A Comprehensive Bioinformatics Analysis of UBE2C in Cancers
Abstract
1. Introduction
2. Results
2.1. UBE2C Overexpression in Tumors, Their Pathological Stages, and Subtypes
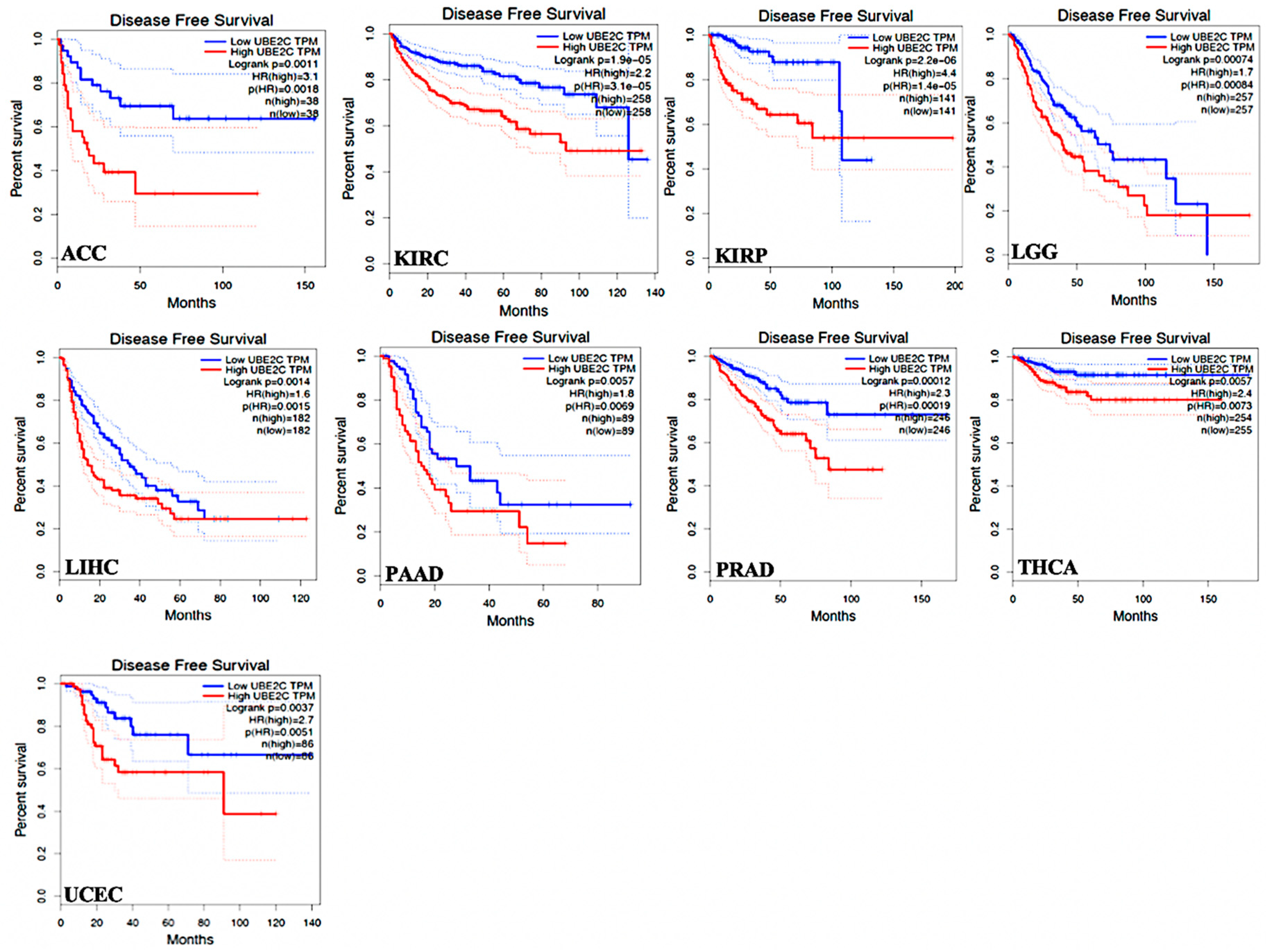
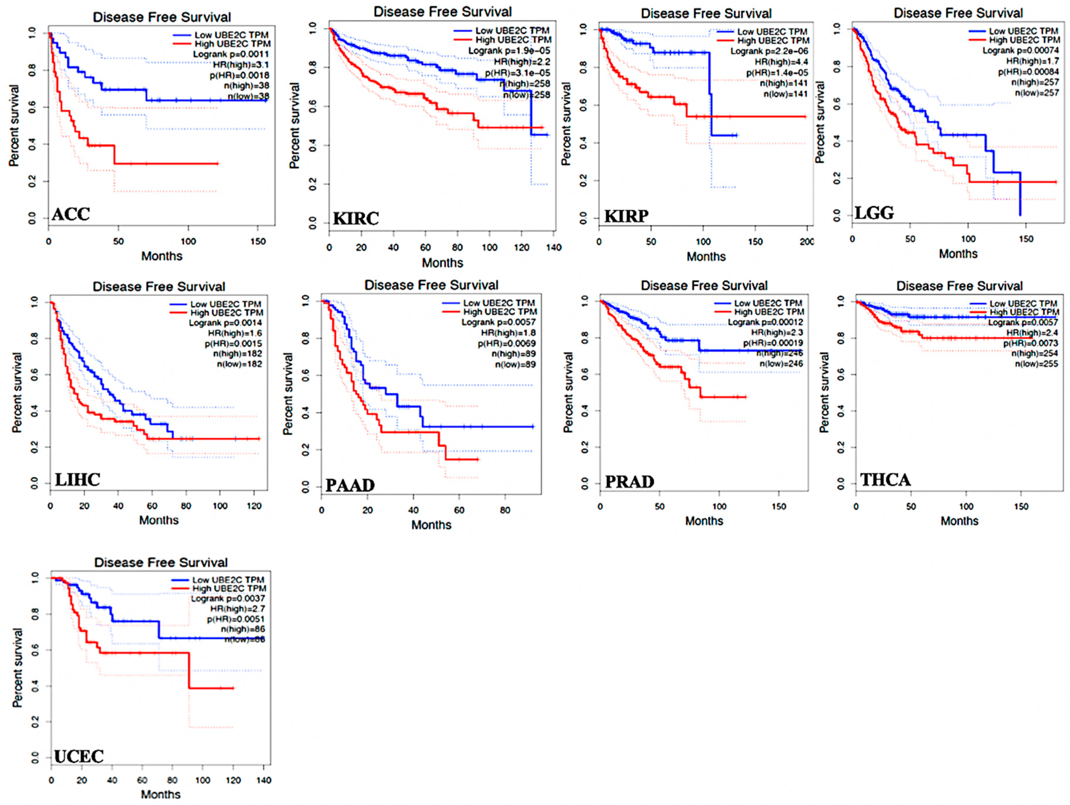
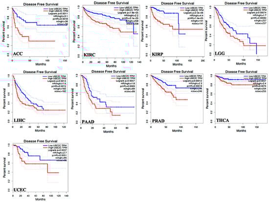
2.2. Role of UBE2C Overexpression in Cancer Prognosis
2.3. Gene Expression Correlation between UBE2C and Other Genes in Cancers
2.4. UBE2C Protein Network
3. Discussion
4. Materials and Methods
Supplementary Materials
Author Contributions
Funding
Acknowledgments
Conflicts of Interest
References
- Akutsu, M.; Dikic, I.; Bremm, A. Ubiquitin chain diversity at a glance. J. Cell. Sci. 2016, 129, 875–880. [Google Scholar] [CrossRef]
- Clague, M.J.; Urbe, S. Ubiquitin: Same molecule, different degradation pathways. Cell 2010, 143, 682–685. [Google Scholar] [CrossRef]
- Meyer, H.J.; Rape, M. Enhanced protein degradation by branched ubiquitin chains. Cell 2014, 157, 910–921. [Google Scholar] [CrossRef]
- Clague, M.J.; Barsukov, I.; Coulson, J.M.; Liu, H.; Rigden, D.J.; Urbe, S. Deubiquitylases from genes to organism. Physiol. Rev. 2013, 93, 1289–1315. [Google Scholar] [CrossRef]
- Clague, M.J.; Heride, C.; Urbe, S. The demographics of the ubiquitin system. Trends Cell Biol. 2015, 25, 417–426. [Google Scholar] [CrossRef]
- Rousseau, A.; Bertolotti, A. Regulation of proteasome assembly and activity in health and disease. Nat. Rev. Mol. Cell Biol. 2018, 19, 697–712. [Google Scholar] [CrossRef]
- Schmidt, M.; Finley, D. Regulation of proteasome activity in health and disease. Biochim. Biophys. Acta 2014, 1843, 13–25. [Google Scholar] [CrossRef]
- Ieta, K.; Ojima, E.; Tanaka, F.; Nakamura, Y.; Haraguchi, N.; Mimori, K.; Inoue, H.; Kuwano, H.; Mori, M. Identification of overexpressed genes in hepatocellular carcinoma, with special reference to ubiquitin-conjugating enzyme E2C gene expression. Int. J. Cancer 2007, 121, 33–38. [Google Scholar] [CrossRef]
- Pallante, P.; Berlingieri, M.T.; Troncone, G.; Kruhoffer, M.; Orntoft, T.F.; Viglietto, G.; Caleo, A.; Migliaccio, I.; Decaussin-Petrucci, M.; Santoro, M.; et al. UbcH10 overexpression may represent a marker of anaplastic thyroid carcinomas. Br. J. Cancer 2005, 93, 464–471. [Google Scholar] [CrossRef]
- Fujita, T.; Ikeda, H.; Taira, N.; Hatoh, S.; Naito, M.; Doihara, H. Overexpression of UbcH10 alternates the cell cycle profile and accelerate the tumor proliferation in colon cancer. BMC Cancer 2009, 9, 87. [Google Scholar] [CrossRef]
- Berlingieri, M.T.; Pallante, P.; Sboner, A.; Barbareschi, M.; Bianco, M.; Ferraro, A.; Mansueto, G.; Borbone, E.; Guerriero, E.; Troncone, G.; et al. UbcH10 is overexpressed in malignant breast carcinomas. Eur. J. Cancer 2007, 43, 2729–2735. [Google Scholar] [CrossRef]
- Perrotta, I.; Bruno, L.; Maltese, L.; Russo, E.; Donato, A.; Donato, G. Immunohistochemical analysis of the ubiquitin-conjugating enzyme UbcH10 in lung cancer: A useful tool for diagnosis and therapy. J. Histochem. Cytochem. 2012, 60, 359–365. [Google Scholar] [CrossRef]
- Jiang, L.; Huang, C.G.; Lu, Y.C.; Luo, C.; Hu, G.H.; Liu, H.M.; Chen, J.X.; Han, H.X. Expression of ubiquitin-conjugating enzyme E2C/UbcH10 in astrocytic tumors. Brain Res. 2008, 1201, 161–166. [Google Scholar] [CrossRef]
- Bose, M.V.; Gopisetty, G.; Selvaluxmy, G.; Rajkumar, T. Dominant negative Ubiquitin-conjugating enzyme E2C sensitizes cervical cancer cells to radiation. Int. J. Radiat. Biol. 2012, 88, 629–634. [Google Scholar] [CrossRef]
- Xie, C.; Powell, C.; Yao, M.; Wu, J.; Dong, Q. Ubiquitin-conjugating enzyme E2C: A potential cancer biomarker. Int. J. Biochem. Cell Biol. 2014, 47, 113–117. [Google Scholar] [CrossRef]
- van Ree, J.H.; Jeganathan, K.B.; Malureanu, L.; van Deursen, J.M. Overexpression of the E2 ubiquitin-conjugating enzyme UbcH10 causes chromosome missegregation and tumor formation. J. Cell Biol. 2010, 188, 83–100. [Google Scholar] [CrossRef]
- Chen, S.; Chen, Y.; Hu, C.; Jing, H.; Cao, Y.; Liu, X. Association of clinicopathological features with UbcH10 expression in colorectal cancer. J. Cancer Res. Clin. Oncol. 2010, 136, 419–426. [Google Scholar] [CrossRef]
- Psyrri, A.; Kalogeras, K.T.; Kronenwett, R.; Wirtz, R.M.; Batistatou, A.; Bournakis, E.; Timotheadou, E.; Gogas, H.; Aravantinos, G.; Christodoulou, C.; et al. Prognostic significance of UBE2C mRNA expression in high-risk early breast cancer. A Hellenic Cooperative Oncology Group (HeCOG) Study. Ann. Oncol. 2012, 23, 1422–1427. [Google Scholar] [CrossRef]
- Zhao, Z.K.; Wu, W.G.; Chen, L.; Dong, P.; Gu, J.; Mu, J.S.; Yang, J.H.; Liu, Y.B. Expression of UbcH10 in pancreatic ductal adenocarcinoma and its correlation with prognosis. Tumor. Biol. 2013, 34, 1473–1477. [Google Scholar] [CrossRef]
- Wang, J.; Xie, Y.; Bai, X.; Wang, N.; Yu, H.; Deng, Z.; Lian, M.; Yu, S.; Liu, H.; Xie, W.; et al. Targeting dual specificity protein kinase TTK attenuates tumorigenesis of glioblastoma. Oncotarget 2018, 9, 3081–3088. [Google Scholar] [CrossRef]
- Villegas-Ruiz, V.; Juarez-Mendez, S. Data Mining for Identification of Molecular Targets in Ovarian Cancer. Asian Pac. J. Cancer Prev. 2016, 17, 1691–1699. [Google Scholar] [CrossRef]
- Neapolitan, R.E.; Jiang, X. Study of integrated heterogeneous data reveals prognostic power of gene expression for breast cancer survival. Plos ONE 2015, 10, e0117658. [Google Scholar] [CrossRef]
- Yeganeh, P.N.; Richardson, C.; Bahrani-Mostafavi, Z.; Tait, D.L.; Mostafavi, M.T. Dysregulation of AKT3 along with a small panel of mRNAs stratifies high-grade serous ovarian cancer from both normal epithelia and benign tumor tissues. Genes Cancer 2017, 8, 784–798. [Google Scholar]
- Rahane, C.S.; Kutzner, A.; Heese, K. A cancer tissue-specific FAM72 expression profile defines a novel glioblastoma multiform (GBM) gene-mutation signature. J. Neurooncol. 2019, 141, 57–70. [Google Scholar] [CrossRef]
- Descotes, F.; Dessen, P.; Bringuier, P.P.; Decaussin, M.; Martin, P.M.; Adams, M.; Villers, A.; Lechevallier, E.; Rebillard, X.; Rodriguez-Lafrasse, C.; et al. Microarray gene expression profiling and analysis of bladder cancer supports the sub-classification of T1 tumors into T1a and T1b stages. Bju. Int. 2014, 113, 333–342. [Google Scholar] [CrossRef]
- Marie, S.K.; Okamoto, O.K.; Uno, M.; Hasegawa, A.P.; Oba-Shinjo, S.M.; Cohen, T.; Camargo, A.A.; Kosoy, A.; Carlotti, C.G. Jr.; Toledo, S.; et al. Maternal embryonic leucine zipper kinase transcript abundance correlates with malignancy grade in human astrocytomas. Int. J. Cancer 2008, 122, 807–815. [Google Scholar] [CrossRef]
- Zhang, P.; Mourad, R.; Xiang, Y.; Huang, K.; Huang, T.; Nephew, K.; Liu, Y.; Li, L. A dynamic time order network for time-series gene expression data analysis. BMC Syst. Biol. 2012, 6 (Suppl. 3), S9. [Google Scholar] [CrossRef]
- Townsley, F.M.; Aristarkhov, A.; Beck, S.; Hershko, A.; Ruderman, J.V. Dominant-negative cyclin-selective ubiquitin carrier protein E2-C/UbcH10 blocks cells in metaphase. Proc. Natl. Acad. Sci. USA 1997, 94, 2362–2367. [Google Scholar] [CrossRef]
- Lin, Y.; Hwang, W.C.; Basavappa, R. Structural and functional analysis of the human mitotic-specific ubiquitin-conjugating enzyme, UbcH10. J. Biol. Chem. 2002, 277, 21913–21921. [Google Scholar] [CrossRef]
- Qin, T.; Huang, G.; Chi, L.; Sui, S.; Song, C.; Li, N.; Sun, S.; Li, N.; Zhang, M.; Zhao, Z.; et al. Exceptionally high UBE2C expression is a unique phenomenon in basal-like type breast cancer and is regulated by BRCA1. Biomed. Pharm. 2017, 95, 649–655. [Google Scholar] [CrossRef]
- Mo, C.H.; Gao, L.; Zhu, X.F.; Wei, K.L.; Zeng, J.J.; Chen, G.; Feng, Z.B. The clinicopathological significance of UBE2C in breast cancer: A study based on immunohistochemistry, microarray and RNA-sequencing data. Cancer Cell Int. 2017, 17, 83. [Google Scholar] [CrossRef]
- Sharp, D.J.; Rogers, G.C.; Scholey, J.M. Microtubule motors in mitosis. Nature 2000, 407, 41–47. [Google Scholar] [CrossRef]
- Miki, H.; Setou, M.; Kaneshiro, K.; Hirokawa, N. All kinesin superfamily protein, KIF, genes in mouse and human. Proc. Natl. Acad. Sci. USA 2001, 98, 7004–7011. [Google Scholar] [CrossRef]
- Wiseman, S.M.; Masoudi, H.; Niblock, P.; Turbin, D.; Rajput, A.; Hay, J.; Bugis, S.; Filipenko, D.; Huntsman, D.; Gilks, B. Anaplastic thyroid carcinoma: Expression profile of targets for therapy offers new insights for disease treatment. Ann. Surg. Oncol. 2007, 14, 719–729. [Google Scholar] [CrossRef]
- Yang, S.; Liu, X.; Yin, Y.; Fukuda, M.N.; Zhou, J. Tastin is required for bipolar spindle assembly and centrosome integrity during mitosis. Faseb. J. 2008, 22, 1960–1972. [Google Scholar] [CrossRef][Green Version]
- Kufer, T.A.; Sillje, H.H.; Korner, R.; Gruss, O.J.; Meraldi, P.; Nigg, E.A. Human TPX2 is required for targeting Aurora-A kinase to the spindle. J. Cell. Biol. 2002, 158, 617–623. [Google Scholar] [CrossRef]
- Lens, S.M.; Voest, E.E.; Medema, R.H. Shared and separate functions of polo-like kinases and aurora kinases in cancer. Nat. Rev. Cancer 2010, 10, 825–841. [Google Scholar] [CrossRef]
- Mundt, K.E.; Golsteyn, R.M.; Lane, H.A.; Nigg, E.A. On the regulation and function of human polo-like kinase 1 (PLK1): Effects of overexpression on cell cycle progression. Biochem. Biophys. Res. Commun. 1997, 239, 377–385. [Google Scholar] [CrossRef]
- Diril, M.K.; Ratnacaram, C.K.; Padmakumar, V.C.; Du, T.; Wasser, M.; Coppola, V.; Tessarollo, L.; Kaldis, P. Cyclin-dependent kinase 1 (Cdk1) is essential for cell division and suppression of DNA re-replication but not for liver regeneration. Proc. Natl. Acad. Sci. USA 2012, 109, 3826–3831. [Google Scholar] [CrossRef]
- Li, L.; Qi, S.T.; Sun, Q.Y.; Chen, S.L. CENP-A regulates chromosome segregation during the first meiosis of mouse oocytes. J. Huazhong Univ. Sci. Technol. Med. Sci. 2017, 37, 313–318. [Google Scholar] [CrossRef]
- Wang, Z.; Wan, L.; Zhong, J.; Inuzuka, H.; Liu, P.; Sarkar, F.H.; Wei, W. Cdc20: A potential novel therapeutic target for cancer treatment. Curr. Pharm. Des. 2013, 19, 3210–3214. [Google Scholar] [CrossRef]
- Musa, J.; Aynaud, M.M.; Mirabeau, O.; Delattre, O.; Grunewald, T.G. MYBL2 (B-Myb): A central regulator of cell proliferation, cell survival and differentiation involved in tumorigenesis. Cell Death Dis. 2017, 8, e2895. [Google Scholar] [CrossRef]
- Musacchio, A.; Salmon, E.D. The spindle-assembly checkpoint in space and time. Nat. Rev. Mol. Cell Biol. 2007, 8, 379–393. [Google Scholar] [CrossRef]
- Krek, W.; Nigg, E.A. Differential phosphorylation of vertebrate p34cdc2 kinase at the G1/S and G2/M transitions of the cell cycle: Identification of major phosphorylation sites. Embo J. 1991, 10, 305–316. [Google Scholar] [CrossRef]
- Morgan, D.O. Principles of CDK regulation. Nature 1995, 374, 131–134. [Google Scholar] [CrossRef]
- Eberlein, A.; Takasuga, A.; Setoguchi, K.; Pfuhl, R.; Flisikowski, K.; Fries, R.; Klopp, N.; Furbass, R.; Weikard, R.; Kuhn, C. Dissection of genetic factors modulating fetal growth in cattle indicates a substantial role of the non-SMC condensin I complex, subunit G (NCAPG) gene. Genetics 2009, 183, 951–964. [Google Scholar] [CrossRef]
- Hu, R.; Wang, M.Q.; Niu, W.B.; Wang, Y.J.; Liu, Y.Y.; Liu, L.Y.; Wang, M.; Zhong, J.; You, H.Y.; Wu, X.H.; et al. SKA3 promotes cell proliferation and migration in cervical cancer by activating the PI3K/Akt signaling pathway. Cancer Cell Int. 2018, 18, 183. [Google Scholar] [CrossRef]
- Nicolau-Neto, P.; Palumbo, A.; De Martino, M.; Esposito, F.; de Almeida Simao, T.; Fusco, A.; Nasciutti, L.E.; Meireles Da Costa, N.; Ribeiro Pinto, L.F. UBE2C Is a Transcriptional Target of the Cell Cycle Regulator FOXM1. Genes (Basel) 2018, 9, 188. [Google Scholar] [CrossRef]
- Petermann, E.; Orta, M.L.; Issaeva, N.; Schultz, N.; Helleday, T. Hydroxyurea-stalled replication forks become progressively inactivated and require two different RAD51-mediated pathways for restart and repair. Mol. Cell 2010, 37, 492–502. [Google Scholar] [CrossRef]
- Helin, K. Regulation of cell proliferation by the E2F transcription factors. Curr. Opin. Genet. Dev. 1998, 8, 28–35. [Google Scholar] [CrossRef]
- Dyson, N. The regulation of E2F by pRB-family proteins. Genes Dev. 1998, 12, 2245–2262. [Google Scholar] [CrossRef]
- Harbour, J.W.; Dean, D.C. The Rb/E2F pathway: Expanding roles and emerging paradigms. Genes Dev. 2000, 14, 2393–2409. [Google Scholar] [CrossRef]
- Trimarchi, J.M.; Lees, J.A. Sibling rivalry in the E2F family. Nat. Rev. Mol. Cell Biol. 2002, 3, 11–20. [Google Scholar] [CrossRef]
- Nath, S.; Banerjee, T.; Sen, D.; Das, T.; Roychoudhury, S. Spindle assembly checkpoint protein Cdc20 transcriptionally activates expression of ubiquitin carrier protein UbcH10. J. Biol. Chem. 2011, 286, 15666–15677. [Google Scholar] [CrossRef]
- Tang, Z.; Li, C.; Kang, B.; Gao, G.; Li, C.; Zhang, Z. GEPIA: A web server for cancer and normal gene expression profiling and interactive analyses. Nucleic Acids Res 2017, 45, W98–W102. [Google Scholar] [CrossRef]
- Chandrashekar, D.S.; Bashel, B.; Balasubramanya, S.A.H.; Creighton, C.J.; Ponce-Rodriguez, I.; Chakravarthi, B.; Varambally, S. UALCAN: A Portal for Facilitating Tumor Subgroup Gene Expression and Survival Analyses. Neoplasia 2017, 19, 649–658. [Google Scholar] [CrossRef]
- Szklarczyk, D.; Franceschini, A.; Wyder, S.; Forslund, K.; Heller, D.; Huerta-Cepas, J.; Simonovic, M.; Roth, A.; Santos, A.; Tsafou, K.P.; et al. STRING v10: Protein-protein interaction networks, integrated over the tree of life. Nucleic Acids Res. 2015, 43, D447–D452. [Google Scholar] [CrossRef]





| Tumor | Histological Subtypes | Molecular Subtypes | Tumor Grade | Other Patient Conditions |
|---|---|---|---|---|
| BLCA | N-vs.-Papillary tumors: p < 10−12 N-vs.-NonPapillary tumors: p < 10−12 | N-vs.-Neuronal: p < 10−8; N-vs.-Basal squamous: p < 10−12; N-vs.-Luminal: p < 10−10; N-vs.-Luminal_Infiltrated: p < 10−9; N-vs.-Luminal_Papillary: p < 10−12 | ||
| KIRC | N-vs.-ccA subtype: p = 10−8 N-vs.-ccB subtype: p < 10−8 | N-vs.-G 1: p < 10−3 N-vs.-G 2: p < 10−11 N-vs.-G 3: p < 10−9 N-vs.-G 4: p < 10−6 | ||
| KIRP | N-VS.-Type1 PRCC: p < 10−12 N-VS.-Type2 PRCC: p < 10−7 N-VS.-KIRP CIMP: p < 10−3 N-VS.-Unclassified PRCC: p < 10−3 | |||
| PRAD | N-vs.-ERG fusion: p < 10−5 N-vs.-ETV1 fusion: p < 10−3 N-vs.-SPOP mutation: p < 10−5 | N-vs.-Gleason score 7: p < 10−3 N-vs.-Gleason score 8: p < 10−5 N-vs.-Gleason score 9: p < 10−4 | ||
| BRCA | N-vs.-IDC: p < 10−12 N-vs.-ILC: p < 10−12 N-vs.-Mixed: p < 10−6 N-vs.-Other: p < 10−7 N-vs.-Mucinous: p < 10−3 N-vs.-Metaplastic: p < 10−3 N-vs.-Medullary: p < 10−3 | N-vs.-Luminal: p < 10−12 N-vs.-HER2 Positive: p < 10−10 N-vs.-TNBC: p < 10−12 N-vs.-TNBC-BL1: p < 10−7 N-vs.-TNBC-BL2: p < 10−8 N-vs.-TNBC-IM: p < 10−8 N-vs.-TNBC-LAR: p < 10−3 N-vs.-TNBC-MSL: p < 10−4 N-vs.-TNBC-M: p < 10−10 N-vs.-TNBC-UNS: p < 10−5 | N-vs.-Pre-Menopause: p < 10−12 N-vs.-Peri-Menopause: p < 10−6 N-vs.-Post-Menopause: p < 10−12 | |
| COAD | N-vs.-Adenocarcinoma: p < 10−12 N-vs.-Mucinous-adenocarcinoma: p < 10−11 | |||
| ESCA | N-vs.-Adenocarcinoma: p < 10−12 N-vs.-Squamous-cell-carcinoma: p < 10−12 | G 2-vs.-G 3: p < 10−8 | ||
| HNSC | N-vs.-G 1: p < 10−12 N-vs.-G 2: p < 10−12 N-vs.-G 3: p < 10−12 N-vs.-G 4: p < 10−5 | N-vs.-HPV+ve: p < 10−11 N-vs.-HPV-ve: p < 10−12 | ||
| LIHC | N-vs.-G 1: p < 10−5 N-vs.-G 2: p < 10−12 N-vs.-G 3: p < 10−12 N-vs.-G 4: p < 10−3 | |||
| PAAD | G1-vs.-G 2: p = 0.014 G1-vs.-G3: p = 0.0062 | N-vs.-Weekly Drinker: p = 0.025 N-vs.-Occasional Drinker: p < 10−3 N-vs.-Diabetic: p < 10−4 N-vs.-NonDiabetic: p < 10−7 N-vs.-Pancreatitis: p < 10−4 N-vs.-NoPancreatitis: p < 10−7 | ||
| READ | N-vs.-Adenocarcinoma: p < 10−12 N-vs.-Mucinous-adenocarcinoma: p < 10−3 | |||
| STAD | N-vs.-Adenocarcinoma (NOS): p < 10−12 N-vs.-Adenocarcinoma (Diffuse): p < 10−10 N-vs.-Adenocarcinoma (Signet Ring): p < 10−3 N-vs.-Intestinal Adenocarcinoma (NOS): p < 10−12 N-vs.-IntestinalAdenocarcinoma (Tubular): p < 10−12 N-vs.-IntestinalAdenocarcinoma (Mucinous): p < 10−4 N-vs.-IntestinalAdenocarcinoma (Papillary): p = 0.017 | N-vs.-G 1: p = 0.0057 N-vs.-G 2: p < 10−12 N-vs.-G 3: p < 10−12 G 1-vs.-G 3: p = 0 | N-vs.-Tumors (with H. pylori infection): p < 10−4 N-vs.-Tumors (without H. pylori infection): p < 10−12 N-vs.-Tumors (Not available): p < 10−12 | |
| LUAD | N-vs.-NOS: p < 10−12 N-vs.-Mixed: p < 10−14 N-vs.-LBC-NonMucinous: p < 10−4 N-vs.-SolidPatternPredominant: p = 0.019 N-vs.-Acinar: p < 10−5 N-vs.-LBC-Mucinous: p < 10−5 N-vs.-Mucinous carcinoma: p < 10−3 N-vs.-Papillary: p < 10−4 | |||
| LUSC | N-vs.-NOS: p < 10−12 N-vs.-Basaloid: p < 10−5 N-vs.-Papillary: p = 0.018 | |||
| UCEC | N-vs.-Endometrioid: p < 10−12 N-vs.-Serous: p < 10−12 N-vs.-Mixed serous and endometrioid: p < 10−7 | N-vs.-Pre-Menopause: p < 10−9 N-vs.-Peri-Menopause: p < 10−4 N-vs.-Post-Menopause: p < 10−12 | ||
| THCA | Classical-VS.-Follicular: p < 10−5 Tall-VS.-Follicular: p < 10−3 |
| Genes with Strong to very Strong Positive UBE2C Expression Correlations in all 27 Cancers | Genes with Strong to very Strong Positive UBE2C Expression Correlations in 26 Cancers, but Moderate Positive Correlation in One Cancer | Genes with Strong to very Strong Positive UBE2C Expression Correlations in Several Cancers, but Moderate in Few Cancers | Gene with Negative Correlation with UBE2C Expression in TGCT Cancer |
| MYBL2, TROAP, CDC20, CENPA, KIFC1, CDK1, KIF4A, and KIF20A. | TPX2, PLK1, AURKB, NCAPG, CCNB1, SKA3, and KIF18B. | CDCA3, HJURP, UBE2T, MAD2L1, DLGAP5, MELK, RNASEH2A, KIF23, FAM72D, and FEN1 | KIF2C, CDCA5, CDC25C, BUB1, MTFR2, KIF15, CDKN3, CKS2, BUB1B, ASF1B, NUF2, PLK4, TTK, POC1A, UBE2S, AUNIP, NEK2, DSN1, BRCA2, CYLD, ATM, ATR, and TSPYL2 |
| Gene with negative correlation with UBE2C expression in different cancers | Positive expression correlation between UBE2C and genes having TF binding sites on both promoter and enhancer regions of UBE2C in different cancers | ||
| BRCA1 in THCA BRCA2 in TGCT CHK2 in KICH, and THYM CYLD in COAD, KIRP, LUAD, LUSC, PRAD, READ, SKCM, STAD, THCA, UCEC, ACC, LAML, OV, UCS, THYM, GBM, TGCT ATM in BLCA, BRCA, COAD, KIRC, LUAD, LUSC, PAAD, READ, STAD, THCA, UCEC, ACC, OV, UCS, THYM, GBM, HNSC, TGCT ATR in LUAD, SKCM, THCA, UCEC, ACC, OV, UCS, TGCT TP53 in KICH TSPYL2 in BLCA, BRCA, COAD, ESCA, KICH, LIHC, LUAD, LUSC, PAAD, PRAD, READ, SKCM, STAD, THCA, UCEC, ACC, OV, UCS, THYM, LGG, GBM, HNSC, TGCT | BRCA (FOXM1: R = 0.69; E2F1: R = 0.7; RAD51: R = 0.67) ESCA (FOXM1: R = 0.79; E2F1: R = 0.82; RAD51: R = 0.83) KICH (FOXM1: R = 0.84; E2F1: R = 0.83; RAD51: R = 0.63) KIRC (FOXM1: R = 0.73; E2F1: R = 0.7; RAD51: R = 0.72) LUSC (FOXM1: R = 0.72; E2F1: R = 0.67; RAD51: R = 0.7) PAAD (FOXM1: R = 0.82; E2F1: R = 0.88; RAD51: R = 0.86) READ (FOXM1: R = 0.73; E2F1: R = 0.86; RAD51: R = 0.74) SKCM (FOXM1: R = 0.76; E2F1: R = 0.7, RAD51: R = 67) UCEC (FOXM1: R = 0.7; E2F1: R = 0.75; RAD51: R = 0.66) ACC (FOXM1: R = 0.84; E2F1: R = 0.69; RAD51: R = 0.86) DLBC (FOXM1: R = 0.89; E2F1: R = 0.82; RAD51: R = 0.9) THYM (FOXM1: R = 0.72; E2F1: R = 0.84; RAD51: R = 0.82) LGG (FOXM1: R = 0.9; E2F1: R = 0.8; RAD51: R = 0.94) GBM (FOXM1: R = 0.87; E2F1: R = 0.75; RAD51: R = 0.87) | ||
| Positive correlation between UBE2C and tumor suppressor genes in cancers | |||
| BUB1B: Strong and very strong (BLCA, BRCA, COAD, ESCA, KICH, KIRC, KIRP, LIHC, LUAD, LUSC, PAAD, READ, SKCM, STAD, UCEC, ACC, DLBC, LAML, UCS, THYM, GBM, HNSC); Moderate (PRAD, THCA, OV); Weak (LGG) BRCA1: Strong and very strong (COAD, ESCA, LUAD, LUSC, PAAD, READ, ACC, DLBC, LAML, LGG, GBM); Moderate (BLCA, KICH, KIRC, KIRP, LIHC, PRAD, SKCM, STAD, OV, UCS, THYM, HNSC); Weak (BRCA and UCEC); Very weak (TGCT) BRCA2: Strong and very strong (COAD, ESCA, READ, DLBC, LAML, LGG, GBM); Moderate (BLCA, BRCA, KIRP, LIHC, LUAD, LUSC, PAAD, SKCM, STAD, UCEC, ACC, OV, and UCS); Weak (KICH, KIRC, PRAD, THCA, HNSC); Very weak (THYM) CHK2: Strong and very strong (COAD, LUSC, PAAD, READ, UCEC, DLBC, LAML, LGG, GBM, TGCT); Moderate (BLCA, BRCA, ESCA, KIRC, LUAD, SKCM, STAD, UCS, HNSC); Weak (LIHC, PRAD, THCA, ACC); Very weak (KIRP and OV) TP53: Strong and very strong (ESCA, PAAD, READ, DLBC, LAML, THYM, LGG, GBM, TGCT); Moderate (COAD, LIHC, LUSC, UCS); Weak (KIRP, LUAD, STAD, THCA, UCEC, ACC); Very weak (BLCA, BRCA, KIRC, PRAD, SKCM, OV, HNSC) ATM: Weak (DLBC); Very weak (ESCA, KICH, KIRP, LIHC, PRAD, SKCM, DLBC, LGG) ATR: Strong and very strong (DLBC and LAML); Moderate (ESCA, PAAD, THYM); Weak (BLCA, COAD, KICH, KIRC, STAD, HNSC); Very weak (BRCA, KIRP, LIHC, LUSC, PRAD, READ, LGG, GBM) CYLD: Weak (PAAD, DLBC); Very weak (BLCA, BRCA, ESCA, KICH, LIHC, LGG, HNSC) | |||
| Genes | Cancers with Overexpression of Proposed Cancer Target Genes (Normal-vs.-Primary) | OS (Higher Expression Levels-vs.-Lower Expression Levels) |
|---|---|---|
| MTFR2 (FAM54A) | BLCA (p-value < 10−16), BRCA (p-value < 10−12), Metastatic breast cancer (MYC-amplification (+) vs. MYC-amplification (-): p-value < 10−12, CCND1-amplification (+) vs. CCND1-amplification (−): p-value < 10−12, ERBB2-amplification (+) vs. ERBB2-amplification (−): p-value < 10−12), CESC (p-value < 10−12), COAD (p-value < 10−12), ESCA (p-value < 10−12), GBM (p-value < 10−12), HNSC (p-value < 10−12), KICH (p-value = 0.017), KIRC (p-value < 10−12), KIRP (p-value < 10−12), LIHC (p-value < 10−12), LUAD (p-value < 10−12), LUSC (p-value < 10−12), PRAD (p-value < 10−5, Molecular subtypes of PRAD: Normal-vs.-ERG fusion: p-value < 10−3, Normal-vs.-ETV1 fusion: p-value < 10−3, Normal-vs.-SPOP mutation: p-value < 10−3), Metastatic prostate cancer (ERG-fusion (+) vs. ERG-fusion (-): p-value < 10−12, AR-amplification (+) vs. AR-amplification (−): p-value < 10−12), READ (p-value < 10−6), STAD (p-value < 10−12), UCEC (p-value < 10−12). | ACC (p-value < 0.0001) LGG (p-value < 0.0001) KICH (p-value < 0.0001) KIRC (p-value < 0.0001) KIRP (p-value < 0.0001) LIHC (p-value = 0.00018) UCEC (p-value = 0.043) |
| MND1 | BLCA (p-value < 10−6), BRCA (p-value < 10−12), COAD (p-value < 10−12), ESCA (p-value < 10−12), CESC (p-value = p-value < 10−12), HNSC (p-value < 10−12), KICH (p-value < 10−9), KIRC (p-value < 10−12), KIRP (Normal-vs.-Primary: p-value < 10−15), LIHC (p-value < 10−12), LUAD (p-value < 10−12), LUSC (p-value < 10−12), PRAD (p-value < 10−8, Molecular subtypes of PRAD: Normal-vs.-ERG fusion: p-value < 10−4, Normal-vs.-ETV1 fusion: p-value < 10−3, Normal-vs.-ETV4 fusion: p-value < 10−4), READ (p-value < 10−8), STAD (p-value < 10−12), THCA (p-value = 0.0348), UCEC (p-value < 10−12). | ACC (p-value = 0.016) LGG (p-value < 0.0001) KICH (p-value = 0.00025) KIRC (p-value = 0.046) KIRP (p-value < 0.0001) LIHC (p-value = 0.0054) LUAD (p-value = 0.0034) PAAD (p-value = 0.048) SKCM (p-value = 0.047) |
| FAM72D | BLCA (p-value < 10−12), BRCA (p-value < 10−12), Metastatic breast cancer (amplification (+) vs. ERBB2-amplification (−): p-value < 10−2), COAD (p-value < 10−12), ESCA (p-value < 10−12), GBM (p-value < 10−12), HNSC (p-value < 10−12), KIRC (p-value < 10−12), KIRP (p-value < 10−13), LIHC (p-value < 10−12), LUAD (p-value < 10−12), LUSC (p-value < 10−12), PRAD (p-value < 10−10, Molecular subtypes of PRAD: Normal-vs.-ERG fusion: p-value < 10−7, Normal-vs.-ETV1 fusion: p-value < 10−3, Normal-vs.-SPOP mutation: p-value < 10−5), READ (p-value < 10−11), STAD (p-value < 10−12), UCEC (p-value < 10−12). | ACC (p-value < 0.0001) LGG (p-value < 0.0001) BRCA (p-value = 0.041) KICH (p-value = 0.0012) KIRC (p-value < 0.0001) KIRP (p-value < 0.0001) LIHC (p-value = 0.0024) LUAD (p-value = 0.009) |
| POC1A | BLCA (p-value < 10−10), BRCA (p-value < 10−12), Metastatic breast cancer (amplification (+) vs. ERBB2-amplification (−): p-value: 0.0279), CESC (p-value < 10−9), COAD (p-value < 10−12), ESCA (p-value < 10−11), GBM (p-value < 10−12), HNSC (p-value < 10−12), KICH (p-value: 0.016), KIRP (p-value < 10−5), LIHC (p-value < 10−12), LUAD (p-value < 10−12), LUSC (p-value < 10−12), PRAD (p-value < 10−15, Molecular subtypes of PRAD: Normal-vs.-ERG fusion: p-value < 10−7, Normal-vs.-ETV1 fusion: p-value < 10−3, Normal-vs.-ETV4 fusion: p-value < 10−2, Normal-vs.-SPOP mutation: p-value < 10−10), READ (p-value < 10−5), STAD (p-value < 10−16), THCA (p-value < 10−8), UCEC (p-value < 10−12). | ACC (p-value < 0.0001) LGG (p-value < 0.0001) KICH (p-value = 0.00017) KIRC (p-value < 0.0001) KIRP (p-value < 0.0001) LIHC (p-value = 0.028) LUAD (p-value = 0.0094) OV (p-value = 0.039) PAAD (p-value = 0.012) SKCM (p-value = 0.0039) STAD (p-value = 0.013) |
| KEGG Number | Cellular Process | Protein Gene |
|---|---|---|
| hsa04110 | Cell cycle | ATM, ATR, BUB1, BUB1B, CCNA2, CCNB1, CCNB2, CDC20, CDC25A, CDC25C, CDK1, CHEK1, E2F1, MAD2L1, ORC6, PLK1, TP53, TTK, CHEK2 |
| hsa04114 | Oocyte meiosis | AURKA, BUB1, CCNB1, CCNB2, CDC20, CDC25C, CDK1, MAD2L1, PLK1, SGOL1 |
| hsa04914 | Progesterone-mediated oocyte maturation | AURKA, BUB1, CCNA2, CCNB1, CCNB2, CDC25A, CDC25C, CDK1, MAD2L1, PLK1 |
| hsa04218 | Cellular senescence | ATM, ATR, CCNA2, CCNB1, CCNB2, CCNE1, CCNE2, CDC25A, CDK1, CHEK1, CHEK2, E2F1, FOXM1, MYBL2, TP53 |
| hsa04115 | p53 signaling pathway | ATM, ATR, CCNB1, CCNB2, CDK1, CDKN1A, CHEK1, CHEK2, GTSE1, MDM2, TP53 |
| hsa04120 | Ubiquitin mediated proteolysis | BRCA1, CDC20, UBE2C, UBE2S |
| hsa04068 | FoxO signaling pathway | ATM, CCNB1, CCNB2, CDKN1B, PLK1, PLK4 |
| hsa03030 | DNA replication | FEN1, RNASEH2A |
| hsa03440 | Homologous recombination | ATM, BRCA1, BRCA2, RAD54L |
| hsa01522 | Endocrine resistance | E2F1, TP53 |
| hsa03460 | Fanconi anemia pathway | ATR, BRCA1, BRCA2, UBE2T |
| hsa05200 | Pathways in cancer | BRCA2, CKS2, E2F1, TP53 |
| hsa04151 | PI3K-Akt signaling pathway | BRCA1, TP53 |
| hsa05202 | Transcriptional misregulation in cancer | ATM, TP53 |
| hsa03410 | Base excision repair | FEN1 |
| hsa05222 | Small cell lung cancer | CKS2, E2F1, TP53 |
| hsa05215 | Prostate cancer | E2F1, TP53 |
| hsa05226 | Gastric cancer | E2F1, TP53 |
| hsa05220 | Chronic myeloid leukemia | E2F1, TP53 |
| hsa05219 | Bladder cancer | E2F1, TP53 |
| hsa05214 | Glioma | E2F1, TP53 |
| hsa05218 | Melanoma | E2F1, TP53 |
| hsa05212 | Pancreatic cancer | BRCA2, E2F1, TP53 |
| hsa05224 | Breast cancer | BRCA1, BRCA2, E2F1, TP53 |
| hsa05223 | Non-small cell lung cancer | E2F1, TP53 |
© 2019 by the authors. Licensee MDPI, Basel, Switzerland. This article is an open access article distributed under the terms and conditions of the Creative Commons Attribution (CC BY) license (http://creativecommons.org/licenses/by/4.0/).
Share and Cite
Dastsooz, H.; Cereda, M.; Donna, D.; Oliviero, S. A Comprehensive Bioinformatics Analysis of UBE2C in Cancers. Int. J. Mol. Sci. 2019, 20, 2228. https://doi.org/10.3390/ijms20092228
Dastsooz H, Cereda M, Donna D, Oliviero S. A Comprehensive Bioinformatics Analysis of UBE2C in Cancers. International Journal of Molecular Sciences. 2019; 20(9):2228. https://doi.org/10.3390/ijms20092228
Chicago/Turabian StyleDastsooz, Hassan, Matteo Cereda, Daniela Donna, and Salvatore Oliviero. 2019. "A Comprehensive Bioinformatics Analysis of UBE2C in Cancers" International Journal of Molecular Sciences 20, no. 9: 2228. https://doi.org/10.3390/ijms20092228
APA StyleDastsooz, H., Cereda, M., Donna, D., & Oliviero, S. (2019). A Comprehensive Bioinformatics Analysis of UBE2C in Cancers. International Journal of Molecular Sciences, 20(9), 2228. https://doi.org/10.3390/ijms20092228

