Comparative Transcriptome Profiling of Resistant and Susceptible Sugarcane Cultivars in Response to Infection by Xanthomonas albilineans
Abstract
1. Introduction
2. Results
2.1. Symptom Expression and Bacterial Population Size in Inoculated Sugarcane Leaves
2.2. RNA Sequencing and Assembly
2.3. Gene Annotation of Assembled Transcripts
2.4. Differential Expression Analysis of Assembled Transcripts
2.5. Gene Ontology Functional Analysis of Differentially Expressed Genes During Infection of Sugarcane by X. Albilineans
2.6. KEGG Enrichment Analysis of DEGs During Infection of Sugarcane by X. Albilineans
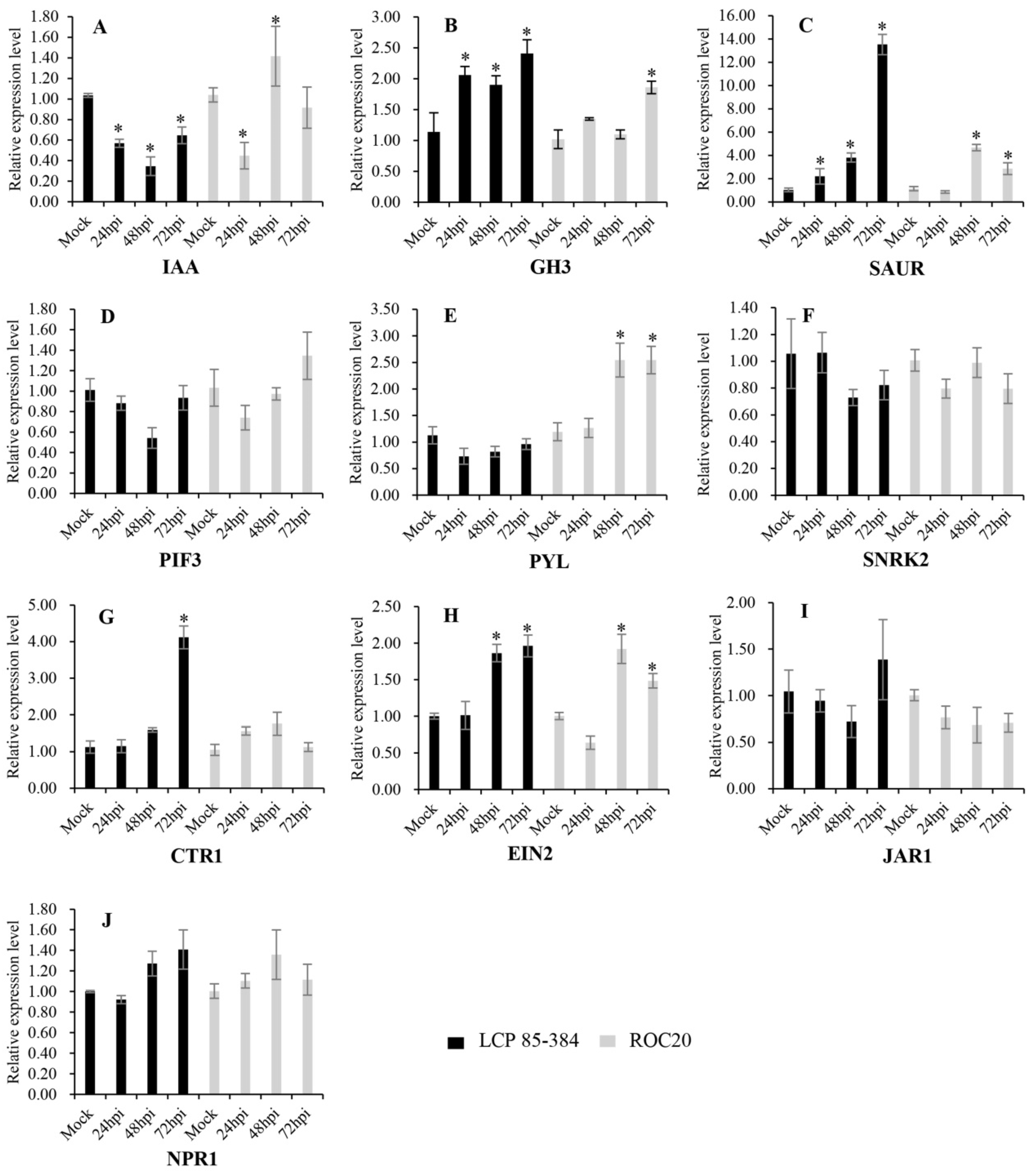
2.7. Transcriptional Expression of Ten Genes Involved in Different Plant Hormone Signal Transduction Pathways
3. Discussion
3.1. Global Patterns of Gene Transcription in Sugarcane in Response to Infection by X. Albilineans
3.2. Major Gene Categories Involved in Response of Sugarcane to Infection by X. Albilineans
3.3. Major Enriched KEGG Pathways Associated with the Response of Sugarcane to Infection by X. Albilineans
3.4. Plant Hormone Signal Transduction Pathways Involved in the Response of Sugarcane to Infection by X. Albilineans
4. Materials and Methods
4.1. Plant Growth and Inoculation with the Pathogen
4.2. Leaf Tissue Sampling
4.3. Quantification of Bacterial Populations in Inoculated Plants
4.4. Library Construction and Illumina RNA-Sequencing
4.5. De Novo Transcriptome Assembly
4.6. Differential Gene Expression Analysis and Function Annotation
4.7. Quantitative Real Time RT-PCR Analysis
4.8. Statistical Analyses
5. Conclusions
Supplementary Materials
Author Contributions
Funding
Acknowledgments
Conflicts of Interest
References
- Zhang, J.S.; Zhang, X.T.; Tang, H.B.; Zhang, Q.; Hua, X.T.; Ma, X.K.; Zhu, F.; Jones, T.; Zhu, X.G.; Bowers, J.; et al. Allele-defined genome of the autopolyploid sugarcane Saccharum spontaneum L. Nat. Genet. 2018, 50, 1565–1573. [Google Scholar] [CrossRef]
- Barnabas, L.; Ramadass, A.; Amalraj, R.S.; Palaniyandi, M.; Rasappa, V. Sugarcane proteomics: An update on current status, challenges, and future prospects. Proteomics 2015, 15, 1658–1670. [Google Scholar] [CrossRef] [PubMed]
- D’Hont, A.; Grivet, L.; Feldmann, P.; Rao, S.; Berding, N.; Glaszmann, J.C. Characterisation of the double genome structure of modern sugarcane cultivars (Saccharum spp.) by molecular cytogenetics. Mol. Gen. Genet. 1996, 250, 405–413. [Google Scholar] [CrossRef] [PubMed]
- Hoang, N.V.; Furtado, A.; Thirugnanasambandam, P.P.; Botha, F.C.; Henry, R.J. De novo assembly and characterizing of the culm-derived meta-transcriptome from the polyploid sugarcane genome based on coding transcripts. Heliyon 2018, 4, e00583. [Google Scholar] [CrossRef] [PubMed]
- Thirugnanasambandam, P.P.; Hoang, N.V.; Henry, R.J. The challenge of analyzing the sugarcane genome. Front. Plant Sci. 2018, 9, 616. [Google Scholar] [CrossRef] [PubMed]
- Comstock, J.C. Sugarcane diseases: Futuristic management strategies. Sugar Tech. 2013, 15, 1–2. [Google Scholar] [CrossRef]
- Ntambo, M.S.; Meng, J.Y.; Rott, P.C.; Royer, M.; Lin, L.H.; Zhang, H.L.; Gao, S.J. Identification and characterization of Xanthomonas albilineans causing sugarcane leaf scald in China using multilocus sequence analysis. Plant Pathol. 2019, 68, 269–277. [Google Scholar] [CrossRef]
- Ricaud, C.; Ryan, C.C. Leaf scald. In Diseases of Sugarcane Major Diseases; Ricaud, C., Egan, B.R., Gillaspie, A.G., Jr., Hughes, C.G., Eds.; Elsevier: New York, NY, USA, 1989; pp. 39–58. [Google Scholar]
- Rott, P.; Davis, M.J. Leaf scald. In A Guide to Sugarcane Diseases; Rott, P., Bailey, R.A., Comstock, J.C., Croft, B.J., Saumtally, A.S., Eds.; CIRAD/ISSCT: Montpellier, France, 2000; pp. 38–44. [Google Scholar]
- Rott, P.; Mohamed, L.S.; Klett, P.; Soupa, D.; de Saint-Albin, A.; Feldmann, P.; Letourmy, P. Resistance to leaf scald disease is associated with limited colonization of sugarcane and wild relatives by Xanthomonas albilineans. Phytopathology 1997, 87, 202–1213. [Google Scholar] [CrossRef]
- Rott, P.; Marguerettaz, M.; Fleites, L.; Cociancich, S.; Girard, J.C.; Pieretti, I.; Gabriel, D.W.; Royer, M. Unravelling pathogenicity of Xanthomonas albilineans, the causal agent of sugarcane leaf scald. Int. Sugar J. 2011, 113, 490–496. [Google Scholar]
- Wang, Z.; Gerstein, M.; Snyder, M. RNA-Seq: A revolutionary tool for transcriptomics. Nat. Rev. Genet. 2009, 10, 57–63. [Google Scholar] [CrossRef]
- Mutz, K.O.; Heilkenbrinker, A.; Lonne, M.; Walter, J.G.; Stahl, F. Transcriptome analysis using next-generation sequencing. Curr. Opin. Biotechnol. 2013, 24, 22–30. [Google Scholar] [CrossRef] [PubMed]
- Deyholos, M.K. Making the most of drough and salinity transcriptomics. Plant Cell Environ. 2010, 33, 648–654. [Google Scholar] [CrossRef] [PubMed]
- Naidoo, S.; Visser, E.A.; Zwart, L.; Toit, Y.D.; Bhadauria, V.; Shuey, L.S. Dual RNA-sequencing to elucidate the plant-pathogen duel. Curr. Issues Mol. Biol. 2018, 27, 127–142. [Google Scholar] [CrossRef] [PubMed]
- Dong, M.; Cheng, G.; Peng, L.; Xu, Q.; Xu, J. Transcriptome analysis of sugarcane response to the infection by Sugarcane streak mosaic virus (SCSMV). Trop. Plant Biol. 2017, 10, 45–55. [Google Scholar] [CrossRef]
- Ling, H.; Huang, N.; Wu, Q.B.; Su, Y.C.; Peng, Q.; Ahmed, W.; Gao, S.W.; Su, W.H.; Que, Y.X.; Xu, L.P. Transcriptional Insights into the sugarcane-Sorghum mosaic virus Interaction. Trop. Plant Biol. 2018, 11, 163–176. [Google Scholar] [CrossRef]
- Prasanth, C.N.; Viswanathan, R.; Krishna, N.; Malathi, P.; Sundar, A.R.; Tiwari, T. Unraveling the genetic complexities in gene set of sugarcane red rot pathogen Colletotrichum falcatum through transcriptomic approach. Sugar Technol. 2017, 19, 604–615. [Google Scholar] [CrossRef]
- Huang, N.; Ling, H.; Su, Y.C.; Liu, F.; Xu, L.P.; Su, W.H.; Wu, Q.B.; Guo, J.L.; Gao, S.W.; Que, Y.X. Transcriptional analysis identifies major pathways as response components to Sporisorium scitamineum stress in sugarcane. Gene 2018, 678, 207–218. [Google Scholar] [CrossRef]
- McNeil, M.D.; Bhuiyan, S.A.; Berkman, P.J.; Croft, B.J.; Aitken, K.S. Analysis of the resistance mechanisms in sugarcane during Sporisorium scitamineum infection using RNA-seq and microscopy. PLoS ONE 2018, 13, e0197840. [Google Scholar] [CrossRef]
- Wang, Z.P.; Li, Y.J.; Li, C.N.; Song, X.P.; Lei, J.C.; Gao, Y.J.; Liang, Q. Comparative transcriptome profiling of resistant and susceptible sugarcane genotypes in response to the airborne pathogen Fusarium verticillioides. Mol. Biol. Rep. 2019, 46, 3777–3789. [Google Scholar] [CrossRef]
- Brigida, A.B.S.; Rojas, C.A.; Grativol, C.; de Armas, E.M.; Entenza, J.O.P.; Thiebaut, F.; Lima, M.D.; Farrinelli, L.; Hemerly, A.S.; Lifschitz, S.; et al. Sugarcane transcriptome analysis in response to infection caused by Acidovorax avenae subsp avenae. PLoS ONE 2016, 11, e0166473. [Google Scholar] [CrossRef]
- Cia, M.C.; de Carvalho, G.; Azevedo, R.A.; Monteiro-Vitorello, C.B.; Souza, G.M.; Nishiyama, M.Y.; Lembke, C.G.; de Faria, R.S.D.A.; Marques, J.P.R.; Melotto, M.; et al. Novel insights into the early stages of ratoon stunting disease of sugarcane inferred from transcript and protein analysis. Phytopathology 2018, 108, 1455–1466. [Google Scholar] [CrossRef] [PubMed]
- Fu, Y.H.; Wei, J.J.; Pan, Y.B.; Zhou, X.; He, E.Q.; Liu, R.; Huang, H.; Lu, J.J.; Liu, F.Z. Comparative analysis reveals changes in transcriptomes of sugarcane upon infection by Leifsonia xyli subsp. xyli. J. Phytopathol. 2019, 167, 633–644. [Google Scholar] [CrossRef]
- Ryan, R.P.; Vorholter, F.J.; Potnis, N.; Jones, J.B.; Van Sluys, M.A.; Bogdanove, A.J.; Dow, J.M. Pathogenomics of Xanthomonas: Understanding bacterium-plant interactions. Nat. Rev. Microbiol. 2011, 9, 344–355. [Google Scholar] [CrossRef] [PubMed]
- Saddler, G.S.; Bradbury, J.F. Xanthomonas Bergey’s manual of systematic of archaea and bacteria. In Association with Bergey’s Manual Trust; John Wiley & Sons, Inc.: New York, NY, USA, 2015; pp. 1–53. [Google Scholar]
- Zhang, F.; Huang, L.Y.; Zhang, F.; Ali, J.; Cruz, C.V.; Zhuo, D.L.; Du, Z.L.; Li, Z.K.; Zhou, Y.L. Comparative transcriptome profiling of a rice line carrying Xa39 and its parents triggered by Xanthomonas oryzae pv. oryzae provides novel insights into the broad-spectrum hypersensitive response. BMC Genom. 2015, 16, 111. [Google Scholar]
- Tariq, R.W.; Wang, C.L.; Qin, T.F.; Xu, F.F.; Tang, Y.C.; Gao, Y.; Ji, Z.Y.; Zhao, K.J. Comparative transcriptome profiling of rice near-isogenic line carrying Xa23 under infection of Xanthomonas oryzae pv. oryzae. Int. J. Mol. Sci. 2018, 19, 717. [Google Scholar]
- Garcia-Seco, D.; Chiapello, M.; Bracale, M.; Pesce, C.; Bagnaresi, P.; Dubois, E.; Moulin, L.; Vannini, C.; Koebnik, R. Transcriptome and proteome analysis reveal new insight into proximal and distal responses of wheat to foliar infection by Xanthomonas translucens. Sci. Rep. 2017, 7, 10157. [Google Scholar] [CrossRef]
- Shendure, J.; Ji, H.L. Next-generation DNA sequencing. Nat. Biotechnol. 2008, 26, 1135–1145. [Google Scholar] [CrossRef]
- Liu, X.H.; Zhang, R.H.; Ou, H.P.; Gui, Y.Y.; Wei, J.J.; Zhou, H.; Tan, H.W.; Li, Y.R. Comprehensive transcriptome analysis reveals genes in response to water deficit in the leaves of Saccharum narenga (Nees ex Steud.) hack. BMC Plant Biol. 2018, 18, 250. [Google Scholar] [CrossRef]
- Hernández, J.A.; Barba-Espín, G.; Diaz-Vivancos, P. Glutathione-mediated biotic stress tolerance in plants. In Glutathione in Plant Growth, Development, and Stress Tolerance; Hossain, M.A., Mostofa, M.G., Diaz-Vivancos, P., Burritt, D.J., Fujita, M., Tran, L.S.P., Eds.; Springer: Gewerbestrasse, Germany, 2017; pp. 309–330. [Google Scholar]
- Locato, V.; Cimini, S.; Gara, L.D. Glutathione as a key player in plant abiotic stress responses and tolerance. In Glutathione in Plant Growth, Development, and Stress Tolerance; Hossain, M.A., Mostofa, M.G., Diaz-Vivancos, P., Burritt, D.J., Fujita, M., Tran, L.S.P., Eds.; Springer: Gewerbestrasse, Germany, 2017; pp. 127–146. [Google Scholar]
- Hiruma, K.; Fukunaga, S.; Bednarek, P.; Pislewska-Bednarek, M.; Watanabe, S.; Narusaka, Y.; Shirasu, K.; Takano, Y. Glutathione and tryptophan metabolism are required for Arabidopsis immunity during the hypersensitive response to hemibiotrophs. Proc. Natl. Acad. Sci. USA 2013, 110, 9589–9594. [Google Scholar] [CrossRef]
- Peters, L.P.; Carvalho, G.; Vilhena, M.B.; Creste, S.; Azevedo, R.A.; Monteiro-Vitorello, C.B. Functional analysis of oxidative burst in sugarcane smut-resistant and -susceptible genotypes. Planta 2017, 245, 749–764. [Google Scholar] [CrossRef]
- Boyd, L.A.; Ridout, C.; O’Sullivan, D.M.; Leach, J.E.; Leung, H. Plant-pathogen interactions: Disease resistance in modern agriculture. Trends Genet. 2013, 29, 233–240. [Google Scholar] [CrossRef] [PubMed]
- Dangl, J.L.; Jones, J.D. Plant pathogens and integrated defence responses to infection. Nature 2001, 411, 826–833. [Google Scholar] [CrossRef] [PubMed]
- Jones, J.D.; Dangl, J.L. The plant immune system. Nature 2006, 444, 323–329. [Google Scholar] [CrossRef] [PubMed]
- Que, Y.; Su, Y.; Guo, J.; Wu, Q.; Xu, L. A global view of transcriptome dynamics during Sporisorium scitamineum challenge in sugarcane by RNA-Seq. PLoS ONE 2014, 9, e106476. [Google Scholar] [CrossRef]
- Robert-Seilaniantz, A.; Navarro, L.; Bari, R.; Jones, J.D. Pathological hormone imbalances. Curr. Opin. Plant Biol. 2007, 10, 372–379. [Google Scholar] [CrossRef]
- Bari, R.; Jones, J.D. Role of plant hormones in plant defence responses. Plant Mol. Biol. 2009, 69, 473–488. [Google Scholar]
- Denance, N.; Sanchez-Vallet, A.; Goffner, D.; Molina, A. Disease resistance or growth: The role of plant hormones in balancing immune responses and fitness costs. Front. Plant Sci. 2013, 4, 155. [Google Scholar] [CrossRef]
- Woodward, A.W.; Bartel, B. Auxin: Regulation, action, and interaction. Ann. Bot. 2005, 95, 707–735. [Google Scholar] [CrossRef]
- Schaker, P.D.C.; Palhares, A.C.; Taniguti, L.M.; Peters, L.P.; Creste, S.; Aitken, K.S.; Van Sluys, M.A.; Kitajima, J.P.; Vieira, M.L.C.; Monteiro-Vitorello, C.B. RNAseq transcriptional profiling following whip development in sugarcane smut disease. PLoS ONE 2016, 11, e0162237. [Google Scholar] [CrossRef]
- Zhang, X.; Chen, M.; Liang, Y.; Xing, Y.; Yang, L.; Chen, M.; Comstock, J.C.; Li, Y.; Yang, L. Morphological and physiological responses of sugarcane to Leifsonia xyli subsp. xyli infection. Plant Dis. 2016, 100, 2499–2506. [Google Scholar] [CrossRef]
- Ding, X.; Cao, Y.; Huang, L.; Zhao, J.; Xu, C.; Li, X.; Wang, S. Activation of the indole-3-acetic acid-amido synthetase GH3-8 suppresses expansin expression and promotes salicylate- and jasmonate-independent basal imunity in rice. Plant Cell 2008, 20, 228–240. [Google Scholar] [CrossRef] [PubMed]
- Shigenaga, A.M.; Argueso, C.T. No hormone to rule them all: Interactions of plant hormones during the responses of plants to pathogens. Semin. Cell Dev. Biol. 2016, 56, 174–189. [Google Scholar] [CrossRef] [PubMed]
- Umezawa, T.; Nakashima, K.; Miyakawa, T.; Kuromori, T.; Tanokura, M.; Shinozaki, K.; Yamaguchi-Shinozaki, K. Molecular Basis of the Core Regulatory Network in ABA Responses: Sensing, Signaling and Transport. Plant Cell Physiol. 2010, 51, 1821–1839. [Google Scholar] [CrossRef] [PubMed]
- Fujii, H.; Chinnusamy, V.; Rodrigues, A.; Rubio, S.; Antoni, R.; Park, S.Y.; Cutler, S.R.; Sheen, J.; Rodriguez, P.L.; Zhu, J.K. In vitro reconstitution of an abscisic acid signalling pathway. Nature 2009, 462, 660–664. [Google Scholar] [CrossRef] [PubMed]
- Wang, Y.G.; Fu, F.L.; Yu, H.Q.; Hu, T.; Zhang, Y.Y.; Tao, Y.; Zhu, J.K.; Zhao, Y.; Li, W.C. Interaction network of core ABA signaling components in maize. Plant Mol. Biol. 2018, 96, 245–263. [Google Scholar] [CrossRef] [PubMed]
- Su, Y.C.; Xu, L.P.; Wang, Z.Q.; Peng, Q.; Yang, Y.T.; Chen, Y.; Que, Y.X. Comparative proteomics reveals that central metabolism changes are associated with resistance against Sporisorium scitamineum in sugarcane. BMC Genom. 2016, 17, 800. [Google Scholar] [CrossRef] [PubMed]
- Zhao, Q.; Guo, H.W. Paradigms and paradox in the ethylene signaling pathway and interaction network. Mol. Plant 2011, 4, 626–634. [Google Scholar] [CrossRef]
- Han, X.W.; Kahmann, R. Manipulation of phytohormone pathways by effectors of filamentous plant pathogens. Front. Plant Sci. 2019, 10, 822. [Google Scholar] [CrossRef]
- Kieber, J.J.; Rothenberg, M.; Roman, G.; Feldmann, K.A.; Ecker, J.R. CTR1, a negative regulator of the ethylene response pathway in Arabidopsis, encodes a member of the raf family of protein kinases. Cell 1993, 72, 427–441. [Google Scholar] [CrossRef]
- Chao, Q.; Rothenberg, M.; Solano, R.; Roman, G.; Terzaghi, W.; Ecker, J.R. Activation of the ethylene gas response pathway in Arabidopsis by the nuclear protein ETHYLENE-INSENSITIVE3 and related proteins. Cell 1997, 89, 1133–1144. [Google Scholar] [CrossRef]
- Milligan, S.B.; Martin, F.A.; Bischoff, K.P.; Quebedeaux, J.P.; Dufrene, E.O.; Quebedeaux, K.L.; Miller, J.D. Registration of LCP 85-384 sugarcane. Crop Sci. 1994, 34, 819–820. [Google Scholar] [CrossRef]
- Peng, S.G. Varietal evolution of sugarcane in Taiwan. Southwest China J. Agric. Sci. 1996, 9, 117–124. [Google Scholar]
- Lin, L.H.; Ntambo, M.S.; Rott, P.C.; Wang, Q.N.; Lin, Y.H.; Fu, H.Y.; Gao, S.J. Molecular detection and prevalence of Xanthomonas albilineans, the causal agent of sugarcane leaf scald, in China. Crop Prot. 2018, 109, 17–23. [Google Scholar] [CrossRef]
- Davis, M.J.; Rott, P.; Daudin, P.; Dean, J.L. Evaluation of selective media and immunoassays for detection of Xanthomonas albilineans, causal agent of sugarcane leaf scald disease. Plant Dis. 1994, 78, 78–82. [Google Scholar] [CrossRef]
- Garces, F.F.; Gutierrez, A.; Hoy, J.W. Detection and quantification of Xanthomonas albilineans by qPCR and potential characterization of sugarcane resistance to leaf scald. Plant Dis. 2014, 98, 121–126. [Google Scholar] [CrossRef] [PubMed]
- Ewing, B.; Green, P. Base-calling of automated sequencer traces using phred. II Error probabilities. Genome Res. 1998, 8, 186–194. [Google Scholar] [CrossRef]
- Li, B.; Dewey, C.N. RSEM: Accurate transcript quantification from RNA-Seq data with or without a reference genome. BMC Bioinform. 2011, 12, 323. [Google Scholar] [CrossRef]
- Love, M.I.; Huber, W.; Anders, S. Moderated estimation of fold change and dispersion for RNA-seq data with DESeq2. Genome Biol. 2014, 15, 550. [Google Scholar] [CrossRef]
- Benjamini, Y.; Hochberg, Y. Controlling the false discovery rate: A practical and powerful approach to multiple testing. J. R. Stat. Soc. Ser. B Stat. Methodol. 1995, 57, 289–300. [Google Scholar] [CrossRef]
- Gotz, S.; Garcia-Gomez, J.M.; Terol, J.; Williams, T.D.; Nagaraj, S.H.; Nueda, M.J.; Robles, M.; Talon, M.; Dopazo, J.; Conesa, A. High-throughput functional annotation and data mining with the Blast2GO suite. Nucleic Acids Res. 2008, 36, 3420–3435. [Google Scholar] [CrossRef]
- Kanehisa, M.; Araki, M.; Goto, S.; Hattori, M.; Hirakawa, M.; Itoh, M.; Katayama, T.; Kawashima, S.; Okuda, S.; Tokimatsu, T.; et al. KEGG for linking genomes to life and the environment. Nucleic Acids Res. 2008, 36, D480–D484. [Google Scholar] [CrossRef] [PubMed]
- Mao, X.Z.; Cai, T.; Olyarchuk, J.G.; Wei, L.P. Automated genome annotation and pathway identification using the KEGG Orthology (KO) as a controlled vocabulary. Bioinformatics 2005, 21, 3787–3793. [Google Scholar] [CrossRef] [PubMed]
- Young, M.D.; Wakefield, M.J.; Smyth, G.K.; Oshlack, A. Gene ontology analysis for RNA-seq: Accounting for selection bias. Genome Biol. 2010, 11, R14. [Google Scholar] [CrossRef] [PubMed]
- Xie, C.; Mao, X.; Huang, J.; Ding, Y.; Wu, J.; Dong, S.; Kong, L.; Gao, G.; Li, C.; Wei, L. KOBAS 2.0: A web server for annotation and identifcation of enriched pathways and diseases. Nucleic Acids Res. 2011, 39, W316–W322. [Google Scholar] [CrossRef]
- Livak, K.J.; Schmittgen, T.D. Analysis of relative gene expression data using real-time quantitative PCR and the 2(-Delta Delta C(T)) Method. Methods 2001, 25, 402–408. [Google Scholar] [CrossRef]





| Characteristics of Transcripts/Unigenes | Number of Transcripts (451,856,714 Nucleotides) | Number of Unigenes (429,371,352 Nucleotides) |
|---|---|---|
| 200–500 bp length | 315,474 (51%) | 239,843 (45%) |
| 500 bp-1 kbp length | 164,820 (27%) | 162,182 (30%) |
| 1–2 kbp length | 100,096 (16%) | 99,766 (19%) |
| ˃2 kbp | 33,880 (5.5%) | 33,864 (6%) |
| Total | 614,270 (100%) | 535,655 (100%) |
| Minimum length (bp) | 201 | 201 |
| Average length (bp) | 736 | 802 |
| Median length (bp) | 487 | 555 |
| Maximum length (bp) | 17,717 | 17,717 |
| N50 (bp) a | 1045 | 1102 |
| N90 (bp) b | 324 | 369 |
| Gene ID | KEGG Orthology | Gene description | LCP 85-384 | ROC20 | |||||
|---|---|---|---|---|---|---|---|---|---|
| 24 hpi | 48 hpi | 72 hpi | 24 hpi | 48 hpi | 72 hpi | ||||
| Cluster-4871.238958 | K14484 | Auxin-responsive protein IAA (IAA) | 1.10 | 1.19 | 1.07 | 2.57 | 3.66 | 2.83 | |
| Cluster-4871.233479 | K14487 | Auxin responsive GH3 gene family (GH3) | −1.26 | −0.63 | −0.61 | 0.08 | −0.04 | 0.26 | |
| Cluster-4871.390584 | K14488 | SAUR family protein (SAUR) | 4.69 | 2.90 | 3.66 | −0.42 | −1.63 | 0.73 | |
| Cluster-4871.255133 | K12126 | Phytochrome-interacting factor 3 (PIF3) | −0.34 | −0.45 | −1.03 | 2.27 | 2.27 | 1.65 | |
| Cluster-4871.248068 | k14496 | Abscisic acid receptor PYR/PYL family (PYL) | 1.49 | 1.30 | 1.47 | 0.90 | 0.74 | 0.69 | |
| Cluster-4871.245620 | K14498 | Serine/threonine-protein kinase SRK2 (SNRK2) | 1.49 | 1.30 | 1.47 | 0.90 | 0.74 | 0.69 | |
| Cluster-4871.356618 | K14510 | Serine/threonine-protein kinase CTR1 (CTR1) | 2.51 | 2.05 | 1.85 | 1.39 | 0.45 | 0.31 | |
| Cluster-4871.244221 | K14513 | Ethylene-insensitive protein 2 (EIN2) | −0.69 | −0.46 | −0.46 | −1.16 | −1.04 | −1.24 | |
| Cluster-4871.211143 | K14506 | Jasmonic acid-amino synthetase (JAR1) | −0.27 | −0.03 | 0.38 | −1.62 | −1.73 | −1.90 | |
| Cluster-4871.226184 | K14508 | Regulatory protein NPR1 (NPR1) | 2.92 | 3.69 | 4.46 | −0.91 | −0.59 | −0.55 | |
© 2019 by the authors. Licensee MDPI, Basel, Switzerland. This article is an open access article distributed under the terms and conditions of the Creative Commons Attribution (CC BY) license (http://creativecommons.org/licenses/by/4.0/).
Share and Cite
Ntambo, M.S.; Meng, J.-Y.; Rott, P.C.; Henry, R.J.; Zhang, H.-L.; Gao, S.-J. Comparative Transcriptome Profiling of Resistant and Susceptible Sugarcane Cultivars in Response to Infection by Xanthomonas albilineans. Int. J. Mol. Sci. 2019, 20, 6138. https://doi.org/10.3390/ijms20246138
Ntambo MS, Meng J-Y, Rott PC, Henry RJ, Zhang H-L, Gao S-J. Comparative Transcriptome Profiling of Resistant and Susceptible Sugarcane Cultivars in Response to Infection by Xanthomonas albilineans. International Journal of Molecular Sciences. 2019; 20(24):6138. https://doi.org/10.3390/ijms20246138
Chicago/Turabian StyleNtambo, Mbuya Sylvain, Jian-Yu Meng, Philippe C. Rott, Robert J. Henry, Hui-Li Zhang, and San-Ji Gao. 2019. "Comparative Transcriptome Profiling of Resistant and Susceptible Sugarcane Cultivars in Response to Infection by Xanthomonas albilineans" International Journal of Molecular Sciences 20, no. 24: 6138. https://doi.org/10.3390/ijms20246138
APA StyleNtambo, M. S., Meng, J.-Y., Rott, P. C., Henry, R. J., Zhang, H.-L., & Gao, S.-J. (2019). Comparative Transcriptome Profiling of Resistant and Susceptible Sugarcane Cultivars in Response to Infection by Xanthomonas albilineans. International Journal of Molecular Sciences, 20(24), 6138. https://doi.org/10.3390/ijms20246138

