Characterization of Callose Deposition and Analysis of the Callose Synthase Gene Family of Brassica napus in Response to Leptosphaeria maculans
Abstract
1. Introduction
2. Results
2.1. Characterization of Callose Deposition in B. napus with the Infection by L. maculans Isolates
2.2. Genome-Wide Identification of BnCals Family Genes from B. napus
2.3. Chromosomal Localization and Duplication of BnCalS Gene Family in B. napus
2.4. Gene Structure and Conserved Domain Analysis of BnCalS Genes
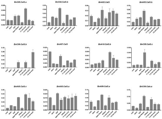
2.5. Expression Analysis of the BnCalS Gene Family in Different Tissues
2.6. Expression Analysis of BnCalS Genes in Different R-Gene-Containing Varieties Infected by L. maculans Isolates with Different Avr Genes
2.7. Differential Expression Analysis of BnCalS Genes in the Interaction of B. napus with Two Leptosphaeria Species: L. maculans and L. biglobosa
3. Discussion
4. Materials and Methods
4.1. Plant and Fungal Materials
4.2. Aniline Blue Staining of Callose Deposition
4.3. Identification of CalS in B. napus, B. rapa, and B. oleracea
4.4. Chromosomal Location and Orthologous Identification of CalS
4.5. Gene Structures and Protein Conserved Domains Analysis of the BnCalS Gene Family
4.6. RNA Purification and Quantitative RT-PCR Analysis
4.7. Transcriptome Analysis of BnCalS Genes Based on Published RNA-Seq Data
Supplementary Materials
Author Contributions
Funding
Acknowledgments
Conflicts of Interest
References
- Fitt, B.D.; Brun, H.; Barbetti, M.; Rimmer, S. World-wide importance of phoma stem canker (Leptosphaeria maculans and L. biglobosa) on oilseed rape (Brassica napus). In Sustainable Strategies for Managing Brassica napus (Oilseed Rape) Resistance to Leptosphaeria maculans (Phoma Stem Canker); Springer: New York, NY, USA, 2006; pp. 3–15. [Google Scholar]
- Kutcher, H.; Brandt, S.; Smith, E.; Ulrich, D.; Malhi, S.; Johnston, A. Blackleg disease of canola mitigated by resistant cultivars and four-year crop rotations in western Canada. Can. J. Plant Pathol. 2013, 35, 209–221. [Google Scholar] [CrossRef]
- Raman, H.; Raman, R.; Larkan, N. Genetic dissection of blackleg resistance loci in rapeseed (Brassica napus L.). In Plant Breeding from Laboratories to Fields; InTech: Houston, TX, USA, 2013. [Google Scholar]
- Ansan-Melayah, D.; Balesdent, M.; Delourme, R.; Pilet, M.; Tanguy, X.; Renard, M.; Rouxel, T. Genes for race-specific resistance against blackleg disease in Brassica napus L. Plant Breed. 1998, 117, 373–378. [Google Scholar] [CrossRef]
- Delourme, R.; Pilet-Nayel, M.; Archipiano, M.; Horvais, R.; Tanguy, X.; Rouxel, T.; Brun, H.; Renard, M.; Balesdent, M. A cluster of major specific resistance genes to Leptosphaeria maculans in Brassica napus. Phytopathology 2004, 94, 578–583. [Google Scholar] [CrossRef] [PubMed]
- Keri, M.; Van den Berg, C.; McVetty, P.; Rimmer, S. Inheritance of resistance to Leptosphaeria maculans in Brassica juncea. Phytopathology 1997, 87, 594–598. [Google Scholar] [CrossRef] [PubMed]
- Balesdent, M.; Attard, A.; Kühn, M.; Rouxel, T. New avirulence genes in the phytopathogenic fungus Leptosphaeria maculans. Phytopathology 2002, 92, 1122–1133. [Google Scholar] [CrossRef] [PubMed]
- Balesdent, M.; Barbetti, M.; Li, H.; Sivasithamparam, K.; Gout, L.; Rouxel, T. Analysis of Leptosphaeria maculans race structure in a worldwide collection of isolates. Phytopathology 2005, 95, 1061–1071. [Google Scholar] [CrossRef] [PubMed]
- Chevre, A.; Eber, F.; This, P.; Barret, P.; Tanguy, X.; Brun, H.; Delseny, M.; Renard, M. Characterization of Brassica nigra chromosomes and of blackleg resistance in B. napus–B. nigra addition lines. Plant Breed. 1996, 115, 113–118. [Google Scholar] [CrossRef]
- Balesdent, M.H.; Fudal, I.; Ollivier, B.; Bally, P.; Grandaubert, J.; Eber, F.; Chèvre, A.M.; Leflon, M.; Rouxel, T. The dispensable chromosome of Leptosphaeria maculans shelters an effector gene conferring avirulence towards Brassica rapa. New Phytol. 2013, 198, 887–898. [Google Scholar] [CrossRef] [PubMed]
- Parkin, I.; Sharpe, A.; Keith, D.; Lydiate, D. Identification of the A and C genomes of amphidiploid Brassica napus (oilseed rape). Genome Natl. Res. Council Can. 1995, 38, 1122–1131. [Google Scholar] [CrossRef]
- Yu, F.; Lydiate, D.; Rimmer, S. Identification of two novel genes for blackleg resistance in Brassica napus. Theor. Appl. Genet. 2005, 110, 969–979. [Google Scholar] [CrossRef] [PubMed]
- Larkan, N.; Lydiate, D.; Parkin, I.; Nelson, M.; Epp, D.; Cowling, W.; Rimmer, S.; Borhan, M. The Brassica napus blackleg resistance gene LepR3 encodes a receptor-like protein triggered by the Leptosphaeria maculans effector AvrLm1. New Phytol. 2013, 197, 595–605. [Google Scholar] [CrossRef] [PubMed]
- Yu, F.; Lydiate, D.J.; Rimmer, S.R. Identification and mapping of a third blackleg resistance locus in Brassica napus derived from B. rapa subsp. sylvestris. Genome Natl. Res. Council Can. 2007, 51, 64–72. [Google Scholar] [CrossRef] [PubMed]
- Yu, F.; Gugel, R.K.; Kutcher, H.R.; Peng, G.; Rimmer, S.R. Identification and mapping of a novel blackleg resistance locus LepR4 in the progenies from Brassica napus × B. rapa subsp. sylvestris. Theor. Appl. Genet. 2013, 126, 307–315. [Google Scholar] [CrossRef] [PubMed]
- Van de Wouw, A.; Marcroft, S.; Barbetti, M.; Hua, L.; Salisbury, P.; Gout, L.; Rouxel, T.; Howlett, B.; Balesdent, M. Dual control of avirulence in Leptosphaeria maculans towards a Brassica napus cultivar with ‘sylvestris-derived’ resistance suggests involvement of two resistance genes. Plant Pathol. 2009, 58, 305–313. [Google Scholar] [CrossRef]
- Piršelová, B.; Matušíková, I. Callose: The plant cell wall polysaccharide with multiple biological functions. Acta Physiol. Plant. 2013, 35, 635–644. [Google Scholar] [CrossRef]
- Shi, X.; Han, X.; Lu, T.-G. Callose synthesis during reproductive development in monocotyledonous and dicotyledonous plants. Plant Signal. Behav. 2016, 11, e1062196. [Google Scholar]
- Bucciaglia, P.A.; Smith, A.G. Cloning and characterization of Tag 1, a tobacco anther β-1, 3-glucanase expressed during tetrad dissolution. Plant Mol. Biol. 1994, 24, 903–914. [Google Scholar] [CrossRef] [PubMed]
- Dong, X.; Hong, Z.; Sivaramakrishnan, M.; Mahfouz, M.; Verma, D.P.S. Callose synthase (CalS5) is required for exine formation during microgametogenesis and for pollen viability in Arabidopsis. Plant J. 2005, 42, 315–328. [Google Scholar] [CrossRef] [PubMed]
- Kelly, R.; Register, E.; Hsu, M.-J.; Kurtz, M.; Nielsen, J. Isolation of a gene involved in 1,3-β-glucan synthesis in Aspergillus nidulans and purification of the corresponding protein. J. Bacterial. 1996, 178, 4381–4391. [Google Scholar] [CrossRef]
- Verma, D.P.S.; Hong, Z. Plant callose synthase complexes. Plant Mol. Biol. 2001, 47, 693–701. [Google Scholar] [CrossRef] [PubMed]
- Ellinger, D.; Voigt, C.A. Callose biosynthesis in Arabidopsis with a focus on pathogen response: What we have learned within the last decade. Ann. Bot. 2014, 114, 1349–1358. [Google Scholar] [CrossRef] [PubMed]
- Xie, B.; Wang, X.; Zhu, M.; Zhang, Z.; Hong, Z. CalS7 encodes a callose synthase responsible for callose deposition in the phloem. Plant J. 2011, 65, 1–14. [Google Scholar] [CrossRef] [PubMed]
- Jacobs, A.K.; Lipka, V.; Burton, R.A.; Panstruga, R.; Strizhov, N.; Schulze-Lefert, P.; Fincher, G.B. An Arabidopsis callose synthase, GSL5, is required for wound and papillary callose formation. Plant Cell 2003, 15, 2503–2513. [Google Scholar] [CrossRef] [PubMed]
- Nishimura, M.T.; Stein, M.; Hou, B.-H.; Vogel, J.P.; Edwards, H.; Somerville, S.C. Loss of a callose synthase results in salicylic acid-dependent disease resistance. Science 2003, 301, 969–972. [Google Scholar] [CrossRef] [PubMed]
- Kim, M.G.; Da Cunha, L.; McFall, A.J.; Belkhadir, Y.; DebRoy, S.; Dangl, J.L.; Mackey, D. Two Pseudomonas syringae type III effectors inhibit RIN4-regulated basal defense in Arabidopsis. Cell 2005, 121, 749–759. [Google Scholar] [CrossRef] [PubMed]
- Dong, X.; Hong, Z.; Chatterjee, J.; Kim, S.; Verma, D.P.S. Expression of callose synthase genes and its connection with Npr1 signaling pathway during pathogen infection. Planta 2008, 229, 87–98. [Google Scholar] [CrossRef] [PubMed]
- Enrique, R.; Siciliano, F.; Favaro, M.A.; Gerhardt, N.; Roeschlin, R.; Rigano, L.; Sendin, L.; Castagnaro, A.; Vojnov, A.; Marano, M.R. Novel demonstration of RNAi in citrus reveals importance of citrus callose synthase in defence against Xanthomonas citrisubsp. citri. Plant Biotechnol. J. 2011, 9, 394–407. [Google Scholar] [CrossRef] [PubMed]
- Chowdhury, J.; Schober, M.S.; Shirley, N.J.; Singh, R.R.; Jacobs, A.K.; Douchkov, D.; Schweizer, P.; Fincher, G.B.; Burton, R.A.; Little, A. Down-regulation of the glucan synthase-like 6 gene (HvGsl6) in barley leads to decreased callose accumulation and increased cell wall penetration by Blumeria graminis f. sp. hordei. New Phytol. 2016, 212, 434–443. [Google Scholar] [CrossRef] [PubMed]
- Nagaharu, U. Genome analysis in Brassica with special reference to the experimental formation of B. napus and peculiar mode of fertilization. Jpn. J. Bot. 1935, 7, 389–452. [Google Scholar]
- Chalhoub, B.; Denoeud, F.; Liu, S.; Parkin, I.A.; Tang, H.; Wang, X.; Chiquet, J.; Belcram, H.; Tong, C.; Samans, B. Early allopolyploid evolution in the post-Neolithic Brassica napus oilseed genome. Science 2014, 345, 950–953. [Google Scholar] [CrossRef] [PubMed]
- Gunstone, F.D. Production and Trade of Vegetable Oils; Wiley Online Library: Hoboken, NJ, USA, 2011. [Google Scholar]
- Maher, C.; Stein, L.; Ware, D. Evolution of Arabidopsis microRNA families through duplication events. Genome Res. 2006, 16, 510–519. [Google Scholar] [CrossRef] [PubMed]
- Wang, Y.; Tang, H.; DeBarry, J.D.; Tan, X.; Li, J.; Wang, X.; Lee, T.-H.; Jin, H.; Marler, B.; Guo, H. MCScanX: a toolkit for detection and evolutionary analysis of gene synteny and collinearity. Nucleic Acids Res. 2012, 40, e49. [Google Scholar] [CrossRef] [PubMed]
- Voigt, C.A. Callose-mediated resistance to pathogenic intruders in plant defense-related papillae. Front. Plant Sci. 2014, 5, 168. [Google Scholar] [CrossRef] [PubMed]
- Böhlenius, H.; Mørch, S.M.; Godfrey, D.; Nielsen, M.E.; Thordal-Christensen, H. The multivesicular body-localized GTPase ARFA1b/1c is important for callose deposition and ROR2 syntaxin-dependent preinvasive basal defense in barley. Plant Cell 2010, 22, 3831–3844. [Google Scholar] [CrossRef] [PubMed]
- Yun, M.H.; Torres, P.S.; El Oirdi, M.; Rigano, L.A.; Gonzalez-Lamothe, R.; Marano, M.R.; Castagnaro, A.P.; Dankert, M.A.; Bouarab, K.; Vojnov, A.A. Xanthan induces plant susceptibility by suppressing callose deposition. Plant Physiol. 2006, 141, 178–187. [Google Scholar] [CrossRef] [PubMed]
- Nomura, K.; Melotto, M.; He, S.-Y. Suppression of host defense in compatible plant–Pseudomonas syringae interactions. Curr. Opin. Plant Biol. 2005, 8, 361–368. [Google Scholar] [CrossRef] [PubMed]
- Hauck, P.; Thilmony, R.; He, S.Y. A Pseudomonas syringae type III effector suppresses cell wall-based extracellular defense in susceptible Arabidopsis plants. Proc. Natl. Acad. Sci. USA 2003, 100, 8577–8582. [Google Scholar] [CrossRef] [PubMed]
- Lowe, R.G.; Cassin, A.; Grandaubert, J.; Clark, B.L.; Van de Wouw, A.P.; Rouxel, T.; Howlett, B.J. Genomes and transcriptomes of partners in plant-fungal-interactions between canola (Brassica napus) and two Leptosphaeria species. PLoS ONE 2014, 9, e103098. [Google Scholar] [CrossRef] [PubMed]
- Becker, M.G.; Zhang, X.; Walker, P.L.; Wan, J.C.; Millar, J.L.; Khan, D.; Granger, M.J.; Cavers, J.D.; Chan, A.C.; Fernando, D.W. Transcriptome analysis of the Brassica napus–Leptosphaeria maculans pathosystem identifies receptor, signaling and structural genes underlying plant resistance. Plant J. 2017, 90, 573–586. [Google Scholar] [CrossRef] [PubMed]
- Mendes-Pereira, E.; Balesdent, M.-H.; Hortense, B.; Rouxel, T. Molecular phylogeny of the Leptosphaeria maculans–L. biglobosa species complex. Mycol. Res. 2003, 107, 1287–1304. [Google Scholar] [CrossRef] [PubMed]
- Williams, R.; Fitt, B.D. Differentiating A and B groups of Leptosphaeria maculans, causal agent of stem canker (blackleg) of oilseed rape. Plant Pathol. 1999, 48, 161–175. [Google Scholar] [CrossRef]
- Luna, E.; Pastor, V.; Robert, J.; Flors, V.; Mauch-Mani, B.; Ton, J. Callose deposition: A multifaceted plant defense response. Mol. Plant-Microbe Interact. 2011, 24, 183–193. [Google Scholar] [CrossRef] [PubMed]
- Barratt, D.P.; Kölling, K.; Graf, A.; Pike, M.; Calder, G.; Findlay, K.; Zeeman, S.C.; Smith, A.M. Callose synthase GSL7 is necessary for normal phloem transport and inflorescence growth in Arabidopsis. Plant Physiol. 2011, 155, 328–341. [Google Scholar] [CrossRef] [PubMed]
- Xie, B.; Deng, Y.; Kanaoka, M.M.; Okada, K.; Hong, Z. Expression of Arabidopsis callose synthase 5 results in callose accumulation and cell wall permeability alteration. Plant Sci. 2012, 183, 1–8. [Google Scholar] [CrossRef] [PubMed]
- Cannon, S.B.; Mitra, A.; Baumgarten, A.; Young, N.D.; May, G. The roles of segmental and tandem gene duplication in the evolution of large gene families in Arabidopsis thaliana. BMC Plant Biol. 2004, 4, 10. [Google Scholar] [CrossRef] [PubMed]
- Schuette, S.; Wood, A.J.; Geisler, M.; Geisler-Lee, J.; Ligrone, R.; Renzaglia, K.S. Novel localization of callose in the spores of Physcomitrella patens and phylogenomics of the callose synthase gene family. Ann. Bot. 2009, 103, 749–756. [Google Scholar] [CrossRef] [PubMed]
- Zhou, Z.; Dun, X.; Xia, S.; Shi, D.; Qin, M.; Yi, B.; Wen, J.; Shen, J.; Ma, C.; Tu, J. BnMs3 is required for tapetal differentiation and degradation, microspore separation, and pollen-wall biosynthesis in Brassica napus. J. Exp. Bot. 2011, 63, 2041–2058. [Google Scholar] [CrossRef] [PubMed]
- Enns, L.C.; Kanaoka, M.M.; Torii, K.U.; Comai, L.; Okada, K.; Cleland, R.E. Two callose synthases, GSL1 and GSL5, play an essential and redundant role in plant and pollen development and in fertility. Plant Mol. Biol. 2005, 58, 333–349. [Google Scholar] [CrossRef] [PubMed]
- Zhang, X.; Peng, G.; Kutcher, H.R.; Balesdent, M.-H.; Delourme, R.; Fernando, W.D. Breakdown of Rlm3 resistance in the Brassica napus–Leptosphaeria maculans pathosystem in western Canada. Eur. J. Pathol. 2015, 145, 659–674. [Google Scholar] [CrossRef]
- Liban, S.; Cross, D.; Kutcher, H.; Peng, G.; Fernando, W. Race structure and frequency of avirulence genes in the western Canadian Leptosphaeria maculans pathogen population, the causal agent of blackleg in brassica species. Plant Pathol. 2016. [Google Scholar] [CrossRef]
- Schenk, S.T.; Schikora, A. Staining of callose depositions in root and leaf tissues. Bio-Protocol 2015, 5, e1429. [Google Scholar] [CrossRef]
- Altschul, S.F.; Madden, T.L.; Schäffer, A.A.; Zhang, J.; Zhang, Z.; Miller, W.; Lipman, D.J. Gapped BLAST and PSI-BLAST: A new generation of protein database search programs. Nucleic Acids Res. 1997, 25, 3389–3402. [Google Scholar] [CrossRef] [PubMed]
- Tamura, K.; Stecher, G.; Peterson, D.; Filipski, A.; Kumar, S. MEGA6: molecular evolutionary genetics analysis version 6.0. Mol. Biol. Evol. 2013, 30, 2725–2729. [Google Scholar] [CrossRef] [PubMed]
- Chen, C.; Xia, R.; Chen, H.; He, Y. TBtools, a Toolkit for Biologists integrating various HTS-data handling tools with a user-friendly interface. bioRxiv 2018, 289660. [Google Scholar] [CrossRef]
- Bolger, A.M.; Lohse, M.; Usadel, B. Trimmomatic: A flexible trimmer for Illumina sequence data. Bioinformatics 2014, 30, 2114–2120. [Google Scholar] [CrossRef] [PubMed]
- Langmead, B.; Trapnell, C.; Pop, M.; Salzberg, S.L. Ultrafast and memory-efficient alignment of short DNA sequences to the human genome. Genome Biol. 2009, 10, R25. [Google Scholar] [CrossRef] [PubMed]
- Li, B.; Dewey, C.N. RSEM: Accurate transcript quantification from RNA-Seq data with or without a reference genome. BMC Bioinform. 2011, 12, 323. [Google Scholar] [CrossRef] [PubMed]
- Deng, W.; Wang, Y.; Liu, Z.; Cheng, H.; Xue, Y. HemI: A toolkit for illustrating heatmaps. PLoS ONE 2014, 9, e111988. [Google Scholar] [CrossRef] [PubMed]










| Gene Name | Locus Name | Group | ORF Length | aa | Molecular Weight | pI | No. Transmembrane Domains |
|---|---|---|---|---|---|---|---|
| BnA01.Cals | BnaA01g32440D | A | 5676 | 1892 | 217.01 kDa | 8.2 | 16 |
| BnA02.Cals | BnaA02g01360D | C3 | 5862 | 1954 | 225.77 kDa | 9.35 | 13 |
| BnA03.Cals | BnaA03g29890D | A | 5865 | 1955 | 224.00 kDa | 8.75 | 14 |
| BnA05.Cals.a | BnaA05g07560D | A | 5730 | 1910 | 218.75 kDa | 8.5 | 16 |
| BnA05.Cals.b | BnaA05g11020D | C3 | 5763 | 1921 | 221.74 kDa | 9.52 | 15 |
| BnA05.Cals.c | BnaA05g30410D | A | 5730 | 1910 | 218.93 kDa | 8.61 | 16 |
| BnA07.Cals | BnaA07g18170D | C2 | 5814 | 1938 | 225.22 kDa | 9.36 | 12 |
| BnA09.Cals.a | BnaA09g01630D | B | 5352 | 1784 | 206.97 kDa | 9.43 | 12 |
| BnA09.Cals.b | BnaA09g08360D | C3 | 2112 | 704 | 80.55 kDa | 9.79 | 9 |
| BnA09.Cals.c | BnaA09g20050D | B | 1809 | 603 | 69.11 kDa | 9.92 | 9 |
| BnA09.Cals.d | BnaA09g20060D | B | 3318 | 1106 | 128.92 kDa | 8.94 | 8 |
| BnA09.Cals.e | BnaA09g49880D | C2 | 6255 | 2085 | 241.01 kDa | 8.56 | 15 |
| BnA10.Cals.a | BnaA10g03730D | C3 | 5073 | 1691 | 195.72 kDa | 9.19 | 14 |
| BnA10.Cals.b | BnaA10g04230D | C2 | 5766 | 1922 | 223.47 kDa | 8.94 | 14 |
| BnA10.Cals.c | BnaA10g20270D | C3 | 5871 | 1957 | 226.05 kDa | 9.27 | 15 |
| BnC02.Cals | BnaC02g04450D | C3 | 5865 | 1955 | 225.89 kDa | 9.38 | 13 |
| BnC03.Cals | BnaC03g35120D | A | 5706 | 1902 | 217.82 kDa | 8.93 | 14 |
| BnC04.Cals.a | BnaC04g08410D | A | 5679 | 1893 | 216.76 kDa | 8.29 | 16 |
| BnC04.Cals.b | BnaC04g12720D | C3 | 5811 | 1937 | 224.01 kDa | 9.55 | 15 |
| BnC05.Cals.a | BnaC05g03680D | C3 | 5829 | 1943 | 225.06 kDa | 9.4 | 14 |
| BnC05.Cals.b | BnaC05g04460D | C2 | 4710 | 1570 | 182.96 kDa | 8.19 | 8 |
| BnC05.Cals.c | BnaC05g39020D | C1 | 5856 | 1952 | 226.47 kDa | 8.33 | 14 |
| BnC05.Cals.d | BnaC05g44800D | A | 3609 | 1203 | 137.48 kDa | 8.1 | 11 |
| BnC05.Cals.e | BnaC05g52230D | A | 2847 | 949 | 110.38 kDa | 7.19 | 5 |
| BnC06.Cals | BnaC06g17090D | C2 | 6912 | 2304 | 266.81 kDa | 8.91 | 20 |
| BnC08.Cals | BnaC08g44800D | C2 | 6363 | 2121 | 245.25 kDa | 8.91 | 15 |
| BnC09.Cals.a | BnaC09g00800D | B | 5352 | 1784 | 207.37 kDa | 9.58 | 10 |
| BnC09.Cals.b | BnaC09g08620D | C3 | 5799 | 1933 | 221.65 kDa | 9.25 | 13 |
| BnC09.Cals.c | BnaC09g22380D | B | 1809 | 603 | 69.10 kDa | 9.92 | 9 |
| BnC09.Cals.d | BnaC09g22390D | B | 3318 | 1106 | 129.01 kDa | 9 | 8 |
| BnC09.Cals.e | BnaC09g44080D | C3 | 5871 | 1957 | 226.02 kDa | 9.27 | 15 |
| BnUn.Cals | BnaUnng02530D | A | 1935 | 645 | 72.56 kDa | 9.12 | 8 |
© 2018 by the authors. Licensee MDPI, Basel, Switzerland. This article is an open access article distributed under the terms and conditions of the Creative Commons Attribution (CC BY) license (http://creativecommons.org/licenses/by/4.0/).
Share and Cite
Liu, F.; Zou, Z.; Fernando, W.G.D. Characterization of Callose Deposition and Analysis of the Callose Synthase Gene Family of Brassica napus in Response to Leptosphaeria maculans. Int. J. Mol. Sci. 2018, 19, 3769. https://doi.org/10.3390/ijms19123769
Liu F, Zou Z, Fernando WGD. Characterization of Callose Deposition and Analysis of the Callose Synthase Gene Family of Brassica napus in Response to Leptosphaeria maculans. International Journal of Molecular Sciences. 2018; 19(12):3769. https://doi.org/10.3390/ijms19123769
Chicago/Turabian StyleLiu, Fei, Zhongwei Zou, and W. G. Dilantha Fernando. 2018. "Characterization of Callose Deposition and Analysis of the Callose Synthase Gene Family of Brassica napus in Response to Leptosphaeria maculans" International Journal of Molecular Sciences 19, no. 12: 3769. https://doi.org/10.3390/ijms19123769
APA StyleLiu, F., Zou, Z., & Fernando, W. G. D. (2018). Characterization of Callose Deposition and Analysis of the Callose Synthase Gene Family of Brassica napus in Response to Leptosphaeria maculans. International Journal of Molecular Sciences, 19(12), 3769. https://doi.org/10.3390/ijms19123769

