Homo- and Hetero-Oligonuclear Complexes of Platinum Group Metals (PGM) Coordinated by Imine Schiff Base Ligands
Abstract
1. Introduction
1.1. Synthesis Methods of Schiff Base Ligands and Their Complexes
1.2. Importance and Application of Schiff base Ligands and Their Complexes
1.3. Schiff base Ligands in Coordination Chemistry
2. Results and Discussion
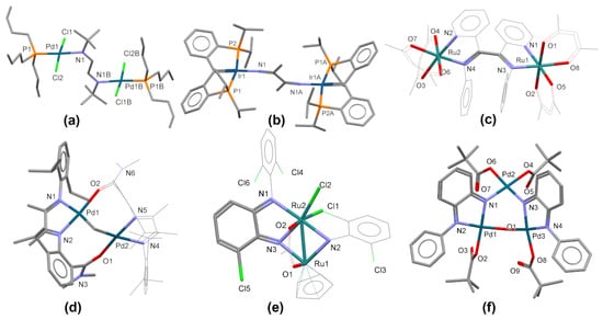
2.1. Strategies on Construction of Oligonulear Schiff Base Complexes of Platinum Group Metals
2.2. Imine as a Monodentate and Bridging Ligand
2.3. Non-innocent 1,2-diimine Ligands Binding in σ- and π-fashion
2.4. Coordination Chelating Pockets Made of Imine Group and Additional Ligating N/O/S Heteroatoms
2.5. Oligonuclear Complexes Based on N2O2 Compartmental SB Ligands
2.5.1. Classic bi- or Trinuclear Systems, which are N2O2-compartmental Schiff Bases
2.5.2. Strategy of Addition of Auxiliary Bridging Ligands
2.5.3. Nano-sized Magnetic Molecular Wheel
2.5.4. Hybrid Materials Made of N2O2 Coordination Sites as Building Block
2.6. Cyclic and Acyclic Macromolecules Made of Fused Schiff Base Units Resulting in Oligodentate Ligands
2.6.1. Macrocycles
2.6.2. Metallohelical Structures
2.6.3. Tweezers
2.6.4. Cages
2.7. Cocrystals
2.8. Metallophilic Interactions in Oligonuclear Species
3. Materials and Methods
Methods of Database Analysis
4. Conclusions
Author Contributions
Funding
Acknowledgments
Conflicts of Interest
References
- Schiff, H. Mittheilungen aus dem Universitätslaboratorium in Pisa: Eine neue Reihe organischer Basen. Justus Liebigs Ann. Der Chem. 1864, 131, 118–119. [Google Scholar] [CrossRef]
- Lewiński, J.; Prochowicz, D. Assemblies Based on Schiff Base Chemistry. In Comprehensive Supramolecular Chemistry II; Elsevier: Amsterdam, The Netherlands, 2017; pp. 279–304. ISBN 9780128031995. [Google Scholar]
- Whiteoak, C.J.; Salassa, G.; Kleij, A.W. Recent advances with π-conjugated salen systems. Chem. Soc. Rev. 2012, 41, 622–631. [Google Scholar] [CrossRef]
- Kleij, A.W. Zinc-centred salen complexes: Versatile and accessible supramolecular building motifs. J. Chem. Soc. Dalt. Trans. 2009, 24, 4635–4639. [Google Scholar] [CrossRef]
- Tidwell, T.T. Hugo (Ugo) Schiff, Schiff bases, and a century of β-lactam synthesis. Angew. Chem. Int. Ed. 2008, 47, 1016–1020. [Google Scholar] [CrossRef]
- Qin, W.; Long, S.; Panunzio, M.; Biondi, S. Schiff bases: A short survey on an evergreen chemistry tool. Molecules 2013, 18, 12264–12289. [Google Scholar] [CrossRef]
- Layer, R.W. The chemistry of imines. Chem. Rev. 1963, 63, 489–510. [Google Scholar] [CrossRef]
- Vigato, P.A.; Tamburini, S. The challenge of cyclic and acyclic schiff bases and related derivatives. Coord. Chem. Rev. 2004, 248, 1717–2128. [Google Scholar] [CrossRef]
- Vigato, P.A.; Tamburini, S.; Bertolo, L. The development of compartmental macrocyclic Schiff bases and related polyamine derivatives. Coord. Chem. Rev. 2007, 251, 1311–1492. [Google Scholar] [CrossRef]
- Aguiari, A.; Bullita, E.; Casellato, U.; Guerriero, P.; Tamburini, S.; Vigato, P.A. Macrocyclic and macroacyclic compartmental Schiff bases: Synthesis, characterization, X-ray structure and interaction with metal ions. Inorg. Chim. Acta 1992, 202, 157–171. [Google Scholar] [CrossRef]
- Garnovskii, A.D.; Sadimenko, A.P.; Vasilchenko, I.S.; Garnovskii, D.A.; Sennikova, E.V.; Minkin, V.I. Chapter 5 Hetarylazomethine Metal Complexes. Adv. Heterocycl. Chem. 2009, 97, 291–392. [Google Scholar]
- Liu, X.; Manzur, C.; Novoa, N.; Celedón, S.; Carrillo, D.; Hamon, J.-R.R. Multidentate Unsymmetrically-Substituted Schiff bases and Their Metal Complexes: Synthesis, Functional Materials Properties, and Applications to Catalysis. Coord. Chem. Rev. 2018, 357, 144–172. [Google Scholar] [CrossRef]
- Liu, X.; Hamon, J.-R. Recent developments in penta-, hexa- and heptadentate Schiff base ligands and their metal complexes. Coord. Chem. Rev. 2019, 389, 94–118. [Google Scholar] [CrossRef]
- Al Zoubi, W.; Al-Hamdani, A.A.S.; Ko, Y.G. Schiff bases and their complexes: Recent progress in thermal analysis. Sep. Sci. Technol. 2017, 52, 1052–1069. [Google Scholar] [CrossRef]
- Rezaeivala, M.; Keypour, H. Schiff base and non-Schiff base macrocyclic ligands and complexes incorporating the pyridine moiety—The first 50 years. Coord. Chem. Rev. 2014, 280, 203–253. [Google Scholar] [CrossRef]
- Gavey, E.L.; Pilkington, M. Coordination complexes of 15-membered pentadentate aza, oxoaza and thiaaza Schiff base macrocycles “Old Complexes Offer New Attractions”. Coord. Chem. Rev. 2015, 296, 125–152. [Google Scholar] [CrossRef]
- Radecka-Paryzek, W. Self-assembly in schiff base lanthanide complexes—From supramolecular dimers to coordination polymers. Can. J. Chem. 2009, 87, 1–7. [Google Scholar] [CrossRef]
- Yang, Z.; Sun, P. Compare of three ways of synthesis of simple Schiff base. Molbank 2006, 6, M514. [Google Scholar] [CrossRef]
- Segura, J.L.; Mancheño, M.J.; Zamora, F. Covalent organic frameworks based on Schiff-base chemistry: Synthesis, properties and potential applications. Chem. Soc. Rev. 2016, 45, 5635–5671. [Google Scholar] [CrossRef]
- Cordes, E.H.; Jencks, W.P. On the Mechanism of Schiff Base Formation and Hydrolysis. J. Am. Chem. Soc. 1962, 84, 832–837. [Google Scholar] [CrossRef]
- Taguchi, K.; Westheimer, F.H. Catalysis by Molecular Sieves in the Preparation of Ketimines and Enamines1. J. Org. Chem. 1971, 36, 1570–1572. [Google Scholar]
- Naeimi, H.; Sharghi, H.; Salimi, F.; Rabiei, K. Facile and efficient method for preparation of Schiff bases catalyzed by P2O5/SiO2 under free Solvent conditions. Heteroat. Chem. 2008, 19, 43–47. [Google Scholar] [CrossRef]
- Chakraborti, A.K.; Bhagat, S.; Rudrawar, S. Magnesium perchlorate as an efficient catalyst for the synthesis of imines and phenylhydrazones. Tetrahedron Lett. 2004, 45, 7641–7644. [Google Scholar] [CrossRef]
- White, W.A.; Weingarten, H. A Versatile New Enamine Synthesis. J. Org. Chem. 1967, 32, 213–214. [Google Scholar] [CrossRef]
- Gogoi, P.; Gogoi, S.R.; Devi, N.; Barman, P. Aluminium chloride-catalyzed synthesis of 4-benzyl cinnolines from aryl hydrazones. Synth. Commun. 2014, 44, 1142–1148. [Google Scholar] [CrossRef]
- Billman, J.H.; Tai, K.M. Reduction of Schiff Bases. II. Benzhydrylamines and Structurally Related Compounds. J. Org. Chem. 1958, 23, 535–539. [Google Scholar] [CrossRef]
- Tanaka, K.; Shiraishi, R. Clean and efficient condensation reactions of aldehydes and amines in a water suspension medium. Green Chem. 2000, 2, 272–273. [Google Scholar] [CrossRef]
- Bekdemir, Y.; Efil, K. Microwave Assisted Solvent-Free Synthesis of Some Imine Derivatives. Org. Chem. Int. 2014, 2014, 1–5. [Google Scholar] [CrossRef]
- Varma, R.S.; Dahiya, R.; Kumar, S. Clay catalyzed synthesis of imines and enamines under solvent-free conditions using microwave irradiation. Tetrahedron Lett. 1997, 38, 2039–2042. [Google Scholar] [CrossRef]
- Zolfigol, M.A.; Tavasoli, M.; Moosavi-Zare, A.R.; Arghavani-Hadi, P.; Zare, A.; Khakyzadeh, V. Solvent-free synthesis of N-sulfonyl imines using WCl6 as a novel, highly efficient and reusable catalyst. RSC Adv. 2013, 3, 7692–7696. [Google Scholar] [CrossRef]
- Texier-Boullet, F. A Simple, Convenient and Mild Synthesis of Imines on Alumina Surface without Solvent. Synthesis (Stuttg.) 1985, 1985, 679–681. [Google Scholar] [CrossRef]
- Rao, V.K.; Reddy, S.S.; Krishna, B.S.; Naidu, K.R.M.; Raju, C.N.; Ghosh, S.K. Synthesis of schiff’s bases in aqueous medium: A green alternative approach with effective mass yield and high reaction rates. Green Chem. Lett. Rev. 2010, 3, 217–223. [Google Scholar] [CrossRef]
- Man, C.L.; Tin, W.C.; Wong, K.Y.; Tak, H.C. Synthetic and mechanistic studies of indium-mediated allylation of imines in ionic liquids. J. Org. Chem. 2007, 72, 923–929. [Google Scholar]
- Ali, E.; Naimi-Jamal, M.R.; Dekamin, M.G. Highly efficient and rapid synthesis of imines in the presence of nano-ordered MCM-41-SO3H heterogeneous catalyst. Sci. Iran. 2013, 20, 592–597. [Google Scholar]
- Vázquez, M.Á.; Landa, M.; Reyes, L.; Miranda, R.; Tamariz, J.; Delgado, F. Infrared irradiation: Effective promoter in the formation of N-benzylideneanilines in the absence of solvent. Synth. Commun. 2004, 34, 2705–2718. [Google Scholar] [CrossRef]
- Guzen, K.P.; Guarezemini, A.S.; Órfão, A.T.G.; Cella, R.; Pereira, C.M.P.; Stefani, H.A. Eco-friendly synthesis of imines by ultrasound irradiation. Tetrahedron Lett. 2007, 48, 1845–1848. [Google Scholar] [CrossRef]
- Gopalakrishnan, M.; Sureshkumar, P.; Kanagarajan, V.; Thanusu, J. New environmentally-friendly solvent-free synthesis of imines using calcium oxide under microwave irradiation. Res. Chem. Intermed. 2007, 33, 541–548. [Google Scholar] [CrossRef]
- Schmeyers, J.; Toda, F.; Boy, J.; Kaupp, G. Quantitative solid-solid synthesis of azomethines. J. Chem. Soc. Perkin Trans. 2 1998, 4, 989–993. [Google Scholar] [CrossRef]
- Khrushcheva, N.S.; Loim, N.M.; Sokolov, V.I. Solid-state synthesis of Schiff bases. Russ. Chem. Bull. 1997, 46, 1952–1955. [Google Scholar] [CrossRef]
- Leoni, L.; Carletta, A.; Fusaro, L.; Dubois, J.; Tumanov, N.A.; Aprile, C.; Wouters, J.; Dalla Cort, A. A Simple and Efficient Mechanochemical Route for the Synthesis of Salophen Ligands and of the Corresponding Zn, Ni, and Pd Complexes. Molecules 2019, 24, 2314. [Google Scholar] [CrossRef]
- Houjou, H.; Hoga, Y.; Ma, Y.-L.; Achira, H.; Yoshikawa, I.; Mutai, T.; Matsumura, K. Dinuclear fused salen complexes of group-10 metals: Peculiarity of the crystal structure and near-infrared luminescence of a bis(Pt-salen) complex. Inorg. Chim. Acta 2017, 461, 27–34. [Google Scholar] [CrossRef]
- Achira, H.; Hoga, Y.; Yoshikawa, I.; Mutai, T.; Matsumura, K.; Houjou, H. Effects of a semiflexible linker on the mechanochromic photoluminescence of bis(Pt-salen) complex. Polyhedron 2016, 113, 123–131. [Google Scholar] [CrossRef]
- Doistau, B.; Rossi-Gendron, C.; Tron, A.; McClenaghan, N.D.; Chamoreau, L.-M.; Hasenknopf, B.; Vives, G. Switchable platinum-based tweezers with Pt–Pt bonding and selective luminescence quenching. Dalt. Trans. 2015, 44, 8543–8551. [Google Scholar] [CrossRef] [PubMed]
- Miroslaw, B.; Cristóvão, B.; Hnatejko, Z. Structural, Luminescent and Thermal Properties of Heteronuclear PdII–LnIII–PdII Complexes of Hexadentate N2O4 Schiff Base Ligand. Molecules 2018, 23, 2423. [Google Scholar] [CrossRef]
- Gao, J.; Reibenspies, J.H.; Zingaro, R.A.; Woolley, F.R.; Martell, A.E.; Clearfield, A. Novel chiral “calixsalen” macrocycle and chiral Robson-type macrocyclic complexes. Inorg. Chem. 2005, 44, 232–241. [Google Scholar] [CrossRef]
- Ritter, E.; Przybylski, P.; Brzezinski, B.; Bartl, F. Schiff Bases in Biological Systems. Curr. Org. Chem. 2009, 13, 241–249. [Google Scholar] [CrossRef]
- Wrodnigg, T.M.; Eder, B. The Amadori and Heyns Rearrangements: Landmarks in the History of Carbohydrate Chemistry or Unrecognized Synthetic Opportunities? In Glycoscience—Epimerization, Isomerization, Rearrangement Reactions of Carbohydratesistry; Stütz, A.E., Ed.; Springer: Berlin/Heidelberg, Germany, 2001; Volume 215, pp. 115–152. ISBN 3-540-41383-9. [Google Scholar]
- Ge, S.J.; Lee, T.C. Kinetic Significance of the Schiff Base Reversion in the Early-Stage Maillard Reaction of a Phenylalanine-Glucose Aqueous Model System. J. Agric. Food Chem. 1997, 45, 1619–1623. [Google Scholar] [CrossRef]
- Gao, A.; Liu, R. Reaction Mechanism of Schiff Base Formation in the Maillard Reaction. Int. J. Sci. Eng. Res. 2014, 5, 2139–2145. [Google Scholar]
- Lund, M.N.; Ray, C.A. Control of Maillard Reactions in Foods: Strategies and Chemical Mechanisms. J. Agric. Food Chem. 2017, 65, 4537–4552. [Google Scholar] [CrossRef]
- Kavitha, H. Biological activities of Schiff base and its complexes: A review. Rasayan J. Chem. 2010, 3, 385–410. [Google Scholar]
- Saddam Hossain, M.; Kanti Roy, P.; Kudrat-E.-Zahan, M.; Md Kudrat-E-Zahan, C.; Zakaria, C. Selected Schiff base coordination complexes and their microbial application: A review. Int. J. Chem. Stud. 2018, 6, 19–31. [Google Scholar]
- Malik, M.A.; Dar, O.A.; Gull, P.; Wani, M.Y.; Hashmi, A.A. Heterocyclic Schiff base transition metal complexes in antimicrobial and anticancer chemotherapy. Medchemcomm 2018, 9, 409–436. [Google Scholar] [CrossRef] [PubMed]
- Abu-Dief, A.M.; Mohamed, I.M.A.A. A review on versatile applications of transition metal complexes incorporating Schiff bases. Beni-Suef Univ. J. Basic Appl. Sci. 2015, 4, 119–133. [Google Scholar] [CrossRef] [PubMed]
- Przybylski, P.; Huczynski, A.; Pyta, K.; Brzezinski, B.; Bartl, F. Biological Properties of Schiff Bases and Azo Derivatives of Phenols. Curr. Org. Chem. 2009, 13, 124–148. [Google Scholar] [CrossRef]
- Rocha, M.; Ruiz, M.C.; Echeverría, G.A.; Piro, O.E.; Di Virgilio, A.L.; León, I.E.; Frontera, A.; Gil, D.M. Diethylaminophenyl-based Schiff base Cu(ii) and V(iv) complexes: Experimental and theoretical studies and cytotoxicity assays. New J. Chem. 2019, 43, 18832–18842. [Google Scholar] [CrossRef]
- Kajal, A.; Bala, S.; Kamboj, S.; Sharma, N.; Saini, V. Schiff Bases: A Versatile Pharmacophore. J. Catal. 2013, 2013, 1–14. [Google Scholar] [CrossRef]
- Kumar, J.; Rai, A.; Raj, V. A Comprehensive Review on the Pharmacological Activity of Schiff Base Containing Derivatives. Org. Med. Chem. 2017, 1, 1–15. [Google Scholar]
- de Fátima, Â.; de P. Pereira, C.; Olímpio, C.R.S.D.G.; de Freitas Oliveira, B.G.; Franco, L.L.; da Silva, P.H.C. Schiff bases and their metal complexes as urease inhibitors—A brief review. J. Adv. Res. 2018, 13, 113–126. [Google Scholar]
- Sztanke, K.; Maziarka, A.; Osinka, A.; Sztanke, M. An insight into synthetic Schiff bases revealing antiproliferative activities in vitro. Bioorganic Med. Chem. 2013, 21, 3648–3666. [Google Scholar] [CrossRef]
- Xu, J.; Liu, Y.; Hsu, S. Hydrogels Based on Schiff Base Linkages for Biomedical Applications. Molecules 2019, 24, 3005. [Google Scholar] [CrossRef]
- Kaczmarek, M.T.; Zabiszak, M.; Nowak, M.; Jastrzab, R. Lanthanides: Schiff base complexes, applications in cancer diagnosis, therapy, and antibacterial activity. Coord. Chem. Rev. 2018, 370, 42–54. [Google Scholar] [CrossRef]
- Majid, S.A.; Mir, J.M.; Paul, S.; Akhter, M.; Parray, H.; Ayoub, R.; Shalla, A.H. Experimental and molecular topology-based biological implications of Schiff base complexes: A concise review. Rev. Inorg. Chem. 2019, 39, 113–128. [Google Scholar] [CrossRef]
- Brodowska, K.; Łodyga-Chruścińska, E. Schiff bases—Interesting range of applications in various fields of science. Chemik 2014, 68, 129–134. [Google Scholar]
- Cozzi, P.G. Metal-Salen Schiff base complexes in catalysis: Practical aspects. Chem. Soc. Rev. 2004, 33, 410–421. [Google Scholar] [CrossRef]
- Gualandi, A.; Calogero, F.; Potenti, S.; Cozzi, P.G. Al(Salen) Metal Complexes in Stereoselective Catalysis. Molecules 2019, 24, 1716. [Google Scholar] [CrossRef]
- Hosseini-Monfared, H.; Alavi, S.; Siczek, M. Synthesis, structural analysis and evaluation of the catalytic activity of a non-symmetric N-(salicylidene)diethylenetriamine complex of copper(II). Chin. J. Catal. 2013, 34, 1456–1461. [Google Scholar] [CrossRef]
- Gupta, K.C.; Sutar, A.K. Catalytic activities of Schiff base transition metal complexes. Coord. Chem. Rev. 2008, 252, 1420–1450. [Google Scholar] [CrossRef]
- Afrin Dalia, S.; Farhana Afsan, B.; Md Saddam Hossain, B.; Nuruzzaman Khan, M.; Md Kudrat-E-Zahan, B.; Md Mahasin Ali, B.; Md Kudrat-E-Zahan, C.; Afsan, F.; Saddam Hossain, M.; Zakaria, C.; et al. A short review on chemistry of schiff base metal complexes and their catalytic application. Int. J. Chem. Stud. 2018, 6, 2859–2866. [Google Scholar]
- Pradeep, C.P.; Das, S.K. Coordination and supramolecular aspects of the metal complexes of chiral N-salicyl-β-amino alcohol Schiff base ligands: Towards understanding the roles of weak interactions in their catalytic reactions. Coord. Chem. Rev. 2013, 257, 1699–1715. [Google Scholar] [CrossRef]
- Zoubi, W. Al Review: Solvent extraction of metal ions by use of schiff bases. J. Coord. Chem. 2013, 66, 2264–2289. [Google Scholar] [CrossRef]
- Ghosh, P.; Dey, S.; Ara, M.; Karim, K.; Islam, A.B.M.N. A review on synthesis and versatile applications of some selected Schiff bases with their transition metal complexes. Egypt. J. Chem. 2020, 63, 5–6. [Google Scholar] [CrossRef]
- Bilgin, A.; Çetintaş, S.; Cerrahoğlu, E.; Yildiz, U.; Bingöl, D. A new Schiff base: Synthesis, characterization and optimization of metal ions-binding properties. Sep. Sci. Technol. 2016, 51, 2138–2144. [Google Scholar] [CrossRef]
- Berhanu, A.L.; Gaurav; Mohiuddin, I.; Malik, A.K.; Aulakh, J.S.; Kumar, V.; Kim, K.-H. A review of the applications of Schiff bases as optical chemical sensors. Trac. Trends Anal. Chem. 2019, 116, 74–91. [Google Scholar] [CrossRef]
- Hijji, Y.M.; Barare, B.; Kennedy, A.P.; Butcher, R. Synthesis and photophysical characterization of a Schiff base as anion sensor. Sens. Actuators B Chem. 2009, 136, 297–302. [Google Scholar] [CrossRef]
- Torawane, P.; Sahoo, S.K.; Borse, A.; Kuwar, A. A new Schiff base as a turn-off fluorescent sensor for Cu2+ and its photophysical properties. Luminescence 2017, 32, 1426–1430. [Google Scholar] [CrossRef]
- Oiye, É.N.; Ribeiro, M.F.M.; Katayama, J.M.T.; Tadini, M.C.; Balbino, M.A.; Eleotério, I.C.; Magalhães, J.; Castro, A.S.; Silva, R.S.M.; da Cruz Júnior, J.W.; et al. Electrochemical Sensors Containing Schiff Bases and their Transition Metal Complexes to Detect Analytes of Forensic, Pharmaceutical and Environmental Interest. A Review. Crit. Rev. Anal. Chem. 2019, 49, 488–509. [Google Scholar] [CrossRef]
- Vidyasagar, C.C.; Muñoz Flores, B.M.; Jiménez-Pérez, V.M.; Gurubasavaraj, P.M. Recent advances in boron-based schiff base derivatives for organic light-emitting diodes. Mater. Today Chem. 2019, 11, 133–155. [Google Scholar] [CrossRef]
- Abbasi, Z.; Salehi, M.; Kubicki, M.; Khaleghian, A. Crystal structures, electrochemical properties, antioxidant screening and in vitro cytotoxic studies on four novel Cu(II) complexes of bidentate Schiff base ligands derived from 2-methoxyethylamine. J. Coord. Chem. 2017, 70, 2074–2093. [Google Scholar] [CrossRef]
- Bikas, R.; Hosseini Monfared, H.; Lis, T.; Siczek, M. Synthesis, structural characterization and electrochemical studies of an ionic cobalt complex derived from a tridentate hydrazone Schiff base and azide ligands. Inorg. Chem. Commun. 2012, 15, 151–155. [Google Scholar] [CrossRef]
- Zhang, Q.-C.; Xiao, H.; Zhang, X.; Xu, L.-J.; Chen, Z.-N. Luminescent oligonuclear metal complexes and the use in organic light-emitting diodes. Coord. Chem. Rev. 2019, 378, 121–133. [Google Scholar] [CrossRef]
- Jimoh, A.A.; Helal, A.; Shaikh, M.N.; Abdul Aziz, M.; Yamani, Z.H.; Al-Ahmed, A.; Kim, J.P. Schiff base ligand coated gold nanoparticles for the chemical sensing of Fe(III) ions. J. Nanomater. 2015, 2015, 1–7. [Google Scholar] [CrossRef]
- Faridbod, F.; Ganjali, M.; Dinarvand, R.; Norouzi, P.; Riahi, S. Schiff’s Bases and Crown Ethers as Supramolecular Sensing Materials in the Construction of Potentiometric Membrane Sensors. Sensors 2008, 8, 1645–1703. [Google Scholar] [CrossRef]
- Tsaturyan, A.; Machida, Y.; Akitsu, T.; Gozhikova, I.; Shcherbakov, I. Binaphthyl-containing Schiff base complexes with carboxyl groups for dye sensitized solar cell: An experimental and theoretical study. J. Mol. Struct. 2018, 1162, 54–62. [Google Scholar] [CrossRef]
- Chouk, R.; Aguir, C.; Haouanoh, D.; Bergaoui, M.; Tala-Ighil, R.; Stathatos, E.; Khalfaoui, M. A first-principles computational and experimental investigation on schiff base cobalt complex towards designing solar cells. J. Mol. Struct. 2019, 1196, 676–684. [Google Scholar] [CrossRef]
- Kasmi-Mir, S.; ElKebich, M.; Dembahri, Z.; Haouzi, A.; Kirsch, G. Synthesis of new Schiff bases as materials for the design of photovoltaics cells. J. Fundam. Appl. Sci. 2016, 8, 569. [Google Scholar] [CrossRef][Green Version]
- Dong, Y.W.; Fan, R.Q.; Wang, P.; Wei, L.G.; Wang, X.M.; Zhang, H.J.; Gao, S.; Yang, Y.L.; Wang, Y.L. Synthesis and characterization of substituted Schiff-base ligands and their d10 metal complexes: Structure-induced luminescence tuning behaviors and applications in co-sensitized solar cells. Dalt. Trans. 2015, 44, 5306–5322. [Google Scholar] [CrossRef]
- Zhang, J.; Xu, L.; Wong, W.-Y. Energy materials based on metal Schiff base complexes. Coord. Chem. Rev. 2018, 355, 180–198. [Google Scholar] [CrossRef]
- Inorganics|Special Issue: Schiff-Base Metal Complexes. Available online: https://www.mdpi.com/journal/inorganics/special_issues/schiff_base_metal_complexes (accessed on 24 March 2020).
- Molecules|Special Issue: Schiff Base and Its Metal Complexes. Available online: https://www.mdpi.com/journal/molecules/special_issues/schiff_base_metal (accessed on 24 March 2020).
- Jain, V.K.; Jain, L. The chemistry of binuclear palladium(II) and platinum(II) complexes. Coord. Chem. Rev. 2005, 249, 3075–3197. [Google Scholar] [CrossRef]
- Golbedaghi, R.; Fausto, R. Coordination aspects in Schiff bases cocrystals. Polyhedron 2018, 155, 1–12. [Google Scholar] [CrossRef]
- Beck, W.; Sünkel, K. Metal Complexes of Indigo and of Some Related Ligands. Z. Für Anorg. Und Allg. Chem. 2020, 646, 248–255. [Google Scholar] [CrossRef]
- Mondal, I.; Chattopadhyay, S. Development of multi-metallic complexes using metal-salen complexes as building blocks. J. Coord. Chem. 2019, 72, 3183–3209. [Google Scholar] [CrossRef]
- Karmakar, M.; Chattopadhyay, S. A comprehensive overview of the orientation of tetradentate N2O2 donor Schiff base ligands in octahedral complexes of trivalent 3d metals. J. Mol. Struct. 2019, 1186, 155–186. [Google Scholar] [CrossRef]
- Selvi, G.; Özdemir, F.A.; Aykutoglu, G.; Özdemir, N.; Şerbetçi, Z.; Çetinkaya, B.; Dayan, O. A neutral arene ruthenium(II) complex with a sulfonated N,O-chelating ligand: Synthesis, characterization, in vitro cytotoxicity and antibacterial activity. Polyhedron 2020, 176, 114300. [Google Scholar] [CrossRef]
- Maher, K.A.; Mohammes, S.R. Metal complexes of Schiff base derived from a new Mannich base. Int. J. Chemtech Res. 2015, 8, 937–943. [Google Scholar]
- Tsantis, S.T.; Tzimopoulos, D.I.; Holynska, M.; Perlepes, S.P. Oligonuclear Actinoid Complexes with Schiff Bases as Ligands—Older Achievements and Recent Progress. Int. J. Mol. Sci. 2020, 21, 555. [Google Scholar] [CrossRef]
- Wojaczyński, J.; Latos-Grazyński, L. Poly- and oligometalloporphyrins associated through coordination. Coord. Chem. Rev. 2000, 204, 113–171. [Google Scholar] [CrossRef]
- Mahmoudi, G.; Khandar, A.A.; Afkhami, F.A.; Miroslaw, B.; Gurbanov, A.V.; Zubkov, F.I.; Kennedy, A.; Franconetti, A.; Frontera, A. Modulation of coordination in pincer-type isonicotinohydrazone Schiff base ligands by proton transfer. CrystEngComm 2019, 21, 108–117. [Google Scholar] [CrossRef]
- Filarowski, A.; Koll, A.; Sobczyk, L. Intramolecular Hydrogen Bonding in o-hydroxy Aryl Schiff Bases. Curr. Org. Chem. 2009, 13, 172–193. [Google Scholar] [CrossRef]
- Biswas, D.; Chakrabarty, P.P.; Saha, S.; Jana, A.D.; Schollmeyer, D.; García-Granda, S. Ligand mediated structural diversity and role of different weak interactions in molecular self-assembly of a series of copper(II)–sodium(I) Schiff-base heterometallic complexes. Inorg. Chim. Acta 2013, 408, 172–180. [Google Scholar] [CrossRef]
- Dziembowska, T. Resonance assisted intramolecular hydrogen bond in schiff bases. Pol. J. Chem. 1998, 72, 193–209. [Google Scholar]
- Cristóvão, B.; Miroslaw, B. Tautomerism of a compartmental Schiff base ligand and characterization of a new heterometallic CuII–DyIII complex—Synthesis, structure and magnetic properties. Inorg. Chem. Commun. 2015, 52, 64–68. [Google Scholar] [CrossRef]
- Mahmoudi, G.; Zarȩba, J.K.; Bauzá, A.; Kubicki, M.; Bartyzel, A.; Keramidas, A.D.; Butusov, L.; Mirosław, B.; Frontera, A. Recurrent supramolecular motifs in discrete complexes and coordination polymers based on mercury halides: Prevalence of chelate ring stacking and substituent effects. CrystEngComm 2018, 20, 1065–1076. [Google Scholar] [CrossRef]
- Mahmoudi, G.; Bauzá, A.; Gurbanov, A.V.; Zubkov, F.I.; Maniukiewicz, W.; Rodríguez-Diéguez, A.; López-Torres, E.; Frontera, A. The role of unconventional stacking interactions in the supramolecular assemblies of Hg(ii) coordination compounds. CrystEngComm 2016, 18, 9056–9066. [Google Scholar] [CrossRef]
- Jia, Y.; Li, J. Molecular assembly of Schiff base interactions: Construction and application. Chem. Rev. 2015, 115, 1597–1621. [Google Scholar] [CrossRef]
- Filarowski, A.; Glowiak, T.; Koll, A. Strengthening of the intramolecular O · · · H · · · N hydrogen bonds in Schiff bases as a result of steric repulsion. J. Mol. Struct. 1999, 484, 75–89. [Google Scholar] [CrossRef]
- Cook, A.W.; Hrobárik, P.; Damon, P.L.; Wu, G.; Hayton, T.W. A Ketimide-Stabilized Palladium Nanocluster with a Hexagonal Aromatic Pd7 Core. Inorg. Chem. 2020, 59, 1471–1480. [Google Scholar] [CrossRef]
- Jin, R. Atomically precise metal nanoclusters: Stable sizes and optical properties. Nanoscale 2015, 7, 1549–1565. [Google Scholar] [CrossRef]
- Du, X.; Jin, R. Atomically Precise Metal Nanoclusters for Catalysis. ACS Nano 2019, 13, 7383–7387. [Google Scholar] [CrossRef]
- Du, Y.; Sheng, H.; Astruc, D.; Zhu, M. Atomically Precise Noble Metal Nanoclusters as Efficient Catalysts: A Bridge between Structure and Properties. Chem. Rev. 2020, 120, 526–622. [Google Scholar] [CrossRef]
- Cook, A.W.; Hrobárik, P.; Damon, P.L.; Najera, D.; Horváth, B.; Wu, G.; Hayton, T.W. Synthesis and Characterization of a Linear, Two-Coordinate Pt(II) Ketimide Complex. Inorg. Chem. 2019, 58, 15927–15935. [Google Scholar] [CrossRef]
- Das, A.; Chen, Y.S.; Reibenspies, J.H.; Powers, D.C. Characterization of a Reactive Rh2 Nitrenoid by Crystalline Matrix Isolation. J. Am. Chem. Soc. 2019, 141, 16232–16236. [Google Scholar] [CrossRef]
- Allscher, T.; Kästele, X.; Kettenbach, G.; Klüfers, P.; Kunte, T. Sugar-Alcohol Complexes of Palladium(II): On the Variable Rigidity of Open-Chain Carbohydrate Ligands. Chem. Asian J. 2007, 2, 1037–1045. [Google Scholar] [CrossRef]
- Werner, H.; Müller, M.; Steinert, P. Synthese, Molekülstruktur und Reaktivität neutraler und kationischer Iridium-Zweikernkomplexe mit verbrückenden Azavinylidenliganden. Z. Für Anorg. Und Allg. Chem. 2003, 629, 1337–1346. [Google Scholar] [CrossRef]
- Galsworthy, J.R.; Housecroft, C.E.; Humphrey, J.S.; Song, X.; Edwards, A.J.; Rheingold, A.L. Boron-nitrogen coupling in a ruthenium-rich ruthenaborane cluster: Synthesis, and molecular and electronic structures of [Ru4H(CO)12BH(μ-NCHMe)]. J. Chem. Soc. Dalt. Trans. 1994, 3273–3277. [Google Scholar] [CrossRef]
- Esteruelas, M.A.; Lahoz, F.J.; Oliván, M.; Onate, E.; Oro, L.A. Azavinylidene and Azavinylidene-Bridged Compounds of Iridium and Rhodium. Organometallics 1994, 13, 3315–3323. [Google Scholar] [CrossRef]
- Kuwabara, J.; Takeuchi, D.; Osakada, K. Preparation and properties of Cp2Zr(μ-N=CAr2) 2PdCl(Me), new Zr/Pd heterobimetallic complexes with bridging alkylideneamido ligands. Organometallics 2004, 23, 5092–5095. [Google Scholar] [CrossRef]
- Ruiz, J.; Rodríguez, V.; Cutillas, N.; Florenciano, F.; Pérez, J.; López, G. First complex containing a Pd2(μ2-N=CPh2)2 functional group. Inorg. Chem. Commun. 2001, 4, 23–25. [Google Scholar] [CrossRef]
- Sun, Z.-M.; Chen, S.-P.; Zhao, P. Tertiary Carbinamine Synthesis by Rhodium-Catalyzed [3+2] Annulation of N-Unsubstituted Aromatic Ketimines and Alkynes. Chemistry 2010, 16, 2619–2627. [Google Scholar] [CrossRef]
- Anillo, A.; Díaz, M.R.; García-Granda, S.; Obeso-Rosete, R.; Galindo, A.; Ienco, A.; Mealli, C. Structural and electronic rearrangements upon the oxidation of binuclear (Ru2) and trinuclear (MoRu2) complexes with bridging o-phenylenediamido ligands. Organometallics 2004, 23, 471–481. [Google Scholar] [CrossRef]
- Chatterjee, S.; Mandal, S.; Samanta, S.; Goswami, S. Bis(acetonitrile)bis(acetylacetonato)ruthenium(iii) mediated chemical transformations of coordinated 2-methylthioanilide. Dalt. Trans. 2012, 41, 7057–7066. [Google Scholar] [CrossRef]
- Kaim, W. Manifestations of noninnocent ligand behavior. Inorg. Chem. 2011, 50, 9752–9765. [Google Scholar] [CrossRef]
- Kasack, V.; Kaim, W.; Binder, H.; Jordanov, J.; Roth, E. When Is an Odd-Electron Dinuclear Complex a Mixed-Valent Species? Tuning of Ligand-to-Metal Spin Shifts in Diruthenium(III,II) Complexes of Noninnocent Bridging Ligands OC(R) NNC(R) O. Inorg. Chem. 1995, 34, 1924–1933. [Google Scholar] [CrossRef]
- Bernadou, J.; Meunier, B.; Fabiano, A.S.; Robert, A. “Redox Tautomerism” in High-Valent Metal-oxo-aquo Complexes. Origin of the Oxygen Atom in Epoxidation Reactions Catalyzed by Water-Soluble Metalloporphyrins. J. Am. Chem. Soc. 1994, 116, 9375–9376. [Google Scholar] [CrossRef]
- Ward, M.D.; McCleverty, J.A. Non-innocent behaviour in mononuclear and polynuclear complexes: Consequences for redox and electronic spectroscopic properties. J. Chem. Soc. Dalt. Trans. 2002, 3, 275–288. [Google Scholar] [CrossRef]
- Kaim, W.; Schwederski, B. Non-innocent ligands in bioinorganic chemistry-An overview. Coord. Chem. Rev. 2010, 254, 1580–1588. [Google Scholar] [CrossRef]
- Kaim, W. Chelate rings of different sizes with non-innocent ligands. Dalt. Trans. 2019, 48, 8521–8529. [Google Scholar] [CrossRef]
- Van Der Poel, H.; Van Koten, G.; Vrieze, K.; Kokkes, M.; Stam, C.H. Synthesis and molecular geometry of [trans-PtCl2PBu3]2(di-t-Bu-diimine) containing a σ,σ′-N,N′ bridging diimine with a planar anti-(trans-PPNCCNPtPtrans)- skeleton. Inorg. Chim. Acta 1980, 39, 197–205. [Google Scholar] [CrossRef]
- Dieck, H.T.; Klaus, J. Diazadien-rhodium-komplexe. III. Konformationsstabilität durch rhodium(I) ··· H-C-wechselwirkungen. Festkörper- und lösungsstruktur von [(1,5-cod)RhCl]2(μ-dad). J. Organomet. Chem. 1983, 246, 301–308. [Google Scholar] [CrossRef]
- Clark, H.C.; Ferguson, G.; Jain, V.K.; Parvez, M. Cleavage Reactions of Halogen-Bridged Heterobimetallic Palladium-Platinum Complexes. Crystal and Molecular Structure of [(P-n-Bu3)Cl2Pd(t-BuN═CHCH═N-t-Bu)PtCl2(P-n-Bu3)]. Inorg. Chem. 1986, 25, 3808–3811. [Google Scholar] [CrossRef]
- Burford, R.J.; Piers, W.E.; Parvez, M. Acetonitrile Coupling at an Electron-Rich Iridium Center Supported by a PC sp 2P Pincer Ligand. Eur. J. Inorg. Chem. 2013, 2013, 3826–3830. [Google Scholar] [CrossRef]
- Khan, F.F.; Sobottka, S.; Sarkar, B.; Lahiri, G.K. Redox-Induced Oxidative C−C Bond Cleavage of 2,2′-Pyridil in Diruthenium Complexes. Chemistry 2019, 25, 9737–9746. [Google Scholar] [CrossRef]
- Zhai, F.; Solomon, J.B.; Jordan, R.F. Copolymerization of Ethylene with Acrylate Monomers by Amide-Functionalized α-Diimine Pd Catalysts. Organometallics 2017, 36, 1873–1879. [Google Scholar] [CrossRef]
- Mandal, S.; Samanta, S.; Mondal, T.K.; Goswami, S. Comparative study on ortho-C-H vs ortho-C-X (X = C, Cl, S) bond activation in ortho-C aromatic-N bond fusion in substituted anilines using ruthenium(II) mediators: Isolation and characterization of unusual Ru 2 complexes. Organometallics 2012, 31, 5282–5293. [Google Scholar] [CrossRef]
- Fomina, I.G.; Sidorov, A.A.; Aleksandrov, G.G.; Nefedov, S.E.; Eremenko, I.L.; Moiseev, I.I. Deprotonated N-phenyl-o-phenylenediimine as a bridging ligand. J. Organomet. Chem. 2001, 636, 157–163. [Google Scholar] [CrossRef]
- Dybała, I.; Demchuk, O.M. Tris(acetonitrile)chloropalladium tetrafluoroborate synthesis, application and structural analysis. J. Mol. Struct. 2016, 1121, 135–141. [Google Scholar] [CrossRef]
- Demchuk, O.M.; Kielar, K.; Pietrusiewicz, K.M. Rational design of novel ligands for environmentally benign cross-coupling reactions. Pure Appl. Chem. 2011, 83, 633–644. [Google Scholar] [CrossRef]
- Pietrusiewicz, K.; Szwaczko, K.; Mirosław, B.; Dybała, I.; Jasiński, R.; Demchuk, O.; Pietrusiewicz, K.M.; Szwaczko, K.; Mirosław, B.; Dybała, I.; et al. New Rigid Polycyclic Bis(phosphane) for Asymmetric Catalysis. Molecules 2019, 24, 571. [Google Scholar] [CrossRef]
- Ghosh, P.; Dey, S.; Panda, S.; Lahiri, G.K. Solvent-Mediated Functionalization of Benzofuroxan on Electron-Rich Ruthenium Complex Platform. Chemistry 2018, 13, 1582–1593. [Google Scholar] [CrossRef]
- Abbel, R.; Abdur-Rashid, K.; Faatz, M.; Hadzovic, A.; Lough, A.J.; Morris, R.H. A succession of isomers of ruthenium dihydride complexes. Which one is the ketone hydrogenation catalyst? J. Am. Chem. Soc. 2005, 127, 1870–1882. [Google Scholar] [CrossRef]
- Keijsper, J.; Polm, L.H.; van Koten, G.; Vrieze, K.; Nielsen, E.; Stam, C.H. Ruthenium Carbonyl 1, 4-Diaza-1, 3-butadiene (R-DAB) Complexes.1 Reactivity of Ru2(CO)5(R-DAB) toward Molecular Hydrogen. Molecular Structure of H2Ru4(CO)8(R-DAB)2, Containing an Unique Linear Chain of Four Ruthenium Atoms. Organometallics 1985, 4, 2006–2012. [Google Scholar] [CrossRef]
- Zoet, R.; van Koten, G.; Stufkens, D.J.; Vrieze, K.; Stam, C.H. Conversion of 48e Os3(CO)10(R-DAB(4e)) via 50e Os3(CO)10(R-DAB(6e)) to 50e Os3(CO)9(R-DAB(8e)) (R-DAB = RN=C(H)C(H)=NR).1 X-ray Structure of Os3(CO)9(i-Pr-DAB(8e)), with Two Elongated Os-Os Bonds. Organometallics 1988, 7, 2118–2123. [Google Scholar] [CrossRef][Green Version]
- Staal, L.H.; Van KOTEN, G.; Vrieze, K.; Ploeger, F.; Stam, C.H. Binuclear Metal Carbonyl DAB Complexes. 9. Syntheses and X-ray Structure of (µ-Acetylene)-[σ-Nσ-N,η2-C=N,η2-C=N’-glyoxal bis(isopropylimine)]tetracarbonyldiruthenium. First Example of the 8e-Donating DAB Ligand (DAB = 1,4-Diazabutadiene). Inorg. Chem. 1981, 20, 1830–1835. [Google Scholar] [CrossRef]
- Staal, L.H.; Polm, L.H.; Vrieze, K.; Ploeger, F.; Stam, C.H. Influence of a Branching of the 1,4-Substituents on the Coordination of 1,4-Diazabutadienes in Mono-, Bi-, Tri-, and Tetranuclear Ruthenium Carbonyl Complexes. Crystal Structure of [σ-N,σ-N’,η2-C=N,η2-C=N’-Diglyoxal bis(isopropylimine)]octacarbonyltetraruthenium. Inorg. Chem. 1981, 20, 3590–3597. [Google Scholar]
- Kraakman, M.J.A.; Elsevier, C.J.; de Haar, V.W.; Vrieze, K.; Spek, A.L. Synthesis of the monohydride complexes HRu2(X)(CO)5(iPr-NCHCHN-iPr) (X=Cl, I); hydrogenation of the central CC bond of the coordinated α-diimine ligands. X-ray. single crystal structure of HRu2(Cl)(CO)5(iPr-NCHCHN-iPr ). Inorg. Chim. Acta 1993, 203, 157–170. [Google Scholar] [CrossRef]
- Owen, G.R.; Vilar, R.; White, A.J.P.; Williams, D.J. Synthesis and structural characterization of a novel dipalladium complex with an unprecedented PdCN bonding motif. Organometallics 2003, 22, 3025–3027. [Google Scholar] [CrossRef]
- Zoet, R.; Jastrzebski, J.T.; van Koten, G.; Mahabiersing, T.; Vrieze, K.; Heijdenrijk, D.; Stam, C.H. Synthesis and Characterization of Two Isomers of Decacarbonyl( 1,4-dialkyl-1,4-diaza-1,3-butadiene) triosmium: Os3(CO)10(R-DAB).1Fluxional Behavior of Os3(CO)10(i-Pr-DAB(4e)). Molecular Structures of the 48e Cluster Os3(CO)10(i-Pr-DAB(4e)) and of the 50e Cluster Os3(CO)10(c-Pr-DAB(6e)) Containing a 4e Donor σ,σ-N,N’ and a 6e Donor σ-N, μ2-N’, η2-C=N’ Bonded R-DAB Ligand, Respectively. Organometallics 1988, 7, 2108–2117. [Google Scholar]
- Trincado, M.; Sinha, V.; Rodriguez-Lugo, R.E.; Pribanic, B.; De Bruin, B.; Grützmacher, H. Homogeneously catalysed conversion of aqueous formaldehyde to H2 and carbonate. Nat. Commun. 2017, 8, 1–11. [Google Scholar] [CrossRef]
- Zhou, J.; Sun, H.; Harms, K.; Sundermeyer, J. Synthesis and X-ray Crystal Structures of Acenaphthenequinone-based α-Diimine Palladium Complexes and a Novel V-shape Tripalladium Cluster. Z. Für Anorg. Und Allg. Chem. 2008, 634, 1517–1521. [Google Scholar] [CrossRef]
- Bourget-Merle, L.; Lappert, M.F.; Severn, J.R. The chemistry of β-diketiminatometal complexes. Chem. Rev. 2002, 102, 3031–3065. [Google Scholar] [CrossRef]
- Singh, A.; Chandra, M.; Sahay, A.N.; Pandey, D.S.; Pandey, K.K.; Mobin, S.M.; Puerta, M.C.; Valerga, P. Arene ruthenium complexes incorporating immine/azine hybrid-chelating N-N′ donor ligands: Synthetic, spectral, structural aspects and DFT studies. J. Organomet. Chem. 2004, 689, 1821–1834. [Google Scholar] [CrossRef]
- Reinhart, E.D.; Jordan, R.F. Template-Free Synthesis of a Macrocyclic Bis(pyridine-dienamine) Proligand and Metal Complexes of Its Bis(pyridine-diimine) and Bis(pyridine-dienamido) Forms. Inorg. Chem. 2019, 58, 15466–15478. [Google Scholar] [CrossRef]
- Mohamed Kasim, M.S.; Sundar, S.; Rengan, R. Synthesis and structure of new binuclear ruthenium(II) arene benzil bis(benzoylhydrazone) complexes: Investigation on antiproliferative activity and apoptosis induction. Inorg. Chem. Front. 2018, 5, 585–596. [Google Scholar] [CrossRef]
- Yamaguchi, T.; Nishimura, N.; Shirakura, K.I.; Ito, T. Triangular platinum(II) cluster complexes and cluster core transformation from square-planar to triangular type. Bull. Chem. Soc. Jpn. 2000, 73, 775–784. [Google Scholar] [CrossRef]
- Lee, J.H.; Im, S.Y.; Lee, S.W. Pd–Ln and Pt–Ln complexes of a bi-compartmental ligand: [MLn(L)(NO3)3] (M = Pd, Pt; Ln = Eu, Tb; H2L = N,N′-bis(3-methoxysalicylidenimino-1,3-diaminopropane)). Inorg. Chim. Acta 2018, 474, 89–95. [Google Scholar] [CrossRef]
- Man, W.-L.; Chen, G.; Yiu, S.-M.; Shek, L.; Wong, W.-Y.; Wong, W.-T.; Lau, T.-C. Formation of μ-dinitrogen (salen)osmium complexes via ligand-induced N⋯N coupling of (salen)osmium(vi) nitrides. Dalt. Trans. 2010, 39, 11163. [Google Scholar] [CrossRef]
- Ru, J.; Zhang, R.-F.; Shi, Y.; Zhang, S.-L.; Li, Q.-L.; Ma, C.-L. Synthesis, structures and magnetic properties of heterobimetallic Ru III –3d (3d = Mn, Ni) compounds based on the chiral Ru III building block. New J. Chem. 2018, 42, 16237–16243. [Google Scholar] [CrossRef]
- Piñero Cruz, D.M.; Woodruff, D.N.; Jeon, I.-R.; Bhowmick, I.; Secu, M.; Hillard, E.A.; Dechambenoit, P.; Clérac, R. Switching off the single-molecule magnet properties of the [Co II (Me 6 tren)(OH 2)] 2+ module by complexation with trans -[Ru III (salen)(CN) 2] −. New J. Chem. 2014, 38, 3443–3448. [Google Scholar] [CrossRef]
- Zhang, D.; Cano, J.; Lan, W.; Liu, H.; Sun, F.; Dong, Y.; Zhou, Z.; Yang, L.; Liu, Q.; Jiang, J. Unconventional dihydrogen-bond interaction induced cyanide-bridged chiral nano-sized magnetic molecular wheel: Synthesis, crystal structure and systematic theoretical magnetism investigation. J. Mater. Chem. C 2019, 7, 3623–3633. [Google Scholar] [CrossRef]
- Cristóvão, B.; Miroslaw, B. Propeller-like heterotrinuclear CuII–LnIII–CuII compounds—Physicochemical properties. Inorg. Chim. Acta 2013, 401, 50–57. [Google Scholar] [CrossRef]
- Cristóvão, B.; Miroslaw, B. Asymmetry in propeller-like trinuclear diphenoxo-bridged CuII-LnIII-CuII (Ln = La, Pr, Nd) Schiff base complexes—synthesis, structure and magnetic properties. J. Coord. Chem. 2015, 68, 1602–1615. [Google Scholar] [CrossRef]
- Rigamonti, L.; Forni, A. Effect of crystal packing and coordinated solvent molecules on metal-ligand bond distances in linear trinuclear nickel compounds with bridging acetato and Schiff base ligands. Inorg. Chim. Acta 2018, 473, 216–222. [Google Scholar] [CrossRef]
- Miroslaw, B.; Cristóvão, B.; Hnatejko, Z. Heterometallic ZnII–LnIII–ZnII Schiff Base Complexes with Linear or Bent Conformation—Synthesis, Crystal Structures, Luminescent and Magnetic Characterization. Molecules 2018, 23, 1761. [Google Scholar] [CrossRef] [PubMed]
- Miroslaw, B.; Cristóvão, B.; Hnatejko, Z. Halogen bonded lamellar motifs in crystals of Schiff base ZnII–LnIII–ZnII coordination compounds—Synthesis, structure, Hirshfeld surface analysis and physicochemical properties. Polyhedron 2019, 166, 83–90. [Google Scholar] [CrossRef]
- Chen, G.; Man, W.-L.; Yiu, S.-M.; Wong, T.-W.; Szeto, L.; Wong, W.-T.; Lau, T.-C. Binuclear (salen)osmium phosphinidine and phosphiniminato complexes. Dalt. Trans. 2011, 40, 1938. [Google Scholar] [CrossRef] [PubMed]
- Marinescu, G.; Madalan, A.M.; Maxim, C.; Shova, S.; Clérac, R.; Andruh, M. Heterometallic 3d–4d coordination polymers assembled from: Trans -[RuIII(L)(CN)2]- tectons and 3d cations. Dalt. Trans. 2019, 48, 15455–15464. [Google Scholar] [CrossRef]
- Pichon, C.; Dechambenoit, P.; Clérac, R. A cyanido-bridged two-dimensional network based on a RuIII schiff base complex and MnII ions: Synthesis, crystal structure and magnetic properties. Polyhedron 2013, 52, 476–481. [Google Scholar] [CrossRef]
- Shatruk, M.; Avendano, C.; Dunbar, K.R. Cyanide-Bridged Complexes of Transition Metals: A Molecular Magnetism Perspective. In Progress in Inorganic Chemistry; Karlin, K.D., Ed.; John Wiley & Sons, Inc.: Hoboken, NJ, USA, 2009; Volume 56, pp. 155–334. [Google Scholar]
- Yeung, W.F.; Lau, P.H.; Lau, T.C.; Wei, H.Y.; Sun, H.L.; Gao, S.; Da Chen, Z.; Wong, W.T. Heterometallic MIIRuIII2 compounds constructed from trans-[Ru(Salen)(CN)2]- and trans-[Ru(Acac)2(CN)2]-. Synthesis, structures, magnetic properties, and density functional theoretical study. Inorg. Chem. 2005, 44, 6579–6590. [Google Scholar] [CrossRef]
- Cook, T.R.; Stang, P.J. Recent Developments in the Preparation and Chemistry of Metallacycles and Metallacages via Coordination. Chem. Rev. 2015, 115, 7001–7045. [Google Scholar] [CrossRef]
- Reinhard, D.; Zhang, W.S.; Rominger, F.; Curticean, R.; Wacker, I.; Schröder, R.R.; Mastalerz, M. Discrete triptycene-based hexakis(Metalsalphens): Extrinsic soluble porous molecules of isostructural constitution. Chemistry 2018, 24, 11433–11437. [Google Scholar] [CrossRef]
- Schmid, J.; Frey, W.; Peters, R. Polynuclear Enantiopure Salen-Mesoionic Carbene Hybrid Complexes. Organometallics 2017, 36, 4313–4324. [Google Scholar] [CrossRef]
- Akine, S.; Nabeshima, T. Cyclic and acyclic oligo(N2O2) ligands for cooperative multi-metal complexation. J. Chem. Soc. Dalt. Trans. 2009, 10395–10408. [Google Scholar] [CrossRef]
- Li, Z.; Jablonski, C. Synthesis and characterization of “calixsalens”: A new class of macrocyclic chiral ligands. Chem. Commun. 1999, 1531–1532. [Google Scholar] [CrossRef]
- Kwit, M.; Gawronski, J. Chiral calixsalen-type macrocycles from trans-1,2-diaminocyclohexane. Tetrahedron Asymmetry 2003, 14, 1303–1308. [Google Scholar] [CrossRef]
- Gawroński, J.; Kołbon, H.; Kwit, M.; Katrusiak, A. Designing large triangular chiral macrocycles: Efficient [3 + 3] diamine-dialdehyde condensations based on conformational bias. J. Org. Chem. 2000, 65, 5768–5773. [Google Scholar] [CrossRef] [PubMed]
- Starynowicz, P.P.; Lisowski, J. A heterodinuclear macrocyclic complex containing both nickel(II) and palladium(II) ions. Chem. Commun. 1999, 769–770. [Google Scholar] [CrossRef]
- Panther, T.; Behrens, U. Heterodinukleare Cobalt(II)-, Nickel(II)-, Kupfer(II)-, Zink(II)und Palladium(II)-Komplexe mit einem makrocyclischen Liganden vom Schiff-Basen-Typ: Synthesen und Strukturen. Z. Für Anorg. Und Allg. Chem. 2000, 626, 1934–1941. [Google Scholar] [CrossRef]
- Akine, S.; Utsuno, F.; Piao, S.; Orita, H.; Tsuzuki, S.; Nabeshima, T. Synthesis, Ion Recognition Ability, and Metal-Assisted Aggregation Behavior of Dinuclear Metallohosts Having a Bis(Saloph) Macrocyclic Ligand. Inorg. Chem. 2016, 55, 810–821. [Google Scholar] [CrossRef]
- Bokare, A.D.; Patnaik, A. Crystal structure of an ammonium thiocyanate complex of 18–crown–6. Cryst. Res. Technol. 2004, 39, 465–469. [Google Scholar] [CrossRef]
- Doistau, B.; Tron, A.; Denisov, S.A.; Jonusauskas, G.; McClenaghan, N.D.; Gontard, G.; Marvaud, V.; Hasenknopf, B.; Vives, G. Terpy(Pt-salphen) 2 Switchable Luminescent Molecular Tweezers. Chemistry 2014, 20, 15799–15807. [Google Scholar] [CrossRef]
- Ikeshita, M.; Ito, M.; Naota, T. Variations in the Solid-State Emissions of Clothespin-Shaped Binuclear trans -Bis(salicylaldiminato)platinum(II) with Halogen Functionalities. Eur. J. Inorg. Chem. 2019, 2019, 3561–3571. [Google Scholar] [CrossRef]
- Yoon, I.; Goto, M.; Shimizu, T.; Lee, S.S.; Asakawa, M. Synthesis and characterisation of macrocyclic palladium( ii )–sodium( i ) complexes: Generation of an unusual metal-mediated electron delocalisation. Dalt. Trans. 2004, 1513–1515. [Google Scholar] [CrossRef]
- Borisova, N.E.; Askerov, R.K.O.; Maharramov, A.M.; Khrustalev, V.N.; Reshetova, M.D.; Ustunyuk, Y.A. Self-assembly of a palladium complex formed from two U-shaped calixsalen molecules. Dalt. Trans. 2010, 39, 5768–5771. [Google Scholar] [CrossRef]
- Tong, W.-L.L.; Yiu, S.-M.M.; Chan, M.C.W.W. Crowded bis-(M-salphen) [M = Pt(II), Zn(II)] coordination architectures: Luminescent properties and ion-selective responses. Inorg. Chem. 2013, 52, 7114–7124. [Google Scholar] [CrossRef]
- Naito, M.; Souda, H.; Koori, H.; Komiya, N.; Naota, T. Binuclear trans -Bis(β-iminoaryloxy)palladium(II) Complexes Doubly Linked with Pentamethylene Spacers: Structure-Dependent Flapping Motion and Heterochiral Association Behavior of the Clothespin-Shaped Molecules. Chemistry 2014, 20, 6991–7000. [Google Scholar] [CrossRef]
- Naito, M.; Komiya, N.; Naota, T. Homochiral association of binuclear trans-bis(β-iminoaryloxy)palladium(ii) complexes doubly linked with m-xylylene spacers: Drastic linker-dependence of the association chirality of chiral clothespin-shaped molecules. Org. Chem. Front. 2016, 3, 1286–1294. [Google Scholar] [CrossRef]
- Goshe, A.J.; Steele, I.M.; Bosnich, B. Supramolecular recognition: Association of palladium molecular clefts with planar platinum complexes. Inorg. Chim. Acta 2004, 357, 4544–4551. [Google Scholar] [CrossRef]
- Liu, J.J.; Lin, Y.J.; Li, Z.H.; Jin, G.X. Self-assembled half-sandwich polyhedral cages: Via flexible Schiff-base ligands: An unusual macrocycle-to-cage conversion. Dalt. Trans. 2016, 45, 13675–13679. [Google Scholar] [CrossRef]
- Frischmann, P.D.; Sahli, B.J.; Guieu, S.; Patrick, B.O.; MacLachlan, M.J. Sterically-Limited Self-Assembly of Pt4 Macrocycles into Discrete Non-covalent Nanotubes: Porous Supramolecular Tetramers and Hexamers. Chemistry 2012, 18, 13712–13721. [Google Scholar] [CrossRef] [PubMed]
- Madalan, A.M.; Avarvari, N.; Andruh, M. Metal complexes as second-sphere ligands. New J. Chem. 2006, 30, 521. [Google Scholar] [CrossRef]
- Jiao, J.; Li, Z.; Qiao, Z.; Li, X.; Liu, Y.; Dong, J.; Jiang, J.; Cui, Y. Design and self-assembly of hexahedral coordination cages for cascade reactions. Nat. Commun. 2018, 9, 1–8. [Google Scholar] [CrossRef] [PubMed]
- Samantray, S.; Krishnaswamy, S.; Chand, D.K. Self-assembled conjoined-cages. Nat. Commun. 2020, 11, 1–11. [Google Scholar] [CrossRef]
- Han, M.; Engelhard, D.M.; Clever, G.H. Self-assembled coordination cages based on banana-shaped ligands. Chem. Soc. Rev. 2014, 43, 1848–1860. [Google Scholar] [CrossRef] [PubMed]
- Krisyuk, V.V.; Baidina, I.A.; Basova, T.V.; Bulusheva, L.G.; Igumenov, I.K. Self-Assembly of Coordination Polymers from Volatile Pd II and Pb II β-Diketonate Derivatives through Metallophilic Interactions. Eur. J. Inorg. Chem. 2013, 2013, 5738–5745. [Google Scholar] [CrossRef]
- Groom, C.R.; Bruno, I.J.; Lightfoot, M.P.; Ward, S.C.; IUCr. The Cambridge Structural Database. Acta Cryst. Sect. B 2016, 72, 171–179. [Google Scholar] [CrossRef] [PubMed]
- MacRae, C.F.; Sovago, I.; Cottrell, S.J.; Galek, P.T.A.; McCabe, P.; Pidcock, E.; Platings, M.; Shields, G.P.; Stevens, J.S.; Towler, M.; et al. Mercury 4.0: From visualization to analysis, design and prediction. J. Appl. Cryst. 2020, 53, 226–235. [Google Scholar] [CrossRef] [PubMed]
- ACD/ChemSketch, Version 2018.1.1 2019; Advanced Chemistry Development Inc.: Toronto, ON, Canada, 2019.
















© 2020 by the author. Licensee MDPI, Basel, Switzerland. This article is an open access article distributed under the terms and conditions of the Creative Commons Attribution (CC BY) license (http://creativecommons.org/licenses/by/4.0/).
Share and Cite
Miroslaw, B. Homo- and Hetero-Oligonuclear Complexes of Platinum Group Metals (PGM) Coordinated by Imine Schiff Base Ligands. Int. J. Mol. Sci. 2020, 21, 3493. https://doi.org/10.3390/ijms21103493
Miroslaw B. Homo- and Hetero-Oligonuclear Complexes of Platinum Group Metals (PGM) Coordinated by Imine Schiff Base Ligands. International Journal of Molecular Sciences. 2020; 21(10):3493. https://doi.org/10.3390/ijms21103493
Chicago/Turabian StyleMiroslaw, Barbara. 2020. "Homo- and Hetero-Oligonuclear Complexes of Platinum Group Metals (PGM) Coordinated by Imine Schiff Base Ligands" International Journal of Molecular Sciences 21, no. 10: 3493. https://doi.org/10.3390/ijms21103493
APA StyleMiroslaw, B. (2020). Homo- and Hetero-Oligonuclear Complexes of Platinum Group Metals (PGM) Coordinated by Imine Schiff Base Ligands. International Journal of Molecular Sciences, 21(10), 3493. https://doi.org/10.3390/ijms21103493
