Design, Synthesis and Molecular Modeling Study of Conjugates of ADP and Morpholino Nucleosides as A Novel Class of Inhibitors of PARP-1, PARP-2 and PARP-3
Abstract
1. Introduction
2. Results and Discussion
2.1. Chemistry
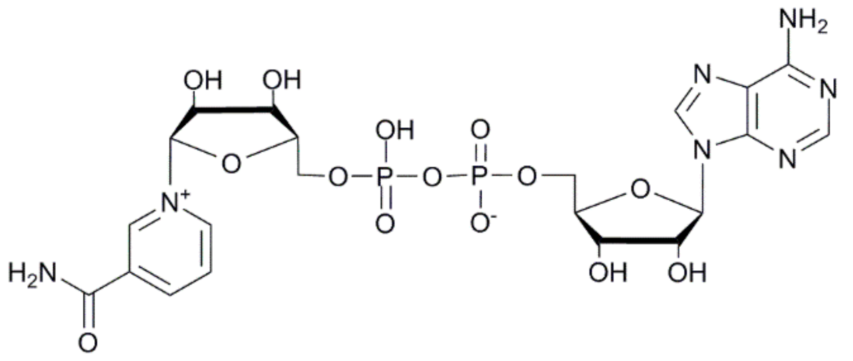
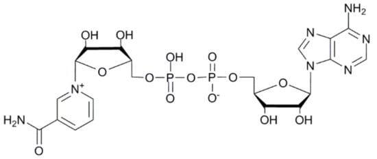
2.1.1. Synthesis of ADP Conjugates Containing Phosphoester (P–O) Bond
2.1.2. Synthesis of ADP Conjugates Containing Phosphoramide (P–N) Bond
2.2. PARP-1, PARP-2 and PARP-3 Inhibition
2.2.1. Inhibition of PARP-1 and PARP-2 by ADP Conjugates
2.2.2. Inhibition of PARP-1 and PARP-2 by Natural and Modified Nucleosides
2.2.3. Determination of the Type of Inhibition
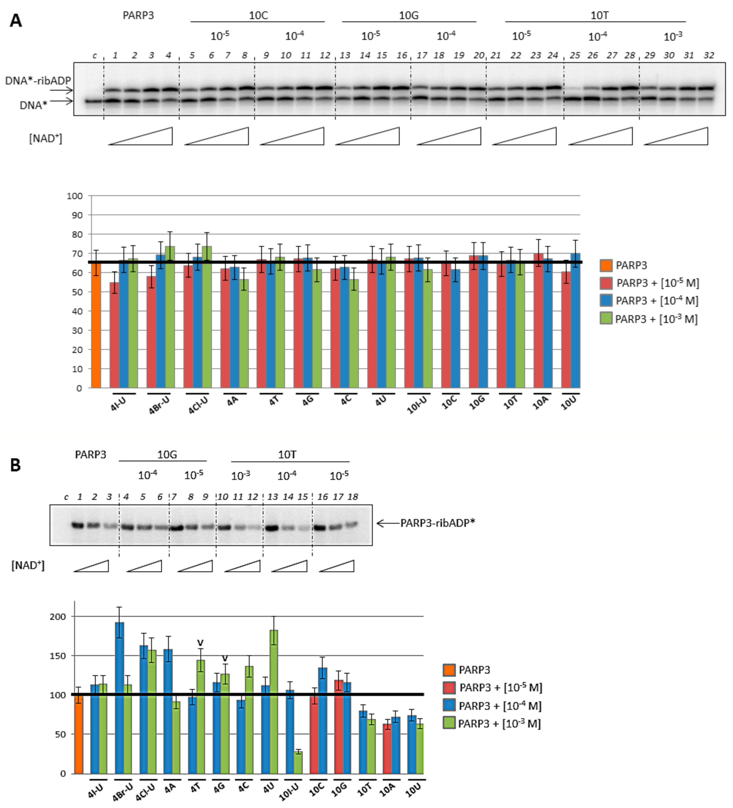
2.2.4. PARP-3 Inhibition
2.3. Structural Studies
2.3.1. Binding Modes of Guanine and 2,4-dioxopyrimidine Containing NAD+ Analogs to PARP-1 and PARP-2
2.3.2. Micromolar Inhibition of PARP-2 Activity by Targeting Acceptor Substrate Binding Site
3. Materials and Methods
3.1. Chemistry
3.1.1. General Procedure for the Synthesis of Morpholino Nucleosides 2
3.1.2. General Procedure for the Synthesis of Morpholino Nucleosides 11
3.1.3. General Procedure for the Phosphorylation of Morpholino Nucleosides 2
3.1.4. General Procedure for the Synthesis of Conjugates 4
3.1.5. General Procedure for the Synthesis of 2′-aminomethylmorpholino Nucleosides 7
3.1.6. General Procedure for the Synthesis of Conjugates 10
3.2. Biology
3.2.1. Materials
3.2.2. Oligonucleotide Substrates
3.2.3. Synthesis of [32P]-NAD+
3.2.4. PARP-1 and PARP-2 Enzyme Assay
3.2.5. Inhibitors Screening, ADP-ribosylation of DNA by PARP-3
3.2.6. Inhibitors Screening, ADP-ribosylation of PARP-3
3.3. Structural Studies
4. Conclusions
Supplementary Materials
Author Contributions
Funding
Conflicts of Interest
References
- Amé, J.C.; Spenlehauer, C.; de Murcia, G. The PARP superfamily. Bioessays 2004, 26, 882–893. [Google Scholar] [CrossRef] [PubMed]
- Gupte, R.; Liu, Z.; Kraus, W.L. PARPs and ADP-ribosylation: Recent advances linking molecular functions to biological outcomes. Genes Dev. 2017, 31, 101–126. [Google Scholar] [CrossRef] [PubMed]
- Vyas, S.; Matic, I.; Uchima, L.; Rood, J.; Zaja, R.; Hay, R.T.; Ahel, I.; Chang, P. Family-wide analysis of poly(ADP-ribose) polymerase activity. Nat. Commun. 2014, 5, 4426. [Google Scholar] [CrossRef] [PubMed]
- Lüscher, B.; Bütepage, M.; Eckei, L.; Krieg, S.; Verheugd, P.; Shilton, B.H. ADP-Ribosylation, a multifaceted posttranslational modification involved in the control of cell physiology in health and disease. Chem Rev. 2018, 118, 1092–1136. [Google Scholar] [CrossRef] [PubMed]
- Talhaoui, I.; Lebedeva, N.A.; Zarkovic, G.; Saint-Pierre, C.; Kutuzov, M.M.; Sukhanova, M.V.; Matkarimov, B.T.; Gasparutto, D.; Saparbaev, M.K.; Lavrik, O.I.; et al. Poly(ADP-ribose) polymerases covalently modify strand break termini in DNA fragments in vitro. Nucleic Acids Res. 2016, 44, 9279–9295. [Google Scholar] [PubMed]
- Belousova, E.A.; Ishchenko, A.A.; Lavrik, O.I. Dna is a new target of Parp3. Sci Rep. 2018, 8, 4176. [Google Scholar] [CrossRef] [PubMed]
- Hottiger, M.O.; Hassa, P.O.; Lüscher, B.; Schüler, H.; Koch-Nolte, F. Toward a unified nomenclature for mammalian ADP-ribosyltransferases. Trends Biochem. Sci. 2010, 35, 208–219. [Google Scholar] [CrossRef]
- Steffen, J.D.; Brody, J.R.; Armen, R.S.; Pascal, J.M. Structural implications for selective targeting of PARPs. Front. Oncol. 2013, 3, 301. [Google Scholar] [CrossRef]
- Boehler, C.; Dantzer, F. PARP-3, a DNA-dependent PARP with emerging roles in double-strand break repair and mitotic progression. Cell Cycle 2011, 10, 1023–1024. [Google Scholar] [CrossRef][Green Version]
- Sharif-Askari, B.; Amrein, L.; Aloyz, R.; Panasci, L. PARP3 inhibitors ME0328 and olaparib potentiate vinorelbine sensitization in breast cancer cell lines. Breast Cancer Res. Treat. 2018, 172, 23–32. [Google Scholar] [CrossRef]
- Rajawat, J.; Shukla, N.; Mishra, D.P. Therapeutic Targeting of Poly(ADP-Ribose) Polymerase-1 (PARP1) in cancer: Current developments, therapeutic strategies, and future opportunities. Med. Res. Rev. 2017, 37, 1461–1491. [Google Scholar] [CrossRef] [PubMed]
- Walsh, C. Targeted therapy for ovarian cancer: The rapidly evolving landscape of PARP inhibitor use. Minerva Ginecol. 2017, 70, 150–170. [Google Scholar] [PubMed]
- Exman, P.; Barroso-Sousa, R.; Tolaney, S.M. Evidence to date: Talazoparib in the treatment of breast cancer. Onco Targets Ther. 2019, 12, 5177–5187. [Google Scholar] [CrossRef] [PubMed]
- Ohmoto, A.; Yachida, S. Current status of poly(ADP-ribose) polymerase inhibitors and future directions. Onco Targets Ther. 2017, 10, 5195–5208. [Google Scholar] [CrossRef]
- Katsyuba, E.; Auwerx, J. Modulating NAD+ metabolism, from bench to bedside. EMBO J. 2017, 36, 2670–2683. [Google Scholar] [CrossRef]
- Khan, J.A.; Forouhar, F.; Tao, X.; Tong, L. Nicotinamide adenine dinucleotide metabolism as an attractive target for drug discovery. Expert Opin. Ther. Targets. 2007, 11, 695–705. [Google Scholar] [CrossRef]
- Clark, J.B.; Ferris, G.M.; Pinder, S. Inhibition of nuclear NAD nucleosidase and poly ADP-ribose polymerase activity from rat liver by nicotinamide and 5′-methyl nicotinamide. Biochim. Biophys. Acta. 1971, 238, 82–85. [Google Scholar] [CrossRef]
- Yuan, Z.; Chen, J.; Li, W.; Li, D.; Chen, C.; Gao, C.; Jiang, Y. PARP inhibitors as antitumor agents: A patent update (20132–015). Expert. Opin. Ther. Pat. 2017, 27, 363–382. [Google Scholar] [CrossRef]
- Cepeda, V.; Fuertes, M.A.; Castilla, J.; Alonso, C.; Quevedo, C.; Soto, M.; Pérez, J.M. Poly(ADP-ribose) polymerase-1 (PARP-1) inhibitors in cancer chemotherapy. Recent Pat. Anticancer Drug Discov. 2006, 1, 39–53. [Google Scholar] [CrossRef]
- Ferraris, D.V. Evolution of poly (ADP-ribose) polymerase-1 (PARP-1) inhibitors. From concept to clinic. J Med Chem. 2010, 53, 4561–4584. [Google Scholar] [CrossRef]
- Penning, T.D. Small-molecule PARP modulators-current status and future therapeutic potential. Curr. Opin. Drug Discov. Devel. 2010, 13, 577–586. [Google Scholar] [PubMed]
- Zhou, Q.; Ji, M.; Zhou, J.; Jin, J.; Xue, N.; Chen, J.; Xu, B.; Chen, X. Poly (ADP-ribose) polymerases inhibitor, Zj6413, as a potential therapeutic agent against breast cancer. Biochem. Pharmacol. 2016, 107, 29–40. [Google Scholar] [CrossRef] [PubMed]
- Wang, B.; Chu, D.; Feng, Y.; Shen, Y.; Aoyagi-Scharber, M.; Post, L.E. Discovery and characterization of (8S,9R)-5-fluoro-8-(4-fluorophenyl)-9-(1-methyl-1H-1,2,4-triazol-5-yl)-2,7,8,9-tetrahydro-3H-pyrido[4,3,2-de]phthalazin-3-one (BMN 673, Talazoparib), a novel, highly potent, and orally efficacious poly(ADP-ribose) polymerase-1/2 inhibitor, as an anticancer agent. J. Med. Chem. 2016, 59, 335–357. [Google Scholar] [PubMed]
- Li, H.; Hu, Y.; Wang, X.; He, G.; Xu, Y.; Zhu, Q. Novel tricyclic poly (ADP-ribose) polymerase-1/2 inhibitors with potent anticancer chemopotentiating activity: Design, synthesis and biological evaluation. Bioorg. Med. Chem. 2016, 24, 4731–4740. [Google Scholar] [CrossRef]
- Oplustil O’Connor, L.; Rulten, S.L.; Cranston, A.N.; Odedra, R.; Brown, H.; Jaspers, J.E.; Jones, L.; Knights, C.; Evers, B.; Ting, A.; et al. The PARP inhibitor AZD2461 provides insights into the role of PARP3 inhibition for both synthetic lethality and tolerability with chemotherapy in preclinical models. Cancer Res. 2016, 76, 6084–6094. [Google Scholar] [CrossRef]
- Jordheim, L.P.; Durantel, D.; Zoulim, F.; Dumontet, C. Advances in the development of nucleoside and nucleotide analogues for cancer and viral diseases. Nat. Rev. Drug Discov. 2013, 12, 447–464. [Google Scholar] [CrossRef]
- Maffioli, S.I.; Zhang, Y.; Degen, D.; Carzaniga, T.; Del Gatto, G.; Serina, S.; Monciardini, P.; Mazzetti, C.; Guglierame, P.; Candiani, G.; et al. Antibacterial nucleoside-analog inhibitor of bacterial RNA polymerase. Cell 2017, 169, 1240–1248. [Google Scholar] [CrossRef]
- Efremova, A.S.; Zakharenko, A.L.; Shram, S.I.; Kulikova, I.V.; Drenichev, M.S.; Sukhanova, M.V.; Khodyreva, S.N.; Myasoedov, N.F.; Lavrik, O.I.; Mikhailov, S.N. Disaccharide pyrimidine nucleosides and their derivatives: A novel group of cell-penetrating inhibitors of poly(ADP-ribose) polymerase 1. Nucleosides, Nucleotides Nucleic Acids. 2013, 32, 510–528. [Google Scholar] [CrossRef]
- Pivazyan, A.D.; Birks, E.M.; Wood, T.G.; Lin, T.S.; Prusoff, W.H. Inhibition of poly(ADP-ribose)polymerase activity by nucleoside analogs of thymidine. Biochem. Pharmacol. 1992, 44, 947–953. [Google Scholar] [CrossRef]
- Toledano, E.; Ogryzko, V.; Danchin, A.; Ladant, D.; Mechold, U. 3′-5′ Phosphoadenosine phosphate is an inhibitor of PARP-1 and a potential mediator of the lithium-dependent inhibition of PARP-1 in vivo. Biochem. J. 2012, 443, 485–490. [Google Scholar] [CrossRef]
- Banasik, M.; Komura, H.; Shimoyama, M.; Ueda, K. Specific inhibitors of poly (ADP-ribose) synthetase and mono (ADP-ribosyl) transferase. J. Biol. Chem. 1992, 267, 1569–1575. [Google Scholar]
- Steinhagen, H.; Gerisch, M.; Mittendorf, J.; Schlemmer, K.H.; Albrecht, B. Substituted uracil derivatives as potent inhibitors of poly (ADP-ribose) polymerase-1 (PARP-1). Bioorg. Med. Chem. Lett. 2002, 12, 3187–3190. [Google Scholar] [CrossRef]
- Jagtap, P.G.; Southan, G.J.; Baloglu, E.; Ram, S.; Mabley, J.G.; Marton, A.; Salzman, A.; Szabo, C. The discovery and synthesis of novel adenosine substituted 2,3-dihydro-1H-isoindol-1-ones: Potent inhibitors of poly(ADP-ribose) polymerase-1 (PARP-1). Bioorg. Med. Chem. Lett. 2004, 14, 81–85. [Google Scholar] [CrossRef] [PubMed]
- Ekblad, T.; Camaioni, E.; Schüler, H.; Macchiarulo, A. PARP inhibitors: Polypharmacology versus selective inhibition. FEBS J. 2013, 280, 3563–3575. [Google Scholar] [CrossRef] [PubMed]
- Wallrodt, S.; Simpson, E.L.; Marx, A. Investigation of the action of poly(ADP-ribose)-synthesising enzymes on NAD+ analogues. Beilstein J. Org. Chem. 2017, 13, 495–501. [Google Scholar] [CrossRef] [PubMed]
- Buntz, A.; Wallrodt, S.; Gwosch, E.; Schmalz, M.; Beneke, S.; Ferrando-May, E.; Marx, A.; Zumbusch, A. Real-time cellular imaging of protein poly(ADP-ribos)ylation. Angew. Chem. Int. Ed. Engl. 2016, 55, 11256–11260. [Google Scholar] [CrossRef] [PubMed]
- Gibson, B.A.; Zhang, Y.; Jiang, H.; Hussey, K.M.; Shrimp, J.H.; Lin, H.; Schwede, F.; Yu, Y.; Kraus, W.L. Chemical genetic discovery of PARP targets reveals a role for PARP-1 in transcription elongation. Science 2016, 353, 45–50. [Google Scholar] [CrossRef]
- Langelier, M.F.; Zandarashvili, L.; Aguiar, P.M.; Black, B.E.; Pascal, J.M. NAD+ analog reveals PARP-1 substrate-blocking mechanism and allosteric communication from catalytic center to DNA-binding domains. Nat. Commun. 2018, 9, 844. [Google Scholar] [CrossRef]
- Banasik, M.; Stedeford, T.; Strosznajder, R.P. Natural inhibitors of poly(ADP-ribose) polymerase 1. Mol. Neurobiol. 2012, 46, 55–63. [Google Scholar] [CrossRef]
- Tanaka, Y.; Matsunami, N.; Yoshihara, K. Inhibition of ADP-ribosylation of histone by diadenosine 5′, 5” -P(1), P(4)-tetraphosphate. Biochem. Biophys. Res. Commun. 1981, 99, 837–843. [Google Scholar] [CrossRef]
- Bonnac, L.; Chen, L.; Pathak, R.; Gao, G.; Ming, Q.; Bennett, E.; Felczak, K.; Kullberg, M.; Patterson, S.E.; Mazzola, F.; et al. Probing binding requirements of NAD kinase with modified substrate (NAD) analogues. Bioorg. Med. Chem. Lett. 2007, 17, 1512–1515. [Google Scholar] [CrossRef] [PubMed]
- Pergolizzi, G.; Cominetti, M.M.D.; Butt, J.N.; Field, R.A.; Bowater, R.P.; Wagner, G.K. Base-modified NAD and AMP derivatives and their activity against bacterial DNA ligases. Org. Biomol. Chem. 2015, 13, 6380–6398. [Google Scholar] [CrossRef] [PubMed]
- Wang, S.; Zhu, W.; Wang, X.; Li, J.; Zhang, K.; Zhang, L.; Zhao, Y.-J.; Lee, H.C.; Zhang, L. Design, synthesis and SAR studies of NAD analogues as potent inhibitors towards CD38 NADase. Molecules 2014, 19, 15754–15767. [Google Scholar] [CrossRef] [PubMed]
- Sherstyuk, Y.V.; Zakharenko, A.L.; Kutuzov, M.M.; Chalova, P.V.; Sukhanova, M.V.; Lavrik, O.I.; Silnikov, V.N.; Abramova, T.V. A versatile strategy for the design and synthesis of novel ADP conjugates and their evaluation as potential poly(ADP-ribose) polymerase 1 inhibitors. Mol. Divers. 2017, 21, 101–113. [Google Scholar] [CrossRef]
- Sherstyuk, Y.V.; Zakharenko, A.L.; Kutuzov, M.M.; Sukhanova, M.V.; Lavrik, O.I.; Silnikov, V.N.; Abramova, T.V. Synthesis of a series of NAD+ analogues, potential inhibitors of PARP 1, using ADP conjugates functionalized at the terminal phosphate group. Russ. J. Bioorgan. Chem. 2017, 43, 76–83. [Google Scholar] [CrossRef]
- Abramova, T.V.; Belov, S.S.; Tarasenko, Y.V.; Silnikov, V.N. Solid-phase-supported synthesis of morpholino-glycine oligonucleotide mimics. Beilstein J. Org. Chem. 2014, 10, 1151–1158. [Google Scholar] [CrossRef]
- Ivanisenko, N.V.; Zhechev, D.A.; Ivanisenko, V.A. Structural modeling of NAD+ binding modes to PARP-1. Russ. J. Genetics: Applied Res. 2017, 7, 574–579. [Google Scholar] [CrossRef]
- Summerton, J.E. Invention and early history of morpholinos: From pipe dream to practical products. Methods Mol. Biol. 2017, 1565, 1–15. [Google Scholar]
- Marciacq, F.; Sauvaigo, S.; Issartel, J.-P.; Mouret, J.-F.; Molko, D. Synthesis and enzymatic incorporation of morpholino thymidine-5-triphosphate in DNA fragments. Tetrahedron Lett. 1999, 40, 4673–4676. [Google Scholar] [CrossRef]
- Tarasenko, Y.V.; Abramova, T.V.; Mamatuk, V.I.; Silnikov, V.N. Effective synthesis of fluorescently labeled morpholino nucleoside yriphosphate derivatives. Nucleosides Nucleotides Nucleic Acids 2016, 35, 32–42. [Google Scholar] [CrossRef]
- Summerton, J.E.; Weller, D.D. Uncharged Morpholino-based Polymers Having Achiral Intersubunit Linkages. US Patent Application No. 5,034,506, 23 July 1991. [Google Scholar]
- Vohtancev, I.P.; Sherstyuk, Y.V.; Silnikov, V.N.; Abramova, T.V. Effective synthesis of 5-iodo derivatives of pyrimidine morpholino nucleosides. Org. Prep. Proced. Int. 2018, 50, 332–342. [Google Scholar] [CrossRef]
- Abramova, T.V.; Bakharev, P.A.; Vasilyeva, S.V.; Silnikov, V.N. Synthesis of morpholine nucleosides triphosphates. Tetrahedron Lett. 2004, 45, 4361–4364. [Google Scholar] [CrossRef]
- Yamamoto, I.; Sekine, M.; Hata, T. One-step synthesis of 5′-azido-nucleosides. J. Chem. Soc. Perkin T. 1 1980, 306–310. [Google Scholar] [CrossRef]
- Mesmaeker, A.; Lesueur, C.; Bévièrre, M.-O.; Waldner, A.; Fritsch, V.; Wolf, R.M. Stark erhöhte affinität modifizierter oligonucleotide mit in ihrer konformation eingeschränkten furanose-ringen für komplementäre RNA-stränge. Angew. Chem. 1996, 108, 2960–2964. [Google Scholar] [CrossRef]
- Robins, M.J.; Doboszewski, B.; Nilsson, B.L.; Peterson, M.A. Synthesis of amide-linked [(3′)CH2CO-NH(5′)] nucleoside analogues of small oligonucleotides. NucleosidesNucleotides Nucleic Acids 2006, 19, 69–86. [Google Scholar] [CrossRef] [PubMed]
- Dean, D.K. An improved synthesis of 5′-amino-5′-deoxyguanosine. Synth. Commun. 2002, 32, 1517–1521. [Google Scholar] [CrossRef]
- Peterson, T.V.; Streamland, T.U.B.; Awad, A.M. A tractable and efficient one-pot synthesis of 5′-azido-5′-deoxyribonucleosides. Molecules 2014, 19, 2434–2444. [Google Scholar] [CrossRef]
- Kotikam, V.; Rozners, E. Concurrent hydrogenation of three functional groups enables synthesis of C3′-homologated nucleoside amino acids. Org. Lett. 2017, 19, 4122–4125. [Google Scholar] [CrossRef]
- Zhang, W.; Ntai, I.; Bolla, M.L.; Malcolmson, S.J.; Kahne, D.; Kelleher, N.L.; Walsh, C.T. Nine enzymes are required for assembly of the pacidamycin group of peptidyl nucleoside antibiotics. J. Am. Chem. Soc. 2011, 133, 5240–5243. [Google Scholar] [CrossRef]
- Trunkfield, A.E.; Gurcha, S.S.; Besra, G.S.; Bugg, T.D.H. Inhibition of Escherichia coli glycosyltransferase MurG and Mycobacterium tuberculosis Gal transferase by uridine-linked transition state mimics. Bioorg. Med. Chem. 2010, 18, 2651–2663. [Google Scholar] [CrossRef]
- Yeoh, K.K.; Butters, T.D.; Wilkinson, B.L.; Fairbanks, A.J. Probing replacement of pyrophosphate via click chemistry; synthesis of UDP-sugar analogues as potential glycosyl transferase inhibitors. Carbohydr. Res. 2009, 344, 586–591. [Google Scholar] [CrossRef] [PubMed]
- Liu, F.; Austin, D.J. A General synthesis of 5′-azido-5′-deoxy-2′,3′-O-isopropylidene nucleosides. J. Org. Chem. 2001, 66, 8643–8645. [Google Scholar] [CrossRef] [PubMed]
- Abramova, T.V.; Kassakin, M.F.; Lomzov, A.A.; Pyshnyi, D.V.; Silnikov, V.N. New oligonucleotide analogues based on morpholine subunits joined by oxalyl diamide tether. Bioorg. Chem. 2007, 35, 258–275. [Google Scholar] [CrossRef] [PubMed]
- Sinha, S.; Pattanayak, S.; Paul, S.; Nandi, B. Morpholino-based Antisense Agent. US Patent Appliction No. 9,914,745, 13 March 2018. [Google Scholar]
- Xavier, N.M.; Gonçalves-Pereira, R.; Jorda, R.; Řezníčková, E.; Kryštof, V.; Oliveira, M.C. Synthesis and antiproliferative evaluation of novel azido nucleosides and their phosphoramidate derivatives. Pure Appl. Chem. 2017, 89, 1267–1281. [Google Scholar] [CrossRef]
- Al-Masoudi, N.A.; Pfleiderer, W. Synthesis and reactions of 1-(5-azido-5-deoxy-3-O-p-toluenesulfonyl-β-D-xylofuranosyl) derivatives of 5-alkyl- and 5-halo-pyrimidines. Carbohydr. Res. 1995, 275, 95–105. [Google Scholar] [CrossRef]
- Ugarkar, B.G.; DaRe, J.M.; Kopcho, J.J.; Browne, C.E.; Schanzer, J.M.; Wiesner, J.B.; Erion, M.D. Adenosine kinase inhibitors. 1. Synthesis, enzyme inhibition, and antiseizure activity of 5-iodotubercidin analogues. J. Med. Chem. 2000, 43, 2883–2893. [Google Scholar] [CrossRef]
- Lin, T.-S.; Neenan, J.P.; Cheng, Y.-C.; Prusoff, W.H. Synthesis and antiviral activity of 5- and 5′-substituted thymidine analogs. J. Med. Chem. 1976, 19, 495–498. [Google Scholar] [CrossRef]
- Schinazi, R.F.; Chen, M.S.; Prusoff, W.H. Antiviral and antineoplastic activities of pyrimidine arabinosyl nucleosides and their 5′-amino derivatives. J. Med. Chem. 1979, 22, 1273–1277. [Google Scholar] [CrossRef]
- Garegg, P.J.; Regberg, T.; Stawiński, J.; Strömberg, R.J. Nucleoside phosphonates: Part 7. Studies on the oxidation of nucleoside phosphonate esters. Chem. Soc. Perkin Tras. 1 1987, 1269–1273. [Google Scholar] [CrossRef]
- Huang, J.; McElroy, E.B.; Widlanski, T.S. Synthesis of sulfonate-linked DNA. J. Org. Chem. 1994, 59, 3520–3521. [Google Scholar] [CrossRef]
- Grimm, G.N.; Boutorine, A.S.; Helene, C. Rapid routes of synthesis of oligonucleotide conjugates from non-protected oligonucleotides and ligands possessing different nucleophilic or electrophilic functional groups. NucleosidesNucleotides Nucleic Acids 2000, 19, 1943–1965. [Google Scholar] [CrossRef] [PubMed]
- Rankin, P.W.; Jacobson, E.L.; Benjamin, R.C.; Moss, J.; Jacobson, M.K. Quantitative studies of inhibitors of polyADP-ribosylation in vitro and in vivo. J. Biol. Chem. 1989, 264, 4312–4317. [Google Scholar] [PubMed]
- Purnell, M.R.; Whish, W.J. Novel inhibitors of poly(ADP-ribose) synthetase. Biochem. J. 1980, 185, 775–777. [Google Scholar] [CrossRef] [PubMed]
- Marangoni, A.G. Enzyme Kinetics. A Modern Approach; John Wiley & Sons INC.: New York, NY, USA, 2003; p. 248. [Google Scholar]
- Kurgina, T.A.; Anarbaev, R.O.; Sukhanova, M.V.; Lavrik, O.I. A rapid fluorescent method for the real-time measurement of poly(ADP-ribose) polymerase 1 activity. Anal. Biochem. 2018, 545, 91–97. [Google Scholar] [CrossRef]
- Ruf, A.; Rolli, V.; de Murcia, G.; Schulz, G.E. The mechanism of the elongation and branching reaction of poly (ADP-ribose) polymerase as derived from crystal structures and mutagenesis. J. Mol. Biol. 1998, 278, 57–65. [Google Scholar] [CrossRef]
- Lindgren, A.E.; Karlberg, T.; Thorsell, A.G.; Hesse, M.; Spjut, S.; Ekblad, T.; Andersson, C.D.; Pinto, A.F.; Weigelt, J.; Hottiger, M.O.; et al. PARP inhibitor with selectivity toward ADP-ribosyltransferase ARTD3/PARP3. ACS Chem. Biol. 2013, 8, 1698–1703. [Google Scholar] [CrossRef]
- Vyas, S.; Chesarone-Cataldo, M.; Todorova, T.; Huang, Y.H.; Chang, P. A systematic analysis of the PARP protein family identifies new functions critical for cell physiology. Nat. Commun. 2013, 4, 2240. [Google Scholar] [CrossRef]
- Weeks, S.D.; Drinker, M.; Loll, P.J. Ligation independent cloning vectors for expression of SUMO fusions. Protein Expr. Purif. 2007, 53, 40–50. [Google Scholar] [CrossRef]
- Sukhanova, M.V.; Khodyreva, S.N.; Lavrik, O.I. Poly(ADP-ribose) polymerase-1 inhibits strand-displacement synthesis of DNA catalyzed by DNA polymerase beta. Biochemistry 2004, 69, 558–568. [Google Scholar]
- Amé, J.C.; Rolli, V.; Schreiber, V.; Niedergang, C.; Apiou, F.; Decker, P.; Muller, S.; Höger, T.; Ménissier-de Murcia, J.; de Murcia, G. PARP-2, A novel mammalian DNA damage-dependent poly(ADP-ribose) polymerase. J. Biol. Chem. 1999, 274, 17860–17868. [Google Scholar] [CrossRef]
- Laemmli, U.K. Cleavage of structural proteins during the assembly of the head of bacteriophage T4. Nature 1970, 227, 680–685. [Google Scholar] [CrossRef]
- Papeo, G.; Posteri, H.; Borghi, D.; Busel, A.A.; Caprera, F.; Casale, E.; Ciomei, M.; Cirla, A.; Corti, E.; D’Anello, M.; et al. Discovery of 2-[1-(4,4-difluorocyclohexyl)piperidin-4-yl]-6-fluoro-3-oxo-2,3-dihydro-1H-isoindole-4-carboxamide (NMS-P118): A potent, orally available, and highly selective PARP-1 inhibitor for cancer therapy. J. Med Chem. 2015, 58, 6875–6898. [Google Scholar] [CrossRef] [PubMed]
- Karlberg, T.; Hammarstroöm, M.; Schuütz, P.; Svensson, L.; Schuüler, H. Crystal structure of the catalytic domain of human PARP2 in complex with PARP inhibitor ABT-888. Biochemistry 2010, 49, 1056–1058. [Google Scholar] [CrossRef] [PubMed]
- Friesner, R.A.; Murphy, R.B.; Repasky, M.P.; Frye, L.L.; Greenwood, J.R.; Halgren, T.A.; Sanschagrin, P.C.; Mainz, D.T. Extra Precision Glide: Docking and scoring incorporating a model of hydrophobic enclosure for protein-ligand complexes. J. Med. Chem. 2006, 49, 6177–6196. [Google Scholar] [CrossRef]
- Case, D.A.; Darden, T.A.; Cheatham, T.E., III; Simmerling, C.L.; Wang, J.; Duke, R.E.; Luo, R.; Walker, R.C.; Zhang, W.; Merz, K.M.; et al. AMBER 12; University of California: San Francisco, CA, USA, 2012; Available online: https://ambermd.org/ (accessed on 28 November 2019).
- Wang, J.; Wang, W.; Kollman, P.A. Antechamber: An accessory software package for molecular mechanical calculations. J. Am. Chem. Soc. 2001, 222, U403. [Google Scholar]
- Frisch, M.; Trucks, G.W.; Schlegel, H.; Scuseria, G.E.; Robb, M.A.; Cheeseman, J.R.; Montgomery, J.; Vreven, T.; Kudin, K.-N.; Burant, J.; et al. Gaussian 03, revision C. 02. 2004. Available online: https://gaussian.com (accessed on 28 November 2019).
- Onufriev, A.; Bashford, D.; Case, D.A. Modification of the generalized Born model suitable for macromolecules. J. Phys. Chem. B. 2000, 104, 3712–3720. [Google Scholar] [CrossRef]
- Pastor, R.W.; Brooks, B.R.; Szabo, A. An analysis of the accuracy of Langevin and molecular dynamics algorithms. Mol. Phys. 1988, 65, 1409–1419. [Google Scholar] [CrossRef]
- Naim, M.J.; Alam, O.; Alam, M.J.; Alam, P.; Shrivastava, N. A review on pharmacological profile of morpholine derivatives. Int. J. Pharmacol. Pharmaceut. Sci. 2015, 3, 40–51. [Google Scholar]
- Thorsell, A.G.; Ekblad, T.; Karlberg, T.; Loöw, M.; Pinto, A.F.; Trésaugues, L.; Moche, M.; Cohen, M.S.; Schuüler, H. Structural basis for potency and promiscuity in poly (ADP-ribose) polymerase (PARP) and tankyrase inhibitors. J. Med. Chem. 2016, 60, 1262–1271. [Google Scholar] [CrossRef]










![]() | |||||
|---|---|---|---|---|---|
| Compound | PARP-1 | PARP-2 | Compound | PARP-1 | PARP-2 |
| 4A 4G 4C 4U 4T 4IU 4BrU 4ClU | 80% ± 14% 45.5% ± 3.5% 96.0% ± 2.8% 93.0% ± 9.9% 40% ± 20% 255 ± 5 μM 36.0% ± 8.5% 57.5% ± 7.8% | 421 ± 6 μM 34% ± 18% 66.0% ± 8.5% 67% ± 4% 474 ± 14 μM 160 ± 10 μM 474 ± 71 μM 46.8% ± 9.5% | 10A 10G 10C 10U 10T 10IU 10BrU 10ClU | 353 ± 4 μM 74% ± 21% 87.5% ± 7.8% 89% ± 26% 220 ± 50 μM 126 ± 6 μM 60% ± 27% 46% ± 5% | 63 ±10 μM 224 ± 24 μM 34.5% ± 0.7% 33% ± 5% 136 ± 2 μM 110 ± 4 μM 254 ± 100 μM 47% ± 3% |
![]() | Ribonucleosides | ||||
|---|---|---|---|---|---|
| Compound | PARP-1 | PARP-2 | Compound | PARP-1 | PARP-2 |
| 11A | 82% ± 6% | 90 % ± 11% | Ado | 77% ± 21% | 86% ± 1% |
| 11G | 139% ± 21 μМ | 64% ± 25% | Guo | 60% ± 13% | 46% ± 25% |
| 11C | 200% ± 20 μМ | 58% ± 6% | Cyd | 81% ± 16% | 85% ± 4% |
| 11U | 91% ± 24% | 97% ± 8% | Urd | 7% 4 ± 20% | 96% ± 10% |
| 11T | 148 ± 53 μМ | 114 ± 32 μМ | rThd | 277 ± 107 μМ | 330 ± 61 μМ |
| 11IU | 53 ± 12 μМ | 85 ± 9 μМ | 5-I-Urd | 49 ± 9 μМ | 26.5 ± 3.5 μМ |
| 11BrU | 61 ± 16 μМ | 210 ± 48 μМ | 5-Br-Urd | 244 ± 83 μМ | 190 ± 16 μМ |
| 11ClU | 233 ± 25 μМ | 378 μМ | 5-Cl-Urd | 82% ±17 % | 196 ± 25 μМ |
© 2019 by the authors. Licensee MDPI, Basel, Switzerland. This article is an open access article distributed under the terms and conditions of the Creative Commons Attribution (CC BY) license (http://creativecommons.org/licenses/by/4.0/).
Share and Cite
Sherstyuk, Y.V.; Ivanisenko, N.V.; Zakharenko, A.L.; Sukhanova, M.V.; Peshkov, R.Y.; Eltsov, I.V.; Kutuzov, M.M.; Kurgina, T.A.; Belousova, E.A.; Ivanisenko, V.A.; et al. Design, Synthesis and Molecular Modeling Study of Conjugates of ADP and Morpholino Nucleosides as A Novel Class of Inhibitors of PARP-1, PARP-2 and PARP-3. Int. J. Mol. Sci. 2020, 21, 214. https://doi.org/10.3390/ijms21010214
Sherstyuk YV, Ivanisenko NV, Zakharenko AL, Sukhanova MV, Peshkov RY, Eltsov IV, Kutuzov MM, Kurgina TA, Belousova EA, Ivanisenko VA, et al. Design, Synthesis and Molecular Modeling Study of Conjugates of ADP and Morpholino Nucleosides as A Novel Class of Inhibitors of PARP-1, PARP-2 and PARP-3. International Journal of Molecular Sciences. 2020; 21(1):214. https://doi.org/10.3390/ijms21010214
Chicago/Turabian StyleSherstyuk, Yuliya V., Nikita V. Ivanisenko, Alexandra L. Zakharenko, Maria V. Sukhanova, Roman Y. Peshkov, Ilia V. Eltsov, Mikhail M. Kutuzov, Tatiana A. Kurgina, Ekaterina A. Belousova, Vladimir A. Ivanisenko, and et al. 2020. "Design, Synthesis and Molecular Modeling Study of Conjugates of ADP and Morpholino Nucleosides as A Novel Class of Inhibitors of PARP-1, PARP-2 and PARP-3" International Journal of Molecular Sciences 21, no. 1: 214. https://doi.org/10.3390/ijms21010214
APA StyleSherstyuk, Y. V., Ivanisenko, N. V., Zakharenko, A. L., Sukhanova, M. V., Peshkov, R. Y., Eltsov, I. V., Kutuzov, M. M., Kurgina, T. A., Belousova, E. A., Ivanisenko, V. A., Lavrik, O. I., Silnikov, V. N., & Abramova, T. V. (2020). Design, Synthesis and Molecular Modeling Study of Conjugates of ADP and Morpholino Nucleosides as A Novel Class of Inhibitors of PARP-1, PARP-2 and PARP-3. International Journal of Molecular Sciences, 21(1), 214. https://doi.org/10.3390/ijms21010214



