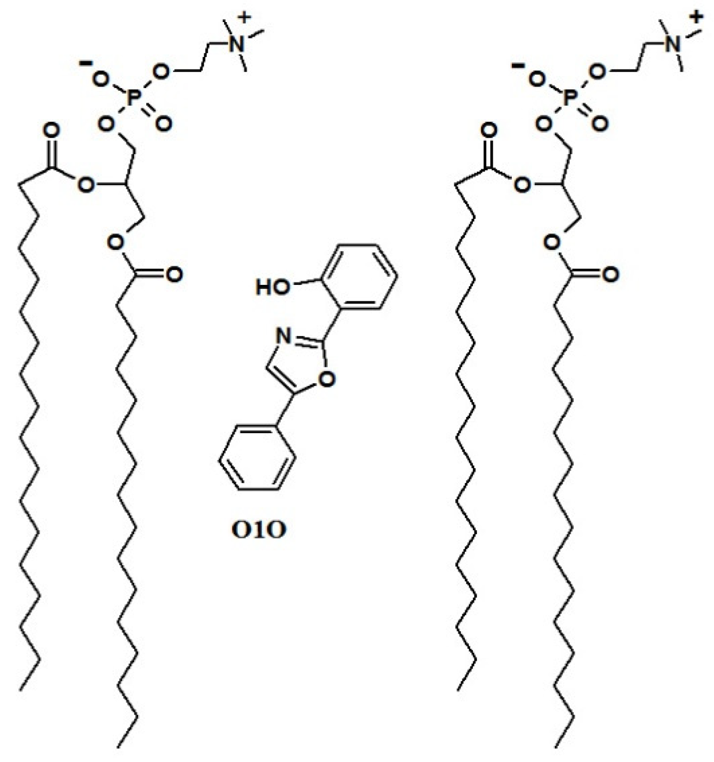
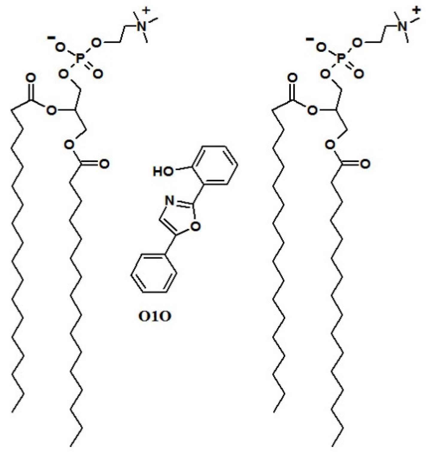
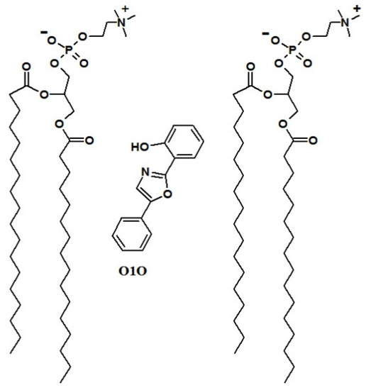
4.6. Characteristics of the Fluorescent Probe
4.7. Statistical Analysis
5. Conclusions
Author Contributions
Funding
Institutional Review Board Statement
Informed Consent Statement
Data Availability Statement
Conflicts of Interest
References
- Necas, J.; Bartosikova, L. Carrageenan: A review. Vet. Med. 2013, 58, 187–205. [Google Scholar] [CrossRef]
- Besednova, N.; Zaporozhets, T.; Kuznetsova, T.; Makarenkova, I.; Fedyanina, L.; Kryzhanovsky, S.; Malyarenko, O.; Ermakova, S. Metabolites of Seaweeds as Potential Agents for the Prevention and Therapy of Influenza Infection. Mar. Drugs 2019, 17, 373. [Google Scholar] [CrossRef]
- Besednova, N.N.; Zvyagintseva, T.N.; Kuznetsova, T.A.; Makarenkova, I.D.; Smolina, T.P.; Fedyanina, L.N.; Kryzhanovsky, S.P.; Zaporozhets, T.S. Marine Algae Metabolites as Promising Therapeutics for the Prevention and Treatment of HIV/AIDS. Metabolites 2019, 9, 87. [Google Scholar] [CrossRef]
- Yermak, I.M.; Mischchenko, N.P.; Davydova, V.N.; Glazunov, V.P.; Tarbeeva, D.V.; Kravchenko, A.O.; Pimenova, E.A.; Sorokina, I.V. Carrageenans-Sulfated Polysaccharides from Red Seaweeds as Matrices for the Inclusion of Echinochrome. Mar. Drugs 2017, 15, 337. [Google Scholar] [CrossRef]
- Kalsoom Khan, A.; Saba, A.U.; Nawazish, S.; Akhtar, F.; Rashid, R.; Mir, S.; Nasir, B.; Iqbal, F.; Afzal, S.; Pervaiz, F.; et al. Carrageenan Based Bionanocomposites as Drug Delivery Tool with Special Emphasis on the Influence of Ferromagnetic Nanoparticles. Oxid. Med. Cell. Longev. 2017, 2017, 8158315. [Google Scholar] [CrossRef]
- Laurienzo, P. Marine polysaccharides in pharmaceutical applications: An overview. Mar. Drugs 2010, 8, 2435–2465. [Google Scholar] [CrossRef] [PubMed]
- Van De Velde, F.; Knutsen, S.; Usov, A.; Rollema, H.; Cerezo, A. 1H and 13C high resolution NMR spectroscopy of carrageenans: Application in research and industry. Trends Food Sci. Technol. 2002, 13, 73–92. [Google Scholar] [CrossRef]
- Borsani, B.; De Santis, R.; Perico, V.; Penagini, F.; Pendezza, E.; Dilillo, D.; Bosetti, A.; Zuccotti, G.V.; D’Auria, E. The Role of Carrageenan in Inflammatory Bowel Diseases and Allergic Reactions: Where Do We Stand? Nutrients 2021, 13, 3402. [Google Scholar] [CrossRef]
- Hotchkiss, S.; Brooks, M.; Campbell, R.; Philp, K.; Trius, A. Carrageenans: Sources and extraction methods, molecular structure, bioactive properties and health effects. In Use Carrageenan Food; Nova Science Publishers, Inc.: Hapog, NY, USA, 2016; pp. 229–243. [Google Scholar]
- Fiorino, G.M.; Garino, C.; Arlorio, M.; Logrieco, A.F.; Losito, I.; Monaci, L. Overview on untargeted methods to combat food frauds: A focus on fishery products. J. Food Qual. 2018, 2018, 1581746. [Google Scholar] [CrossRef]
- Weiner, M.L. Food additive carrageenan: Part II: A critical review of carrageenan in vivo safety studies. Crit. Rev. Toxicol. 2014, 44, 244–269. [Google Scholar] [CrossRef]
- Tobacman, J.K. The common food additive carrageenan and the alpha-gal epitope. J. Allergy Clin. Immunol. 2015, 136, 1708–1709. [Google Scholar] [CrossRef]
- Tobacman, J.K. Review of harmful gastrointestinal effects of carrageenan in animal experiments. Environ. Health Perspect. 2001, 109, 983–994. [Google Scholar] [CrossRef]
- McKim, J.M., Jr.; Baas, H.; Rice, G.P.; Willoughby, J.A., Sr.; Weiner, M.L.; Blakemore, W. Effects of carrageenan on cell permeability, cytotoxicity, and cytokine gene expression in human intestinal and hepatic cell lines. Food Chem. Toxicol. 2016, 96, 1–10. [Google Scholar] [CrossRef]
- Liu, F.; Hou, P.; Zhang, H.; Tang, Q.; Xue, C.; Li, R.W. Food-grade carrageenans and their implications in health and disease. Compr. Rev. Food Sci. Food Saf. 2021, 20, 3918–3936. [Google Scholar] [CrossRef]
- Naimi, S.; Viennois, E.; Gewirtz, A.T.; Chassaing, B. Direct impact of commonly used dietary emulsifiers on human gut microbiota. Microbiome 2021, 9, 66. [Google Scholar] [CrossRef] [PubMed]
- Wang, Q.; Zhang, L.; He, Y.; Zeng, L.; He, J.; Yang, Y.; Zhang, T. Effect of κ-carrageenan on glucolipid metabolism and gut microbiota in high-fat diet-fed mice. J. Funct. Foods 2021, 86, 104707. [Google Scholar] [CrossRef]
- Fahoum, L.; Moscovici, A.; David, S.; Shaoul, R.; Rozen, G.; Meyron-Holtz, E.G.; Lesmes, U. Digestive fate of dietary carrageenan: Evidence of interference with digestive proteolysis and disruption of gut epithelial function. Mol. Nutr. Food Res. 2017, 61, 1600545. [Google Scholar] [CrossRef]
- Wu, W.; Zhen, Z.; Niu, T.; Zhu, X.; Gao, Y.; Yan, J.; Chen, Y.; Yan, X.; Chen, H. kappa-Carrageenan Enhances Lipopolysaccharide-Induced Interleukin-8 Secretion by Stimulating the Bcl10-NF-kappaB Pathway in HT-29 Cells and Aggravates, C. freundii-Induced Inflammation in Mice. Mediat. Inflamm. 2017, 2017, 8634865. [Google Scholar] [CrossRef]
- Campmans-Kuijpers, M.J.E.; Dijkstra, G. Food and Food Groups in Inflammatory Bowel Disease (IBD): The Design of the Groningen Anti-Inflammatory Diet (GrAID). Nutrients 2021, 13, 1067. [Google Scholar] [CrossRef] [PubMed]
- Marion-Letellier, R.; Amamou, A.; Savoye, G.; Ghosh, S. Inflammatory Bowel Diseases and Food Additives: To Add Fuel on the Flames! Nutrients 2019, 11, 1111. [Google Scholar] [CrossRef]
- Ogata, M.; Matsui, T.; Kita, T.; Shigematsu, A. Carrageenan primes leukocytes to enhance lipopolysaccharide-induced tumor necrosis factor alpha production. Infect. Immun. 1999, 67, 3284–3289. [Google Scholar] [CrossRef]
- Posokhov, Y.O.; Kyrychenko, A.; Korniyenko, Y. Derivatives of 2, 5-diaryl-1, 3-oxazole and 2, 5-diaryl-1, 3, 4-oxadiazole as environment-sensitive fluorescent probes for studies of biological membranes. Rev. Fluoresc. 2017, 2018, 199–230. [Google Scholar]
- Doroshenko, A.O.; Posokhov, E.A.; Verezubova, A.A.; Ptyagina, L.M.; Skripkina, V.T.; Shershukov, V.M. Radiationless deactivation of the excited phototautomer form and molecular structure of ESIPT-compounds. Photochem. Photobiol. Sci. 2002, 1, 92–99. [Google Scholar] [CrossRef]
- Doroshenko, A. Intramolecular proton-transfer reaction in an excited state in a series of ortho-hydroxy derivatives of 2, 5-diaryloxazole. High Energy Chem. 1997, 31, 388–394. [Google Scholar]
- Posokhov, Y.; Kyrychenko, A. Location of fluorescent probes (2’-hydroxy derivatives of 2,5-diaryl-1,3-oxazole) in lipid membrane studied by fluorescence spectroscopy and molecular dynamics simulation. Biophys. Chem. 2018, 235, 9–18. [Google Scholar] [CrossRef]
- Tkachenko, A.; Onishchenko, A.; Gorbach, T.; Gubina-Vakulyck, G. O-6-methylguanine-DNA methyltransferase (MGMT) overexpression in small intestinal mucosa in experimental carrageenan-induced enteritis. Malays. J. Biochem. Mol. Biol. 2018, 21, 77–80. [Google Scholar]
- Gubina-Vakyulyk, G.; Gorbach, T.; Tkachenko, A.; Tkachenko, M. Damage and regeneration of small intestinal enterocytes under the influence of carrageenan induces chronic enteritis. Comp. Clin. Pathol. 2015, 24, 1473–1477. [Google Scholar] [CrossRef]
- Campo, V.L.; Kawano, D.F.; da Silva, D.B., Jr.; Carvalho, I. Carrageenans: Biological properties, chemical modifications and structural analysis—A review. Carbohydr. Polym. 2009, 77, 167–180. [Google Scholar] [CrossRef]
- Bhattacharyya, S.; Gill, R.; Chen, M.L.; Zhang, F.; Linhardt, R.J.; Dudeja, P.K.; Tobacman, J.K. Toll-like receptor 4 mediates induction of the Bcl10-NFkappaB-interleukin-8 inflammatory pathway by carrageenan in human intestinal epithelial cells. J. Biol. Chem. 2008, 283, 10550–10558. [Google Scholar] [CrossRef]
- Weiner, M.L.; McKim, J.M. Comment on “Revisiting the carrageenan controversy: Do we really understand the digestive fate and safety of carrageenan in our foods?” by S. David, C. S. Levi, L. Fahoum, Y. Ungar, E. G. Meyron-Holtz, A. Shpigelman and U. Lesmes, Food Funct., 2018, 9, 1344–1352. Food Funct. 2019, 10, 1760–1762. [Google Scholar] [CrossRef] [PubMed]
- Weiner, M.L.; Ferguson, H.E.; Thorsrud, B.A.; Nelson, K.G.; Blakemore, W.R.; Zeigler, B.; Cameron, M.J.; Brant, A.; Cochrane, L.; Pellerin, M.; et al. An infant formula toxicity and toxicokinetic feeding study on carrageenan in preweaning piglets with special attention to the immune system and gastrointestinal tract. Food Chem. Toxicol. 2015, 77, 120–131. [Google Scholar] [CrossRef]
- Weiner, M.L.; Nuber, D.; Blakemore, W.R.; Harriman, J.F.; Cohen, S.M. A 90-day dietary study on kappa carrageenan with emphasis on the gastrointestinal tract. Food Chem. Toxicol. 2007, 45, 98–106. [Google Scholar] [CrossRef]
- McKim, J.M.; Willoughby, J.A., Sr.; Blakemore, W.R.; Weiner, M.L. Clarifying the confusion between poligeenan, degraded carrageenan, and carrageenan: A review of the chemistry, nomenclature, and in vivo toxicology by the oral route. Crit. Rev. Food Sci. Nutr. 2019, 59, 3054–3073. [Google Scholar] [CrossRef] [PubMed]
- David, S.; Shani Levi, C.; Fahoum, L.; Ungar, Y.; Meyron-Holtz, E.G.; Shpigelman, A.; Lesmes, U. Revisiting the carrageenan controversy: Do we really understand the digestive fate and safety of carrageenan in our foods? Food Funct. 2018, 9, 1344–1352. [Google Scholar] [CrossRef] [PubMed]
- Capron, I.; Yvon, M.; Muller, G. In-vitro gastric stability of carrageenan. Food Hydrocoll. 1996, 10, 239–244. [Google Scholar] [CrossRef]
- Ho, C.; Slater, S.J.; Stubbs, C.D. Hydration and order in lipid bilayers. Biochemistry 1995, 34, 6188–6195. [Google Scholar] [CrossRef]
- Kurad, D.; Jeschke, G.; Marsh, D. Lipid membrane polarity profiles by high-field EPR. Biophys. J. 2003, 85, 1025–1033. [Google Scholar] [CrossRef]
- Bartucci, R.; Guzzi, R.; Marsh, D.; Sportelli, L. Intramembrane polarity by electron spin echo spectroscopy of labeled lipids. Biophys. J. 2003, 84, 1025–1030. [Google Scholar] [CrossRef][Green Version]
- Saiz, L.; Klein, M.L. Structural properties of a highly polyunsaturated lipid bilayer from molecular dynamics simulations. Biophys. J. 2001, 81, 204–216. [Google Scholar] [CrossRef][Green Version]
- Noethig-Laslo, V.; Šentjurc, M. Transmembrane polarity profile of lipid membranes. Adv. Planar Lipid Bilayers Liposomes 2006, 5, 365–415. [Google Scholar]
- Darwich, Z.; Klymchenko, A.S.; Kucherak, O.A.; Richert, L.; Mely, Y. Detection of apoptosis through the lipid order of the outer plasma membrane leaflet. Biochim. Biophys. Acta 2012, 1818, 3048–3054. [Google Scholar] [CrossRef] [PubMed]
- Pyrshev, K.A.; Yesylevskyy, S.O.; Mely, Y.; Demchenko, A.P.; Klymchenko, A.S. Caspase-3 activation decreases lipid order in the outer plasma membrane leaflet during apoptosis: A fluorescent probe study. Biochim. Biophys. Acta Biomembr. 2017, 1859, 2123–2132. [Google Scholar] [CrossRef] [PubMed]
- Kopanytsia, O.; Marushchak, M.; Krynytska, I.Y. Carrageenan induces cell death in rats blood. Int. J. Med. Med. Res. 2018, 4, 67–70. [Google Scholar] [CrossRef]
- Tkachenko, A.S.; Onishchenko, A.I.; Lesovoy, V.N.; Myasoedov, V.V. Common food additive E407a affects BCL-2 expression in lymphocytes in vitro. Studia Univ. "Vasile Goldis" Arad. Ser. Stiintele Vietii Life Sci. Ser. 2019, 29, 169–176. [Google Scholar]
- Bhattacharyya, S.; Xue, L.; Devkota, S.; Chang, E.; Morris, S.; Tobacman, J.K. Carrageenan-induced colonic inflammation is reduced in Bcl10 null mice and increased in IL-10-deficient mice. Mediat. Inflamm. 2013, 2013, 397642. [Google Scholar] [CrossRef]
- Bhattacharyya, S.; Shumard, T.; Xie, H.; Dodda, A.; Varady, K.A.; Feferman, L.; Halline, A.G.; Goldstein, J.L.; Hanauer, S.B.; Tobacman, J.K. A randomized trial of the effects of the no-carrageenan diet on ulcerative colitis disease activity. Nutr. Healthy Aging 2017, 4, 181–192. [Google Scholar] [CrossRef]
- Ross, H.M.; Daniel, H.D.; Vivekanandan, P.; Kannangai, R.; Yeh, M.M.; Wu, T.T.; Makhlouf, H.R.; Torbenson, M. Fibrolamellar carcinomas are positive for CD68. Mod. Pathol. 2011, 24, 390–395. [Google Scholar] [CrossRef] [PubMed]
- Gabriyelyan, N.; Lipatova, V. Experience of using index of middle molecules in blood to diagnose nephrological diseases among children. Lab. Delo 1984, 3, 138–140. (In Russian) [Google Scholar]
- Doroshenko, A.; Posokhov, E. Proton phototransfer in a series of ortho-hydroxy derivatives of 2, 5-diaryl-1, 3-oxazole and 2, 5-diaryl-1, 3, 4-oxadiazole in polystyrene films. Theor. Exp. Chem. 1999, 35, 334–337. [Google Scholar] [CrossRef]
- Demchenko, A.P. The problem of self-calibration of fluorescence signal in microscale sensor systems. Lab Chip 2005, 5, 1210–1223. [Google Scholar] [CrossRef]
- Silver, R.B. Ratio imaging: Practical considerations for measuring intracellular calcium and pH in living tissue. Methods Cell Biol. 1998, 56, 237–251. [Google Scholar] [CrossRef] [PubMed]
- Dobretsov, G. Fluorescence Probes in Cell, Membrane and Lipoprotein Investigations; Nauka: Moscow, Russia, 1989; p. 277. (In Russian) [Google Scholar]








| Groups of Animals | Control Group (n = 8) | Experimental Group (n = 8) | p Value |
|---|---|---|---|
| Parameters (Units) | |||
| C-reactive protein (mg/L) | 1.10 [1.01; 1.20] | 8.10 [6.87; 9.55] | 0.0002 |
| Middle molecules (standard units) | 0.086 [0.077; 0.090] | 0.457 [0.387; 0.536] | 0.0009 |
| Groups of Animals | IT */IN * (I477/I371) |
|---|---|
| Control group | 4.1 [3.3; 4.7] |
| Rats orally exposed to E407a | 2.0 [1.6; 2.3] p < 0.001 |
Publisher’s Note: MDPI stays neutral with regard to jurisdictional claims in published maps and institutional affiliations. |
© 2021 by the authors. Licensee MDPI, Basel, Switzerland. This article is an open access article distributed under the terms and conditions of the Creative Commons Attribution (CC BY) license (https://creativecommons.org/licenses/by/4.0/).
Share and Cite
Pogozhykh, D.; Posokhov, Y.; Myasoedov, V.; Gubina-Vakulyck, G.; Chumachenko, T.; Knigavko, O.; Polikarpova, H.; Kalashnyk-Vakulenko, Y.; Sharashydze, K.; Nakonechna, O.; et al. Experimental Evaluation of Food-Grade Semi-Refined Carrageenan Toxicity. Int. J. Mol. Sci. 2021, 22, 11178. https://doi.org/10.3390/ijms222011178
Pogozhykh D, Posokhov Y, Myasoedov V, Gubina-Vakulyck G, Chumachenko T, Knigavko O, Polikarpova H, Kalashnyk-Vakulenko Y, Sharashydze K, Nakonechna O, et al. Experimental Evaluation of Food-Grade Semi-Refined Carrageenan Toxicity. International Journal of Molecular Sciences. 2021; 22(20):11178. https://doi.org/10.3390/ijms222011178
Chicago/Turabian StylePogozhykh, Denys, Yevgen Posokhov, Valeriy Myasoedov, Galina Gubina-Vakulyck, Tetyana Chumachenko, Oleksandr Knigavko, Hanna Polikarpova, Yuliia Kalashnyk-Vakulenko, Ketino Sharashydze, Oksana Nakonechna, and et al. 2021. "Experimental Evaluation of Food-Grade Semi-Refined Carrageenan Toxicity" International Journal of Molecular Sciences 22, no. 20: 11178. https://doi.org/10.3390/ijms222011178
APA StylePogozhykh, D., Posokhov, Y., Myasoedov, V., Gubina-Vakulyck, G., Chumachenko, T., Knigavko, O., Polikarpova, H., Kalashnyk-Vakulenko, Y., Sharashydze, K., Nakonechna, O., Prokopyuk, V., Onishchenko, A., & Tkachenko, A. (2021). Experimental Evaluation of Food-Grade Semi-Refined Carrageenan Toxicity. International Journal of Molecular Sciences, 22(20), 11178. https://doi.org/10.3390/ijms222011178

