Effects of IL-6 Signaling Pathway Inhibition on Weight and BMI: A Systematic Review and Meta-Analysis
Abstract
1. Introduction
2. Results
2.1. Characteristics of Included Studies
2.2. Study Findings
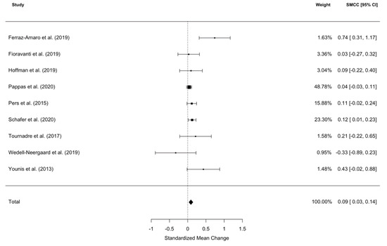
2.2.1. Effect of IL-6 Inhibitors on Weight
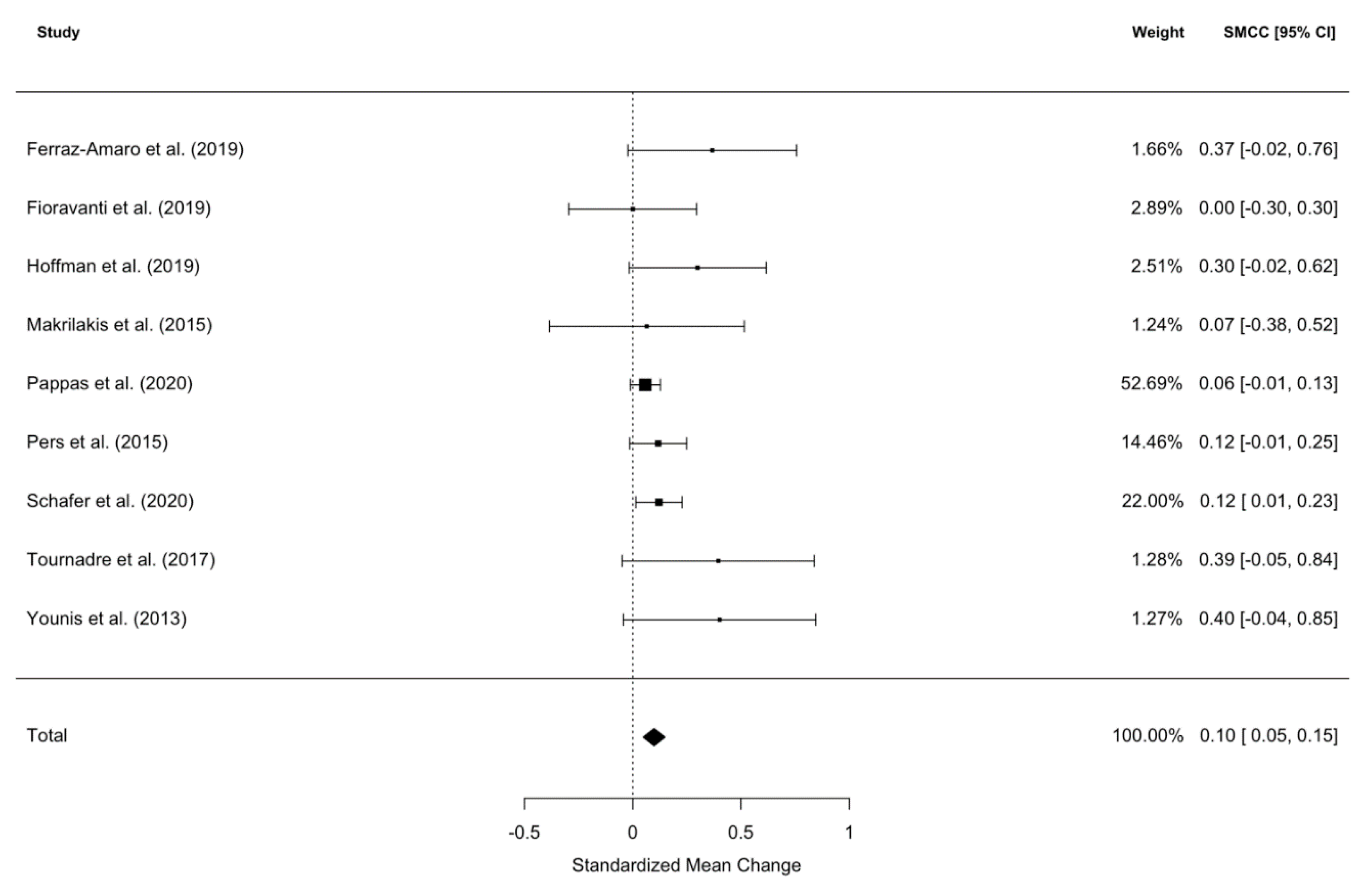
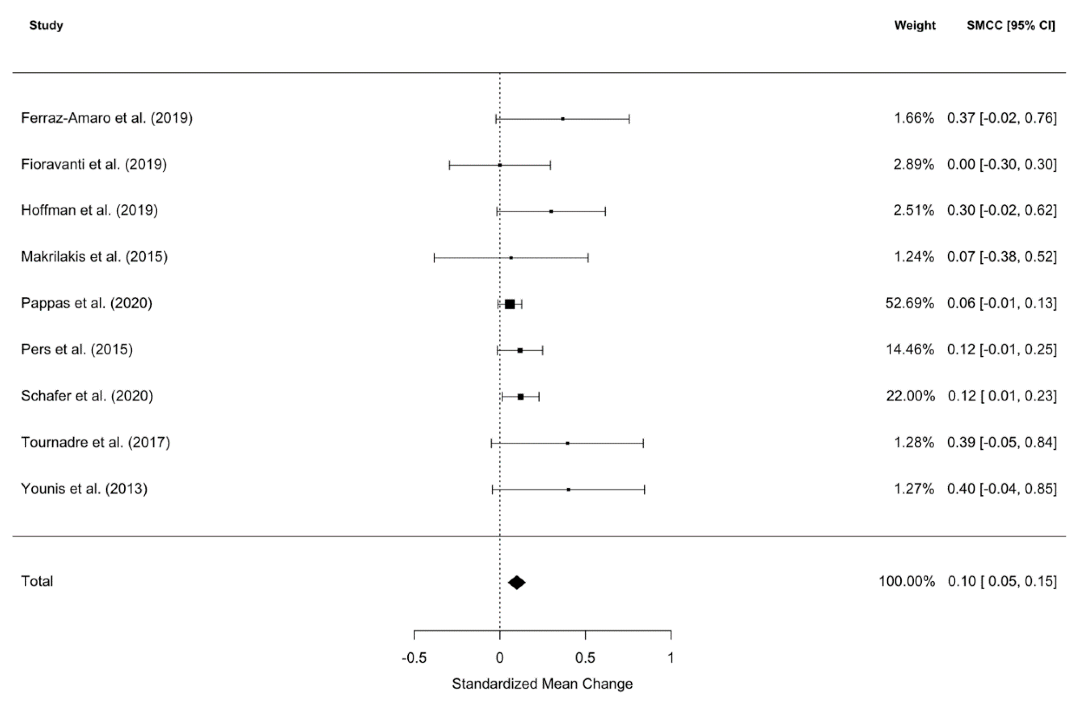
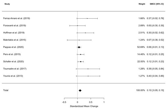
2.2.2. Effect of IL-6 Signaling Pathway Inhibitors on BMI
3. Discussion
3.1. Summary of the Main Findings
3.2. Possible Mechanisms of IL-6-Induced Weight Loss
3.2.1. Effects on Appetite
3.2.2. Effects on Metabolism
3.3. Clinical Implications
3.4. Strengths and Limitations
4. Methods
4.1. Literature Search
4.2. Eligibility Criteria
4.3. Study Selection
4.4. Data Extraction and Synthesis
4.5. Statistical Analysis
5. Conclusions
Author Contributions
Funding
Acknowledgments
Conflicts of Interest
References
- Kristiansen, O.P.; Mandrup-Poulsen, T. Interleukin-6 and Diabetes: The good, the bad, or the indifferent? Diabetes 2005, 54, S114–S124. [Google Scholar] [CrossRef]
- Dubiński, A.; Zdrojewicz, Z. The role of interleukin-6 in development and progression of atherosclerosis. Polski Merkur. Lek. Organ Polskiego Towar. Lek. 2007, 22, 291–294. [Google Scholar]
- Dowlati, Y.; Herrmann, N.; Swardfager, W.; Liu, H.; Sham, L.; Reim, E.K.; Lanctôt, K.L. A meta-analysis of cytokines in major depression. Boil. Psychiatry 2010, 67, 446–457. [Google Scholar] [CrossRef] [PubMed]
- Schoels, M.M.; Van Der Heijde, D.; Breedveld, F.C.; Burmester, G.R.; Dougados, M.; Emery, P.; Ferraccioli, G.; Gabay, C.; Gibofsky, A.; Gomez-Reino, J.J.; et al. Blocking the effects of interleukin-6 in rheumatoid arthritis and other inflammatory rheumatic diseases: Systematic literature review and meta-analysis informing a consensus statement. Ann. Rheum. Dis. 2012, 72, 583–589. [Google Scholar] [CrossRef] [PubMed]
- Yoshizaki, K.; Murayama, S.; Ito, H.; Koga, T. The role of interleukin-6 in castleman disease. Hematol. Clin. N. Am. 2018, 32, 23–36. [Google Scholar] [CrossRef] [PubMed]
- Johnson, D.E.; O’Keefe, R.A.; Grandis, J.R. Targeting the IL-6/JAK/STAT3 signalling axis in cancer. Nat. Rev. Clin. Oncol. Nat. Publ. Group 2018, 15, 234–248. [Google Scholar] [CrossRef]
- Masjedi, A.; Hashemi, V.; Hojjat-Farsangi, M.; Ghalamfarsa, G.; Azizi, G.; Yousefi, M.; Jadidi-Niaragh, F. The significant role of interleukin-6 and its signaling pathway in the immunopathogenesis and treatment of breast cancer. Biomed. Pharmacother. 2018, 108, 1415–1424. [Google Scholar] [CrossRef]
- Waldner, M.J.; Foersch, S.; Neurath, M.F. Interleukin-6—A Key Regulator of Colorectal Cancer Development. Int. J. Boil. Sci. 2012, 8, 1248–1253. [Google Scholar] [CrossRef]
- Narsale, A.; Carson, J.A. Role of interleukin-6 in cachexia. Curr. Opin. Support. Palliat. Care 2014, 8, 321–327. [Google Scholar] [CrossRef]
- Scott, H.; McMillan, D.C.; Crilly, A.; McArdle, C.; Milroy, R. The relationship between weight loss and interleukin 6 in non-small-cell lung cancer. Br. J. Cancer 1996, 73, 1560–1562. [Google Scholar] [CrossRef]
- Li, G.; Klein, R.L.; Matheny, M.; A King, M.; Meyer, E.M.; Scarpace, P. Induction of uncoupling protein 1 by central interleukin-6 gene delivery is dependent on sympathetic innervation of brown adipose tissue and underlies one mechanism of body weight reduction in rats. Neuroscience 2002, 115, 879–889. [Google Scholar] [CrossRef]
- Hidalgo, J.; Florit, S.; Giralt, M.; Ferrer, B.; Keller, C.; Pilegaard, H. Transgenic mice with astrocyte-targeted production of interleukin-6 are resistant to high-fat diet-induced increases in body weight and body fat. Brain Behav. Immun. 2010, 24, 119–126. [Google Scholar] [CrossRef] [PubMed]
- Señarís, R.; Trujillo, M.L.; Navia, B.; Comes, G.; Ferrer, B.; Giralt, M.; Hidalgo, J. Interleukin-6 regulates the expression of hypothalamic neuropeptides involved in body weight in a gender-dependent way. J. Neuroendocr. 2011, 23, 675–686. [Google Scholar] [CrossRef] [PubMed]
- Ma, Y.; Gao, M.; Sun, H.; Liu, D. Interleukin-6 gene transfer reverses body weight gain and fatty liver in obese mice. Biochim. Biophys. Acta (BBA) Mol. Basis Dis. 2015, 1852, 1001–1011. [Google Scholar] [CrossRef]
- Wallenius, V.; Wallenius, K.; Ahren, B.; Rudling, M.; Carlsten, H.; Dickson, S.L.; Ohlsson, C.; Jansson, J.-O. Interleukin-6-deficient mice develop mature-onset obesity. Nat. Med. 2002, 8, 75–79. [Google Scholar] [CrossRef] [PubMed]
- Baltgalvis, K.A.; Berger, F.G.; Peña, M.M.O.; Davis, J.M.; Muga, S.J.; Carson, J.A. Interleukin-6 and cachexia inApcMin/+mice. Am. J. Physiol. Integr. Comp. Physiol. 2008, 294, R393–R401. [Google Scholar] [CrossRef] [PubMed]
- Carson, J.A.; Baltgalvis, K.A. Interleukin 6 as a Key Regulator of Muscle Mass during Cachexia. Exerc. Sport Sci. Rev. 2010, 38, 168–176. [Google Scholar] [CrossRef]
- Pomeroy, C.; Eckert, E.; Hu, S.; Eiken, B.; Mentink, M.; Crosby, R.D.; Chao, C.C. Role of interleukin-6 and transforming growth factor-β in anorexia nervosa. Boil. Psychiatry 1994, 36, 836–839. [Google Scholar] [CrossRef]
- Dalton, B.; Bartholdy, S.; Robinson, L.; Solmi, M.; Ibrahim, M.A.A.; Breen, G.; Schmidt, U.; Himmerich, H. A meta-analysis of cytokine concentrations in eating disorders. J. Psychiatr. Res. 2018, 103, 252–264. [Google Scholar] [CrossRef]
- Hotamisligil, G.S.; Shargill, N.S.; Spiegelman, B.M. Adipose expression of tumor necrosis factor-α: Direct role in obesity-linked insulin resistance. Science 1993, 259, 87–91. [Google Scholar] [CrossRef]
- Wueest, S.; Konrad, D. The role of adipocyte-specific IL-6-type cytokine signaling in FFA and leptin release. Adipocyte 2018, 7, 226–228. [Google Scholar] [CrossRef] [PubMed]
- Schmidt, F.M.; Weschenfelder, J.; Sander, C.; Minkwitz, J.; Thormann, J.; Chittka, T.; Mergl, R.; Kirkby, K.C.; Faßhauer, M.; Stumvoll, M.; et al. Inflammatory cytokines in general and central obesity and modulating effects of physical activity. PLoS ONE 2015, 10, e0121971. [Google Scholar] [CrossRef] [PubMed]
- Tournadre, A.; Pereira, B.; Dutheil, F.; Giraud, C.; Courteix, D.; Sapin, V.; Frayssac, T.; Mathieu, S.; Malochet-Guinamand, S.; Soubrier, M. Changes in body composition and metabolic profile during interleukin 6 inhibition in rheumatoid arthritis. J. Cachex Sarcopenia Muscle 2017, 8, 639–646. [Google Scholar] [CrossRef] [PubMed]
- Younis, S.; Rosner, I.; Rimar, D.; Boulman, N.; Rozenbaum, M.; Odeh, M.; Slobodin, G. Weight change during pharmacological blockade of interleukin-6 or tumor necrosis factor-α in patients with inflammatory rheumatic disorders: A 16-week comparative study. Cytokine 2013, 61, 353–355. [Google Scholar] [CrossRef] [PubMed]
- Ferraz-Amaro, I.; Hernández-Hernández, M.V.; Tejera-Segura, B.; Delgado-Frías, E.; Macía-Díaz, M.; Machado, J.D.; Díaz-González, F. Effect of IL-6 receptor blockade on proprotein convertase subtilisin/kexin type-9 and cholesterol efflux capacity in rheumatoid arthritis patients. Horm. Metab. Res. 2019, 51, 200–209. [Google Scholar] [CrossRef]
- Fioravanti, A.; Tenti, S.; Bacarelli, M.R.; Damiani, A.; Gobbi, F.L.; Bandinelli, F.; Cheleschi, S.; Galeazzi, M.; Benucci, M. Tocilizumab modulates serum levels of adiponectin and chemerin in patients with rheumatoid arthritis: Potential cardiovascular protective role of IL-6 inhibition. Clin. Exp. Rheumatol. 2018, 37, 293–300. [Google Scholar]
- Hoffman, E.; Rahat, M.A.; Feld, J.; Elias, M.; Rosner, I.; Kaly, L.; Lavi, I.; Gazitt, T.; Zisman, D. Effects of tocilizumab, an anti-interleukin-6 receptor antibody, on serum lipid and adipokine levels in patients with rheumatoid arthritis. Int. J. Mol. Sci. 2019, 20, 4633. [Google Scholar] [CrossRef]
- Nishimoto, N.; Kanakura, Y.; Aozasa, K.; Johkoh, T.; Nakamura, M.; Nakano, S.; Nakano, N.; Ikeda, Y.; Sasaki, T.; Nishioka, K.; et al. Humanized anti–interleukin-6 receptor antibody treatment of multicentric castleman disease. Blood 2005, 106, 2627–2632. [Google Scholar] [CrossRef]
- Pappas, D.A.; Etzel, C.J.; Crabtree, M.; Blachley, T.; Best, J.; Zlotnick, S.; Kremer, J.M. Effectiveness of tocilizumab in patients with rheumatoid arthritis is unaffected by comorbidity burden or obesity: Data from a US registry. J. Rheumatol. 2020. [Google Scholar] [CrossRef]
- Pers, Y.M.; Godfrin-Valnet, M.; Lambert, J.; Fortunet, C.; Constant, E.; Mura, T.; Pallot-Prades, B.; Jorgensen, C.; Maillefert, J.-F.; Marotte, H.; et al. Response to tocilizumab in rheumatoid arthritis is not influenced by the body mass index of the patient. J. Rheumatol. 2015, 42, 580–584. [Google Scholar] [CrossRef]
- Schäfer, M.; Meissner, Y.; Kekow, J.; Berger, S.; Remstedt, S.; Strangfeld, A.; Listing, J.; Zink, A. SAT0702 Influence of obesity and gender on drug effectiveness in rheumatoid arthritis depends on the outcome considered. An. Rheum. Dis 2018, 77, 1199. [Google Scholar] [CrossRef]
- Wedell-Neergaard, A.S.; Lang Lehrskov, L.; Christensen, R.H.; Legaard, G.E.; Dorph, E.; Larsen, M.K.; Launbo, N.; Ravn Fagerlind, S.; Kofoed Seide, S.; Nymand, S.; et al. Exercise-induced changes in visceral adipose tissue mass are regulated by Il-6 signaling: A randomized controlled TRIAL. Cell Metab. 2019, 29, 844–855.e3. [Google Scholar] [CrossRef] [PubMed]
- Makrilakis, K.; Fragiadaki, K.; Smith, J.; Sfikakis, P.P.; Kitas, G.D. Interrelated reduction of chemerin and plasminogen activator inhibitor-1 serum levels in rheumatoid arthritis after interleukin-6 receptor blockade. Clin. Rheumatol. 2014, 34, 419–427. [Google Scholar] [CrossRef]
- Patsalos, O.; Dalton, B.; Leppanen, J.; Ibrahim, M.A.A.; Himmerich, H. Impact of TNF-α inhibitors on body weight and bmi: A systematic review and meta-analysis. Front. Pharmacol. 2020, 11. [Google Scholar] [CrossRef]
- Schäfer, M.; Meißner, Y.; Kekow, J.; Berger, S.; Remstedt, S.; Manger, B.; Listing, J.; Strangfeld, A.; Zinket, A. Obesity reduces the real-world effectiveness of cytokine-targeted but not cell-targeted disease-modifying agents in rheumatoid arthritis. Rheumatology 2020, 59, 1916–1926. [Google Scholar] [CrossRef] [PubMed]
- Bonetto, A.; Aydoğdu, T.; Kunzevitzky, N.J.; Guttridge, D.C.; Khuri, S.; Koniaris, L.G.; Zimmers, T.A. STAT3 activation in skeletal muscle links muscle wasting and the acute phase response in cancer cachexia. PLoS ONE 2011, 6, e22538. [Google Scholar] [CrossRef]
- Fearon, K.; Glass, D.J.; Guttridge, D.C. Cancer cachexia: Mediators, signaling, and metabolic pathways. Cell Metab. 2012, 16, 153–166. [Google Scholar] [CrossRef]
- Tsoli, M.; Schweiger, M.; Vanniasinghe, A.S.; Painter, A.; Zechner, R.; Clarke, S.; Robertson, G. Depletion of white adipose tissue in cancer cachexia syndrome is associated with inflammatory signaling and disrupted circadian regulation. PLoS ONE 2014, 9, e92966. [Google Scholar] [CrossRef]
- Chen, J.L.; Walton, K.L.; Qian, H.; Colgan, T.D.; Hagg, A.; Watt, M.J.; Harrison, C.A.; Gregorevic, P. Differential effects of interleukin-6 and activin A in the development of cancer-associated cachexia. Cancer Res. 2016, 76, 5372–5382. [Google Scholar] [CrossRef]
- Timper, K.; Denson, J.L.; Steculorum, S.M.; Heilinger, C.; Engström-Ruud, L.; Wunderlich, F.T.; Rose-John, S.; Wunderlich, F.T.; Brüning, J.C. IL-6 improves energy and glucose homeostasis in obesity via enhanced central IL-6 trans—Signaling. Cell Rep. 2017, 19, 267–280. [Google Scholar] [CrossRef]
- Mishra, D.; Richard, J.E.; Maric, I.; Porteiro, B.; Häring, M.; Kooijman, S.; Musovic, S.; Eerola, K.; López-Ferreras, L.; Peris, E.; et al. Parabrachial interleukin-6 reduces body weight and food intake and increases thermogenesis to regulate energy metabolism. Cell Rep. 2019, 26, 3011–3026.e5. [Google Scholar] [CrossRef] [PubMed]
- Hunschede, S.; Kubant, R.; Akilen, R.; Thomas, S.; Anderson, G.H. Decreased appetite after high-intensity exercise correlates with increased plasma interleukin-6 in normal-weight and overweight/obese boys. Curr. Dev. Nutr. 2017, 1, e000398. [Google Scholar] [CrossRef]
- Emilie, D.; Wijdenes, J.; Gisselbrecht, C.; Jarrousse, B.; Billaud, E.; Blay, J.Y.; Gabarre, J.; Gaillard, J.P.; Brochier, J.; Raphael, M. Administration of an anti-interleukin-6 monoclonal antibody to patients with acquired immunodeficiency syndrome and lymphoma: Effect on lymphoma growth and on B clinical symptoms. Blood 1994, 84, 2472–2479. [Google Scholar] [CrossRef] [PubMed]
- Hunschede, S.; Schwartz, A.; Kubant, R.; Thomas, S.; Anderson, G.H. The role of IL-6 in exercise-induced anorexia in normal-weight boys. Appl. Physiol. Nutr. Metab. 2018, 43, 979–987. [Google Scholar] [CrossRef] [PubMed]
- Carey, A.L.; Bruce, C.R.; Sacchetti, M.; Anderson, M.J.; Olsen, D.B.; Saltin, B.; Hawley, J.A.; Febbraio, M.A. Interleukin-6 and tumor necrosis factor-α are not increased in patients with Type 2 diabetes: Evidence that plasma interleukin-6 is related to fat mass and not insulin responsiveness. Diabetologia 2004, 47, 1029–1037. [Google Scholar] [CrossRef]
- Al-Khalili, L.; Bouzakri, K.; Glund, S.; Lönnqvist, F.; Koistinen, H.A.; Krook, A. Signaling specificity of interleukin-6 action on glucose and lipid metabolism in skeletal muscle. Mol. Endocrinol. 2006, 20, 3364–3375. [Google Scholar] [CrossRef]
- Donath, M.Y.; Shoelson, S.E. Type 2 diabetes as an inflammatory disease. Nat. Rev. Immunol. 2011, 11, 98–107. [Google Scholar] [CrossRef]
- Kim, H.-J.; Higashimori, T.; Park, S.-Y.; Choi, H.; Dong, J.; Kim, Y.-J.; Noh, H.-L.; Cho, Y.-R.; Cline, G.; Kim, Y.-B.; et al. Differential effects of interleukin-6 and -10 on skeletal muscle and liver insulin action in vivo. Diabetes 2004, 53, 1060–1067. [Google Scholar] [CrossRef]
- Carey, A.L.; Steinberg, G.R.; Macaulay, S.L.; Thomas, W.G.; Holmes, A.G.; Ramm, G.; Prelovsek, O.; Hohnen-Behrens, C.; Watt, M.J.; James, D.E.; et al. Interleukin-6 increases insulin-stimulated glucose disposal in humans and glucose uptake and fatty acid oxidation in vitro via amp-activated protein kinase. Diabetes 2006, 55, 2688–2697. [Google Scholar] [CrossRef]
- Pedersen, B.K.; Febbraio, M.A. Muscle as an endocrine organ: Focus on muscle-derived interleukin-6. Physiol. Rev. 2008, 88, 1379–1406. [Google Scholar] [CrossRef]
- Pedersen, B.K.; Steensberg, A.; Fischer, C.P.; Keller, C.; Keller, P.; Plomgaard, P.; Febbraio, M.; Saltin, B. Searching for the exercise factor: Is IL-6 a candidate? J. Muscle Res. Cell Motil. 2003, 24, 113–119. [Google Scholar] [CrossRef] [PubMed]
- King, D.S.; Dalsky, G.P.; Clutter, W.E.; Young, D.A.; Staten, M.A.; Cryer, P.E.; Holloszy, J.O. Effects of exercise and lack of exercise on insulin sensitivity and responsiveness. J. Appl. Physiol. 1988, 64, 1942–1946. [Google Scholar] [CrossRef] [PubMed]
- Way, K.L.; Hackett, D.; Baker, M.K.; Johnson, N.A. The effect of regular exercise on insulin sensitivity in type 2 diabetes mellitus: A systematic review and meta-analysis. Diabetes Metab. J. 2016, 40, 253–271. [Google Scholar] [CrossRef] [PubMed]
- Bray, G.A.; Bellanger, T. Epidemiology, trends, and morbidities of obesity and the metabolic syndrome. Endocrine 2006, 29, 109–118. [Google Scholar] [CrossRef]
- Grundy, S.M.; Brewer, H.B.; Cleeman, J.I.; Smith, S.C.; Lenfant, C. Definition of metabolic syndrome. Circulation 2004, 109, 433–438. [Google Scholar] [CrossRef]
- Luppino, F.S.; De Wit, L.M.; Bouvy, P.F.; Stijnen, T.; Cuijpers, P.; Penninx, B.W.; Zitman, F.G. Overweight, obesity, and depression. Arch. Gen. Psychiatry 2010, 67, 220–229. [Google Scholar] [CrossRef]
- Himmerich, H.; Treasure, J. Psychopharmacological advances in eating disorders. Expert Rev. Clin. Pharmacol. 2017, 11, 95–108. [Google Scholar] [CrossRef]
- Himmerich, H.; Bentley, J.; Kan, C.; Treasure, J. Genetic risk factors for eating disorders: An update and insights into pathophysiology. Ther. Adv. Psychopharmacol. 2019, 9. [Google Scholar] [CrossRef]
- Verhaegen, A.A.; Van Gaal, L.F.; Feingold, K.R.; Anawalt, B.; Boyce, A.; Chrousos, G.; Dungan, K.; Grossman, A.; Hershman, J.M.; Hofland, H.J.; et al. Drugs that Affect Body Weight, Body Fat Distribution and Metabolism; Feingold, K.R., Anawalt, B., Boyce, A., Eds.; Endotext: South Dartmouth, MA, USA, 2019.
- Moher, D.; Liberati, A.; Tetzlaff, J.; Altman, D.G.; Group, T.P. Preferred reporting items for systematic reviews and meta-analyses: The PRISMA statement. PLoS Med. 2009, 6, e1000097. [Google Scholar] [CrossRef]
- Study Quality Assessment Tools|National Heart, Lung, and Blood Institute (NHLBI). Available online: https://www.nhlbi.nih.gov/health-topics/study-quality-assessment-tools (accessed on 8 April 2019).
- R Core Team. R. A Language and Environment for Statistical Computing; R Foundation for Statistical Computing: Vienna, Austria, 2015. [Google Scholar]
- Viechtbauer, W. Conducting meta-analyses inRwith themetaforPackage. J. Stat. Softw. 2010, 36, 1–48. [Google Scholar] [CrossRef]
- Morris, S.B. Distribution of the standardized mean change effect size for meta-analysis on repeated measures. Br. J. Math. Stat. Psychol. 2000, 53, 17–29. [Google Scholar] [CrossRef]
- Smith, L.J.W.; Beretvas, S.N. Estimation of the standardized mean difference for repeated measures designs. J. Mod. Appl. Stat. Methods 2009, 8, 600–609. [Google Scholar] [CrossRef]
- Cook, R.D. Detection of influential observation in linear regression. Technometrics 1977, 19, 15–18. [Google Scholar]
- Cohen, J. A power primer. Psychol Bull. 1992, 112, 155–159. [Google Scholar] [CrossRef] [PubMed]
- Begg, C.B.; Mazumdar, M. Operating characteristics of a rank correlation test for publication bias. Biometrics 1994, 50, 1088. [Google Scholar] [CrossRef] [PubMed]



| Study | Disease | Sample Size | Medication | Treatment Duration | Gender F/M | Age (mean ± SD) Age (Median, 25% and 75% Percentile) | Concurrent Medication | Summary | Quality Assessment |
|---|---|---|---|---|---|---|---|---|---|
| Fair | |||||||||
| Ferraz-Amaro et al. [25] | RA | 27 | Tocilizumab | 52 weeks | 52 ± 11 | Methotrexate Prednisone | BMI ↔ | Fair | |
| Fioravanti et al. [26] | RA | 44 | Tocilizumab | 26 weeks | 38/6 | 58.5 (48–69.8) | Weight ↔ BMI ↔ | Fair | |
| Hoffman et al. [27] | RA | 40 | Tocilizumab | 16 weeks | 33/7 | 57.5 ± 11.1 | Methotrexate Prednisone | Weight ↔ BMI ↔ | Fair |
| Makrilakis et al. [33] | RA | 19 | Tocilizumab | 26 weeks | 18/1 | 48.6 ± 10.9 | BMI ↑ | Fair | |
| Nishimoto et al. [28] | CD | 28 | MRA | 60 weeks | 11/17 | 38 | Weight ↑ BMI ↑ | Fair | |
| Pappas et al. [29] | RA | 805 | Tocilizumab | 52 weeks | 645/160 | 58 ± 13 | Methotrexate Prednisone | Weight ↔ BMI ↔ | Fair |
| Pers et al. [30] | RA | 222 | Tocilizumab | 26 weeks | 183/39 | 55.5 ± 13.9 | Methotrexate Steroids | Weight ↑ BMI ↑ | Good |
| Schäfer et al. [35] | RA | 338 | Tocilizumab | 52 weeks | Weight ↑ BMI ↑ | Good | |||
| Tournadre et al. [23] | RA | 21 | Tocilizumab | 52 weeks | 16/5 | 57.8 ± 10.5 | Unspecified DMARD | Weight ↑ BMI ↑ | Fair |
| Wedell-Neergaard et al. [32] | Obesity | 13 | Tocilizumab | 12 weeks | 8/5 | 44 ± 12 | Weight ↔ | Good | |
| Younis et al. [24] | RA, SpA | 21 | Tocilizumab | 16 weeks | 49.8 ± 14.6 | Weight ↑ BMI ↑ | Fair |
© 2020 by the authors. Licensee MDPI, Basel, Switzerland. This article is an open access article distributed under the terms and conditions of the Creative Commons Attribution (CC BY) license (http://creativecommons.org/licenses/by/4.0/).
Share and Cite
Patsalos, O.; Dalton, B.; Himmerich, H. Effects of IL-6 Signaling Pathway Inhibition on Weight and BMI: A Systematic Review and Meta-Analysis. Int. J. Mol. Sci. 2020, 21, 6290. https://doi.org/10.3390/ijms21176290
Patsalos O, Dalton B, Himmerich H. Effects of IL-6 Signaling Pathway Inhibition on Weight and BMI: A Systematic Review and Meta-Analysis. International Journal of Molecular Sciences. 2020; 21(17):6290. https://doi.org/10.3390/ijms21176290
Chicago/Turabian StylePatsalos, Olivia, Bethan Dalton, and Hubertus Himmerich. 2020. "Effects of IL-6 Signaling Pathway Inhibition on Weight and BMI: A Systematic Review and Meta-Analysis" International Journal of Molecular Sciences 21, no. 17: 6290. https://doi.org/10.3390/ijms21176290
APA StylePatsalos, O., Dalton, B., & Himmerich, H. (2020). Effects of IL-6 Signaling Pathway Inhibition on Weight and BMI: A Systematic Review and Meta-Analysis. International Journal of Molecular Sciences, 21(17), 6290. https://doi.org/10.3390/ijms21176290

