Serum Exosomal miRNAs for Grading Hepatic Fibrosis Due to Schistosomiasis
Abstract
1. Introduction
2. Results
2.1. Identification of Endogenous RGs for Serum exomiR Expression Analysis in C57BL/6 Mice during Schistosome Infection
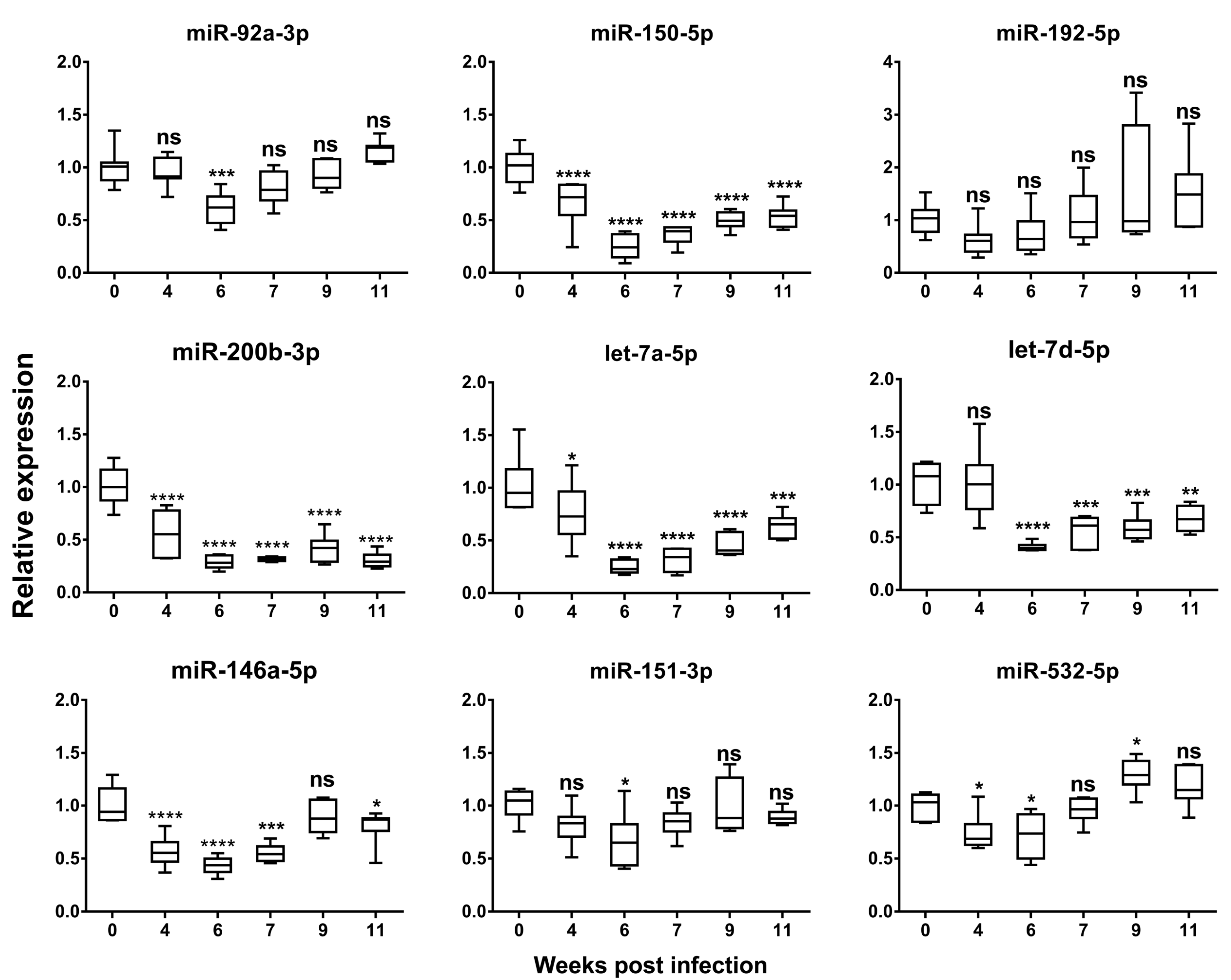
2.2. Temporal Expression of Serum Exosomal miRNAs in C57BL/6 Mice during the Course of S. japonicum Infection
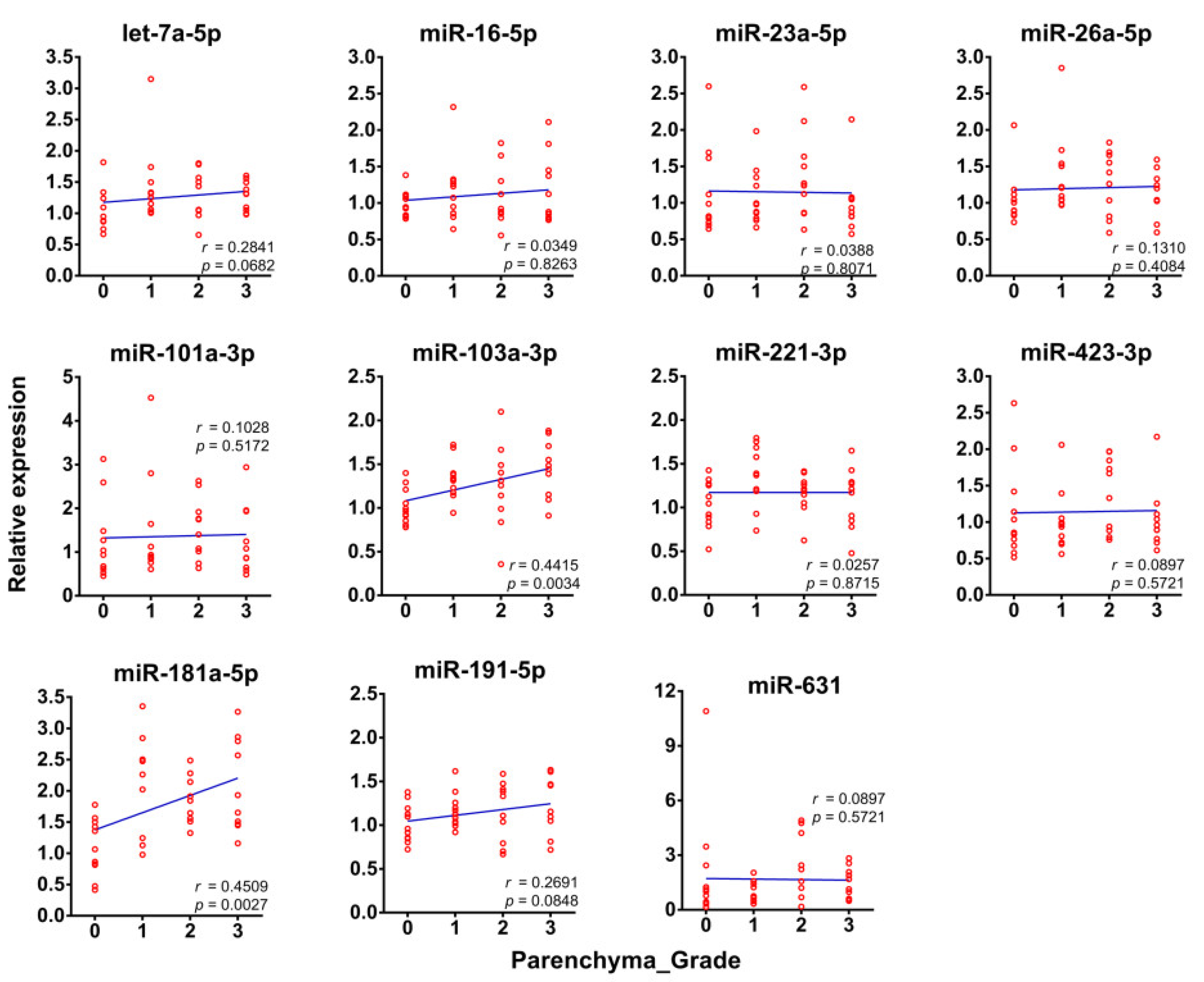
2.3. Correlations of the Serum Levels of exomiRs with Liver Pathological Parameters in C57BL/6 Mice during S. japonicum Infection
2.4. Identification of Endogenous RGs for Serum exomiR Expression Analysis in Schistosomiasis Patients with Different Liver Fibrosis Grading
2.5. Correlations of the Serum Levels of Eleven exomiRs with the Grades of Hepatic Fibrosis in a Cohort of Subjects from a Schistosomiasis Endemic Area
2.6. Serum-Derived exomiRs Can Discriminate Different Liver Fibrosis Grades
3. Discussion
4. Materials and Methods
4.1. Ethics Statement
4.2. Animal Infection, Serum Collection, Histological Assessment, and Biochemical Analyses
4.3. Study Cohort
4.4. Exosome Isolation, RNA Extraction, Polyadenylation, and Reverse Transcription (RT)
4.5. QRT-PCR for miRNA Quantification
4.6. Reference Genes Identification
4.7. Statistical Analysis
5. Conclusions
Supplementary Materials
Author Contributions
Funding
Acknowledgments
Conflicts of Interest
References
- Colley, D.G.; Bustinduy, A.L.; Secor, W.E.; King, C.H. Human schistosomiasis. Lancet 2014, 383, 2253–2264. [Google Scholar] [CrossRef]
- McManus, D.P.; Dunne, D.W.; Sacko, M.; Utzinger, J.; Vennervald, B.J.; Zhou, X.N. Schistosomiasis. Nat. Rev. Dis. Primers 2018, 4, 13. [Google Scholar] [CrossRef] [PubMed]
- Anthony, B.J.; Ramm, G.A.; McManus, D.P. Role of resident liver cells in the pathogenesis of schistosomiasis. Trends Parasitol. 2012, 28, 572–579. [Google Scholar] [CrossRef] [PubMed]
- Chuah, C.; Jones, M.K.; Burke, M.L.; McManus, D.P.; Gobert, G.N. Cellular and chemokine-mediated regulation in schistosome-induced hepatic pathology. Trends Parasitol. 2014, 30, 141–150. [Google Scholar] [CrossRef]
- Roderburg, C.; Urban, G.W.; Bettermann, K.; Vucur, M.; Zimmermann, H.; Schmidt, S.; Janssen, J.; Koppe, C.; Knolle, P.; Castoldi, M.; et al. Micro-RNA profiling reveals a role for miR-29 in human and murine liver fibrosis. Hepatology 2011, 53, 209–218. [Google Scholar] [CrossRef]
- Cai, P.; Piao, X.; Liu, S.; Hou, N.; Wang, H.; Chen, Q. MicroRNA-gene expression network in murine liver during Schistosoma japonicum infection. PLoS ONE 2013, 8, e67037. [Google Scholar] [CrossRef]
- Matsuura, K.; De Giorgi, V.; Schechterly, C.; Wang, R.Y.; Farci, P.; Tanaka, Y.; Alter, H.J. Circulating let-7 levels in plasma and extracellular vesicles correlate with hepatic fibrosis progression in chronic hepatitis C. Hepatology 2016, 64, 732–745. [Google Scholar] [CrossRef]
- Lambrecht, J.; Jan Poortmans, P.; Verhulst, S.; Reynaert, H.; Mannaerts, I.; van Grunsven, L.A. Circulating ECV-associated miRNAs as potential clinical biomarkers in early stage HBV and HCV induced liver fibrosis. Front. Pharmacol. 2017, 8, 56. [Google Scholar] [CrossRef]
- Cai, P.; Mu, Y.; Olveda, R.M.; Ross, A.G.; Olveda, D.U.; McManus, D.P. Circulating miRNAs as footprints for liver fibrosis grading in schistosomiasis. EBioMedicine 2018, 37, 334–343. [Google Scholar] [CrossRef]
- Nallagangula, K.S.; Nagaraj, S.K.; Venkataswamy, L.; Chandrappa, M. Liver fibrosis: A compilation on the biomarkers status and their significance during disease progression. Future Sci. OA 2017, 4, FSO250. [Google Scholar] [CrossRef]
- Pang, B.; Zhu, Y.; Ni, J.; Thompson, J.; Malouf, D.; Bucci, J.; Graham, P.; Li, Y. Extracellular vesicles: The next generation of biomarkers for liquid biopsy-based prostate cancer diagnosis. Theranostics 2020, 10, 2309–2326. [Google Scholar] [CrossRef]
- Desmond, B.J.; Dennett, E.R.; Danielson, K.M. Circulating extracellular vesicle microRNA as diagnostic biomarkers in early colorectal cancer-A review. Cancers 2020, 12, 52. [Google Scholar] [CrossRef]
- Wang, S.; Wang, J.-Q.; Lv, X.-W. Exosomal miRNAs as biomarkers in the diagnosis of liver disease. Biomark. Med. 2017, 11, 491–501. [Google Scholar] [CrossRef] [PubMed]
- Das, S.; Ansel, K.M.; Bitzer, M.; Breakefield, X.O.; Charest, A.; Galas, D.J.; Gerstein, M.B.; Gupta, M.; Milosavljevic, A.; McManus, M.T.; et al. The extracellular RNA communication consortium: Establishing foundational knowledge and technologies for extracellular RNA research. Cell 2019, 177, 231–242. [Google Scholar] [CrossRef] [PubMed]
- Becker, A.; Thakur, B.K.; Weiss, J.M.; Kim, H.S.; Peinado, H.; Lyden, D. Extracellular vesicles in cancer: Cell-to-cell mediators of metastasis. Cancer Cell 2016, 30, 836–848. [Google Scholar] [CrossRef] [PubMed]
- Donati, S.; Ciuffi, S.; Brandi, M.L. Human circulating miRNAs real-time qRT-PCR-based analysis: An overview of endogenous reference genes used for data normalization. Int. J. Mol. Sci. 2019, 20, 4353. [Google Scholar] [CrossRef] [PubMed]
- Li, Y.; Xiang, G.M.; Liu, L.L.; Liu, C.; Liu, F.; Jiang, D.N.; Pu, X.Y. Assessment of endogenous reference gene suitability for serum exosomal microRNA expression analysis in liver carcinoma resection studies. Mol. Med. Rep. 2015, 12, 4683–4691. [Google Scholar] [CrossRef]
- Li, Y.; Zhang, L.; Liu, F.; Xiang, G.; Jiang, D.; Pu, X. Identification of endogenous controls for analyzing serum exosomal miRNA in patients with hepatitis B or hepatocellular carcinoma. Dis. Markers 2015, 2015, 12. [Google Scholar] [CrossRef]
- Ragni, E.; Perucca Orfei, C.; De Luca, P.; Colombini, A.; Vigano, M.; Lugano, G.; Bollati, V.; de Girolamo, L. Identification of miRNA reference genes in extracellular vesicles from adipose derived mesenchymal stem cells for studying osteoarthritis. Int. J. Mol. Sci. 2019, 20, 1108. [Google Scholar] [CrossRef]
- Gouin, K.; Peck, K.; Antes, T.; Johnson, J.L.; Li, C.; Vaturi, S.D.; Middleton, R.; de Couto, G.; Walravens, A.-S.; Rodriguez-Borlado, L.; et al. A comprehensive method for identification of suitable reference genes in extracellular vesicles. J. Extracell. Vesicles 2017, 6, 1347019. [Google Scholar] [CrossRef]
- Santovito, D.; De Nardis, V.; Marcantonio, P.; Mandolini, C.; Paganelli, C.; Vitale, E.; Buttitta, F.; Bucci, M.; Mezzetti, A.; Consoli, A.; et al. Plasma exosome microRNA profiling unravels a new potential modulator of adiponectin pathway in diabetes: Effect of glycemic control. J. Clin. Endocrinol. Metab. 2014, 99, E1681–E1685. [Google Scholar] [CrossRef] [PubMed]
- Garcia-Contreras, M.; Shah, S.H.; Tamayo, A.; Robbins, P.D.; Golberg, R.B.; Mendez, A.J.; Ricordi, C. Plasma-derived exosome characterization reveals a distinct microRNA signature in long duration Type 1 diabetes. Sci. Rep. 2017, 7, 5998. [Google Scholar] [CrossRef] [PubMed]
- Matsuura, K.; Aizawa, N.; Enomoto, H.; Nishiguchi, S.; Toyoda, H.; Kumada, T.; Iio, E.; Ito, K.; Ogawa, S.; Isogawa, M.; et al. Circulating let-7 levels in serum correlate with the severity of hepatic fibrosis in chronic hepatitis C. Open Forum Infect. Dis. 2018, 5, ofy268. [Google Scholar] [CrossRef] [PubMed]
- Chen, L.; Chen, R.; Kemper, S.; Cong, M.; You, H.; Brigstock, D.R. Therapeutic effects of serum extracellular vesicles in liver fibrosis. J. Extracell. Vesicles 2018, 7, 1461505. [Google Scholar] [CrossRef] [PubMed]
- Olveda, D.U.; Inobaya, M.; Olveda, R.M.; Vinluan, M.L.; Ng, S.K.; Weerakoon, K.; McManus, D.P.; Ramm, G.A.; Harn, D.A.; Li, Y.; et al. Diagnosing schistosomiasis-induced liver morbidity: Implications for global control. Int. J. Infect. Dis. 2017, 54, 138–144. [Google Scholar] [CrossRef]
- Cai, P.; Weerakoon, K.G.; Mu, Y.; Olveda, D.U.; Piao, X.; Liu, S.; Olveda, R.M.; Chen, Q.; Ross, A.G.; McManus, D.P. A parallel comparison of antigen candidates for development of an optimized serological diagnosis of schistosomiasis japonica in the Philippines. EBioMedicine 2017, 24, 237–246. [Google Scholar] [CrossRef]
- Schwarzenbach, H.; da Silva, A.M.; Calin, G.; Pantel, K. Data normalization strategies for microRNA quantification. Clin. Chem. 2015, 61, 1333–1342. [Google Scholar] [CrossRef] [PubMed]
- Wang, L.; Liu, Y.; Du, L.; Li, J.; Jiang, X.; Zheng, G.; Qu, A.; Wang, H.; Wang, L.; Zhang, X.; et al. Identification and validation of reference genes for the detection of serum microRNAs by reverse transcription-quantitative polymerase chain reaction in patients with bladder cancer. Mol. Med. Rep. 2015, 12, 615–622. [Google Scholar] [CrossRef]
- Wang, Y.; Tang, N.; Hui, T.; Wang, S.; Zeng, X.; Li, H.; Ma, J. Identification of endogenous reference genes for RT-qPCR analysis of plasma microRNAs levels in rats with acetaminophen-induced hepatotoxicity. J. Appl. Toxicol. 2013, 33, 1330–1336. [Google Scholar] [CrossRef]
- Li, L.M.; Hu, Z.B.; Zhou, Z.X.; Chen, X.; Liu, F.Y.; Zhang, J.F.; Shen, H.B.; Zhang, C.Y.; Zen, K. Serum microRNA profiles serve as novel biomarkers for HBV infection and diagnosis of HBV-positive hepatocarcinoma. Cancer Res. 2010, 70, 9798–9807. [Google Scholar] [CrossRef]
- Zalewski, K.; Misiek, M.; Kowalik, A.; Bakula-Zalewska, E.; Kopczynski, J.; Zielinska, A.; Bidzinski, M.; Radziszewski, J.; Gozdz, S.; Kowalewska, M. Normalizers for microRNA quantification in plasma of patients with vulvar intraepithelial neoplasia lesions and vulvar carcinoma. Tumour Biol. 2017, 39, 1010428317717140. [Google Scholar] [CrossRef] [PubMed]
- Cai, P.; Gobert, G.N.; You, H.; Duke, M.; McManus, D.P. Circulating miRNAs: Potential novel biomarkers for hepatopathology progression and diagnosis of schistosomiasis japonica in two murine models. PLoS Negl. Trop. Dis. 2015, 9, e0003965. [Google Scholar] [CrossRef] [PubMed]
- Zhao, K.; Liang, G.; Sun, X.; Guan, L.L. Comparative miRNAome analysis revealed different miRNA expression profiles in bovine sera and exosomes. BMC Genom. 2016, 17, 630. [Google Scholar] [CrossRef] [PubMed]
- Janas, T.; Janas, M.M.; Sapon, K.; Janas, T. Mechanisms of RNA loading into exosomes. FEBS Lett. 2015, 589, 1391–1398. [Google Scholar] [CrossRef] [PubMed]
- Gon, Y.; Maruoka, S.; Inoue, T.; Kuroda, K.; Yamagishi, K.; Kozu, Y.; Shikano, S.; Soda, K.; Lotvall, J.; Hashimoto, S. Selective release of miRNAs via extracellular vesicles is associated with house-dust mite allergen-induced airway inflammation. Clin. Exp. Allergy 2017, 47, 1586–1598. [Google Scholar] [CrossRef]
- Zou, Y.; Cai, Y.; Lu, D.; Zhou, Y.; Yao, Q.; Zhang, S. MicroRNA-146a-5p attenuates liver fibrosis by suppressing profibrogenic effects of TGFbeta1 and lipopolysaccharide. Cell. Signal. 2017, 39, 1–8. [Google Scholar] [CrossRef]
- Jang, S.Y.; Park, S.J.; Chae, M.K.; Lee, J.H.; Lee, E.J.; Yoon, J.S. Role of microRNA-146a in regulation of fibrosis in orbital fibroblasts from patients with Graves’ orbitopathy. Br. J. Ophthalmol. 2018, 102, 407–414. [Google Scholar] [CrossRef]
- He, X.; Tang, R.; Sun, Y.; Wang, Y.G.; Zhen, K.Y.; Zhang, D.M.; Pan, W.Q. MicroR-146 blocks the activation of M1 macrophage by targeting signal transducer and activator of transcription 1 in hepatic schistosomiasis. EBioMedicine 2016, 13, 339–347. [Google Scholar] [CrossRef]
- Feng, B.; Chen, S.; Gordon, A.D.; Chakrabarti, S. miR-146a mediates inflammatory changes and fibrosis in the heart in diabetes. J. Mol. Cell. Cardiol. 2017, 105, 70–76. [Google Scholar] [CrossRef] [PubMed]
- Morishita, Y.; Imai, T.; Yoshizawa, H.; Watanabe, M.; Ishibashi, K.; Muto, S.; Nagata, D. Delivery of microRNA-146a with polyethylenimine nanoparticles inhibits renal fibrosis in vivo. Int. J. Nanomed. 2015, 10, 3475–3488. [Google Scholar] [CrossRef]
- Du, J.; Niu, X.; Wang, Y.; Kong, L.; Wang, R.; Zhang, Y.; Zhao, S.; Nan, Y. MiR-146a-5p suppresses activation and proliferation of hepatic stellate cells in nonalcoholic fibrosing steatohepatitis through directly targeting Wnt1 and Wnt5a. Sci. Rep. 2015, 5, 16163. [Google Scholar] [CrossRef] [PubMed]
- Appourchaux, K.; Dokmak, S.; Resche-Rigon, M.; Treton, X.; Lapalus, M.; Gattolliat, C.H.; Porchet, E.; Martinot-Peignoux, M.; Boyer, N.; Vidaud, M.; et al. MicroRNA-based diagnostic tools for advanced fibrosis and cirrhosis in patients with chronic hepatitis B and C. Sci. Rep. 2016, 6, 34935. [Google Scholar] [CrossRef] [PubMed]
- Dong, C.; Zhou, Q.; Fu, T.; Zhao, R.; Yang, J.; Kong, X.; Zhang, Z.; Sun, C.; Bao, Y.; Ge, X.; et al. Circulating exosomes derived-miR-146a from systemic lupus erythematosus patients regulates senescence of mesenchymal stem cells. Biomed. Res. Int. 2019, 2019, 6071308. [Google Scholar] [CrossRef] [PubMed]
- Xie, X.; Pan, J.; Han, X.; Chen, W. Downregulation of microRNA-532-5p promotes the proliferation and invasion of bladder cancer cells through promotion of HMGB3/Wnt/beta-catenin signaling. Chem. Biol. Interact. 2019, 300, 73–81. [Google Scholar] [CrossRef]
- Huang, L.; Tang, X.; Shi, X.; Su, L. miR-532-5p promotes breast cancer proliferation and migration by targeting RERG. Exp. Ther. Med. 2020, 19, 400–408. [Google Scholar] [CrossRef]
- Yamada, Y.; Arai, T.; Kato, M.; Kojima, S.; Sakamoto, S.; Komiya, A.; Naya, Y.; Ichikawa, T.; Seki, N. Role of pre-miR-532 (miR-532-5p and miR-532-3p) in regulation of gene expression and molecular pathogenesis in renal cell carcinoma. Am. J. Clin. Exp. Urol. 2019, 7, 11–30. [Google Scholar]
- Ross, A.G.; Olveda, R.M.; Chy, D.; Olveda, D.U.; Li, Y.; Harn, D.A.; Gray, D.J.; McManus, D.P.; Tallo, V.; Chau, T.N.; et al. Can mass drug administration lead to the sustainable control of schistosomiasis? J. Infect. Dis. 2015, 211, 283–289. [Google Scholar] [CrossRef]
- Weerakoon, K.G.; Gordon, C.A.; Williams, G.M.; Cai, P.; Gobert, G.N.; Olveda, R.M.; Ross, A.G.; Olveda, D.U.; McManus, D.P. Co-parasitism of intestinal protozoa and Schistosoma japonicum in a rural community in the Philippines. Infect. Dis. Poverty 2018, 7, 121. [Google Scholar] [CrossRef]
- Barsoum, R.S.; Esmat, G.; El-Baz, T. Human schistosomiasis: Clinical perspective: Review. J. Adv. Res. 2013, 4, 433–444. [Google Scholar] [CrossRef]
- Sung, S.; Kim, J.; Jung, Y. Liver-derived exosomes and their implications in liver pathobiology. Int. J. Mol. Sci. 2018, 19, 3715. [Google Scholar] [CrossRef]
- Kostallari, E.; Hirsova, P.; Prasnicka, A.; Verma, V.K.; Yaqoob, U.; Wongjarupong, N.; Roberts, L.R.; Shah, V.H. Hepatic stellate cell-derived platelet-derived growth factor receptor-alpha-enriched extracellular vesicles promote liver fibrosis in mice through SHP2. Hepatology 2018, 68, 333–348. [Google Scholar] [CrossRef] [PubMed]
- Schwarzenbach, H. Methods for quantification and characterization of microRNAs in cell-free plasma/serum, normal exosomes and tumor-derived exosomes. Transl. Cancer Res. 2017, S253–S263. [Google Scholar] [CrossRef]
- Cho, Y.E.; Im, E.J.; Moon, P.G.; Mezey, E.; Song, B.J.; Baek, M.C. Increased liver-specific proteins in circulating extracellular vesicles as potential biomarkers for drug- and alcohol-induced liver injury. PLoS ONE 2017, 12, e0172463. [Google Scholar] [CrossRef] [PubMed]
- Chen, L.; Brigstock, D.R. Integrins and heparan sulfate proteoglycans on hepatic stellate cells (HSC) are novel receptors for HSC-derived exosomes. FEBS Lett. 2016, 590, 4263–4274. [Google Scholar] [CrossRef] [PubMed]
- Olveda, D.U.; Inobaya, M.T.; McManus, D.P.; Olveda, R.M.; Vinluan, M.L.; Ng, S.K.; Harn, D.A.; Li, Y.; Guevarra, J.R.; Lam, A.K.; et al. Biennial versus annual treatment for schistosomiasis and its impact on liver morbidity. Int. J. Infect. Dis. 2017, 54, 145–149. [Google Scholar] [CrossRef] [PubMed]
- Cai, P.; Weerakoon, K.G.; Mu, Y.; Olveda, R.M.; Ross, A.G.; Olveda, D.U.; McManus, D.P. Comparison of Kato Katz, antibody-based ELISA and droplet digital PCR diagnosis of schistosomiasis japonica: Lessons learnt from a setting of low infection intensity. PLoS Negl. Trop. Dis. 2019, 13, e0007228. [Google Scholar] [CrossRef]
- Richter, J.; Hatz, C.; Campagne, G.; Bergquist, N.R.; Jenkins, J.M. UNDP/World Bank/WHO Special Programme for Research and Training in Tropical Diseases; Ultrasound in schistosomiasis: A practical guide to the standard use of ultrasonography for assessment of schistosomiasis-related morbidity: Second international workshop, 22–26 October 1996, Niamey, Niger; World Health Organization: Geneva, Switzerland, 1996. [Google Scholar]
- Mu, Y.; Cai, P.; Olveda, R.M.; Ross, A.G.; Olveda, D.U.; McManus, D.P. Parasite-derived circulating microRNAs as biomarkers for the detection of human Schistosoma japonicum infection. Parasitology 2019, 1–8. [Google Scholar] [CrossRef]
- Andersen, C.L.; Jensen, J.L.; Orntoft, T.F. Normalization of real-time quantitative reverse transcription-PCR data: A model-based variance estimation approach to identify genes suited for normalization, applied to bladder and colon cancer data sets. Cancer Res. 2004, 64, 5245–5250. [Google Scholar] [CrossRef]
- Vandesompele, J.; De Preter, K.; Pattyn, F.; Poppe, B.; Van Roy, N.; De Paepe, A.; Speleman, F. Accurate normalization of real-time quantitative RT-PCR data by geometric averaging of multiple internal control genes. Genome Biol. 2002, 3, RESEARCH0034. [Google Scholar] [CrossRef]
- Pfaffl, M.W.; Tichopad, A.; Prgomet, C.; Neuvians, T.P. Determination of stable housekeeping genes, differentially regulated target genes and sample integrity: BestKeeper--Excel-based tool using pair-wise correlations. Biotechnol. Lett. 2004, 26, 509–515. [Google Scholar] [CrossRef]
- Silver, N.; Best, S.; Jiang, J.; Thein, S.L. Selection of housekeeping genes for gene expression studies in human reticulocytes using real-time PCR. BMC Mol. Biol. 2006, 7, 33. [Google Scholar] [CrossRef] [PubMed]
- Xie, F.; Xiao, P.; Chen, D.; Xu, L.; Zhang, B. miRDeepFinder: A miRNA analysis tool for deep sequencing of plant small RNAs. Plant Mol. Biol. 2012, 80, 75–84. [Google Scholar] [CrossRef] [PubMed]








| miRNA Name | Accession Number | Sequence | References |
|---|---|---|---|
| let-7a-5p | MIMAT0000062 | UGAGGUAGUAGGUUGUAUAGUU | [17,18] |
| miR-16-5p | MIMAT0000069 | UAGCAGCACGUAAAUAUUGGCG | [19] |
| miR-23a-3p | MIMAT0000078 | AUCACAUUGCCAGGGAUUUCC | [19,20] |
| miR-26a-5p | MIMAT0000082 | UUCAAGUAAUCCAGGAUAGGCU | [17,18,20] |
| miR-101-3p | MIMAT0000099 | UACAGUACUGUGAUAACUGAA | [20] |
| miR-103a-3p | MIMAT0000101 | AGCAGCAUUGUACAGGGCUAUGA | [17] |
| miR-221-3p | MIMAT0000278 | AGCUACAUUGUCUGCUGGGUUUC | [17,18] |
| miR-423-5p | MIMAT0004748 | UGAGGGGCAGAGAGCGAGACUUU | [21] |
| miR-425-5p | MIMAT0003393 | AAUGACACGAUCACUCCCGUUGA | [21] |
| miR-181a-5p | MIMAT0000256 | AACAUUCAACGCUGUCGGUGAGU | [18] |
| miR-191-5p | MIMAT0000440 | CAACGGAAUCCCAAAAGCAGCUG | [18] |
| miR-631 | MIMAT0003300 | AGACCUGGCCCAGACCUCAGC | [22] |
| miRNA | Accession Number | Sequence | References |
|---|---|---|---|
| miR-92a-3p | MIMAT0000092 | UAUUGCACUUGUCCCGGCCUGU | [8,9] |
| miR-150-5p | MIMAT0000451 | UCUCCCAACCCUUGUACCAGUG | [8,9] |
| miR-192-5p | MIMAT0000222 | CUGACCUAUGAAUUGACAGCC | [8,9] |
| miR-200b-3p | MIMAT0000318 | UAAUACUGCCUGGUAAUGAUGA | [8,9] |
| let-7a-5p | MIMAT0000062 | UGAGGUAGUAGGUUGUAUAGUU | [7,9,23] |
| let-7d-5p | MIMAT0000065 | AGAGGUAGUAGGUUGCAUAGUU | [7,9] |
| miR-146a-5p | MIMAT0000449 | UGAGAACUGAAUUCCAUGGGUU | [9] |
| miR-151-3p | MIMAT0000757 | CUAGACUGAAGCUCCUUGAGG | [24] |
| miR-532-5p | MIMAT0002888 | CAUGCCUUGAGUGUAGGACCGU | [24] |
| exomiR | AST | ALT | HP | HF# | GRA# | NEC# | ||||||
|---|---|---|---|---|---|---|---|---|---|---|---|---|
| r | p | r | p | r | p | r | p | r | p | r | p | |
| miR-92a-3p | −0.4716 | 0.0021 | −0.4126 | 0.0082 | 0.2405 | 0.1350 | 0.1310 | 0.4205 | 0.0695 | 0.6700 | −0.3664 | 0.0201 |
| miR-150-5p | −0.5213 | 0.0006 | −0.6346 | <0.0001 | −0.2985 | 0.0614 | −0.4820 | 0.0016 | −0.5347 | 0.0004 | −0.4191 | 0.0071 |
| miR-192-5p | 0.4035 | 0.0098 | 0.5393 | 0.0003 | 0.4253 | 0.0062 | 0.3850 | 0.0141 | 0.3524 | 0.0257 | −0.0333 | 0.8386 |
| miR-200b-3p | −0.4081 | 0.0089 | −0.5874 | <0.0001 | −0.4392 | 0.0046 | −0.5915 | <0.0001 | −0.6210 | <0.0001 | −0.3402 | 0.0317 |
| let-7a-5p | −0.4960 | 0.0011 | −0.5719 | 0.0001 | −0.2869 | 0.0727 | −0.4939 | 0.0012 | −0.5529 | 0.0002 | −0.3338 | 0.0353 |
| let-7d-5p | −0.5382 | 0.0003 | −0.6207 | <0.0001 | −0.3728 | 0.0178 | −0.5629 | 0.0002 | −0.6063 | <0.0001 | −0.2523 | 0.1163 |
| miR-146a-5p | −0.2083 | 0.1972 | −0.2196 | 0.1734 | 0.2567 | 0.1098 | 0.0116 | 0.9435 | −0.0413 | 0.8002 | −0.3625 | 0.0215 |
| miR-151-3p | 0.5395 | 0.0003 | 0.5304 | 0.0004 | −0.1533 | 0.3451 | 0.0869 | 0.5941 | 0.1647 | 0.3099 | 0.3702 | 0.0187 |
| miR-532-5p | −0.1504 | 0.3544 | −0.1137 | 0.4849 | 0.7162 | <0.0001 | 0.6004 | <0.0001 | 0.5760 | 0.0001 | −0.2977 | 0.0621 |
| Fibrosis Grade | 0 (n = 32) | I (n = 27) | II (n = 26) | III (n = 19) |
|---|---|---|---|---|
| M/F | 12/20 | 22/5 | 21/6 | 19/0 |
| Age (years) | 36.69 ± 18.11 | 35.59 ± 15.94 | 46.19 ± 13.43 | 48.32 ± 13.25 |
| Kato–Katz test (EPG range) | (0–220) | (0–423) | (0–633) | (0–747) |
| Negative (0) | 27 | 17 | 15 | 6 |
| Mild (1–99) | 4 | 6 | 8 | 10 |
| Moderate (100–399) | 1 | 3 | 2 | 2 |
| Heavy (>400) | 0 | 1 | 1 | 1 |
| Serological test (+/−)* | 14/18 | 24/3 | 25/1 | 19/0 |
© 2020 by the authors. Licensee MDPI, Basel, Switzerland. This article is an open access article distributed under the terms and conditions of the Creative Commons Attribution (CC BY) license (http://creativecommons.org/licenses/by/4.0/).
Share and Cite
Cai, P.; Mu, Y.; Olveda, R.M.; Ross, A.G.; Olveda, D.U.; McManus, D.P. Serum Exosomal miRNAs for Grading Hepatic Fibrosis Due to Schistosomiasis. Int. J. Mol. Sci. 2020, 21, 3560. https://doi.org/10.3390/ijms21103560
Cai P, Mu Y, Olveda RM, Ross AG, Olveda DU, McManus DP. Serum Exosomal miRNAs for Grading Hepatic Fibrosis Due to Schistosomiasis. International Journal of Molecular Sciences. 2020; 21(10):3560. https://doi.org/10.3390/ijms21103560
Chicago/Turabian StyleCai, Pengfei, Yi Mu, Remigio M. Olveda, Allen G. Ross, David U. Olveda, and Donald P. McManus. 2020. "Serum Exosomal miRNAs for Grading Hepatic Fibrosis Due to Schistosomiasis" International Journal of Molecular Sciences 21, no. 10: 3560. https://doi.org/10.3390/ijms21103560
APA StyleCai, P., Mu, Y., Olveda, R. M., Ross, A. G., Olveda, D. U., & McManus, D. P. (2020). Serum Exosomal miRNAs for Grading Hepatic Fibrosis Due to Schistosomiasis. International Journal of Molecular Sciences, 21(10), 3560. https://doi.org/10.3390/ijms21103560

