Integrated Analysis of the Transcriptome and Metabolome of Cecropia obtusifolia: A Plant with High Chlorogenic Acid Content Traditionally Used to Treat Diabetes Mellitus
Abstract
1. Introduction
2. Results
2.1. Effect of Nitrate Starvation on the Proliferation Kinetics of C. obtusifolia Cells
2.2. Determination of Phenolic Compounds by Targeted Metabolomics
2.3. Identification of Chemical Markers by Untargeted Metabolomics Analysis
2.4. Construction of the Unigene Set Generated from RNA Isolated from C. obtusifolia Cell Suspensions
2.5. Annotation and Functional Categorization of the C. obtusifolia Transcriptome
2.6. Identification of C. obtusifolia Genes Differentially Expressed in Response to Nitrate Starvation
2.7. Gene Ontology Enrichment Analysis of the DEGs
2.8. Identification of Orthologous Genes and Search for Unigenes of C. obtusifolia Encoding Enzymes Involved in CGA Synthesis
3. Discussion
3.1. Evaluation of Cell Proliferation of Cell Cultures in C. obtusifolia Suspension
3.2. Identification of CGA by Chemical-Analytical Analysis
3.3. Induction of CGA Biosynthesis in Nitrate Deficiency
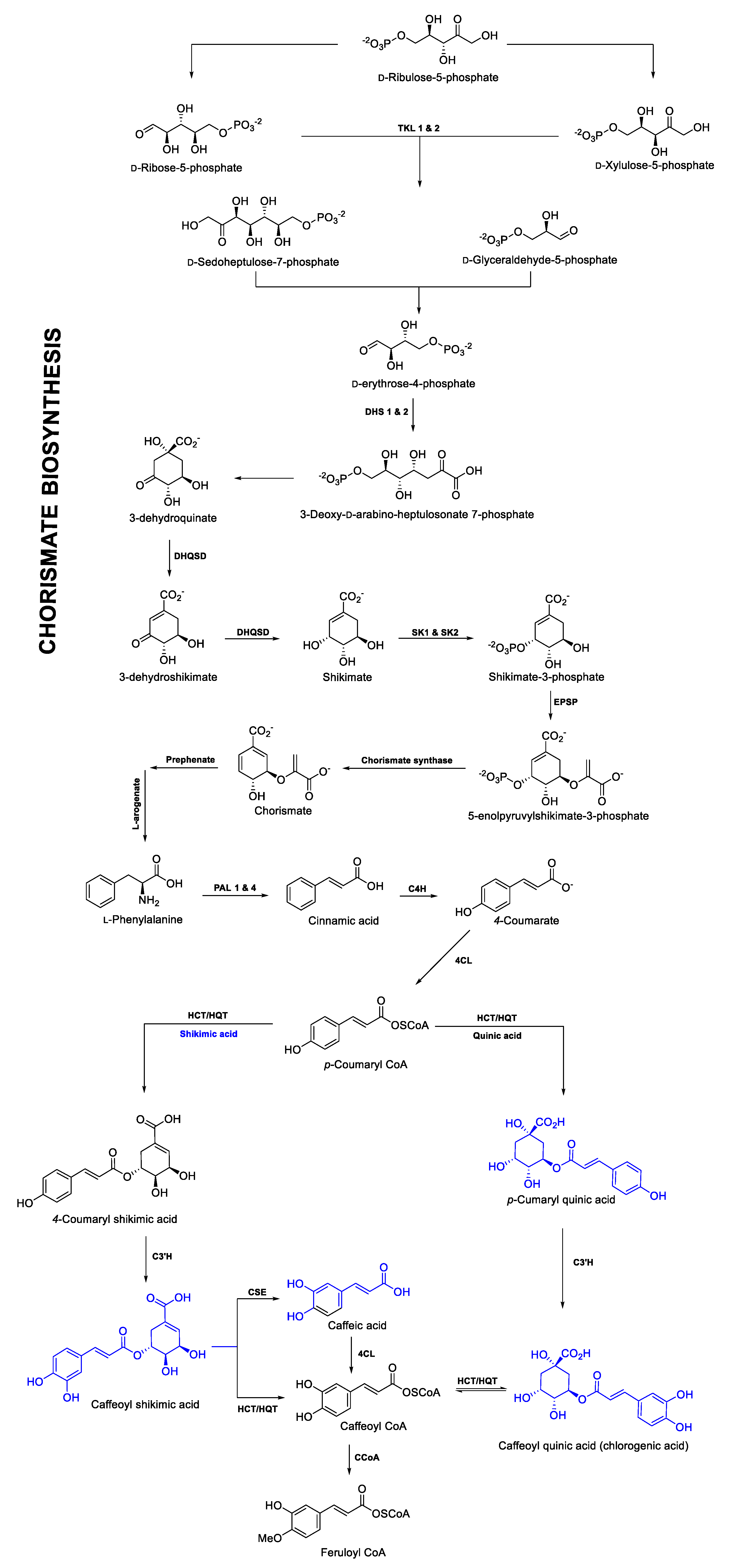
3.4. Description of the CGA Biosynthetic Route from Chemical-Analytical and Theoretical-Computational Analyses
4. Conclusions
5. Materials and Methods
5.1. Callus and Cells in Suspension Cultures
5.2. Temporal Kinetics of Cells in Suspension
5.3. Quantitative Analysis of Methanolic Extracts by HPLC
5.4. Quantitative Analysis of Phenolic Compounds by Targeted Metabolomics Approach
5.5. Identification of Chemical Markers by Untargeted Metabolomics Analysis
5.6. De Novo Transcriptome Assembly
5.7. Identification and Annotation of Protein Coding Regions
5.8. Expression Profiles and Identification of Differentially Expressed Genes (DEGs)
5.9. Identification of Orthologous Genes
5.10. Phylogenetic Trees
Supplementary Materials
Author Contributions
Funding
Acknowledgments
Conflicts of Interest
References
- Verpoorte, R. Secondary metabolism. In Metabolic Engineering of Plant Secondary Metabolism; Springer: Berlin, Germany, 2000; Volume 21, pp. 467–479. [Google Scholar]
- O’Connor, S.E. Engineering of secondary metabolism. Annu. Rev. Genet. 2015, 49, 71–94. [Google Scholar] [CrossRef]
- Zhang, D.; Jayasena, N.; Lyashevsky, A.; Greathouse, J.L.; Xu, L.; Ignatowski, M. TOP-PIM: Throughput-oriented programmable processing in memory. In Proceedings of the 23rd International Symposium on High-Performance Parallel and Distributed Computing, Vancouver, BC, Canada, 23–27 June 2014; pp. 85–98. [Google Scholar]
- Caretto, S.; Linsalata, V.; Colella, G.; Mita, G.; Lattanzio, V. Carbon fluxes between primary metabolism and phenolic pathway in plant tissues under stress. Int. J. Mol. Sci. 2015, 16, 6378–26394. [Google Scholar] [CrossRef]
- Manach, C. Polyphenols: Food sources and bioavailability. Am. J. Clin. Nutr. 2004, 79, 727–747. [Google Scholar] [CrossRef]
- Cordell, G.A.; Kinghorn, A.D.; Pezzuto, J.M. Separation, structure elucidation and bioassay of cytotoxic natural products. In Bioactive Natural Products. Detection, Isolation and Structural Determination; Colegate, S.M., Molyneux, R.J., Eds.; CRC Press: London, UK, 1993; Volume 31, pp. 196–219. [Google Scholar]
- Mans, D.R.A.; Da Rocha, A.B.; Schwartsmann, G. Anti-cancer drug discovery and development in Brazil: Targeted plant collection as a rational strategy to acquire candidate anti-cancer compounds. Oncologist 2000, 5, 185–198. [Google Scholar] [CrossRef]
- Andrade-Cetto, A.; Heinrich, M. Mexican plants with hypoglycaemic effect used in the treatment of diabetes. Ethnopharmacology 2005, 99, 325–348. [Google Scholar] [CrossRef]
- Herrera-Arellano, A.; Aguilar-Santamaría, L.; García Hernández, B.; Nicasio-Torres, P.; Tortoriello, J. Clinical trial of Cecropia obtusifolia and Marrubium vulgare leaf extracts on blood and serum lipids in type 2 diabetics. Phytomedicine 2004, 11, 561–566. [Google Scholar] [CrossRef] [PubMed]
- Nicasio-Torres, P.; Santamaría-Aguilar, L.; Aranda, E.; Ortiz, S.; Gonzáles, M. Hypoglicemic Effect and Chlorogenic Acid Content in Two Cecropia species. Phytother. Res. 2005, 19, 661–664. [Google Scholar] [CrossRef]
- Revilla-Monsalve, M.C.; Andrade-Cetto, A.; Palomino-Garibay, M.A.; Wiedenfeld, H.; Islas-Andrade, S. Hypoglycemic effect of Cecropia obtusifolia Bertol aqueous extract on type 2 diabetic patients. Ethnopharmacology 2007, 111, 636–640. [Google Scholar] [CrossRef] [PubMed]
- Andrade-Cetto, A.; Becerra-Jiménez, J.; Cárdenas-Vázquez, R. Alfa-glucosidase-inhibiting activity of some Mexican plants used in the treatment of type 2 diadetes. Ethnopharmacology 2008, 116, 27–32. [Google Scholar] [CrossRef]
- Martínez-Toledo, V.; Ordáz-Tellez, M.; Castañeda-Sortibrána, A.N.; Andrade-Cetto, A.; Rodríguez-Arnaiz, R. Genotoxicity testing of Cecropia obtusifolia extracts in two in vivo assays: The wing somatic mutation and recombination test of Drosophila and the human cytokinesis-block micronucleus test. Ethnopharmacology 2008, 116, 58–63. [Google Scholar] [CrossRef] [PubMed]
- Cadena-Zamudio, J.D.; Nicasio-Torres, M.P.; Guerrero-Analco, J.A.; Ibarra-Laclette, E. Ethnopharmacological studies of Cecropia obtusifolia (Urticaceae) and its importance in the treatment of type 2 diabetes mellitus: A mini-review. Acta Botánica Mex. 2019, 126, 1–14. [Google Scholar]
- Ortiz, O.O.; Rivera-Mondragón, A.; Pieters, L.; Foubert, K.; Caballero-George, C. Cecropia telenitida Cuatrec. (Urticaceae: Cecropieae): Phytochemical diversity, chemophenetic implications and new records from Central America. Biochem. Syst. Ecol. 2019, 86, 103935. [Google Scholar] [CrossRef]
- Rivera-Mondragón, A.; Bijttebier, S.; Tuenter, E.; Custers, D.; Ortíz, O.O.; Pieters, L.; Foubert, K. Phytochemical characterization and comparative studies of four Cecropia species collected in Panama using multivariate data analysis. Sci. Rep. 2019, 9, 1–14. [Google Scholar] [CrossRef] [PubMed]
- Rivera-Mondragón, A.; Broeckx, G.; Bijttebier, S.; Naessens, T.; Fransen, E.; Kiekens, F.; Foubert, K. Ultrasound-assisted extraction optimization and validation of an HPLC-DAD method for the quantification of polyphenols in leaf extracts of Cecropia species. Sci. Rep. 2019, 9, 1–16. [Google Scholar] [CrossRef] [PubMed]
- Nicasio-Torres, M.P.; Meckes-Fischer, M.; Aguilar-Santamaría, L.; Garduño-Ramírez, M.L.; Chávez-Ávila, V.M.; Cruz-Sosa, F. Production of chlorogenic acid and isoorientin hypoglycemic compounds in Cecropia obtusifolia calli and in cell suspension cultures with nitrate starvation. Acta Physiol. Plant 2012, 34, 307–316. [Google Scholar] [CrossRef]
- Evans, T.; Loose, M. AlignWise: A tool for identifying protein-coding sequence and correcting frame-shifts. BMC Bioinform. 2015, 16, 376. [Google Scholar] [CrossRef]
- Li, B.; Dewey, C.N. RSEM: Accurate transcript quantification from RNA-Seq data with or without a reference genome. BMC Bioinform. 2011, 12, 323. [Google Scholar] [CrossRef] [PubMed]
- Anders, S.; Huber, W. Differential expression analysis for sequence. Genome Biol. 2010, 11, 1. [Google Scholar] [CrossRef]
- The R Project for Statistical Computing. Available online: https://www.r-project.org/ (accessed on 15 May 2018).
- The Gene Ontology Resource. Available online: http://geneontology.org/ (accessed on 23 April 2018).
- Ashburner, M.; Ball, C.A.; Blake, J.A.; Botstein, D.; Butler, H.; Cherry, J.M.; Davis, A.P.; Dolinski, K.; Dwight, S.S.; Eppig, J.T.; et al. Gene Ontology: Tool for the unification of biology. Nat. Genet. 2000, 25, 25–29. [Google Scholar] [CrossRef]
- Lezhneva, L.; Kiba, T.; Feria-Bourrellier, A.B.; Lafouge, F.; Boutet-Mercey, S.; Zoufan, P.; Sakakibara, H.; Daniel-Vedele, F.; Krapp, A. The Arabidopsis nitrate transporter NRT2.5 plays a role in nitrate acquisition and remobilization in nitrogen-starved plants. Plant J. 2014, 80, 230–241. [Google Scholar] [CrossRef]
- Shin, R.; Schachtman, D.P. Hydrogen peroxide mediates plant root cell response to nutrient deprivation. Proc. Natl. Acad. Sci. USA 2004, 101, 8827–8832. [Google Scholar] [CrossRef] [PubMed]
- Queval, G.; Foyer, C.H. Redox regulation of photosynthetic gene expression. Philos. Trans. R. Soc. B Biol. Sci. 2012, 367, 3475–3485. [Google Scholar] [CrossRef] [PubMed]
- Finkemeier, I.; Goodman, M.; Lamkemeyer, P.; Kandlbinder, A.; Sweetlove, L.J.; Dietz, K.L. The mitochondrial type II peroxiredoxin F is essential for redox homeostasis and root growth of Arabidopsis thaliana under stress. Biol. Chem. 2005, 280, 12168–12180. [Google Scholar] [CrossRef] [PubMed]
- Galland, M.; Huguet, R.; Arc, E.; Cueff, G.; Job, D.; Rajjou, L. Dynamic proteomics emphasizes the importance of selective mRNA translation and protein turnover during Arabidopsis Seed Germination. Am. Soc. Biochem. Mol. Biol. 2014, 13, 252–268. [Google Scholar]
- Hossain, M.S.; ElSayed, A.I.; Moore, M.; Dietz, K.J. Redox and reactive oxygen species network in acclimation for salinity tolerance in sugar beet. J. Exp. Bot. 2017, 68, 1283–1298. [Google Scholar] [CrossRef]
- Maruta, T.; Tanouchi, A.; Tamoi, M.; Yabuta, Y.; Yoshimura, K.; Ishikawa, T.; Shigeoka, S. Arabidopsis chloroplastic ascorbate peroxidase isoenzymes play a dual role in photoprotection and gene regulation under photooxidative stress. Plant Cell Physiol. 2010, 51, 190–200. [Google Scholar] [CrossRef]
- Kim, B.H.; Kim, S.Y.; Nam, K.H. Genes encoding plant-specific class III peroxidases are responsible for increased cold tolerance of the brassinosteroid-insensitive 1 mutant. Mol. Cells 2012, 34, 539–548. [Google Scholar] [CrossRef]
- Ozyigit, I.I.; Filiz, E.; Vatansever, R.; Kurtoglu, K.Y.; Koc, I.; Öztürk, M.X.; Anjum, N.A. Identification and comparative analysis of H2O2 scavenging enzymes (Ascorbate peroxidase and glutathione peroxidase) in selected plants employing bioinformatics. Front. Plant Sci. 2016, 7, 301. [Google Scholar] [CrossRef]
- Pietrowska-Borek, M.; Katarzyna, N.; Małgorzata, Z.; Andrzej, G. Diadenosine polyphosphates (Ap3A and Ap4A) behave as alarmones triggering the synthesis of enzymes of the phenylpropanoid pathway in Arabidopsis thaliana. FEBS Open Biol. 2011, 1, 1–6. [Google Scholar] [CrossRef]
- Wong, J.H.; Namasivayam, P.; Abdullah, M.P. The PAL2 promoter activities in relation to structural development and adaptation in Arabidopsis thaliana. Planta 2012, 235, 267–277. [Google Scholar] [CrossRef]
- Kolahi, M.; Jonoubi, P.; Majd, A.; Tabandeh, M.R.; Hashemitabar, M. Differential expression of phenylalanine ammonia-lyase in different tissues of sugarcane (Saccharum officinarum L.) during Development. BioResources 2013, 8, 4912–4922. [Google Scholar] [CrossRef]
- Raes, J.; Rohde, A.; Christensen, J.H.; Van de Peer, Y.; Boerjan, W. Genome-wide characterization of the lignification toolbox in Arabidopsis. Plant Physiol. 2003, 133, 1051–1071. [Google Scholar] [CrossRef] [PubMed]
- Hoffmann, L.; Maury, S.; Martz, F.; Geoffroy, P.; Legrand, M. Purification, cloning, and properties of an acyltransferase controlling shikimate and quinate ester intermediates in phenylpropanoid metabolism. J. Biol. Chem. 2003, 278, 95–103. [Google Scholar] [CrossRef] [PubMed]
- Niggeweg, R.; Michael, A.J.; Martin, C. Engineering plants with increased levels of the antioxidant chlorogenic acid. Nat. Biotechnol. 2004, 2, 746–754. [Google Scholar] [CrossRef]
- Sonnante, G.; D’Amore, R.; Blanco, E.; Pierri, C.L.; De Palma, M.; Luo, J.; Martin, C. Novel hydroxycinnamoyl-coenzyme a quinate transferase genes from artichoke are involved in the synthesis of chlorogenic acid. Plant Physiol. 2010, 153, 1224–1238. [Google Scholar] [CrossRef] [PubMed]
- The R Project for Statistical Computing. Available online: https://cran.r-project.org/web/packages/SuperExactTest/index.html (accessed on 23 June 2018).
- Bassham, D.C. Plant autophagy—More than a starvation response. Curr. Opin. Plant Biol. 2007, 10, 587–593. [Google Scholar] [CrossRef] [PubMed]
- Pérez-Pérez, M.E.; Lemaire, S.D.; Crespo, J.L. Reactive oxygen species and autophagy in plants and algae. Plant Physiol. 2012, 160, 156. [Google Scholar] [CrossRef]
- Hacquard, S.; Spaepen, S.; Garrido-Oter, R.; Schulze-Lefert, P. Interplay between innate immunity and the plant microbiota. Annu. Rev. Phytopathol. 2017, 55, 565–589. [Google Scholar] [CrossRef]
- Farzami-Shepher, M.; Ghorbanli, M. Effects of nutritional factors on the formation of anthraquinones in callus cultures of Rheum ribes. Plant Cell Tissue Organ Cult. 2002, 68, 171–175. [Google Scholar] [CrossRef]
- Mora-Izquierdo, A.; Nicasio-Torres, M.P.; Sepúlveda-Jiménez, G.; Cruz-Sosa, F. Changes in biomass allocation and phenolic compounds accumulation due to the effect of light and nitrate supply in Cecropia peltata plants. Acta Physiol. Plant. 2011, 33, 2135–2147. [Google Scholar] [CrossRef]
- Thalineau, E.; Fournier, C.; Gravot, A.; Wendehenne, D.; Jeandroz, S.; Truong, H.N. Nitrogen modulation of Medicago truncatula resistance to Aphanomyces euteiches depends on plant genotype. Mol. Plant Pathol. 2018, 19, 664–676. [Google Scholar] [CrossRef] [PubMed]
- Cortes-Morales, J.A.; López-Laredo, A.R.; Zamilpa, A.; Bermúdez-Torres, K.; Trejo-Espino, J.L.; Trejo-Tapia, G. Morphogenesis and secondary metabolites production in the medicinal plant Castilleja tenuiflora Benth. Under nitrogen deficiency and starvation stress in a temporary immersion system. Rev. Mex. Ing. Química 2018, 17, 229–242. [Google Scholar] [CrossRef]
- Clé, C.; Hill, L.M.; Niggeweg, R.; Martin, C.R.; Guisez, Y.; Prinsen, E.; Jansen, M.A. Modulation of chlorogenic acid biosynthesis in Solanum lycopersicum; consequences for phenolic accumulation and UV-tolerance. Phytochemistry 2008, 69, 2149–2156. [Google Scholar] [CrossRef] [PubMed]
- Lallemand, L.A.; Zubieta, C.; Lee, S.G.; Wang, Y.; Acajjaoui, S.; Timmins, J.; McCarthy, A.A. A structural basis for the biosynthesis of the major chlorogenic acids found in coffee. Plant Physiol. 2012, 160, 249–269. [Google Scholar] [CrossRef]
- Naveed, M.; Hejazi, V.; Abbas, M.; Kamboh, A.A.; Khan, G.J.; Shumzaid, M.; WenHua, L. Chlorogenic acid (CGA): A pharmacological review and call for further research. Biomed. Pharmacother. 2018, 97, 67–74. [Google Scholar] [CrossRef]
- Clifford, M.N. Chlorogenic acids and other cinnamates–nature, occurrence and dietary burden. Sci. Food Agric. 1999, 79, 362–372. [Google Scholar] [CrossRef]
- Clifford, M.N.; Jaganath, I.B.; Ludwig, I.A.; Crozier, A. Chlorogenic acids and the acyl-quinic acids: Discovery, biosynthesis, bioavailability and bioactivity. Nat. Prod. Rep. 2017, 34, 1391–1421. [Google Scholar] [CrossRef]
- Panico, R.; Powell, W.H.; Richer, J.C. A Guide to IUPAC Nomenclature of Organic Compounds (Vol. 2); Blackwell Scientific Publications: Oxford, UK, 1993. [Google Scholar]
- Clifford, M.N. Chlorogenic acids and other cinnamates–nature, occurrence, dietary burden, absorption and metabolism. J. Sci. Food Agric. 2000, 80, 1033–1043. [Google Scholar] [CrossRef]
- Kremr, D.; Bajer, T.; Bajerová, P.; Surmová, S.; Ventura, K. Unremitting problems with chlorogenic acid nomenclature: A review. Química Nova 2016, 39, 530–533. [Google Scholar] [CrossRef]
- Kundu, A.; Vadassery, J. Chlorogenic acid-mediated chemical defence of plants against insect herbivores. Plant Biol. 2019, 21, 185–189. [Google Scholar] [CrossRef]
- Mills, C.E.; Oruna-Concha, M.J.; Mottram, D.S.; Gibson, G.R.; Spencer, J.P. The effect of processing on chlorogenic acid content of commercially available coffee. Food Chem. 2013, 141, 3335–3340. [Google Scholar] [CrossRef] [PubMed]
- Ulbrich, B.; Zenk, M.H. Partial purification and properties of hydroxycinnamoyl-CoA: Quinate hydroxycinnamoyl transferase from higher plants. Phytochemistry 1979, 18, 929–933. [Google Scholar] [CrossRef]
- Villegas, R.J.; Kojima, M. Purification and characterization of hydroxycinnamoyl D-glucose. Quinate hydroxycinnamoyl transferase in the root of sweet potato, Ipomoea batatas Lam. J. Biol. Chem. 1986, 261, 8729–8733. [Google Scholar] [PubMed]
- Comino, C.; Hehn, A.; Moglia, A.; Menin, B.; Bourgaud, F.; Lanteri, S.; Portis, E. The isolation and mapping of a novel hydroxycinnamoyltransferase in the globe artichoke chlorogenic acid pathway. BMC Plant Biol. 2009, 9, 30. [Google Scholar] [CrossRef]
- Tuan, P.A.; Kwon, D.Y.; Lee, S.; Arasu, M.V.; Al-Dhabi, N.A.; Park, N.I.; Park, S.U. Enhancement of chlorogenic acid production in hairy roots of Platycodon grandiflorum by over-expression of an Arabidopsis thaliana Transcription Factor AtPAP1. Int. J. Mol. Sci. 2014, 15, 14743–14752. [Google Scholar] [CrossRef]
- Hoffmann, L.; Besseau, A.; Geoffroy, P.; Ritzenthaler, C.; Meyer, D.; Lapierre, C.; Pollet, B.; Legranda, M. Silencing of hydroxycinnamoyl-coenzyme a shikimate/quinate hydroxycinnamoyltransferase affects phenylpropanoid biosynthesis. Plant Cell 2004, 16, 1446–1465. [Google Scholar] [CrossRef]
- Eudes, A.; Pereira, J.H.; Yogiswara, S.; Wang, G.; Benites, V.T.; Baidoo, E.E.K.; Lee, T.S.; Adams, P.D.; Keasling, J.D.; Loqué, D. Exploiting the substrate promiscuity of hydroxycinnamoyl-CoA: Shikimate hydroxycinnamoyl transferase to reduce lignin. Plant Cell Physiol. 2016, 57, 568–579. [Google Scholar] [CrossRef]
- Panchy, N.; Lehti-Shiu, M.; Shiu, S.H. Evolution of gene duplication in plants. Plant Physiol. 2016, 171, 2294–2316. [Google Scholar] [CrossRef]
- Chang, J.; Luo, J.; He, G. Regulation of polyphenols accumulation by combined overexpression/silencing key enzymes of phyenylpropanoid pathway. Acta Biochim. Biophys. Sin. 2009, 41, 123–130. [Google Scholar] [CrossRef]
- Reichert, A.I.; He, X.Z.; Dixon, R.A. Phenylalanine ammonia-lyase (PAL) from tobacco (Nicotiana tabacum): Characterization of the four tobacco PAL genes and active heterotetrameric enzymes. Biochem. J. 2009, 424, 233–242. [Google Scholar] [CrossRef]
- Vanholme, R.; Storme, V.; Vanholme, B.; Sundin, L.; Christensen, J.H.; Goeminne, G.; Boerjan, W. A systems biology view of responses to lignin biosynthesis perturbations in Arabidopsis. Plant Cell 2012, 24, 3506–3529. [Google Scholar] [CrossRef] [PubMed]
- Tsai, C.J.; Harding, S.A.; Tschaplinski, T.J.; Lindroth, R.L.; Yuan, Y. Genome wide analysis of the structural genes regulating defense phenylpropanoid metabolism in Populus. New Phytol. 2006, 172, 47–62. [Google Scholar] [CrossRef] [PubMed]
- Shi, R.; Shuford, C.M.; Wang, J.P.; Sun, Y.H.; Yang, Z.; Chen, H.C.; Tunlaya-Anukit, S.; Li, Q.; Liu, J.; Muddiman, D.C.; et al. Regulation of phenylalanine ammonia-lyase (PAL) gene family in wood forming tissue of Populus trichocarpa. Planta 2013, 238, 487–497. [Google Scholar] [CrossRef] [PubMed]
- de Jong, F.; Hanley, S.J.; Beale, M.H.; Karp, A. Characterization of the willow phenylalanine ammonia-lyase (PAL) gene family reveals expression differences compared with poplar. Phytochemistry 2015, 117, 90–97. [Google Scholar] [CrossRef]
- Vanholme, R.; Cesarino, I.; Rataj, K.; Xiao, Y.; Sundin, L.; Goeminne, G.; Kim, H.; Cross, J.; Morreel, K.; Araujo, P.; et al. Caffeoyl shikimate esterase (CSE) is an enzyme in the lignin biosynthetic pathway in Arabidopsis. Science 2013, 6, 1103–1106. [Google Scholar] [CrossRef]
- Escamilla-Treviño, L.L.; Shen, H.; Hernandez, T.; Yin, Y.; Xu, Y.; Dixon, R.A. Early lignin pathway enzymes and routes to chlorogenic acid in switchgrass (Panicum virgatum L.). Plant Mol. Biol. 2014, 84, 565–576. [Google Scholar] [CrossRef]
- Ha, C.M.; Escamilla-Trevino, L.; Yarce JC, S.; Kim, H.; Ralph, J.; Chen, F.; Dixon, R.A. An essential role of caffeoyl shikimate esterase in monolignol biosynthesis in Medicago truncatula. Plant J. 2016, 86, 363–375. [Google Scholar] [CrossRef]
- Saleme, M.; Cesarino, I.; Vargas, L.; Kim, H.; Vanholme, R.; Goeminne, G.; Van, R.A.; Fonseca, F.; Pallidis, A.; Voorend, W. Silencing caffeoyl shikimate esterase affects lignification and improves saccharification. Plant Physiol. 2017, 175, 1040–1057. [Google Scholar] [CrossRef]
- Liu, Q.; Luo, L.; Zheng, L. Lignins: Biosynthesis and biological functions in plants. Int. J. Mol. Sci. 2018, 19, 335. [Google Scholar] [CrossRef]
- Murashige, T.; Skoog, F. A revised medium for rapid growth and bioassay with tobacco tissue culture. Physiol. Plant. 1962, 15, 473–497. [Google Scholar] [CrossRef]
- Juárez-Trujillo, N.; Jiménez-Fernández, V.M.; Guerrero-Analco, J.A.; Monribot-Villanueva, J.L.; Jiménez Fernandez, M. Caracterización del aceite y harina obtenido de la semilla de uva silvestre (Vitis tiliifolia). Rev. Mex. Cienc. Agrícolas 2017, 8, 1113–1126. [Google Scholar] [CrossRef][Green Version]
- Guijas, C.; Montenegro-Burke, J.R.; Domingo-Almenara, X.; Palermo, A.; Warth, B.; Hermann, G.; Wolan, D.W. METLIN: A technology platform for identifying knowns and unknowns. Anal. Chem. 2018, 90, 3156–3164. [Google Scholar] [CrossRef] [PubMed]
- Monribot-Villanueva, J.L.; Elizalde-Contreras, J.M.; Aluja, M.; Segura-Cabrera, A.; Birke, A.; Guerrero-Analco, J.A.; Ruiz-May, E. Endorsing and extending the repertory of nutraceutical and antioxidant sources in mangoes during postharvest shelf life. Food Chem. 2019, 285, 119–129. [Google Scholar] [CrossRef] [PubMed]
- Jayasena, A.S.; Secco, D.; Bernath-Levin, K.; Berkowitz, O.; Whelan, J.; Mylne, J.S. Next generation sequencing and de novo transcriptomics to study gene evolution. Plant Methods 2014, 10, 34. [Google Scholar] [CrossRef][Green Version]
- Xiao, M.; Zhang, Y.; Chen, X.; Lee, E.; Barber, C.J.S.; Chakrabarty, R.; Desgagné-Penix, I.; Haslam, T.M.; Kim, Y.; Liu, E. Transcriptome analysis based on next-generation sequencing of non-model plants producing specialized metabolites of biotechnological interest. Biotechnology 2013, 166, 122–134. [Google Scholar]
- GitHub. Available online: https://github.com/Czh3/NGSTools/blob/master/qualityControl.py (accessed on 10 October 2017).
- GitHub. Available online: https://github.com/jstjohn/SeqPrep (accessed on 13 November 2017).
- Grabherr, M.G.; Haas, B.J.; Yassour, M.; Levin, J.Z.; Thompson, D.A.; Amit, I.; Adiconis, X.; Fan, L.; Raychowdhury, R.; Zeng, Q.; et al. Trinity: Reconstructing a full-length transcriptome without a genome from RNA-Seq data. Nat. Biotechnol. 2011, 29, 644–652. [Google Scholar] [CrossRef]
- Sourceforge. Available online: https://sourceforge.net/projects/seqclean/ (accessed on 18 November 2017).
- Sourceforge. Available online: http://deconseq.sourceforge.net/manual.html (accessed on 28 November 2017).
- Altschul, S.F.; Gish, W.; Miller, W.; Myers, E.W.; Lipman, D.J. Basic local alignment search tool. Mol. Biol. 1990, 215, 403–410. [Google Scholar] [CrossRef]
- Edgar, R.C. MUSCLE: Multiple sequence alignment with high accuracy and high throughput. Nucleic Acids Res. 2004, 32, 1792–1797. [Google Scholar] [CrossRef]
- Birney, E.; Andrews, T.D.; Bevan, P.; Caccamo, M.; Chen, Y.; Clarke, L.; Down, T. An overview of Ensembles. Genome Res. 2004, 14, 925–928. [Google Scholar] [CrossRef]
- The National Center for Biotechnology Information (NCBI News). Available online: www.ncbi.nlm.nih.gov/Web/Newsltr/Spring04/blastlab.html (accessed on 24 May 2018).
- The National Center for Biotechnology Information (NCBI). Available online: https://www.ncbi.nlm.nih.gov (accessed on 27 September 2017).
- Langmead, B.; Salzberg, S.L. Fast gapped-read alignment with Bowtie 2. Nat. Methods 2012, 9, 357–359. [Google Scholar] [CrossRef]
- Li, L.; Stoeckert, C.J.; Roos, D.S. OrthoMCL: Identification of ortholog groups for eukaryotic genomes. Genome Res. 2003, 13, 2178–2189. [Google Scholar] [CrossRef] [PubMed]
- Enright, J.A.; Van Dongen, S.; Ouzounis, C.A. An efficient algorithm for large-scale detection of protein families. Nucleic Acids Res. 2002, 30, 7. [Google Scholar] [CrossRef] [PubMed]
- MetaCyc Metabolic Pathway Database. Available online: https://metacyc.org/ (accessed on 11 February 2018).
- Guindon, S.; Gascuel, O. A simple, fast, and accurate algorithm to estimate large phylogenies by maximum likelihood. Syst. Biol. 2003, 52, 696–704. [Google Scholar] [CrossRef] [PubMed]
- Guidon, M.; Hutter, J.; VandeVondele, J. Auxiliary density matrix methods for hartree−fock exchange calculations. Chem. Theory Comput. 2010, 6, 2348–2364. [Google Scholar] [CrossRef] [PubMed]
- Anisimova, M.; Gascuel, O. Approximate likelihood-ratio test for branches: A fast, accurate, and powerful alternative. Syst. Biol. 2006, 55, 539–552. [Google Scholar] [CrossRef] [PubMed]
Publisher’s Note: MDPI stays neutral with regard to jurisdictional claims in published maps and institutional affiliations. |









| Condition NO3 (mM) | Average Maximal Biomass in Dry Weight (g L −1) | Duplication Time (Days) | µ (Days−1) |
|---|---|---|---|
| 27.4 mM | 0.433 a | 32.83 a | 0.021 a |
| 16 mM | 0.426 a | 25.33 a | 0.028 a |
| 8 mM | 0.433 a | 30.18 a | 0.023 a |
| 4 mM | 0.313 a | 65.72 b | 0.011 b |
| Compounds | Nitrates (mM) | Time | ||||||
|---|---|---|---|---|---|---|---|---|
| 3 Hours | 7 Days | 14 Days | 21 Days | 28 Days | ||||
| Phenylpropanoid pathway | Upstream | Shikimic acid | 27.4 | ND | ND | ND | ND | ND |
| 16 | ND | 6.4 ± 5.6 | 20.3 ± 0.6 | 17.4 ± 5.4 | 27.4 ± 15.7 | |||
| 4 | ND | ND | 14.3 ± 6.8 | 26.9 ± 23.9 | 20.6 ± 4.2 | |||
| t-Cinnamic acid | 27.4 | ND | ND | ND | ND | ND | ||
| 16 | ND | ND | ND | 3.9 ± 0.8 | 2.2 ± 2.1 | |||
| 4 | ND | ND | ND | ND | ND | |||
| p-coumaric acid | 27.4 | ND | ND | ND | ND | 2.2 ± 1.2 | ||
| 16 | ND | ND | ND | ND | ND | |||
| 4 | 7.3 ± 7.9 | 7.2 ± 11.1 | ND | ND | ND | |||
| Caffeic acid | 27.4 | 89.6 ± 8.7 | 82.1 ± 15.9 | 63.0 ± 8.1 | 59.3 ± 2.3 | 53.0 ± 5.7 | ||
| 16 | 93.4 ± 23.3 | 93.6 ± 4.3 | 76.7 ± 6.1 | 250.9 ± 5.4 | 345.6 ± 50.7 | |||
| 4 | 84.2 ± 5.5 | 88.5 ± 18.2 | 86.4 ± 2.7 | 102.3 ± 45.5 | 85.5 ± 10.8 | |||
| Chlorogenic acid | 27.4 | 69,437.7 ± 13,071.5 | 65,014.6 ± 7730.3 | 46,218.1 ± 7753.6 | 50,271.1 ± 872.4 | 50,515.6 ± 8999.8 | ||
| 16 | 73,933.2 ± 26,317.3 | 62,615.2 ± 9428.4 | 60,899.9 ± 7435.3 | 82,379.5 ± 13,363.7 | 102,392.2 ± 10,253.0 | |||
| 4 | 61,346.7 ± 4250.8 | 57,679.7 ± 7739.2 | 59,133.0 ± 23,575.2 | 75,282.7 ± 22,141.7 | 67,328.4 ± 21,360.3 | |||
| Downstream | Ferulic acid | 27.4 | ND | 4.6 ± 2.1 | 7.5 ± 0.5 | 7.9 ± 1.8 | 8.9 ± 0.8 | |
| 16 | ND | 8.1 ± 5.9 | 8.2 ± 2.1 | 8.4 ± 1.7 | 8.1 ± 0.5 | |||
| 4 | 4.4 ± 1.4 | 7.4 ± 6.5 | 9.5 ± 1.4 | 8.2 ± 3.5 | 6.9 ± 1.0 | |||
| Vanillin | 27.4 | 22.7 ± 29.5 | 8.5 ± 1.8 | 3.0 ± 0.6 | 4.9 ± 0.3 | 19.1 ± 12.2 | ||
| 16 | 9.8 ± 3.6 | 12.5 ± 10.9 | 4.7 ± 1.9 | 25.7 ± 18.2 | 26.6 ± 15.1 | |||
| 4 | 43.8 ± 37.1 | 42.0 ± 56.7 | 5.9 ± 0.6 | 8.1 ± 4.4 | 10.3 ± 2.1 | |||
| Vanillic acid | 27.4 | 36.5 ± 58.4 | 10.2 ± 4.8 | ND | ND | 17.9 ± 14.0 | ||
| 16 | ND | 18.2 ± 17.8 | 3.5 ± 1.2 | 18.7 ± 15.7 | 18.2 ± 16.6 | |||
| 4 | 39.3 ± 32.8 | 51.4 ± 79.7 | ND | 5.7 ± 7.5 | 4.1 ± 1.8 | |||
| Quercetin-3-d-galactoside | 27.4 | ND | 17.77 ± 4.81 | 20.80 ± 0.21 | 19.19 ± 2.71 | 21.12 ± 5.69 | ||
| 16 | 25.23 ± 11.46 | 39.77 ± 6.48 | 43.63 ± 1.44 | 55.97 ± 17.80 | 66.66 ± 13.73 | |||
| 4 | 23.00 ± 3.73 | 29.36 ± 12.93 | 40.52 ± 6.93 | 42.13 ± 12.22 | 54.88 ± 17.37 | |||
© 2020 by the authors. Licensee MDPI, Basel, Switzerland. This article is an open access article distributed under the terms and conditions of the Creative Commons Attribution (CC BY) license (http://creativecommons.org/licenses/by/4.0/).
Share and Cite
Cadena-Zamudio, J.D.; Nicasio-Torres, P.; Monribot-Villanueva, J.L.; Guerrero-Analco, J.A.; Ibarra-Laclette, E. Integrated Analysis of the Transcriptome and Metabolome of Cecropia obtusifolia: A Plant with High Chlorogenic Acid Content Traditionally Used to Treat Diabetes Mellitus. Int. J. Mol. Sci. 2020, 21, 7572. https://doi.org/10.3390/ijms21207572
Cadena-Zamudio JD, Nicasio-Torres P, Monribot-Villanueva JL, Guerrero-Analco JA, Ibarra-Laclette E. Integrated Analysis of the Transcriptome and Metabolome of Cecropia obtusifolia: A Plant with High Chlorogenic Acid Content Traditionally Used to Treat Diabetes Mellitus. International Journal of Molecular Sciences. 2020; 21(20):7572. https://doi.org/10.3390/ijms21207572
Chicago/Turabian StyleCadena-Zamudio, Jorge David, Pilar Nicasio-Torres, Juan Luis Monribot-Villanueva, José Antonio Guerrero-Analco, and Enrique Ibarra-Laclette. 2020. "Integrated Analysis of the Transcriptome and Metabolome of Cecropia obtusifolia: A Plant with High Chlorogenic Acid Content Traditionally Used to Treat Diabetes Mellitus" International Journal of Molecular Sciences 21, no. 20: 7572. https://doi.org/10.3390/ijms21207572
APA StyleCadena-Zamudio, J. D., Nicasio-Torres, P., Monribot-Villanueva, J. L., Guerrero-Analco, J. A., & Ibarra-Laclette, E. (2020). Integrated Analysis of the Transcriptome and Metabolome of Cecropia obtusifolia: A Plant with High Chlorogenic Acid Content Traditionally Used to Treat Diabetes Mellitus. International Journal of Molecular Sciences, 21(20), 7572. https://doi.org/10.3390/ijms21207572

