Ghrelin Receptor Antagonism of Methamphetamine-Induced Conditioned Place Preference and Intravenous Self-Administration in Rats
Abstract
1. Introduction
2. Results
2.1. Conditioned Place Preference
2.1.1. Antagonism of Methamphetamine-CPP Expression
2.1.2. Antagonism of the Methamphetamine-CPP Conditioning Process
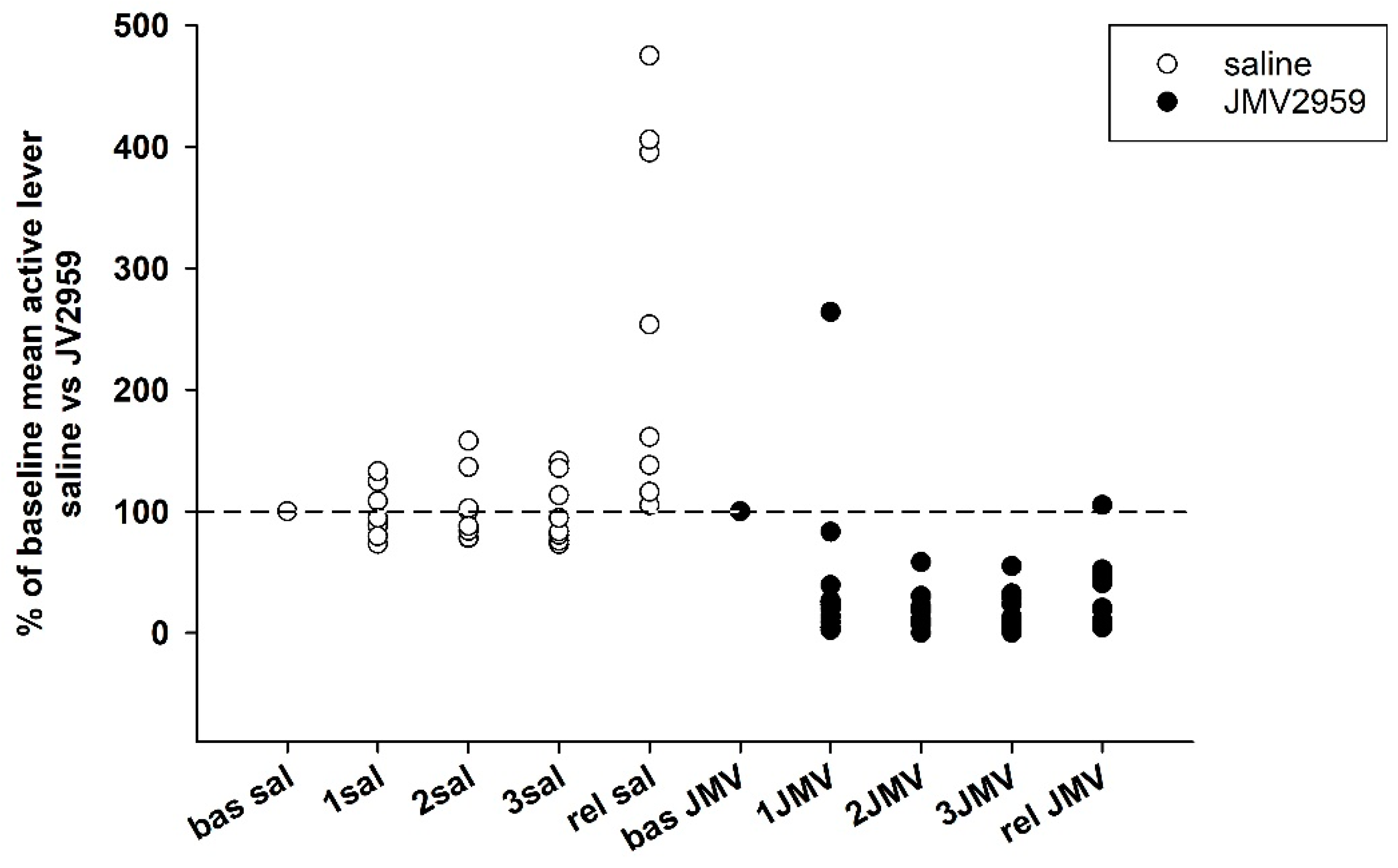
2.2. Intravenous Self-Administration
2.2.1. JMV2959 Pretreatment Effects on Methamphetamine IVSA
2.2.2. JMV2959 Pretreatment Effects on Methamphetamine Relapse-Like Behavior
3. Discussion
4. Materials and Methods
4.1. Animals
4.2. Drugs and Chemicals
4.3. Conditioned Place Preference
4.4. Antagonism of Methamphetamine-CPP Expression
4.5. Antagonism of the Methamphetamine-CPP Conditioning Process
4.6. Intravenous Self-Administration
4.7. Statistical Analysis
Author Contributions
Funding
Acknowledgments
Conflicts of Interest
Abbreviations
| IVSA | intravenous self-administration |
| CPP | conditioned place preference |
| NAC | nucleus accumbens |
| VTA | ventral tegmental area |
References
- Feldman, R.S.; Meyer, J.S.; Quenzer, L.F.; Cooper, J.R. Stimulants: Amphetamine and cocaine. In Principles of Neuropsychopharmacology; Sinauer Assiciates Publishers: Sunderland, MA, USA, 1997. [Google Scholar]
- Kirkpatrick, M.G.; Gunderson, E.W.; Johanson, C.E.; Levin, F.R.; Foltin, R.W.; Hart, C.L. Comparison of intranasal methamphetamine and d-amphetamine self-administration by humans. Addiction 2012, 107, 783–791. [Google Scholar] [CrossRef] [PubMed]
- Darke, S.; Kaye, S.; McKetin, R.; Duflou, J. Major physical and psychological harms of methamphetamine use. Drug Alcohol Rev. 2008, 27, 253–262. [Google Scholar] [CrossRef] [PubMed]
- National Survey of Drug Use and Health in 2016 in the USA; NIDA: Bethesda, MD, USA, 2017.
- EMCDDA. European Drug Report; Publications Office of the European Union: Luxembourg, 2016. [Google Scholar]
- Engel, J.A.; Jerlhag, E. Role of appetite-regulating peptides in the pathophysiology of addiction: Implications for pharmacotherapy. CNS Drugs 2014, 28, 875–886. [Google Scholar] [CrossRef] [PubMed]
- Panagopoulos, V.N.; Ralevski, E. The role of ghrelin in addiction: A review. Psychopharmacology 2014, 231, 2725–2740. [Google Scholar] [CrossRef] [PubMed]
- Koopmann, A.; Schuster, R.; Kiefer, F. The impact of the appetite-regulating, orexigenic peptide ghrelin on alcohol use disorders: A systematic review of preclinical and clinical data. Biol. Psychol. 2018, 131, 14–30. [Google Scholar] [CrossRef] [PubMed]
- Leggio, L.; Zywiak, W.H.; Fricchione, S.R.; Edwards, S.M.; de la Monte, S.M.; Swift, R.M.; Kenna, G.A. Intravenous ghrelin administration increases alcohol craving in alcohol-dependent heavy drinkers: A preliminary investigation. Biol. Psychiatry 2014, 76, 734–741. [Google Scholar] [CrossRef] [PubMed]
- Farokhnia, M.; Grodin, E.N.; Lee, M.R.; Oot, E.N.; Blackburn, A.N.; Stangl, B.L.; Schwandt, M.L.; Farinelli, L.A.; Momenan, R.; Ramchandani, V.A.; et al. Exogenous ghrelin administration increases alcohol self-administration and modulates brain functional activity in heavy-drinking alcohol-dependent individuals. Mol. Psychiatry 2017. [Google Scholar] [CrossRef] [PubMed]
- Lee, M.R.; Tapocik, J.D.; Ghareeb, M.; Schwandt, M.L.; Dias, A.A.; Le, A.N.; Cobbina, E.; Farinelli, L.A.; Bouhlal, S.; Farokhnia, M.; et al. The novel ghrelin receptor inverse agonist PF-5190457 administered with alcohol: Preclinical safety experiments and a phase 1b human laboratory study. Mol. Psychiatry 2018. [Google Scholar] [CrossRef] [PubMed]
- Wellman, P.J.; Davis, K.W.; Nation, J.R. Augmentation of cocaine hyperactivity in rats by systemic ghrelin. Regul. Pept. 2005, 125, 151–154. [Google Scholar] [CrossRef] [PubMed]
- Wellman, P.J.; Hollas, C.N.; Elliott, A.E. Systemic ghrelin sensitizes cocaine-induced hyperlocomotion in rats. Regul. Pept. 2008, 146, 33–37. [Google Scholar] [CrossRef] [PubMed]
- Jang, J.K.; Kim, W.Y.; Cho, B.R.; Lee, J.W.; Kim, J.H. Microinjection of ghrelin in the nucleus accumbens core enhances locomotor activity induced by cocaine. Behav. Brain Res. 2013, 248, 7–11. [Google Scholar] [CrossRef] [PubMed]
- Davis, K.W.; Wellman, P.J.; Clifford, P.S. Augmented cocaine conditioned place preference in rats pretreated with systemic ghrelin. Regul. Pept. 2007, 140, 148–152. [Google Scholar] [CrossRef] [PubMed]
- Schuette, L.M.; Gray, C.C.; Currie, P.J. Microinjection of Ghrelin into the Ventral Tegmental Area Potentiates Cocaine-Induced Conditioned Place Preference. J. Behav. Brain Sci. 2013, 3, 276–580. [Google Scholar] [CrossRef] [PubMed]
- Abizaid, A.; Mineur, Y.S.; Roth, R.H.; Elsworth, J.D.; Sleeman, M.W.; Picciotto, M.R.; Horvath, T.L. Reduced locomotor responses to cocaine in ghrelin-deficient mice. Neuroscience 2011, 192, 500–506. [Google Scholar] [CrossRef] [PubMed]
- Clifford, P.S.; Rodriguez, J.; Schul, D.; Hughes, S.; Kniffin, T.; Hart, N.; Eitan, S.; Brunel, L.; Fehrentz, J.A.; Martinez, J.; et al. Attenuation of cocaine-induced locomotor sensitization in rats sustaining genetic or pharmacologic antagonism of ghrelin receptors. Addict. Biol. 2012, 17, 956–963. [Google Scholar] [CrossRef] [PubMed]
- Wellman, P.J.; Clifford, P.S.; Rodriguez, J.A. Ghrelin and ghrelin receptor modulation of psychostimulant action. Front. Neurosci. 2013, 7, 171. [Google Scholar] [CrossRef] [PubMed]
- Jerlhag, E.; Egecioglu, E.; Dickson, S.L.; Engel, J.A. Ghrelin receptor antagonism attenuates cocaine- and amphetamine-induced locomotor stimulation, accumbal dopamine release, and conditioned place preference. Psychopharmacology 2010, 211, 415–422. [Google Scholar] [CrossRef] [PubMed]
- Jerlhag, E.; Engel, J.A. Ghrelin receptor antagonism attenuates nicotine-induced locomotor stimulation, accumbal dopamine release and conditioned place preference in mice. Drug Alcohol Depend. 2011, 117, 126–131. [Google Scholar] [CrossRef] [PubMed]
- Wellman, P.J.; Clifford, P.S.; Rodriguez, J.; Hughes, S.; Eitan, S.; Brunel, L.; Fehrentz, J.A.; Martinez, J. Pharmacologic antagonism of ghrelin receptors attenuates development of nicotine induced locomotor sensitization in rats. Regul. Pept. 2011, 172, 77–80. [Google Scholar] [CrossRef] [PubMed]
- Barak, L.S.; Bai, Y.; Peterson, S.; Evron, T.; Urs, N.M.; Peddibhotla, S.; Hedrick, M.P.; Hershberger, P.; Maloney, P.R.; Chung, T.D.; et al. ML314: A Biased Neurotensin Receptor Ligand for Methamphetamine Abuse. ACS Chem. Biol. 2016, 11, 1880–1890. [Google Scholar] [CrossRef] [PubMed]
- Suchankova, P.; Engel, J.A.; Jerlhag, E. Sub-chronic Ghrelin Receptor Blockade Attenuates Alcohol- and Amphetamine-Induced Locomotor Stimulation in Mice. Alcohol Alcohol. 2016, 51, 121–127. [Google Scholar] [CrossRef] [PubMed]
- Yokel, R.A.; Pickens, R. Self-administration of optical isomers of amphetamine and methylamphetamine by rats. J. Pharmacol. Exp. Ther. 1973, 187, 27–33. [Google Scholar] [PubMed]
- Balster, R.L.; Schuster, C.R. A comparison of d-amphetamine, l-amphetamine, and methamphetamine self-administration in rhesus monkeys. Pharmacol. Biochem. Behav. 1973, 1, 67–71. [Google Scholar] [CrossRef]
- Goodwin, J.S.; Larson, G.A.; Swant, J.; Sen, N.; Javitch, J.A.; Zahniser, N.R.; De Felice, L.J.; Khoshbouei, H. Amphetamine and methamphetamine differentially affect dopamine transporters in vitro and in vivo. J. Biol. Chem. 2009, 284, 2978–2989. [Google Scholar] [CrossRef] [PubMed]
- Hall, D.A.; Stanis, J.J.; Marquez Avila, H.; Gulley, J.M. A comparison of amphetamine- and methamphetamine-induced locomotor activity in rats: Evidence for qualitative differences in behavior. Psychopharmacology 2008, 195, 469–478. [Google Scholar] [CrossRef] [PubMed]
- Kobeissy, F.H.; Jeung, J.A.; Warren, M.W.; Geier, J.E.; Gold, M.S. Changes in leptin, ghrelin, growth hormone and neuropeptide-Y after an acute model of MDMA and methamphetamine exposure in rats. Addict. Biol. 2008, 13, 15–25. [Google Scholar] [CrossRef] [PubMed]
- Yoon, S.J.; Pae, C.U.; Lee, H.; Choi, B.; Kim, T.S.; Lyoo, I.K.; Kwon, D.H.; Kim, D.J. Ghrelin precursor gene polymorphism and methamphetamine dependence in the Korean population. Neurosci. Res. 2005, 53, 391–395. [Google Scholar] [CrossRef] [PubMed]
- Bardo, M.T.; Bevins, R.A. Conditioned place preference: What does it add to our preclinical understanding of drug reward? Psychopharmacology 2000, 153, 31–43. [Google Scholar] [CrossRef] [PubMed]
- Brady, J.V. Animal models for assessing drugs of abuse. Neurosci. Biobehav. Rev. 1991, 15, 35–43. [Google Scholar] [CrossRef]
- Bardo, M.T.; Valone, J.M.; Bevins, R.A. Locomotion and conditioned place preference produced by acute intravenous amphetamine: Role of dopamine receptors and individual differences in amphetamine self-administration. Psychopharmacology 1999, 143, 39–46. [Google Scholar] [CrossRef] [PubMed]
- Di Chiara, G. Drug addiction as dopamine-dependent associative learning disorder. Eur. J. Pharmacol. 1999, 375, 13–30. [Google Scholar] [CrossRef]
- Abizaid, A.; Liu, Z.W.; Andrews, Z.B.; Shanabrough, M.; Borok, E.; Elsworth, J.D.; Roth, R.H.; Sleeman, M.W.; Picciotto, M.R.; Tschop, M.H.; et al. Ghrelin modulates the activity and synaptic input organization of midbrain dopamine neurons while promoting appetite. J. Clin. Investig. 2006, 116, 3229–3239. [Google Scholar] [CrossRef] [PubMed]
- Ferrini, F.; Salio, C.; Lossi, L.; Merighi, A. Ghrelin in central neurons. Curr. Neuropharmacol. 2009, 7, 37–49. [Google Scholar] [CrossRef] [PubMed]
- Landgren, S.; Engel, J.A.; Hyytia, P.; Zetterberg, H.; Blennow, K.; Jerlhag, E. Expression of the gene encoding the ghrelin receptor in rats selected for differential alcohol preference. Behav. Brain Res. 2011, 221, 182–188. [Google Scholar] [CrossRef] [PubMed]
- Naleid, A.M.; Grace, M.K.; Cummings, D.E.; Levine, A.S. Ghrelin induces feeding in the mesolimbic reward pathway between the ventral tegmental area and the nucleus accumbens. Peptides 2005, 26, 2274–2279. [Google Scholar] [CrossRef] [PubMed]
- Jerlhag, E.; Egecioglu, E.; Dickson, S.L.; Engel, J.A. Glutamatergic regulation of ghrelin-induced activation of the mesolimbic dopamine system. Addict. Biol. 2011, 16, 82–91. [Google Scholar] [CrossRef] [PubMed]
- Jerlhag, E.; Janson, A.C.; Waters, S.; Engel, J.A. Concomitant release of ventral tegmental acetylcholine and accumbal dopamine by ghrelin in rats. PLoS ONE 2012, 7, e49557. [Google Scholar] [CrossRef] [PubMed]
- Zakharova, E.; Leoni, G.; Kichko, I.; Izenwasser, S. Differential effects of methamphetamine and cocaine on conditioned place preference and locomotor activity in adult and adolescent male rats. Behav. Brain Res. 2009, 198, 45–50. [Google Scholar] [CrossRef] [PubMed]
- Taslimi, Z.; Komaki, A.; Haghparast, A.; Sarihi, A. Effects of Acute and Chronic Restraint Stress on Reinstatement of Extinguished Methamphetamine-induced Conditioned Place Preference in Rats. Basic Clin. Neurosci. 2018, 9, 157–166. [Google Scholar] [CrossRef] [PubMed]
- Dela Pena, I.; Ahn, H.S.; Choi, J.Y.; Shin, C.Y.; Ryu, J.H.; Cheong, J.H. Reinforcing effects of methamphetamine in an animal model of attention-deficit/hyperactivity disorder—The spontaneously hypertensive rat. Behav. Brain Funct. BBF 2010, 6, 72. [Google Scholar] [CrossRef] [PubMed]
- Jerlhag, E.; Egecioglu, E.; Landgren, S.; Salome, N.; Heilig, M.; Moechars, D.; Datta, R.; Perrissoud, D.; Dickson, S.L.; Engel, J.A. Requirement of central ghrelin signaling for alcohol reward. Proc. Natl. Acad. Sci. USA 2009, 106, 11318–11323. [Google Scholar] [CrossRef] [PubMed]
- Rodriguez, J.A.; Fehrentz, J.A.; Martinez, J.; Ben Haj Salah, K.; Wellman, P.J. The GHR-R antagonist JMV 2959 neither induces malaise nor alters the malaise property of LiCl in the adult male rat. Physiol. Behav. 2018, 183, 46–48. [Google Scholar] [CrossRef] [PubMed]
- Sustkova-Fiserova, M.; Charalambous, C.; Havlickova, T.; Lapka, M.; Jerabek, P.; Puskina, N.; Syslova, K. Alterations in Rat Accumbens Endocannabinoid and GABA Content during Fentanyl Treatment: The Role of Ghrelin. Int. J. Mol. Sci. 2017, 18, 2486. [Google Scholar] [CrossRef] [PubMed]
- Jerabek, P.; Havlickova, T.; Puskina, N.; Charalambous, C.; Lapka, M.; Kacer, P.; Sustkova-Fiserova, M. Ghrelin receptor antagonism of morphine-induced conditioned place preference and behavioral and accumbens dopaminergic sensitization in rats. Neurochem. Int. 2017, 110, 101–113. [Google Scholar] [CrossRef] [PubMed]
- Ruda-Kucerova, J.; Babinska, Z.; Stark, T.; Micale, V. Suppression of Methamphetamine Self-Administration by Ketamine Pre-treatment Is Absent in the Methylazoxymethanol (MAM) Rat Model of Schizophrenia. Neurotox. Res. 2017, 32, 121–133. [Google Scholar] [CrossRef] [PubMed]
- Kitamura, O.; Wee, S.; Specio, S.E.; Koob, G.F.; Pulvirenti, L. Escalation of methamphetamine self-administration in rats: A dose-effect function. Psychopharmacology 2006, 186, 48–53. [Google Scholar] [CrossRef] [PubMed]
- Clemens, K.J.; Cornish, J.L.; Hunt, G.E.; McGregor, I.S. Intravenous methamphetamine self-administration in rats: Effects of intravenous or intraperitoneal MDMA co-administration. Pharmacol. Biochem. Behav. 2006, 85, 454–463. [Google Scholar] [CrossRef] [PubMed]
- Carroll, M.E.; France, C.P.; Meisch, R.A. Food deprivation increases oral and intravenous drug intake in rats. Science 1979, 205, 319–321. [Google Scholar] [CrossRef] [PubMed]
- Carroll, M.E.; Stotz, D.C. Oral d-amphetamine and ketamine self-administration by rhesus monkeys: Effects of food deprivation. J. Pharmacol. Exp. Ther. 1983, 227, 28–34. [Google Scholar] [PubMed]
- Pittenger, S.T.; Barrett, S.T.; Chou, S.; Bevins, R.A. The effects of varenicline on methamphetamine self-administration and drug-primed reinstatement in male rats. Behav. Brain Res. 2017, 320, 195–199. [Google Scholar] [CrossRef] [PubMed]
- Van der Kam, E.L.; De Vry, J.; Tzschentke, T.M. The mGlu5 receptor antagonist 2-methyl-6-(phenylethynyl)pyridine (MPEP) supports intravenous self-administration and induces conditioned place preference in the rat. Eur. J. Pharmacol. 2009, 607, 114–120. [Google Scholar] [CrossRef] [PubMed]
- Adhikary, S.; Caprioli, D.; Venniro, M.; Kallenberger, P.; Shaham, Y.; Bossert, J.M. Incubation of extinction responding and cue-induced reinstatement, but not context- or drug priming-induced reinstatement, after withdrawal from methamphetamine. Addict. Biol. 2017, 22, 977–990. [Google Scholar] [CrossRef] [PubMed]
- Suchankova, P.; Steensland, P.; Fredriksson, I.; Engel, J.A.; Jerlhag, E. Ghrelin receptor (GHS-R1A) antagonism suppresses both alcohol consumption and the alcohol deprivation effect in rats following long-term voluntary alcohol consumption. PLoS ONE 2013, 8, e71284. [Google Scholar] [CrossRef] [PubMed]
- Gomez, J.L.; Cunningham, C.L.; Finn, D.A.; Young, E.A.; Helpenstell, L.K.; Schuette, L.M.; Fidler, T.L.; Kosten, T.A.; Ryabinin, A.E. Differential effects of ghrelin antagonists on alcohol drinking and reinforcement in mouse and rat models of alcohol dependence. Neuropharmacology 2015, 97, 182–193. [Google Scholar] [CrossRef] [PubMed]
- Landgren, S.; Simms, J.A.; Hyytia, P.; Engel, J.A.; Bartlett, S.E.; Jerlhag, E. Ghrelin receptor (GHS-R1A) antagonism suppresses both operant alcohol self-administration and high alcohol consumption in rats. Addict. Biol. 2012, 17, 86–94. [Google Scholar] [CrossRef] [PubMed]
- Maric, T.; Sedki, F.; Ronfard, B.; Chafetz, D.; Shalev, U. A limited role for ghrelin in heroin self-administration and food deprivation-induced reinstatement of heroin seeking in rats. Addict. Biol. 2012, 17, 613–622. [Google Scholar] [CrossRef] [PubMed]
- Vinklerova, J.; Novakova, J.; Sulcova, A. Inhibition of methamphetamine self-administration in rats by cannabinoid receptor antagonist AM 251. J. Psychopharmacol. 2002, 16, 139–143. [Google Scholar] [CrossRef] [PubMed]
- Rodriguez, J.S.; Boctor, S.Y.; Flores, L.C.; Phelix, C.F.; Martinez, J.L., Jr. Local pretreatment with the cannabinoid CB1 receptor antagonist AM251 attenuates methamphetamine intra-accumbens self-administration. Neurosci. Lett. 2011, 489, 187–191. [Google Scholar] [CrossRef] [PubMed]
- Kleijn, J.; Wiskerke, J.; Cremers, T.I.; Schoffelmeer, A.N.; Westerink, B.H.; Pattij, T. Effects of amphetamine on dopamine release in the rat nucleus accumbens shell region depend on cannabinoid CB1 receptor activation. Neurochem. Int. 2012, 60, 791–798. [Google Scholar] [CrossRef] [PubMed]
- Thiemann, G.; van der Stelt, M.; Petrosino, S.; Molleman, A.; Di Marzo, V.; Hasenohrl, R.U. The role of the CB1 cannabinoid receptor and its endogenous ligands, anandamide and 2-arachidonoylglycerol, in amphetamine-induced behavioural sensitization. Behav. Brain Res. 2008, 187, 289–296. [Google Scholar] [CrossRef] [PubMed]
- Su, H.; Zhao, M. Endocannabinoid mechanism in amphetamine-type stimulant use disorders: A short review. J. Clin. Neurosci. Off. J. Neurosurg. Soc. Australas. 2017, 46, 9–12. [Google Scholar] [CrossRef] [PubMed]
- Kalafateli, A.L.; Vallof, D.; Jornulf, J.W.; Heilig, M.; Jerlhag, E. A cannabinoid receptor antagonist attenuates ghrelin-induced activation of the mesolimbic dopamine system in mice. Physiol. Behav. 2018, 184, 211–219. [Google Scholar] [CrossRef] [PubMed]
- Jiao, D.; Liu, Y.; Li, X.; Liu, J.; Zhao, M. The role of the GABA system in amphetamine-type stimulant use disorders. Front. Cell. Neurosci. 2015, 9, 162. [Google Scholar] [CrossRef] [PubMed]
- Holst, B.; Cygankiewicz, A.; Jensen, T.H.; Ankersen, M.; Schwartz, T.W. High constitutive signaling of the ghrelin receptor—Identification of a potent inverse agonist. Mol. Endocrinol. 2003, 17, 2201–2210. [Google Scholar] [CrossRef] [PubMed]
- M’Kadmi, C.; Leyris, J.P.; Onfroy, L.; Gales, C.; Sauliere, A.; Gagne, D.; Damian, M.; Mary, S.; Maingot, M.; Denoyelle, S.; et al. Agonism, Antagonism, and Inverse Agonism Bias at the Ghrelin Receptor Signaling. J. Biol. Chem. 2015, 290, 27021–27039. [Google Scholar] [CrossRef] [PubMed]
- Moulin, A.; Ryan, J.; Martinez, J.; Fehrentz, J.A. Recent developments in ghrelin receptor ligands. ChemMedChem 2007, 2, 1242–1259. [Google Scholar] [CrossRef] [PubMed]
- Constantino Luca, B.D. Ghrelin receptor modulators: A patent review (2011–2014). Expert Opin. Ther. Patents 2014, 24, 1007–1019. [Google Scholar] [CrossRef] [PubMed]
- Muller, T.D.; Nogueiras, R.; Andermann, M.L.; Andrews, Z.B.; Anker, S.D.; Argente, J.; Batterham, R.L.; Benoit, S.C.; Bowers, C.Y.; Broglio, F.; et al. Ghrelin. Mol. Metab. 2015, 4, 437–460. [Google Scholar] [CrossRef] [PubMed]
- Esler, W.P.; Rudolph, J.; Claus, T.H.; Tang, W.; Barucci, N.; Brown, S.E.; Bullock, W.; Daly, M.; Decarr, L.; Li, Y.; et al. Small-molecule ghrelin receptor antagonists improve glucose tolerance, suppress appetite, and promote weight loss. Endocrinology 2007, 148, 5175–5185. [Google Scholar] [CrossRef] [PubMed]
- Moulin, A.; Brunel, L.; Boeglin, D.; Demange, L.; Ryan, J.; M’Kadmi, C.; Denoyelle, S.; Martinez, J.; Fehrentz, J.A. The 1,2,4-triazole as a scaffold for the design of ghrelin receptor ligands: Development of JMV 2959, a potent antagonist. Amino Acids 2013, 44, 301–314. [Google Scholar] [CrossRef] [PubMed]
- Moulin, A.; Demange, L.; Berge, G.; Gagne, D.; Ryan, J.; Mousseaux, D.; Heitz, A.; Perrissoud, D.; Locatelli, V.; Torsello, A.; et al. Toward potent ghrelin receptor ligands based on trisubstituted 1,2,4-triazole structure. 2. Synthesis and pharmacological in vitro and in vivo evaluations. J. Med. Chem. 2007, 50, 5790–5806. [Google Scholar] [CrossRef] [PubMed]
- Sustkova-Fiserova, M.; Jerabek, P.; Havlickova, T.; Kacer, P.; Krsiak, M. Ghrelin receptor antagonism of morphine-induced accumbens dopamine release and behavioral stimulation in rats. Psychopharmacology 2014, 231, 2899–2908. [Google Scholar] [CrossRef] [PubMed]
- Sustkova-Fiserova, M.; Jerabek, P.; Havlickova, T.; Syslova, K.; Kacer, P. Ghrelin and endocannabinoids participation in morphine-induced effects in the rat nucleus accumbens. Psychopharmacology 2016, 233, 469–484. [Google Scholar] [CrossRef] [PubMed]
- Sanchis-Segura, C.; Spanagel, R. Behavioural assessment of drug reinforcement and addictive features in rodents: An overview. Addict. Biol. 2006, 11, 2–38. [Google Scholar] [CrossRef] [PubMed]
- Kucerova, J.; Pistovcakova, J.; Vrskova, D.; Dusek, L.; Sulcova, A. The effects of methamphetamine self-administration on behavioural sensitization in the olfactory bulbectomy rat model of depression. Int. J. Neuropsychopharmacol. 2012, 15, 1503–1511. [Google Scholar] [CrossRef] [PubMed]










| Changes of Rat Body Mass within the IVSA Study-Group Means (g ± SEM) | ||||
|---|---|---|---|---|
| Group/interval | Bas mean | JMV/sal mean | Rel behav | Total mean |
| JMV2959 group | 286.7 ± 3.3 | 289.1 ± 6.3 | 351.0 ± 12.6 | 292.3 ± 7.3 |
| Saline group | 293.2 ± 5.3 | 298.1 ± 6.1 | 361.4 ± 18.4 | 300.1 ± 6.0 |
© 2018 by the authors. Licensee MDPI, Basel, Switzerland. This article is an open access article distributed under the terms and conditions of the Creative Commons Attribution (CC BY) license (http://creativecommons.org/licenses/by/4.0/).
Share and Cite
Havlickova, T.; Charalambous, C.; Lapka, M.; Puskina, N.; Jerabek, P.; Sustkova-Fiserova, M. Ghrelin Receptor Antagonism of Methamphetamine-Induced Conditioned Place Preference and Intravenous Self-Administration in Rats. Int. J. Mol. Sci. 2018, 19, 2925. https://doi.org/10.3390/ijms19102925
Havlickova T, Charalambous C, Lapka M, Puskina N, Jerabek P, Sustkova-Fiserova M. Ghrelin Receptor Antagonism of Methamphetamine-Induced Conditioned Place Preference and Intravenous Self-Administration in Rats. International Journal of Molecular Sciences. 2018; 19(10):2925. https://doi.org/10.3390/ijms19102925
Chicago/Turabian StyleHavlickova, Tereza, Chrysostomos Charalambous, Marek Lapka, Nina Puskina, Pavel Jerabek, and Magdalena Sustkova-Fiserova. 2018. "Ghrelin Receptor Antagonism of Methamphetamine-Induced Conditioned Place Preference and Intravenous Self-Administration in Rats" International Journal of Molecular Sciences 19, no. 10: 2925. https://doi.org/10.3390/ijms19102925
APA StyleHavlickova, T., Charalambous, C., Lapka, M., Puskina, N., Jerabek, P., & Sustkova-Fiserova, M. (2018). Ghrelin Receptor Antagonism of Methamphetamine-Induced Conditioned Place Preference and Intravenous Self-Administration in Rats. International Journal of Molecular Sciences, 19(10), 2925. https://doi.org/10.3390/ijms19102925

