Clinical Implications of Discordant Early Molecular Responses in CML Patients Treated with Imatinib
Abstract
1. Introduction
2. Results
2.1. Patient Responses and ELN Outcomes
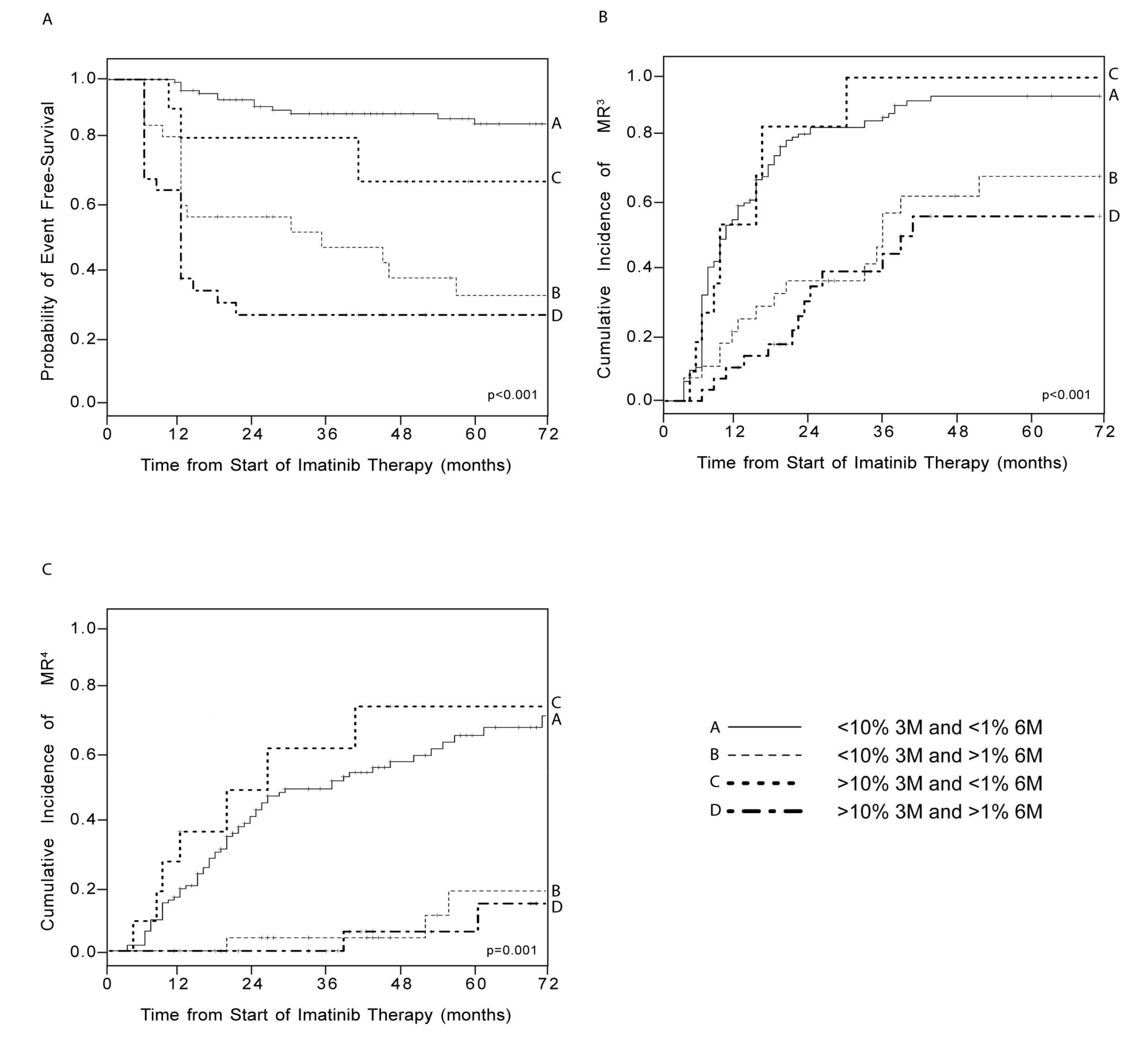
2.2. Probability of Event-Free Survival and Molecular Response According to BCR-ABL1/ABL1IS Transcripts at 3 and 6 Months
2.3. Correlation between BCR-ABL1/GUSIS Levels at Diagnosis and BCR-ABL1/ABL1IS Transcripts at 3 and 6 Months
2.4. Correlation between Risk Scores at Diagnosis and BCR-ABL1/ABL1IS Transcripts at 3 and 6 Months
3. Discussion
4. Materials and Methods
4.1. Patient Characteristics and Treatment
4.2. Hematologic, Cytogenetic, and Molecular Analyses Response
4.3. Statistical Analysis
Supplementary Materials
Author Contributions
Funding
Conflicts of Interest
Abbreviations
| ABL | Abelson murine leukemia |
| BOS | bosutinib |
| CCyR | complete cytogenetic response |
| CML | chronic myeloid leukemia |
| CHR | complete hematological response |
| DAS | dasatinib |
| ELN | European Leukemia Net |
| ELTS | EUTOS long-term survival |
| EFSFFS | event-free survivalfailure-free survival |
| GUS | β-glucuronidase |
| IM | imatinib mesylate |
| MR | molecular responses |
| NCCN | National Comprehensive Cancer Network |
| NIL | nilotinib |
| OR | optimal response |
| OS | overall survival |
| Ph | Philadelphia chromosome |
| PON | ponatinib |
| PFS | Progression-free survival |
| TKI | tyrosine kinase inhibitor |
| TFR | treatment-free remission |
References
- Stagno, F.; Stella, S.; Spitaleri, A.; Pennisi, M.S.; Di Raimondo, F.; Vigneri, P. Imatinib mesylate in chronic myeloid leukemia: Frontline treatment and long-term outcomes. Expert Rev. Anticancer Ther. 2016, 16, 273–278. [Google Scholar] [CrossRef] [PubMed]
- Ren, R. Mechanisms of BCR-ABL in the pathogenesis of chronic myelogenous leukaemia. Nat. Rev. Cancer 2005, 5, 172–183. [Google Scholar] [CrossRef]
- Massimino, M.; Consoli, M.L.; Mesuraca, M.; Stagno, F.; Tirro, E.; Stella, S.; Pennisi, M.S.; Romano, C.; Buffa, P.; Bond, H.M.; et al. IRF5 is a target of BCR-ABL kinase activity and reduces CML cell proliferation. Carcinogenesis 2014, 35, 1132–1143. [Google Scholar] [CrossRef] [PubMed]
- Giallongo, C.; Tibullo, D.; La Cava, P.; Branca, A.; Parrinello, N.; Spina, P.; Stagno, F.; Conticello, C.; Chiarenza, A.; Vigneri, P.; et al. BRIT1/MCPH1 expression in chronic myeloid leukemia and its regulation of the G2/M checkpoint. Acta Haematol. 2011, 126, 205–210. [Google Scholar] [CrossRef] [PubMed]
- Preyer, M.; Vigneri, P.; Wang, J.Y. Interplay between kinase domain autophosphorylation and F-actin binding domain in regulating imatinib sensitivity and nuclear import of BCR-ABL. PLoS ONE 2011, 6, e17020. [Google Scholar] [CrossRef] [PubMed]
- Stella, S.; Tirro, E.; Conte, E.; Stagno, F.; Di Raimondo, F.; Manzella, L.; Vigneri, P. Suppression of survivin induced by a BCR-ABL/JAK2/STAT3 pathway sensitizes imatinib-resistant CML cells to different cytotoxic drugs. Mol. Cancer Ther. 2013, 12, 1085–1098. [Google Scholar] [CrossRef] [PubMed]
- Manzella, L.; Tirro, E.; Pennisi, M.S.; Massimino, M.; Stella, S.; Romano, C.; Vitale, S.R.; Vigneri, P. Roles of Interferon Regulatory Factors in Chronic Myeloid Leukemia. Curr. Cancer Drug Targets 2016, 16, 594–605. [Google Scholar] [CrossRef] [PubMed]
- Druker, B.J.; Guilhot, F.; O’Brien, S.G.; Gathmann, I.; Kantarjian, H.; Gattermann, N.; Deininger, M.W.; Silver, R.T.; Goldman, J.M.; Stone, R.M.; et al. Five-year follow-up of patients receiving imatinib for chronic myeloid leukemia. N. Engl. J. Med. 2006, 355, 2408–2417. [Google Scholar] [CrossRef] [PubMed]
- Hochhaus, A.; Larson, R.A.; Guilhot, F.; Radich, J.P.; Branford, S.; Hughes, T.P.; Baccarani, M.; Deininger, M.W.; Cervantes, F.; Fujihara, S.; et al. Long-Term Outcomes of Imatinib Treatment for Chronic Myeloid Leukemia. N. Engl. J. Med. 2017, 376, 917–927. [Google Scholar] [CrossRef]
- Baccarani, M.; Deininger, M.W.; Rosti, G.; Hochhaus, A.; Soverini, S.; Apperley, J.F.; Cervantes, F.; Clark, R.E.; Cortes, J.E.; Guilhot, F.; et al. European LeukemiaNet recommendations for the management of chronic myeloid leukemia: 2013. Blood 2013, 122, 872–884. [Google Scholar] [CrossRef]
- Rosti, G.; Castagnetti, F.; Gugliotta, G.; Baccarani, M. Tyrosine kinase inhibitors in chronic myeloid leukaemia: Which, when, for whom? Nat. Rev. Clin. Oncol. 2017, 14, 141–154. [Google Scholar] [CrossRef]
- Buffa, P.; Romano, C.; Pandini, A.; Massimino, M.; Tirro, E.; Di Raimondo, F.; Manzella, L.; Fraternali, F.; Vigneri, P.G. BCR-ABL residues interacting with ponatinib are critical to preserve the tumorigenic potential of the oncoprotein. FASEB J. Off. Publ. Fed. Am. Soc. Exp. Biol. 2014, 28, 1221–1236. [Google Scholar] [CrossRef]
- Stagno, F.; Vigneri, P.; Consoli, M.L.; Cupri, A.; Stella, S.; Tambe, L.; Massimino, M.; Manzella, L.; Di Raimondo, F. Hyperdiploidy associated with a high BCR-ABL transcript level may identify patients at risk of progression in chronic myeloid leukemia. Acta Haematol. 2012, 127, 7–9. [Google Scholar] [CrossRef]
- Jordanides, N.E.; Jorgensen, H.G.; Holyoake, T.L.; Mountford, J.C. Functional ABCG2 is overexpressed on primary CML CD34+ cells and is inhibited by imatinib mesylate. Blood 2006, 108, 1370–1373. [Google Scholar] [CrossRef]
- Wagle, M.; Eiring, A.M.; Wongchenko, M.; Lu, S.; Guan, Y.; Wang, Y.; Lackner, M.; Amler, L.; Hampton, G.; Deininger, M.W.; et al. A role for FOXO1 in BCR-ABL1-independent tyrosine kinase inhibitor resistance in chronic myeloid leukemia. Leukemia 2016, 30, 1493–1501. [Google Scholar] [CrossRef]
- Massimino, M.; Stella, S.; Tirro, E.; Romano, C.; Pennisi, M.S.; Puma, A.; Manzella, L.; Zanghi, A.; Stagno, F.; Di Raimondo, F.; et al. Non ABL-directed inhibitors as alternative treatment strategies for chronic myeloid leukemia. Mol. Cancer 2018, 17, 56. [Google Scholar] [CrossRef]
- Ishii, Y.; Nhiayi, M.K.; Tse, E.; Cheng, J.; Massimino, M.; Durden, D.L.; Vigneri, P.; Wang, J.Y. Knockout Serum Replacement Promotes Cell Survival by Preventing BIM from Inducing Mitochondrial Cytochrome C Release. PLoS ONE 2015, 10, e0140585. [Google Scholar] [CrossRef]
- Wang, J.; Yao, X.; Huang, J. New tricks for human farnesyltransferase inhibitor: Cancer and beyond. Med. Chem. Comm. 2017, 8, 841–854. [Google Scholar] [CrossRef]
- Sokal, J.E.; Cox, E.B.; Baccarani, M.; Tura, S.; Gomez, G.A.; Robertson, J.E.; Tso, C.Y.; Braun, T.J.; Clarkson, B.D.; Cervantes, F.; et al. Prognostic discrimination in “good-risk” chronic granulocytic leukemia. Blood 1984, 63, 789–799. [Google Scholar]
- Hasford, J.; Baccarani, M.; Hoffmann, V.; Guilhot, J.; Saussele, S.; Rosti, G.; Guilhot, F.; Porkka, K.; Ossenkoppele, G.; Lindoerfer, D.; et al. Predicting complete cytogenetic response and subsequent progression-free survival in 2060 patients with CML on imatinib treatment: The EUTOS score. Blood 2011, 118, 686–692. [Google Scholar] [CrossRef]
- Pfirrmann, M.; Baccarani, M.; Saussele, S.; Guilhot, J.; Cervantes, F.; Ossenkoppele, G.; Hoffmann, V.S.; Castagnetti, F.; Hasford, J.; Hehlmann, R.; et al. Prognosis of long-term survival considering disease-specific death in patients with chronic myeloid leukemia. Leukemia 2016, 30, 48–56. [Google Scholar] [CrossRef] [PubMed]
- Hoffmann, V.S.; Baccarani, M.; Lindoerfer, D.; Castagnetti, F.; Turkina, A.; Zaritsky, A.; Hellmann, A.; Prejzner, W.; Steegmann, J.L.; Mayer, J.; et al. The EUTOS prognostic score: Review and validation in 1288 patients with CML treated frontline with imatinib. Leukemia 2013, 27, 2016–2022. [Google Scholar] [CrossRef] [PubMed]
- Marin, D.; Ibrahim, A.R.; Lucas, C.; Gerrard, G.; Wang, L.; Szydlo, R.M.; Clark, R.E.; Apperley, J.F.; Milojkovic, D.; Bua, M.; et al. Assessment of BCR-ABL1 transcript levels at 3 months is the only requirement for predicting outcome for patients with chronic myeloid leukemia treated with tyrosine kinase inhibitors. J. Clin. Oncol. Off. J. Am. Soc. Clin. Oncol. 2012, 30, 232–238. [Google Scholar] [CrossRef] [PubMed]
- Hanfstein, B.; Muller, M.C.; Hehlmann, R.; Erben, P.; Lauseker, M.; Fabarius, A.; Schnittger, S.; Haferlach, C.; Gohring, G.; Proetel, U.; et al. Early molecular and cytogenetic response is predictive for long-term progression-free and overall survival in chronic myeloid leukemia (CML). Leukemia 2012, 26, 2096–2102. [Google Scholar] [CrossRef] [PubMed]
- Vigneri, P.; Stagno, F.; Stella, S.; Cupri, A.; Forte, S.; Massimino, M.; Antolino, A.; Siragusa, S.; Mannina, D.; Impera, S.S.; et al. High BCR-ABL/GUS(IS) Levels at Diagnosis of Chronic Phase CML Are Associated with Unfavorable Responses to Standard-Dose Imatinib. Clin. Cancer Res. Off. J. Am. Assoc. Cancer Res. 2017, 23, 7189–7198. [Google Scholar] [CrossRef] [PubMed]
- Bonecker, S.; Magnago, M.; Kaeda, J.; Solza, C.; Zalcberg Renault, I. Is the BCR-ABL/GUSB transcript level at diagnosis an early predictive marker for chronic myeloid leukemia patients treated with imatinib? Rev. Bras. De Hematol. E Hemoter. 2015, 37, 142–143. [Google Scholar] [CrossRef][Green Version]
- Marin, D.; Hedgley, C.; Clark, R.E.; Apperley, J.; Foroni, L.; Milojkovic, D.; Pocock, C.; Goldman, J.M.; O’Brien, S. Predictive value of early molecular response in patients with chronic myeloid leukemia treated with first-line dasatinib. Blood 2012, 120, 291–294. [Google Scholar] [CrossRef] [PubMed][Green Version]
- Neelakantan, P.; Gerrard, G.; Lucas, C.; Milojkovic, D.; May, P.; Wang, L.; Paliompeis, C.; Bua, M.; Reid, A.; Rezvani, K.; et al. Combining BCR-ABL1 transcript levels at 3 and 6 months in chronic myeloid leukemia: Implications for early intervention strategies. Blood 2013, 121, 2739–2742. [Google Scholar] [CrossRef]
- Kim, D.D.; Hamad, N.; Lee, H.G.; Kamel-Reid, S.; Lipton, J.H. BCR/ABL level at 6 months identifies good risk CML subgroup after failing early molecular response at 3 months following imatinib therapy for CML in chronic phase. Am. J. Hematol. 2014, 89, 626–632. [Google Scholar] [CrossRef]
- Saussele, S.; Richter, J.; Hochhaus, A.; Mahon, F.X. The concept of treatment-free remission in chronic myeloid leukemia. Leukemia 2016, 30, 1638–1647. [Google Scholar] [CrossRef]
- Kantarjian, H.M.; Dixon, D.; Keating, M.J.; Talpaz, M.; Walters, R.S.; McCredie, K.B.; Freireich, E.J. Characteristics of accelerated disease in chronic myelogenous leukemia. Cancer 1988, 61, 1441–1446. [Google Scholar] [CrossRef]
- Stagno, F.; Vigneri, P.; Del Fabro, V.; Stella, S.; Cupri, A.; Massimino, M.; Consoli, C.; Tambe, L.; Consoli, M.L.; Antolino, A.; et al. Influence of complex variant chromosomal translocations in chronic myeloid leukemia patients treated with tyrosine kinase inhibitors. Acta Oncol. 2010, 49, 506–508. [Google Scholar] [CrossRef]
- Muller, M.C.; Erben, P.; Saglio, G.; Gottardi, E.; Nyvold, C.G.; Schenk, T.; Ernst, T.; Lauber, S.; Kruth, J.; Hehlmann, R.; et al. Harmonization of BCR-ABL mRNA quantification using a uniform multifunctional control plasmid in 37 international laboratories. Leukemia 2008, 22, 96–102. [Google Scholar] [CrossRef] [PubMed]
- Vella, V.; Puppin, C.; Damante, G.; Vigneri, R.; Sanfilippo, M.; Vigneri, P.; Tell, G.; Frasca, F. DeltaNp73alpha inhibits PTEN expression in thyroid cancer cells. Int. J. Cancer 2009, 124, 2539–2548. [Google Scholar] [CrossRef]
- Hughes, T.; Deininger, M.; Hochhaus, A.; Branford, S.; Radich, J.; Kaeda, J.; Baccarani, M.; Cortes, J.; Cross, N.C.; Druker, B.J.; et al. Monitoring CML patients responding to treatment with tyrosine kinase inhibitors: Review and recommendations for harmonizing current methodology for detecting BCR-ABL transcripts and kinase domain mutations and for expressing results. Blood 2006, 108, 28–37. [Google Scholar] [CrossRef] [PubMed]
- Cross, N.C.; White, H.E.; Muller, M.C.; Saglio, G.; Hochhaus, A. Standardized definitions of molecular response in chronic myeloid leukemia. Leukemia 2012, 26, 2172–2175. [Google Scholar] [CrossRef]
- Harrington, D.P.; Fleming, T.R. A class of rank test procedures for censored survival data. Biometrika 1982, 69, 553–566. [Google Scholar] [CrossRef]
- The R Project for Statistical Computing. Available online: https://www.r-project.org/ (accessed on 1 February 2019).


| Characteristics | % | |
|---|---|---|
| Follow-Up (Median mo.) | 61 | |
| Age (Years) | ||
| Median | 55 | |
| Range | 20–87 | |
| Sex (pts n.) | ||
| Male | 94 | 51.1 |
| Female | 90 | 48.9 |
| Sokal Risk Group (pts n.) | ||
| Low/Int | 146 | 79.3 |
| High | 38 | 20.7 |
| ELTS Risk Group (pts n.) | ||
| Low/Int | 163 | 88.6 |
| High | 21 | 11.4 |
| Transcript Type | ||
| e13a2 (b2a2) | 74 | 40.2 |
| e14a2 (b3a2) | 92 | 50 |
| e13a2 and e14a2 | 18 | 9.8 |
| Optimal Response (pts n.) | 126 | 68.5 |
| Warning (pts n.) | 10 | 5.4 |
| Intolerant (pts n.) | 9 | 4.9 |
| Failure (pts n.) | 39 | 21.2 |
| BCR-ABL1/ABL1IS | Sokal Risk | p | |
|---|---|---|---|
| Low/Intermediate Risk (%) | High Risk (%) | ||
| n = 146 | n = 38 | ||
| <10% @ 3 mo. <1% @ 6 mo. | 98 (67.1) | 18 (47.3) | 0.02782 |
| <10% @ 3 mo. >1% @ 6 mo. | 22 (15) | 6 (15.8) | |
| >10% @ 3 mo. <1% @ 6 mo. | 9 (6.1) | 2 (5.3) | |
| >10% @ 3 mo. >1% @ 6 mo. | 17 (13.8) | 12 (31.6) | |
| BCR-ABL1/ABL1IS | ELTS Risk | p | |
| Low/Intermediate Risk | High Risk | ||
| n = 163 | n = 21 | ||
| <10% @ 3 mo. <1% @ 6 mo. | 105 (64.4) | 11 (52.4) | 0.00592 |
| <10% @ 3 mo. >1% @ 6 mo. | 27 (16.6) | 1 (4.8) | |
| >10% @ 3 mo. <1% @ 6 mo. | 11 (6.8) | 0 (0) | |
| >10% @ 3 mo. >1% @ 6 mo. | 20 (12.2) | 9 (42.9) | |
© 2019 by the authors. Licensee MDPI, Basel, Switzerland. This article is an open access article distributed under the terms and conditions of the Creative Commons Attribution (CC BY) license (http://creativecommons.org/licenses/by/4.0/).
Share and Cite
Stella, S.; Zammit, V.; Vitale, S.R.; Pennisi, M.S.; Massimino, M.; Tirrò, E.; Forte, S.; Spitaleri, A.; Antolino, A.; Siracusa, S.; et al. Clinical Implications of Discordant Early Molecular Responses in CML Patients Treated with Imatinib. Int. J. Mol. Sci. 2019, 20, 2226. https://doi.org/10.3390/ijms20092226
Stella S, Zammit V, Vitale SR, Pennisi MS, Massimino M, Tirrò E, Forte S, Spitaleri A, Antolino A, Siracusa S, et al. Clinical Implications of Discordant Early Molecular Responses in CML Patients Treated with Imatinib. International Journal of Molecular Sciences. 2019; 20(9):2226. https://doi.org/10.3390/ijms20092226
Chicago/Turabian StyleStella, Stefania, Valentina Zammit, Silvia Rita Vitale, Maria Stella Pennisi, Michele Massimino, Elena Tirrò, Stefano Forte, Antonio Spitaleri, Agostino Antolino, Sergio Siracusa, and et al. 2019. "Clinical Implications of Discordant Early Molecular Responses in CML Patients Treated with Imatinib" International Journal of Molecular Sciences 20, no. 9: 2226. https://doi.org/10.3390/ijms20092226
APA StyleStella, S., Zammit, V., Vitale, S. R., Pennisi, M. S., Massimino, M., Tirrò, E., Forte, S., Spitaleri, A., Antolino, A., Siracusa, S., Accurso, V., Mannina, D., Impera, S., Musolino, C., Russo, S., Malato, A., Mineo, G., Musso, M., Porretto, F., ... Stagno, F. (2019). Clinical Implications of Discordant Early Molecular Responses in CML Patients Treated with Imatinib. International Journal of Molecular Sciences, 20(9), 2226. https://doi.org/10.3390/ijms20092226

