Exploring Antifouling Activity of Biosurfactants Producing Marine Bacteria Isolated from Gulf of California
Abstract
1. Introduction
2. Results
2.1. Isolation and Identification of Marine Bacteria
2.2. Screening for Production of Biosurfactants
2.3. Toxicity of the Cell Free Culture Supernatants
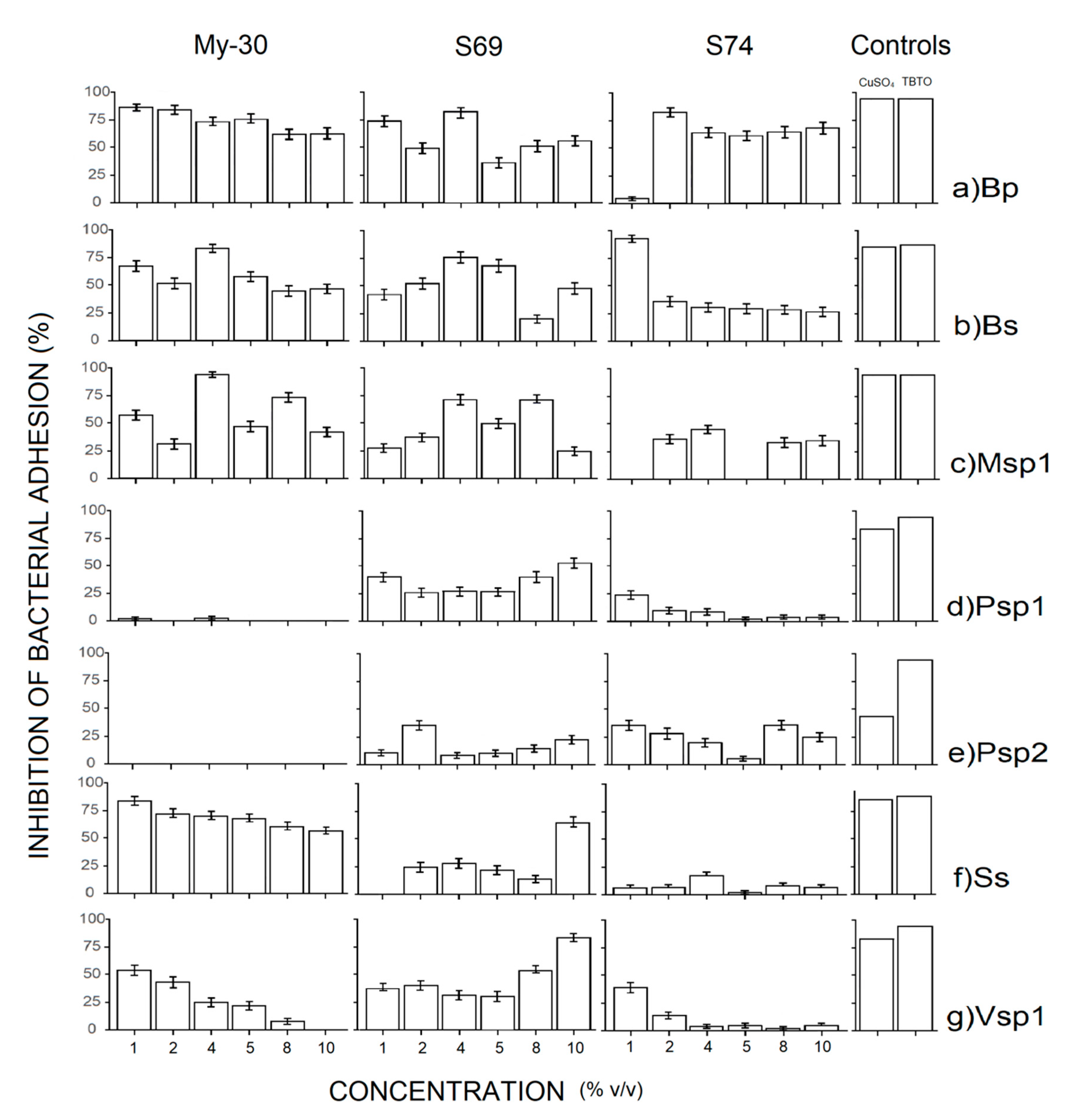
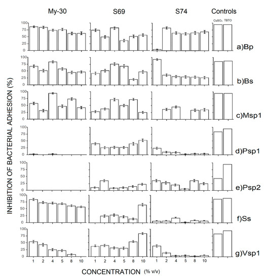
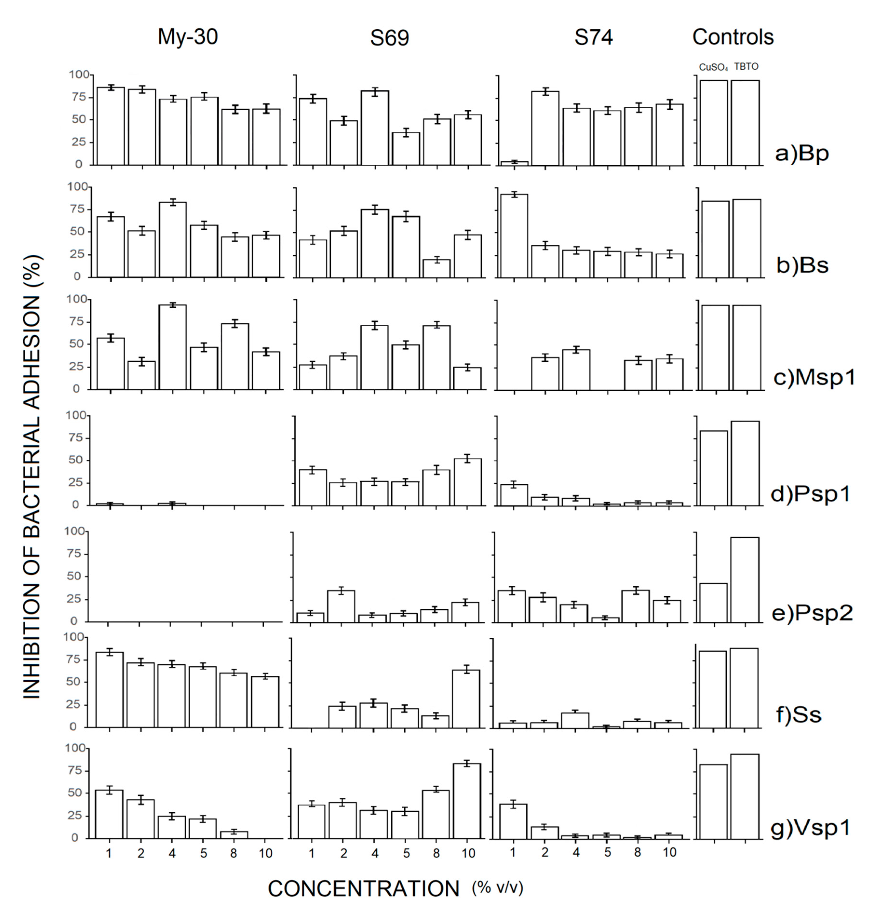
2.4. Evaluation of the Antifouling Activity
2.4.1. Antibacterial Bioassay
2.4.2. Inhibition Bacterial Adhesion Bioassay
2.5. Antifouling Assay in Natural Conditions
3. Discussion
3.1. Isolation and Identification of Marine Bacteria with Antifouling Activity
3.2. Screening for Production of Biosurfactants
3.3. Toxicity Assay
3.4. Evaluation of the Antifouling Activity
3.4.1. Antibacterial Bioassay
3.4.2. Inhibition Bacterial Adhesion Bioassay
3.5. Antifouling Assay in Natural Conditions
4. Materials and Methods
4.1. Sample Collection and Isolation of Marine Bacteria
4.1.1. Collection of Native Marine Bacteria Involved in Biofilm Process
4.1.2. Chemicals
4.1.3. Isolation and Identification of Marine Bacteria
4.2. Isolation of Bacterial Supernatant
4.3. Primary Screening of Strains for Biosurfactant Production
4.3.1. Hemolytic Activity
4.3.2. Drop Collapsing Test
4.3.3. Oil Displacement Test
4.3.4. Emulsification Index
4.4. Toxicity Assay
4.5. Evaluation of the Antifouling Activity in Laboratory
4.5.1. Antibacterial Bioassay
4.5.2. Inhibition Bacterial Adhesion Bioassay
4.6. Evaluation of the Antifouling Activity in Natural Conditions of Immersion
Coverage Percentage of Epibionts
5. Conclusions
Supplementary Materials
Author Contributions
Funding
Acknowledgments
Conflicts of Interest
Abbreviations
| AF | Antifouling | 
| AFP | Antifouling paint | 
| Bp | Bacillus pumilus | 
| Bs | Bacillus subtilis | 
| CFCS | Cell free culture supernatant | 
| CP | Control plate | 
| CuSO4 | Copper sulphate | 
| E.I. | Emulsification Index | 
| E.S. | Emulsification stability | 
| E24 | Emulsification efficient after 24 h | 
| Et-OH | Ethanol | 
| LC50 | Lethal concentration at 50% | 
| MB | Marine broth | 
| MIC | Minimum inhibitory concentration | 
| Msp.1 | Micrococcus sp. 1 | 
| My-30 | Bacillus niabensis | 
| OD | Optical density | 
| Psp1 | Pseudoalteromonas sp.1 | 
| Psp2 | Pseudoalteromonas sp. 2 | 
| SDS | Sodium Dodecyl Sulfate | 
| S-69 | Bacillus niabensis | 
| S-74 | Ralstonia sp. | 
| Ss | Sagittula stellata | 
| TBTO | Tributyltin Oxide | 
| UP | PC structure unpainted | 
| Vsp1 | Vibrio sp. 1 | 
References
- Wise, J.P., Jr.; Tayler, J.; Croom-Pereza, T.J.; Meaza, I.; Aboueissa, A.; López-Montalvo, C.A.; Martin-Brasa, M.; Speera, R.M.; Bonilla-Garzón, A.; Urbán, J.; et al. A whale of a tale: A one environmental health approach to study metal pollution in the Sea of Cortez. Toxicol. Appl. Pharm. 2019, 376, 58–69. [Google Scholar] [CrossRef]
 - Becerril-Espinosa, A.; Freel, K.C.; Jensen, P.R.; Soria-Mercado, I.E. Marine Actinobacteria from the Gulf of California: Diversity, abundance and secondary metabolite biosynthetic potential. Antonie Van Leeuwenhoek 2013, 103, 809–819. [Google Scholar] [CrossRef]
 - Águila-Ramírez, R.N.; Hernández-Guerrero, C.J.; González-Acosta, B.; Id-Daoud, G.; Hewitt, S.; Pope, J.; Hellio, C. Antifouling activity of symbiotic bacteria from sponge Aplysina gerardogreeni. Int. Biodeter. Biodegr. 2014, 90, 64–70. [Google Scholar] [CrossRef]
 - Sánchez-Rodríguez, D.; Ortiz-Aguirre, I.; Aguila-Ramírez, R.N.; Rico-Virgen, E.G.; González-Acosta, B.; Hellio, C. Marine bacteria from the Gulf of California with antimicrofouling activity against colonizing bacteria and microalgae. Rev. Biol. Trop. 2018, 66, 1649–1663. [Google Scholar] [CrossRef]
 - Sriyutha, M.; Venugopalan, V.P.; Nair, K.V.K.; Subramonian, T. Larval settlement and surface: Implications in development of antifouling strategies. In Marine and Industrial Biofouling; Flemming, H.C., Sriyutha, M., Venkatesan, R., Cooksey, K., Eds.; Springer: Heidelberg, Germany, 2009; Volume 4, pp. 233–264. [Google Scholar] [CrossRef]
 - Cooney, J.J.; Tang, R.-J. Quantifying effects of antifouling paints on microbial biofilm formation. Method. Enzymol. 1999, 310, 637–644. [Google Scholar] [CrossRef]
 - Eguía, E.; Trueba, A. Application of marine biotechnology in the production of natural biocides for testing on environmentally innocuous antifouling coatings. J. Coat. Technol. Res. 2007, 4, 191–202. [Google Scholar] [CrossRef]
 - Yebra, D.M.; Kil, S.; Dam-Johansen, K. Antifouling technology—Past, present and future steps towards efficient and environmentally friendly antifouling coatings. Prog. Org. Coat. 2004, 50, 75–104. [Google Scholar] [CrossRef]
 - Turner, A.; Singh, N.; Richards, J.P. Bioaccessibility of metal in soils and dusts contaminated by marine antifouling paint particles. Environ. Pollut. 2009, 157, 1526–1532. [Google Scholar] [CrossRef] [PubMed]
 - Turner, A. Marine pollution from antifouling paint particles. Mar. Pollut. Bull. 2010, 60, 159–171. [Google Scholar] [CrossRef]
 - Soroldoni, S.; Abreu, F.; Braga-Castro, I.; Duarte, F.A.; Lopes-Leaes, P. Are antifouling paint particles a continuous source of toxic chemicals to the marine environment? J. Hazard. Mater. 2017, 330, 76–82. [Google Scholar] [CrossRef]
 - Chambers, L.D.; Stokes, K.R.; Walsh, F.C.; Wood, R.J.K. Modern approaches to marine antifouling coatings. Surf. Coat. Technol. 2006, 201, 3642–3652. [Google Scholar] [CrossRef]
 - Prakash, S.; Ramasubburayan, R.; Iyapparaj, P.; Arthi, A.P.R.; Ahila, N.K.; Ramkumar, V.S.; Immanuel, G.; Palavesam, A. Environmentally benign antifouling potentials of Triterpenes-Glycosides from Streptomyces fradiae: A mangrove isolate. RSC Adv. 2015, 5, 29524–29534. [Google Scholar] [CrossRef]
 - Rivardo, F.; Turner, R.J.; Allegrone, G.; Ceri, H.; Martinotti, M.G. Anti-adhesion activity of two biosurfactants produced by Bacillus spp. Prevents biofilm formation of human bacterial pathogens. Appl. Microbiol. Biotechnol. 2009, 83, 541–553. [Google Scholar] [CrossRef] [PubMed]
 - Sambanthamoorthy, K.; Feng, X.; Patel, R.; Patel, S.; Paranavitana, C. Antimicrobial and antibiofilm potential of biosurfactants isolated from lactobacilli against multi-drug-resistant pathogens. BMC Microbiol. 2014, 14, 197. [Google Scholar] [CrossRef]
 - Polyiam, P.; Photisap, C.; Boottanun, P.; Wongratanacheewin, S.; Wongratanacheewin, R.; Yordpratum, U. Antimicrobial and antiadhesive activities of the crude biosurfactant from Bacillus sp. against clinical isolates of Acinetobacter baumannii from Srinagarind hospital. Srinagarind Med. J. 2016, 31, 222–227. [Google Scholar]
 - Clements, T.; Ndlovu, T.; Khan, W. Broad-spectrum antimicrobial activity of secondary metabolites produced by Serratia marcescens strains. Microbiol. Res. 2019, 229, 126329. [Google Scholar] [CrossRef]
 - Banat, I.M.; Makkar, R.S.; Cameotra, S.S. Potential commercial applications of microbial surfactants. Appl. Microbiol. Biotechnol. 2000, 53, 495–508. [Google Scholar] [CrossRef]
 - Banat, I.M.; Franzetti, A.; Gandolfi, I.; Bestetti, G.; Martinotti, M.G.; Fracchia, L.; Smyth, T.; Marchant, R. Microbial biosurfactants production, applications and future potential. Appl. Microbiol. Biotechnol. 2010, 87, 427–444. [Google Scholar] [CrossRef]
 - Lima, T.M.; Procopio, L.C.; Brandao, F.D.; Carvalho, A.M.; Totola, M.R.; Borges, A.C. Biodegradability of bacterial surfactants. Biodegradation 2010, 22, 585–592. [Google Scholar] [CrossRef]
 - Das, P.; Mukherjee, S.; Sen, R. Antiadhesive action of a marine microbial surfactant. Colloid Surf. B 2009, 71, 183–186. [Google Scholar] [CrossRef]
 - Dusane, D.H.; Matkar, P.; Venugopalan, V.P.; Kumar, A.R.; Zinjarde, S.S. Cross-species induction of antimicrobial compounds, biosurfactants and quorum-sensing inhibitors in tropical marine epibiotic bacteria by pathogens and biofouling microorganisms. Curr. Microbiol. 2011, 62, 974–980. [Google Scholar] [CrossRef] [PubMed]
 - Dusane, D.H.; Pawar, V.S.; Nancharaiah, Y.V.; Venugopalan, V.P.; Kumar, A.R.; Zinjarde, S.S. Anti-biofilm potential of a glycolipid surfactant produced by a tropical marine strain of Serratia marcescens. Biofouling 2011, 27, 645–654. [Google Scholar] [CrossRef] [PubMed]
 - Tripathi, L.; Irorere, V.U.; Marchant, R.; Banat, I.M. Marine derived biosurfactants: A vast potential future resource. Biotechnol. Lett. 2018, 40, 1441–1457. [Google Scholar] [CrossRef] [PubMed]
 - Kubicki, S.; Bollinger, A.; Katzke, N.; Jaeger, K.-E.; Loeschcke, A.; Thies, S. Marine biosurfactants: Biosynthesis, structural diversity and biotechnological applications. Mar. Drugs 2019, 17, 408. [Google Scholar] [CrossRef]
 - Balan, S.S.; Kumar, C.G.; Jayalakshmi, S. Pontifactin, a new lipopeptide biosurfactant produced by a marine Pontibacter korlensis strain SBK-47: Purification, characterization and its biological evaluation. Process. Biochem. 2016, 51, 2198–2207. [Google Scholar] [CrossRef]
 - Lawrance, A.; Balakrishnan, M.; Joseph, T.C.; Sukumaran, D.P.; Valsalan, V.N.; Gopal, D.; Ramalingam, K. Functional and molecular characterization of a lipopeptide surfactant from the marine sponge-associated eubacteria Bacillus licheniformis NIOT-AMKVO6 of Andaman and Nicobar Islands, India. Mar. Pollut. Bull. 2014, 82, 76–85. [Google Scholar] [CrossRef]
 - Selvin, J.; Sathiyanarayanan, G.; Lipton, A.N.; Al-Dhabi, N.A.; Valan Arasu, M.; Kiran, G.S. Ketide synthase (KS) domain prediction and analysis of iterative type II PKS gene in marine sponge-associated actinobacteria producing biosurfactants and antimicrobial agents. Front. Microbiol. 2016, 7, 63. [Google Scholar] [CrossRef]
 - Padmavathi, A.R.; Pandian, S.K. Antibiofilm activity of biosurfactant producing coral associated bacteria isolated from Gulf of Mannar. Indian J. Microbiol. 2014, 54, 376–382. [Google Scholar] [CrossRef]
 - Faÿ, F.; Carteau, D.; Linossier, I.; Delbury, M.; Vallée-Réhel, K. Joint-action of antifouling substances in copper-free paints. Colloid Surf. B 2013, 102, 569–577. [Google Scholar] [CrossRef]
 - Hori, K.; Matsumoto, S. Bacterial adhesion: From mechanism to control. Biochem. Eng. J. 2010, 48, 424–434. [Google Scholar] [CrossRef]
 - Paul, J.H.; Jeffrey, W.H. The effect of surfactants on the attachment of estuarine and marine bacteria to surfaces. Can. J. Microbiol. 1984, 31, 224–228. [Google Scholar] [CrossRef]
 - Dusane, D.; Zinjarde, S.S.; Venugopalan, V.G.; McLean, R.J.; Weber, M.M.; Rahman, P.K. Quorum sensing: Implications on Rhamnolipid biosurfactant production. Biotech. Genet. Eng. Rev. 2010, 21, 159–184. [Google Scholar] [CrossRef] [PubMed]
 - Kosaric, N. Biosurfactants and their application for soil bioremediation. Food Technol. Biotech. 2001, 39, 295–304. [Google Scholar]
 - Singh, P.; Cameotra, S.S. Potential applications of microbial surfactants in biomedical sciences. Trends Biotechnol. 2004, 22, 142–146. [Google Scholar] [CrossRef] [PubMed]
 - Torres-Beltrán, M.; Cardoso-Martínez, F.; Millán-Aguiñaga, N.; Becerril-Espinosa, A.; Soria-Mercado, I.E. Evaluation of the Gulf of California as a potential source of bioactive marine actinobacteria. Cienc. Mar. 2012, 38, 609–624. [Google Scholar] [CrossRef]
 - Soon-Wo, K.; Seon-Young, L.; Byung-Yong, K.; Hang-Yeon, W.; Jung-Bong, K.; Seung-Joo, G.; Gil-Bok, L. Bacillus niabensis sp. nov., isolated from cotton-waste composts for mushroom cultivation. Int. J. Syst. Evol. Microbiol. 2007, 57, 1909–1913. [Google Scholar] [CrossRef]
 - Miem, T.M.; Wiese, J.; Wenzel-Storjohann, A.; Imhoff, J.F. Diversity and antimicrobial potential of bacterial isolates associated with the soft coral Alcyonium digitatum from the Baltic Sea. Antonie Van Leeuwenhoek 2015, 109, 105–119. [Google Scholar] [CrossRef]
 - Ettoumi, B.; Raddadi, N.; Borin, S.; Daffonchio, D.; Boudabous, A.; Cherif, A. Diversity and phylogeny of culturable spore-forming Bacilli isolated from marine sediments. J. Basic Microbiol. 2009, 49, 13–23. [Google Scholar] [CrossRef]
 - Kennedy, J.; Baker, P.; Piper, C.; Cotter, P.D.; Walsh, M.; Mooji, M.J.; Bourke, M.B.; Rea, M.C.; O’Connor, P.M.; Ross, R.P.; et al. Isolation and analysis of bacteria with antimicrobial activities from the marine sponge Haliclona simulans collected from Irish waters. Mar. Biotechnol. 2009, 11, 384–396. [Google Scholar] [CrossRef]
 - Menezes, C.B.A.; Bonugli-Santos, R.C.; Miqueletto, P.B.; Passarini, H.D.S.; Justo, M.R.; Leal, R.R.; Fantinatti-Garboggini, F.; Oliveira, V.M.; Berlinck, R.G.S.; Sette, L.D. Microbial diversity associated with algae, ascidians and sponges from the north coast of São Paulo state, Brazil. Microbiol. Res. 2010, 165, 466–482. [Google Scholar] [CrossRef]
 - Sayem, S.A.; Manzo, E.; Ciavatta, L.; Tramice, A.; Cordone, A.; Zanfardino, A.; de Felice, M.; Varcamonti, M. Anti-biofilm activity of an exopolysaccharide from a sponge-associated strain of Bacillus licheniformis. Microb. Cell. Fact. 2011, 10, 74. [Google Scholar] [CrossRef] [PubMed]
 - Salanoubat, M.; Genin, S.; Artiguenave, F.; Gouzy, J.; Mangenot, S.; Arlat, M.; Billault, A.; Brottier, P.; Camus, J.C.; Cattolico, L.; et al. Genome sequence of the plant pathogen Ralstonia solanacearum. Nature 2002, 415, 497–502. [Google Scholar] [CrossRef] [PubMed]
 - Gómez, M.L.; Hurtado, C.; Dussán, J.; Parra, J.P.; Narvaéz, S. Determinación de la capacidad de degradación de compuestos orgánicos persistentes por bacterias marinas aisladas de sedimentos en el Caribe colombiano. Actual. Biol. 2006, 28, 125–137. [Google Scholar]
 - Wu, P.; Wang, Y.S.; Sun, F.L.; Wu, M.L.; Peng, Y.I. Bacterial polycyclic aromatic hydrocarbon ring-hydroxylatingdioxygenases in the sediments from the Pearl River estuary, China. Appl. Microbiol. Biotechnol. 2014, 98, 875–884. [Google Scholar] [CrossRef] [PubMed]
 - Desai, J.D.; Banat, I.M. Microbial production of surfactants and their commercial potential. Microbiol. Mol. Biol. Rev. 1997, 61, 47–64. [Google Scholar] [CrossRef] [PubMed]
 - Mondol, M.A.; Shin, H.J.; Islam, M.T. Diversity of secondary metabolites from marine Bacillus species: Chemistry and biological activity. Mar. Drugs 2013, 11, 2846–2872. [Google Scholar] [CrossRef]
 - Arguelles-Arias, A.; Ongena, M.; Halimi, B.; Lara, Y.; Brans, A.; Joris, B.; Fickers, P. Bacillus amyloliquefaciens GA1 as a source of potent antibiotics and other secondary metabolites for biocontrol of plant pathogens. Microb. Cell. Fact. 2009, 8, 1–12. [Google Scholar] [CrossRef]
 - Youssef, N.H.; Dunacn, K.E.; Nagle, D.P.; Savage, K.N.; Knapp, R.M.; Mclnerney, M.J. Comparison methods to detect biosurfactant production by diverse microorganism. J. Microbiol. Methods 2004, 56, 339–347. [Google Scholar] [CrossRef]
 - Lara-Severino, R.D.; Gómez-Olivan, L.M.; Sandoval-Trujillo, A.H.; Isaac-Olive, K.; Ramírez-Durán, N. Búsqueda de capacidad productora de biosurfactantes en actinobacterias haloalcalofilas y halotolerantes. Rev. Int. Contam. Ambient. 2017, 33, 529–539. [Google Scholar] [CrossRef]
 - El-Sersy, N.A. Plackett-Burman design to optimize biosurfactant production by marine Bacillus subtilis N10. Rom. Biotech. Lett. 2012, 17, 7049–7064. [Google Scholar]
 - Fonseca de Faria, A.; Teodoro-Martinez, D.S.; de Oliveira, G.N.; Vaz, B.G.; Serrano-Silva, I.; Garcia, J.S.; Tótola, M.R.; Eberlin, M.N.; Grossman, M.; Alvez, O.L.; et al. Production and structural characterization of surfactin (C14/ Leu7) produced by Bacillus subtilis isolate LSFM-05 grown on raw glycerol from the biodiesel industry. Process Biochem. 2011, 46, 1951–1957. [Google Scholar] [CrossRef]
 - Youcef-Ali, M.; Kacem, N.; Dehimat, L.; Ait, A.; Destain, J.; Thornart, P. Selection of an Antifungal Bacillus niabensis from Algerian salt soil and study of its potential of surfactin production. Sch. J. Agric. Sci. 2013, 3, 552–560. [Google Scholar]
 - Plaza, G.A.; Lukasik, K.; Wypych, J.; Nalecz-Jawecki, G.; Berry, C.; Brigmon, R.L. Biodegradation of crude oil and distillation products by biosurfactant-producing bacteria. Pol. J. Environ. Stud. 2008, 17, 87–94. [Google Scholar]
 - Plaza, G.A.; Zjawiony, I.; Banat, I.M. Use of different methods for detection of thermophilic biosurfactant producing bacteria from hydrocarbon-contaminated and bioremediated soils. J. Pet. Sci. Eng. 2006, 50, 71–77. [Google Scholar] [CrossRef]
 - Sudip, K.S.; Bharat, B.; Ashvini, C.; Rakesh, K.J. Chemotaxis of a Ralstonia sp. SJ98 toward different nitroaromatic compounds and their degradation. Biochem. Biophys. Res. 2000, 269, 117–123. [Google Scholar] [CrossRef][Green Version]
 - Trefault, N.; De la Iglesia, R.; Molina, A.M.; Manzano, M.; Ledger, T.; Perez-Pantoja, D.; Sánchez, M.A.; Stuardo, M.; Gonzalez, B. Genetic organization of the catabolic plasmid pJP4 from Ralstonia eutropha JMP134 (pJP4) reveals mechanisms of adaptation to chloroaromatic pollutants and evolution of specialized chloroaromatic degradation pathways. Environ. Microbiol. 2004, 6, 655–668. [Google Scholar] [CrossRef]
 - Chen, W.M.; Chang, J.S.; Wu, C.H.; Chang, S.C. Characterization of phenol and trichloroethene degradation by the rhizobium Ralstonia taiwanensis. Res. Microbiol. 2004, 155, 672–680. [Google Scholar] [CrossRef]
 - Wang, Y.D.; Dong, X.J.; Wang, X.; Hong, Q.; Jiang, X.; Li, S.P. Isolation of phenol-degrading bacteria from natural soil and their phylogenetic analysis. China Environ. Sci. 2007, 28, 623–626. [Google Scholar]
 - Adebusoye, S.A.; Picardal, F.W.; Ilori, M.O.; Amund, O.O.; Fuqua, C. Characterization of multiple novel aerobic polychlorinated biphenyl (PCB)-utilizing bacterial strains indigenous to contaminated tropical African soils. Biodegradation 2008, 19, 145–159. [Google Scholar] [CrossRef]
 - Waldau, D.; Mikolasch, A.; Lalk, M.; Schauer, F. Derivatization of bioactive carbazoles by the biphenyl-degrading bacterium Ralstonia sp. strain SBUG 290. Appl. Microbiol. Biotechnol. 2009, 83, 67–75. [Google Scholar] [CrossRef]
 - Bucheli-Witschel, M.; Hafner, T.; Ruegg, I.; Egli, T. Benzene degradation by Ralstonia pickettii PKO1 in the presence of the alternative substrate succinate. Biodegradation 2009, 20, 419–431. [Google Scholar] [CrossRef] [PubMed]
 - Li, J.; Liu, J.; Shen, W.; Zhao, X.; Hou, Y.; Cao, H.; Cui, Z. Isolation and characterization of 3,5,6-trichloro-2-pyridinol-degrading Ralstonia sp. strain T6. Bioresour. Technol. 2010, 101, 7479–7483. [Google Scholar] [CrossRef] [PubMed]
 - Fernández-Calienes, V.A.; Mendiola-Martínez, J.; Monzote-Fidalgo, L.; García-Parra, M.; Sariego-Ramos, I.; Acuña-Rodríguez, D.; Scull, L.R.; Gutiérrez-Gaitén, Y. Evaluación de la toxicidad de extractos de plantas cubanas con posible acción antiparasitaria utilizando larvas de Artemia salina. Rev. Cuba. Med. Trop. 2009, 61, 254–258. [Google Scholar]
 - Amara, I.; Miled, W.; Slama, R.B.; Ladhari, N. Antifouling processes and toxicity effect of antifouling paints on marine environment. A review. Environ. Toxicol. Pharmacol. 2018, 57, 115–130. [Google Scholar] [CrossRef] [PubMed]
 - Othmani, A.; Bunet, R.; Bonnefont, J.L.; Briand, J.F.; Culioli, G. Settlement inhibition of marine biofilm bacteria and barnacle larvae by compounds isolated from the Mediterranean brown alga, Taonia atomaria. J. App. Phycol. 2016, 28, 1975–1986. [Google Scholar] [CrossRef]
 - Fernandes, P.A.V.; de Arruda, I.R.; Botelho, A.F.A.; de Araújo, A.A.; Souto, A.M.; Azevedo, E. Antimicrobial activity of surfactants produced by Bacillus subtilis against multidrug-resistance bacteria. Braz. J. Microbiol. 2007, 38, 704–709. [Google Scholar] [CrossRef]
 - Wong, J.H.; Hao, J.; Cao, Z.; Qiao, M.; Xu, H.; Bai, Y.; Ng, T.B. An antifungal protein from Bacillus amyloliquefaciens. J. Appl. Microbiol. 2008, 105, 1888–1898. [Google Scholar] [CrossRef]
 - Hong-Mei, X.; Yan-Jun, R.; Ming-Xin, Z.; Bo, S.; Zhen-Ming, C. Antibacterial activity of the lipopetides produced by Bacillus amyloliquefaciens M1 against multidrug-resistant Vibrio spp. isolated from diseased marine animals. Appl. Microbiol. Biot. 2014, 98, 127–136. [Google Scholar] [CrossRef]
 - Vatsa, P.; Sanchez, L.; Clement, C.; Baillieul, F.; Dorey, S. Rhamnolipid biosurfactants as new players in animal and plant defense against microbes. Int. J. Mol. Sci. 2010, 11, 5095–5108. [Google Scholar] [CrossRef]
 - Mah, T.F.C.; O’Toole, G. Mechanisms of biofilm resistance to antimicrobial agents. Trends Microbiol. 2001, 9, 34–39. [Google Scholar] [CrossRef]
 - International Antimicrobial Council. 2015. Available online: https://amcouncil.org/antimicrobial-coatings-market-expected-to-reach-4520-3-million-by-2020/ (accessed on 1 December 2019).
 - Soares da Silva, R.C.F.; de-Almeida, D.G.; Brasileiro, P.P.F.; Rufino, R.D.; de Luna, J.M.; Sarubbo, L.A. Production, formulation and cost estimation of a commercial biosurfactant. Biodegradation 2019, 30, 191–201. [Google Scholar] [CrossRef] [PubMed]
 - Santos, D.K.; Rufino, R.D.; Luna, J.M.; Santos, V.A.; Sarubbo, L.A. Biosurfactants: Multifunctional biomolecules of the 21st Century. Int. J. Mol. Sci. 2016, 17, 401. [Google Scholar] [CrossRef] [PubMed]
 - Prado, A.A.O.S.; Santos, B.L.P.; Vieira, I.M.M.; Ramos, L.C.; de Souza, R.R.; Silva, D.P.; Ruzenea, D.S. Evaluation of a new strategy in the elaboration of culture media to produce surfactin from hemicellulosic corncob liquor. Biotechnol. Rep. 2019, e00364. [Google Scholar] [CrossRef] [PubMed]
 - Kim, M.; Park, J.M.; Um, H.J.; Lee, K.H.; Kim, H.; Min, J.; Kim, Y.H. The antifouling potentiality of galactosamine characterized from Vibrio vulnificus exopolysaccharide. Biofouling 2011, 27, 851–857. [Google Scholar] [CrossRef] [PubMed]
 - Satheesh, S.; Soniamby, A.R.; Sunjaiy-Shankar, C.V.; Punitha, S.M.J. Antifouling activities of marine bacteria associated with sponge (Sigmadocia sp.). J. Ocean Univ. China 2012, 11, 354–360. [Google Scholar] [CrossRef]
 - Jin, C.; Xin, X.; Yu, S.; Qiu, J.; Miao, L.; Feng, K.; Zhou, X. Antidiatom activity of marine bacteria associated with sponges from San Juan Island, Washington. World J. Microb. Biot. 2014, 30, 1325–1334. [Google Scholar] [CrossRef] [PubMed]
 - Giri, S.; Ryu, E.C.; Sukumaran, V.; Parka, S.C. Antioxidant, antibacterial, and anti-adhesive activities of biosurfactants isolated from Bacillus strains. Microb. Pathog. 2019, 132, 66–72. [Google Scholar] [CrossRef]
 - Singh, N.; Turner, A. Trace metals in antifouling paint particles and their heterogeneous contamination of coastal sediments. Mar. Pollut. Bull. 2009, 58, 559–564. [Google Scholar] [CrossRef]
 - Acevedo, M.S.; Puentes, C.; Carreño, K.; León, J.G.; Stupak, M.; García, M.; Pérez, M.; Blustein, G. Antifouling paints based on marine natural products form Colombian Caribbean. Int. Biodeter. Biodegr. 2013, 83, 97–104. [Google Scholar] [CrossRef]
 - Soliman, Y.A.; Ibrahim, M.A.; Tadros, H.R.Z.; Abou-Taleb, A.E.A.; Moustafa, A.H.; Hamed, M.A. Antifouling and antibacterial activities of marine bioactive compounds extracted from some Red sea cucumber. Int. J. Contemp. App. Sci. 2016, 3, 83–103. [Google Scholar]
 - Burgess, J.B.; Boyd, K.G.; Armstrong, E.; Jiang, Z.; Yan, L.; Berggren, M.; May, U.; Pisacane, T.; Granmo, A.; Adams, D.R. The development of a marine natural products-based antifouling paint. Biofouling 2003, 19, 197–205. [Google Scholar] [CrossRef] [PubMed]
 - Palanichamy, S.; Subramanian, G. Antifouling properties of marine bacteriocin incorporated epoxy based paint. Prog. Org. Coat. 2016, 103, 33–39. [Google Scholar] [CrossRef]
 - Armstrong, E.; Boyd, K.G.; Pisacane, A.; Peppiatt, C.J.; Burgess, J.G. Marine microbial natural products in antifouling coatings. Biofouling 2000, 16, 215–224. [Google Scholar] [CrossRef]
 - Dobretsov, S.; Abed, R.M.M.; Voolstra, C.R. The effect of surface colour on the formation of marine micro and macrofouling communities. Biofouling 2013, 29, 617–627. [Google Scholar] [CrossRef] [PubMed]
 - Li, Y.F.; Guo, X.P.; Chen, Y.R.; Ding, D.W.; Yang, J.L. Comparative analysis of biofilm community on different coloured substrata in relation to mussel settlement. J. Mar. Biol. Assoc. UK 2017, 97, 81–89. [Google Scholar] [CrossRef]
 - Schumacher, J.F.; Carman, M.L.; Estes, T.G.; Feinberg, A.W.; Wilson, L.H.; Callow, M.E.; Callow, J.A.; Finlay, J.A.; Brennan, B. Engineered antifouling microtopographies—Effect of feature size, geometry, and roughness on settlement of zoospores of the green alga Ulva. Biofouling 2007, 23, 55–62. [Google Scholar] [CrossRef] [PubMed]
 - Vesco, S.; Aversa, C.; Puopolo, M.; Barletta, M. Advances in design and manufacturing of environmentally friendly and biocide-free antifouling/foul-release coatings: Replacement of fluorinate species. J. Coat. Technol. Res. 2019, 16, 661–680. [Google Scholar] [CrossRef]
 - Análisis de Costo Beneficio, Protocolo de Detección Temprana y Respuesta Rápida y Evaluación de Impactos Económicos Para Tunicados en Baja California. Available online: https://www.biodiversidad.gob.mx/media/1/especies/Invasoras/files/comp1/Analisis_costo_beneficio_control_de_tunicados.zip (accessed on 21 August 2020).
 - Sánchez-Lozano, I.; Hernández-Guerrero, C.J.; Muñoz-Ochoa, M.; Hellio, C. Biomimetic approaches for the development of new antifouling solutions: Study of incorporation of macroalgae and sponge extracts for the development of new environmentally-friendly coatings. Int. J. Mol. Sci. 2019, 20, 4863. [Google Scholar] [CrossRef]
 - Duncan, K.; Haltli, B.; Gill, K.A.; Kerr, R.G. Bioprospecting from marine sediments of New Brunswick, Canada: Exploring the relationship between total bacterial diversity and actinobacteria diversity. Mar. Drugs 2014, 12, 899–925. [Google Scholar] [CrossRef]
 - Stach, J.E.; Bathe, S.; Clapp, J.P.; Burns, R.G. PCR-SSCP comparison of 16S rDNA sequence diversity in soil DNA obtained using different isolation and purification methods. FEMS Microbiol. Ecol. 2001, 36, 139–151. [Google Scholar] [CrossRef]
 - Mulligan, C.; Cooper, D.; Neufeld, R. Selection of microbes producing biosurfactants in media without hydrocarbons. J. Ferment. Technol. 1984, 6, 311–314. [Google Scholar]
 - Morikawa, M.; Hirata, Y.; Imanaka, T. A study on the structure-function relationship of lipopeptide biosurfactants. Biochim. Biophys. Acta 2000, 1488, 211–218. [Google Scholar] [CrossRef]
 - Das, M.; Das, S.K.; Mukherjee, R.K. Surface active properties of the culture filtrates of a Micrococcus species grown on n-alkanes and sugars. Bioresour. Technol. 1998, 63, 231–235. [Google Scholar] [CrossRef]
 - Meyer, B.N.; Ferrigni, N.R.; Putnam, J.E.; Jacobsen, L.B.; Nichols, D.E.; McLaughlin, J.L. Brine Shrimp: A convenient general bioassay for active plant constituents. Planta Med. 1982, 45, 31–34. [Google Scholar] [CrossRef]
 - Hellio, C.; Trepos, R.; Aguila-Ramírez, R.N.; Hernández-Guerrero, C.J. Protocol for assessing antifouling activities of macroalgal extracts. In Natural Products from Marine Algae: Methods and Protocols (Methods in Molecular Biology), 1st ed.; Stengel, D.B., Connan, S., Eds.; Human Press: New York, NY, USA, 2015; Volume 1308, pp. 421–435. [Google Scholar] [CrossRef]
 




| ID Strain | Species | Isolated Origin | Locality | GenBank Accession No. | |
|---|---|---|---|---|---|
| My-30 | Bacillus niabensis | Sponge Mycale ramulosa  | Pichilingue | 24°17′ N–110° 20′ W | MT887632 | 
| S-69 | Bacillus niabensis | Marine sediment | Punta Arena | 24°03′ N–109° 49′ W | MT887633 | 
| S-74 | Ralstonia sp. | Marine sediment | Punta Arena | 24°03′ N–109° 49′ W | MT887634 | 
| Biosurfactant Production Capability | Emulsification Properties (%) | |||||||
|---|---|---|---|---|---|---|---|---|
| Bacteria | Hemolytic Activity | Drop Collapsing Test (mm) | Oil Displacement Test (Ø mm) | Emulsification Index (E.I.) | Emulsification Stability (E.S.) | |||
| Mineral Oil | Olive Oil | Mineral Oil | Olive Oil | 24 h | 48 h | |||
| My-30 | +++ | 5.3 | 6.2 | 9 | 2 | 56 | 71 | 7.6 | 
| S-69 | + | 4.3 | 4.3 | 6 | 1.5 | 29 | 54 | 30 | 
| S-74 | ++ | 5.2 | 5.3 | 4 | 1 | 6.5 | 22 | 10 | 
| Controls | ||||||||
| SDS 10% | 5.2 | 7.7 | 9 | 9 | 59 | 59 | 56 | |
| H2O | 3.6 | 3.7 | 0 | 0 | 6.3 | 21 | 0 | |
| MB | 10.7 | 29 | 0 | |||||
| Supernatant | LC50 (µL mL−1) | 
|---|---|
| My-30 | 330.8 | 
| S-69 | 261.8 | 
| S-74 | 360.4 | 
| Positive controls | LC50 (µg mL−1) | 
| TBTO | 8.7 | 
| CuSO4 | 6.2 | 
| Antibacterial Activity (MIC % v/v) | |||||||
|---|---|---|---|---|---|---|---|
| Bacterial Supernatant | Bp | Bs | Msp1 | Psp1 | Psp2 | Ss | Vsp1 | 
| My-30 | 4 | 1 | 2 | >10 | >10 | 1 | >10 | 
| S-69 | 2 | 1 | 1 | >10 | >10 | 1 | >10 | 
| S-74 | 4 | 2 | 2 | >10 | >10 | 8 | >10 | 
© 2020 by the authors. Licensee MDPI, Basel, Switzerland. This article is an open access article distributed under the terms and conditions of the Creative Commons Attribution (CC BY) license (http://creativecommons.org/licenses/by/4.0/).
Share and Cite
Alemán-Vega, M.; Sánchez-Lozano, I.; Hernández-Guerrero, C.J.; Hellio, C.; Quintana, E.T. Exploring Antifouling Activity of Biosurfactants Producing Marine Bacteria Isolated from Gulf of California. Int. J. Mol. Sci. 2020, 21, 6068. https://doi.org/10.3390/ijms21176068
Alemán-Vega M, Sánchez-Lozano I, Hernández-Guerrero CJ, Hellio C, Quintana ET. Exploring Antifouling Activity of Biosurfactants Producing Marine Bacteria Isolated from Gulf of California. International Journal of Molecular Sciences. 2020; 21(17):6068. https://doi.org/10.3390/ijms21176068
Chicago/Turabian StyleAlemán-Vega, Monserrat, Ilse Sánchez-Lozano, Claudia J. Hernández-Guerrero, Claire Hellio, and Erika T. Quintana. 2020. "Exploring Antifouling Activity of Biosurfactants Producing Marine Bacteria Isolated from Gulf of California" International Journal of Molecular Sciences 21, no. 17: 6068. https://doi.org/10.3390/ijms21176068
APA StyleAlemán-Vega, M., Sánchez-Lozano, I., Hernández-Guerrero, C. J., Hellio, C., & Quintana, E. T. (2020). Exploring Antifouling Activity of Biosurfactants Producing Marine Bacteria Isolated from Gulf of California. International Journal of Molecular Sciences, 21(17), 6068. https://doi.org/10.3390/ijms21176068
        
