Design, Synthesis, and Renal Targeting of Methylprednisolone-Lysozyme
Abstract
1. Introduction
2. Results and Discussion
2.1. Design of MPS–LZM
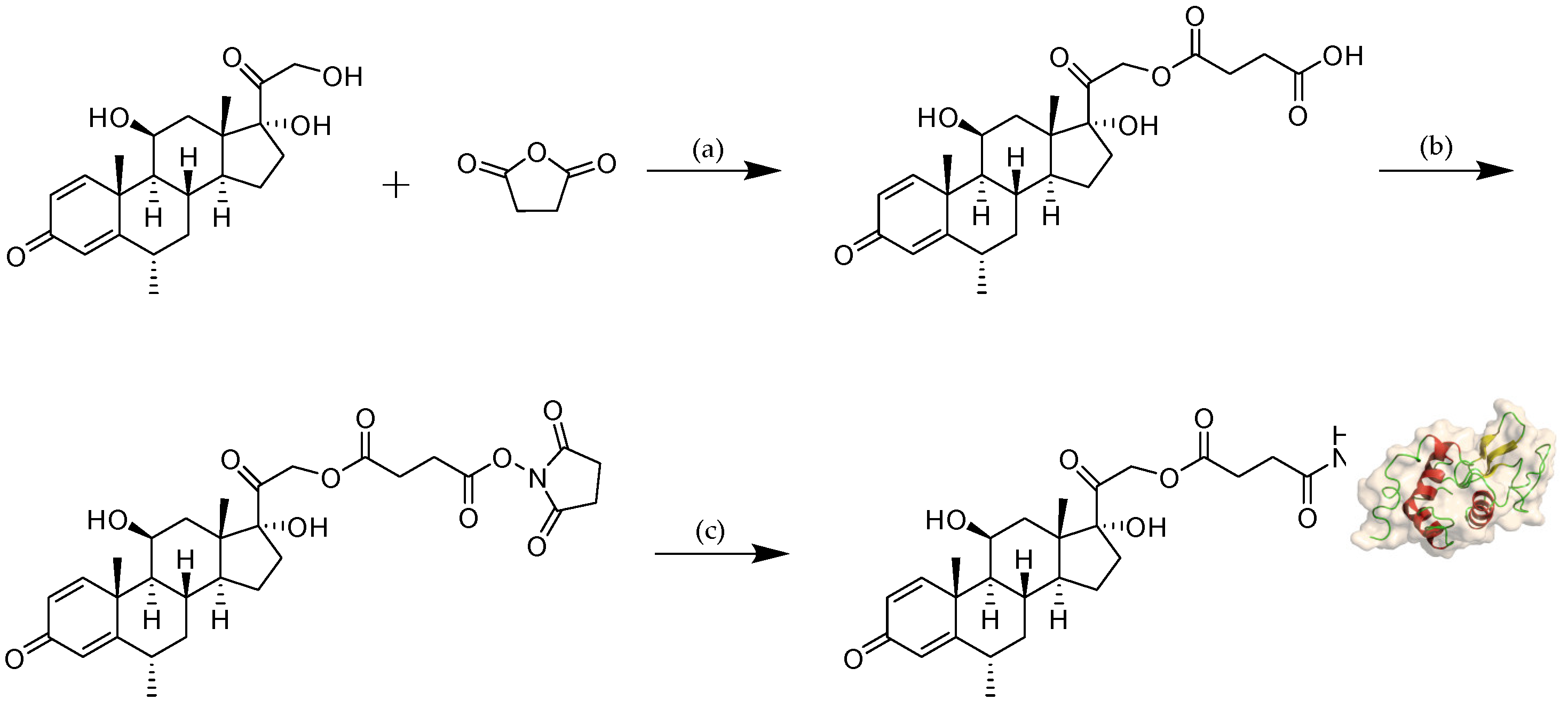
2.2. Synthesis and Characterization of MPS–LZM
2.3. Cellular Uptake of MPS Proximal Tubular Epithelial Cells (PTECs) LZM
2.4. In Vitro Cytotoxicity of MPS-LZM
2.5. In Vivo Pharmacokinetics of MPS–LZM
2.5.1. Plasma Disappearance of MPS–LZM
2.5.2. Renal Accumulation of MPS–LZM
2.5.3. Intrarenal Release of MP
2.6. Biodistribution of MPS-LZM in Vivo
3. Materials and Methods
3.1. Chemistry
3.2. Synthesis of Methylprednisolone–Lysozyme and FITC-Labeled Methylprednisolone–Lysozyme
3.2.1. Synthesis of MP Succinate (MPS)
3.2.2. Synthesis of MPS NHS Ester
3.2.3. Synthesis of MPS–LZM
3.2.4. Synthesis of FITC Labeled MPS–LZM
3.3. Characterization of MPS–LZM
3.4. In Vitro Cell Studies
3.4.1. In vitro Cytotoxicity of MPS–LZM and MP
3.4.2. In vitro Endocytosis of MPS–LZM
3.4.3. In vitro Uptake Assay of MPS–LZM
3.5. Animals
3.6. Pharmacokinetics and Renal Distribution of MPS–LZM
3.7. LC–MS/MS Analysis of MP Concentrations in Plasma and Tissues
3.7.1. Mice Treated with a Single Injection of MP
3.7.2. Mice Treated with a Single Injection of MPS–LZM
3.8. Biodistribution and Intrarenal Fate of FITC-Labeled MPS–LZM
4. Conclusions
Supplementary Materials
Author Contributions
Funding
Acknowledgments
Conflicts of Interest
Abbreviations
| MP | Methylprednisolone |
| MPS-LZM | Methylprednisolone–Lysozyme |
| PTECs | Proximal tubular epithelial cells |
| HIC | Hydrophobic interaction chromatography |
| HPLC | High performance liquid chromatographic |
| TAL | tachypleus amebocyte lysate |
| LC/MS | Liquid chromatographic/Mass spectrometric |
| NMR | Nuclear magnetic resonance |
References
- Imig, J.D.; Ryan, M.J. Immune and inflammatory role in renal disease. Compr. Physiol. 2013, 3, 957–976. [Google Scholar] [CrossRef]
- Tecklenborg, J.; Clayton, D.; Siebert, S.; Coley, S.M. The role of the immune system in kidney disease. Clin. Exp. Immunol. 2018, 192, 142–150. [Google Scholar] [CrossRef]
- Van Kooten, C.; Daha, M.R.; van Es, L.A. Tubular epithelial cells: A critical cell type in the regulation of renal inflammatory processes. Exp. Nephrol. 1999, 7, 429–437. [Google Scholar] [CrossRef]
- Laxmanan, S.; Datta, D.; Geehan, C.; Briscoe, D.M.; Pal, S. CD40: A mediator of pro- and anti-inflammatory signals in renal tubular epithelial cells. J. Am. Soc. Nephrol. 2005, 16, 2714–2723. [Google Scholar] [CrossRef]
- De Haij, S.; Woltman, A.M.; Trouw, L.A.; Bakker, A.C.; Kamerling, S.W.; Van Der Kooij, S.W.; Chen, L.; Kroczek, R.A.; Daha, M.R.; Van Kooten, C. Renal tubular epithelial cells modulate T-cell responses via ICOS-L and B7-H1. Kidney Int. 2005, 68, 2091–2102. [Google Scholar] [CrossRef]
- Wahl, P.; Schoop, R.; Bilic, G.; Neuweiler, J.; Le Hir, M.; Yoshinaga, S.K.; Wüthrich, R.P. Renal tubular epithelial expression of the costimulatory molecule B7RP-1 (inducible costimulator ligand). J. Am. Soc. Nephrol. 2002, 13, 1517–1526. [Google Scholar] [CrossRef] [PubMed]
- Castellano, G.; Cappiello, V.; Fiore, N.; Pontrelli, P.; Gesualdo, L.; Schena, F.P.; Montinaro, V. CD40 ligand increases complement C3 secretion by proximal tubular epithelial cells. J. Am. Soc. Nephrol. 2005, 16, 2003–2011. [Google Scholar] [CrossRef] [PubMed]
- Sheerin, N.S.; Risley, P.; Abe, K.; Tang, Z.; Wong, W.; Lin, T.; Sacks, S.H. Synthesis of complement protein C3 in the kidney is an important mediator of local tissue injury. FASEB J. 2008, 22, 1065–1072. [Google Scholar] [CrossRef] [PubMed]
- Hahn, D.; Hodson, E.M.; Willis, N.S.; Craig, J.C. Corticosteroid therapy for nephrotic syndrome in children. Cochrane Database Syst. Rev. 2015. [Google Scholar] [CrossRef]
- Ponticelli, C.; Locatelli, F. Glucocorticoids in the Treatment of Glomerular Diseases: Pitfalls and Pearls. Clin. J. Am. Soc. Nephrol. 2018, 13, 815–822. [Google Scholar] [CrossRef]
- Gonzalez, E.; Gutierrez, E.; Galeano, C.; Chevia, C.; de Sequera, P.; Bernis, C.; Parra, E.G.; Delgado, R.; Sanz, M.; Ortiz, M.; et al. Early steroid treatment improves the recovery of renal function in patients with drug-induced acute interstitial nephritis. Kidney Int. 2008, 73, 940–946. [Google Scholar] [CrossRef] [PubMed]
- Liu, D.; Ahmet, A.; Ward, L.; Krishnamoorthy, P.; Mandelcorn, E.D.; Leigh, R.; Brown, J.P.; Cohen, A.; Kim, H. A practical guide to the monitoring and management of the complications of systemic corticosteroid therapy. Allergy Asthma Clin. Immunol. 2013, 9, 30. [Google Scholar] [CrossRef] [PubMed]
- Alan, I.S.; Alan, B. Side Effects of Glucocorticoids. In Pharmacokinetics and Adverse Effects of Drugs—Mechanisms and Risks Factors; BoD (Books on Demand): Norderstedt, Germany, 2018. [Google Scholar] [CrossRef]
- Schäcke, H.; Döcke, W.-D.; Asadullah, K. Mechanisms involved in the side effects of glucocorticoids. Pharmacol. Ther. 2002, 96, 23–43. [Google Scholar] [CrossRef]
- Plaza, G.; Herraiz, C. Intratympanic steroids for treatment of sudden hearing loss after failure of intravenous therapy. Otolaryngol. Head Neck Surg. 2007, 137, 74–78. [Google Scholar] [CrossRef] [PubMed]
- Senyigit, T.; Ozer, O. Corticosteroids for Skin Delivery: Challenges and New Formulation Opportunities. In Glucocorticoids—New Recognition of Our Familiar Friend; IntechOpen: London, UK, 2012. [Google Scholar] [CrossRef]
- McGhee, C.N.; Dean, S.; Danesh-Meyer, H. Locally administered ocular corticosteroids. Drug Saf. 2002, 25, 33–55. [Google Scholar] [CrossRef] [PubMed]
- Yuan, Z.X.; Sun, X.; Gong, T.; Ding, H.; Fu, Y.; Zhang, Z.R. Randomly 50% N-acetylated low molecular weight chitosan as a novel renal targeting carrier. J. Drug Target. 2007, 15, 269–278. [Google Scholar] [CrossRef]
- Lin, Y.; Li, Y.; Wang, X.; Gong, T.; Zhang, L.; Sun, X. Targeted drug delivery to renal proximal tubule epithelial cells mediated by 2-glucosamine. J. Control Release 2013, 167, 148–156. [Google Scholar] [CrossRef]
- Zhang, Q.; Fu, Y.; Liu, R.; Gong, T.; Sun, X.; Zhang, Z.-R. Renal-specific delivery of prednisolone-folate conjugates for renal ischemia/reperfusion injury. RSC Adv. 2014, 4, 50828–50831. [Google Scholar] [CrossRef]
- Salazar, M.D.; Ratnam, M. The folate receptor: What does it promise in tissue-targeted therapeutics? Cancer Metastasis Rev. 2007, 26, 141–152. [Google Scholar] [CrossRef]
- Hilgenbrink, A.R.; Low, P.S. Folate receptor-mediated drug targeting: From therapeutics to diagnostics. J. Pharm. Sci. 2005, 94, 2135–2146. [Google Scholar] [CrossRef]
- Cojocel, C.; Baumann, K. Renal handling of endogenous lysozyme in the rat. Renal Physiol. 1983, 6, 258–265. [Google Scholar] [CrossRef] [PubMed]
- Zhang, Z.; Zheng, Q.; Han, J.; Gao, G.; Liu, J.; Gong, T.; Gu, Z.; Huang, Y.; Sun, X.; He, Q. The targeting of 14-succinate triptolide-lysozyme conjugate to proximal renal tubular epithelial cells. Biomaterials 2009, 30, 1372–1381. [Google Scholar] [CrossRef] [PubMed]
- Dolman, M.E.; van Dorenmalen, K.M.; Pieters, E.H.; Lacombe, M.; Pato, J.; Storm, G.; Hennink, W.E.; Kok, R.J. Imatinib-ULS-lysozyme: A proximal tubular cell-targeted conjugate of imatinib for the treatment of renal diseases. J. Control. Release 2012, 157, 461–468. [Google Scholar] [CrossRef] [PubMed]
- Yamaoka, K.; Yoshioka, T. Effects of lysozyme chloride on immune responses of patients with uterine cervical cancer. Gan To Kagaku Ryoho 1983, 10, 1803–1809. [Google Scholar]
- Bianchi, C. Is Fleming’s lysozyme an analgesic agent? An experimental reappraisal of clinical data. Eur. J. Pharmacol. 1981, 71, 211–221. [Google Scholar] [CrossRef]
- Silvetti, T.; Morandi, S.; Hintersteiner, M.; Brasca, M. Use of Hen Egg White Lysozyme in the Food Industry. In Egg Innovations and Strategies for Improvements; Academic Press: Cambridge, MA, USA, 2017; pp. 233–242. [Google Scholar] [CrossRef]
- Proctor, V.A.; Cunningham, F.E. The chemistry of lysozyme and its use as a food preservative and a pharmaceutical. Crit. Rev. Food Sci. Nutr. 1988, 26, 359–395. [Google Scholar] [CrossRef]
- Nielsen, R.; Christensen, E.I.; Birn, H. Megalin and cubilin in proximal tubule protein reabsorption: From experimental models to human disease. Kidney Int. 2016, 89, 58–67. [Google Scholar] [CrossRef]
- Christensen, E.I.; Birn, H. Megalin and cubilin: Multifunctional endocytic receptors. Nat. Rev. Mol. Cell Biol. 2002, 3, 256–266. [Google Scholar] [CrossRef]
- Leheste, J.R.; Rolinski, B.; Vorum, H.; Hilpert, J.; Nykjaer, A.; Jacobsen, C.; Aucouturier, P.; Moskaug, J.O.; Otto, A.; Christensen, E.I.; et al. Megalin knockout mice as an animal model of low molecular weight proteinuria. Am. J. Pathol. 1999, 155, 1361–1370. [Google Scholar] [CrossRef]
- Christensen, E.I.; Verroust, P.J.; Nielsen, R. Receptor-mediated endocytosis in renal proximal tubule. Pflugers Arch. 2009, 458, 1039–1048. [Google Scholar] [CrossRef]
- Dolman, M.E.; Harmsen, S.; Storm, G.; Hennink, W.E.; Kok, R.J. Drug targeting to the kidney: Advances in the active targeting of therapeutics to proximal tubular cells. Adv. Drug Deliv. Rev. 2010, 62, 1344–1357. [Google Scholar] [CrossRef] [PubMed]
- Perazella, M.A. Drug-induced nephropathy: An update. Expert Opin. Drug Saf. 2005, 4, 689–706. [Google Scholar] [CrossRef] [PubMed]
- Kong, A.N.; Jusko, W.J. Disposition of methylprednisolone and its sodium succinate prodrug in vivo and in perfused liver of rats: Nonlinear and sequential first-pass elimination. J. Pharm. Sci. 1991, 80, 409–415. [Google Scholar] [CrossRef] [PubMed]
- Dolman, M.E.; Harmsen, S.; Pieters, E.H.; Sparidans, R.W.; Lacombe, M.; Szokol, B.; Orfi, L.; Keri, G.; Storm, G.; Hennink, W.E.; et al. Targeting of a platinum-bound sunitinib analog to renal proximal tubular cells. Int. J. Nanomed. 2012, 7, 417–433. [Google Scholar] [CrossRef]
- Zheng, Q.; Gong, T.; Sun, X.; Zhang, Z.R. Synthesis, characterization and in vitro evaluation of triptolide-lysozyme conjugate for renal targeting delivery of triptolide. Arch. Pharm. Res. 2006, 29, 1164–1170. [Google Scholar] [CrossRef] [PubMed]









| Pharmacokinetic Parameter | MP | MPS–LZM |
|---|---|---|
| t1/2 (h) | 0.44 | 2.29 |
| Vz (mL/kg) | 4811.80 | 1454.28 |
| MRT(0–t) (h) | 0.30 | 0.87 |
| Pharmacokinetic Parameter | MP | MPS–LZM |
|---|---|---|
| t1/2 (h) | 0.49 | 1.09 |
| Tmax (h) | 0.08 | 1.00 |
| Cmax (ng/mL) | 43.27 | 612.19 |
| AUC(0–t) (h*ng/mL) | 17.59 | 1238.65 |
| MRT(0–t) (h) | 0.29 | 1.44 |
| Released MP in the kidney | ||
| AUC(0–t) (h*ng/mL) | — | 242.18 |
© 2020 by the authors. Licensee MDPI, Basel, Switzerland. This article is an open access article distributed under the terms and conditions of the Creative Commons Attribution (CC BY) license (http://creativecommons.org/licenses/by/4.0/).
Share and Cite
Pan, X.; Xie, F.; Xiao, D.; Zhou, X.; Xiao, J. Design, Synthesis, and Renal Targeting of Methylprednisolone-Lysozyme. Int. J. Mol. Sci. 2020, 21, 1922. https://doi.org/10.3390/ijms21061922
Pan X, Xie F, Xiao D, Zhou X, Xiao J. Design, Synthesis, and Renal Targeting of Methylprednisolone-Lysozyme. International Journal of Molecular Sciences. 2020; 21(6):1922. https://doi.org/10.3390/ijms21061922
Chicago/Turabian StylePan, Xingquan, Fei Xie, Dian Xiao, Xinbo Zhou, and Junhai Xiao. 2020. "Design, Synthesis, and Renal Targeting of Methylprednisolone-Lysozyme" International Journal of Molecular Sciences 21, no. 6: 1922. https://doi.org/10.3390/ijms21061922
APA StylePan, X., Xie, F., Xiao, D., Zhou, X., & Xiao, J. (2020). Design, Synthesis, and Renal Targeting of Methylprednisolone-Lysozyme. International Journal of Molecular Sciences, 21(6), 1922. https://doi.org/10.3390/ijms21061922
