Melanin and Melanin-Related Polymers as Materials with Biomedical and Biotechnological Applications—Cuttlefish Ink and Mussel Foot Proteins as Inspired Biomolecules
Abstract
:1. Introduction. Melanin as a Relevant Biomaterial
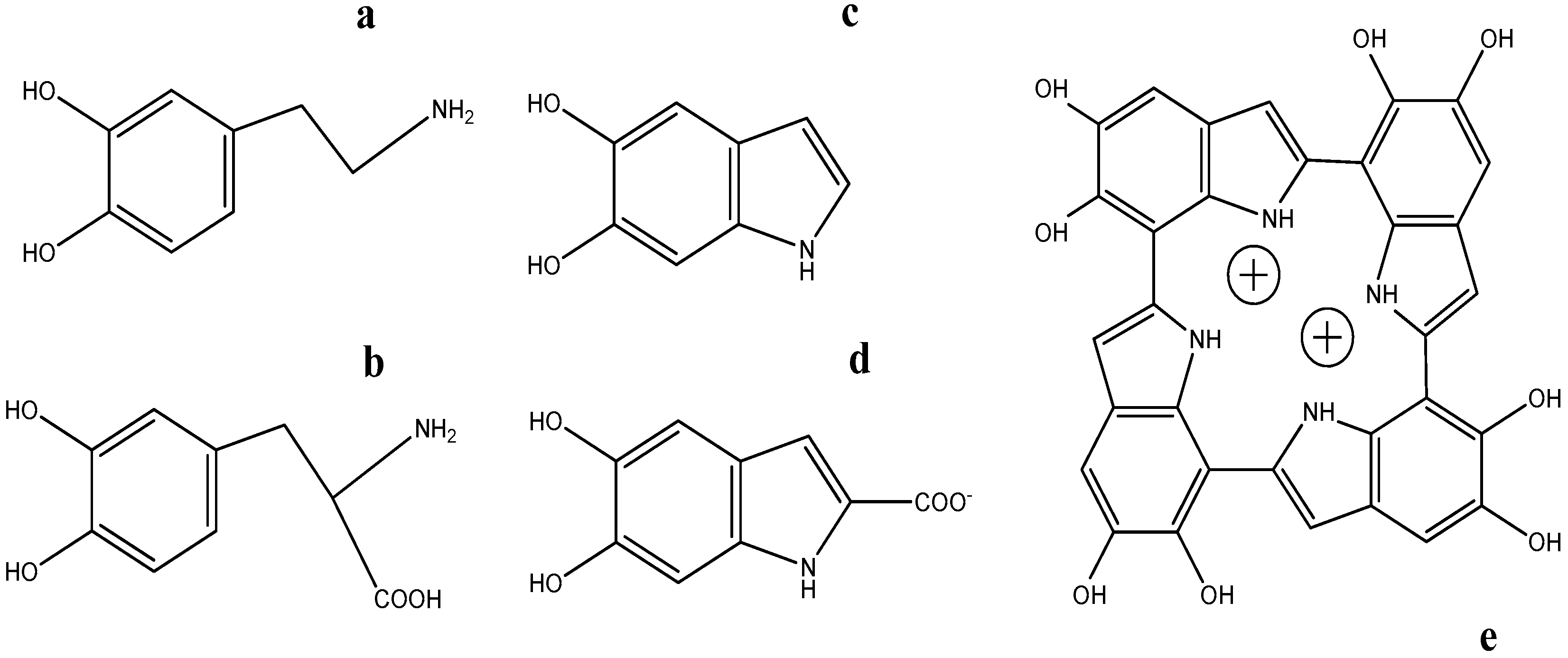
1.1. Melanin (Eumelanin) Structures
1.2. The Relationship between Melanin, PDAM and Adhesive Materials
1.3. Natural Melanin versus Synthetic DPAM
1.4. Effect of Media Conditions on DPAM Formation
1.5. Types of PDAM-Containing Nanoparticles. PDAM Combination with Other Materials
2. Melanin in Biomedical Applications
2.1. Melanin in Magnetic Resonance Imaging (MRI)
2.2. Melanin in Antioxidant Therapy
2.3. Melanin in Photothermal Therapy
2.4. Melanin in Chemotherapy and Theranostics
2.5. Melanin as a Complement for Tissue Scaffolds and Sealing Material
2.6. Miscellaneous. Other Applications of PDAM
3. Concluding Remarks
Acknowledgments
Conflicts of Interest
Abbreviations
| H, K, P, Y | Amino acids letter code for Histidine, Lysine, Proline and Tyrosine |
| DA | Dopamine |
| Dopa | 3,4-Dihydroxy phenylalanine |
| DHI | 5,6-Dihydroxyindole |
| DHICA | 5,6-Dihydroxyindole-2-carboxylic acid |
| DPTA | Diethylenetriaminepentacetate |
| Mfps | Mussel foot proteins |
| MRI | Magnetic Resonance Imaging |
| PDAM | Polydopamine Melanin |
| PEG | Polyethylenglycol |
| PTFE | Polytetrafluoroethylene |
| PVDF | Polyvinyledendifluoride |
| RNOS | Reactive Nitrogen Oxygen Species |
| Tris | Tris-(hydroxymethyl)aminomethane |
References
- D’Ischia, M.; Wakamatsu, K.; Napolitano, A.; Briganti, S.; Garcia-Borrón, J.C.; Kovacs, D.; Meredith, P.; Pezzella, A.; Picardo, M.; Sarna, T.; et al. Melanins and melanogenesis: Methods, standards, protocols. Pigment Cell Melanoma Res. 2013, 26, 616–633. [Google Scholar] [CrossRef] [PubMed]
- Solano, F. Melanins: Skin pigments and much more-types, structural models, biological functions, and formation routes. New J. Sci. 2014, 2014, 498276. [Google Scholar] [CrossRef]
- Sedó, J.; Saiz-Poseu, J.; Busqué, F.; Ruiz-Molina, D. Catechol-based biomimetic functional materials. Adv. Mater. 2013, 25, 653–701. [Google Scholar] [CrossRef] [PubMed]
- Kutyrev, A. Nucleophilic reactions of quinones. Tetrahedron 1991, 47, 8043–8065. [Google Scholar] [CrossRef]
- Muskovich, M.; Bettinger, C.J. Biomaterials-based electronics: Polymers and interfaces for biology and medicine. Adv. Health Mater. 2012, 1, 248–266. [Google Scholar] [CrossRef] [PubMed]
- Irimia-Vladu, M. “Green” electronics: Biodegradable and biocompatible materials and devices for sustainable future. Chem. Soc. Rev. 2014, 43, 588–610. [Google Scholar] [CrossRef] [PubMed]
- Araújo, M.; Viveiros, R.; Correia, T.R.; Correia, I.J.; Bonifácio, V.D.; Casimiro, T.; Aguiar-Ricardo, A. Natural melanin: A potential pH-responsive drug release device. Int. J. Pharm. 2014, 469, 140–145. [Google Scholar] [CrossRef] [PubMed]
- Bettinger, C.J.; Bruggeman, J.P.; Misra, A.; Borenstein, J.T.; Langer, R. Biocompatibility of biodegradable semiconducting melanin films for nerve tissue engineering. Biomaterials 2009, 30, 3050–3057. [Google Scholar] [CrossRef] [PubMed]
- Ju, K.Y.; Lee, Y.; Lee, S.; Park, S.B.; Lee, J.K. Bioinspired polymerization of dopamine to generate melanin-like nanoparticles having an excellent free-radical-scavenging property. Biomacromolecules 2011, 12, 625–632. [Google Scholar] [CrossRef] [PubMed]
- Liu, Y.; Ai, K.; Liu, J.; Deng, M.; He, Y.; Lu, L. Dopamine-melanin colloidal nanospheres: An efficient near-infrared photothermal therapeutic agent for in vivo cancer therapy. Adv. Mater. 2013, 25, 1353–1359. [Google Scholar] [CrossRef] [PubMed]
- Kumar, P.; Di Mauro, E.; Zhang, S.; Pezzella, A.; Soavi, F.; Santato, C.; Cicoira, F. Melanin-based flexible supercapacitors. J. Mater. Chem. C 2016, 4, 9516–9525. [Google Scholar] [CrossRef]
- Jin, Z.; Fan, H. The modulation of melanin-like materials: Methods, characterization and applications. Polym. Int. 2016, 65, 1258–1266. [Google Scholar] [CrossRef]
- Tan, G.; Liu, Y.; Wu, Y.; Ouyang, K.; Zhou, L.; Yu, P.; Liao, J.; Ning, C. Electrically reversible redox-switchable polydopamine films for regulating cell behavior. Electrochim. Acta 2017, 228, 343–350. [Google Scholar] [CrossRef]
- D’Ischia, M.; Wakamatsu, K.; Cicoira, F.; di Mauro, E.; Garcia-Borrón, J.C.; Commo, S.; Ismael Galván, I.; Ghanem, G.; Kenzo, K.; Paul Meredith, P.; et al. Melanins and melanogenesis: From pigment cells to human health and technological applications. Pigment Cell Melanoma Res. 2015, 28, 520–544. [Google Scholar]
- Mauro, E.D.; Xu, R.; Soliveri, G.; Santato, C. Natural melanin pigments and their interfaces with metal ions and oxides: Emerging concepts and technologies. MRS Commun. 2017, 7, 141–151. [Google Scholar] [CrossRef]
- Ito, S.; Wakamatsu, K. Chemistry of mixed melanogenesis-pivotal roles of dopaquinone. Photochem. Photobiol. 2008, 84, 582–592. [Google Scholar] [CrossRef] [PubMed]
- Swan, G.A. Structure, chemistry, and biosynthesis of the melanins. Prog. Chem. Org. Nat. Product. 1974, 31, 521–582. [Google Scholar]
- Ito, S. Reexamination of the structure of eumelanin. Biochim. Biophys. Acta 1986, 883, 155–161. [Google Scholar] [CrossRef]
- Land, E.J.; Riley, P.A. Spontaneous redox reactions of dopaquinone and the balance between the eumelanic and phaeomelanic pathways. Pigment Cell Res. 2000, 13, 273–277. [Google Scholar] [CrossRef] [PubMed]
- D’Ischia, M.; Napolitano, A.; Pezzella, A.; Meredith, P.; Sarna, T. Chemical and structural diversity in eumelanins: Unexplored bio-optoelectronic materials. Angew. Chem. 2009, 48, 3914–3921. [Google Scholar] [CrossRef] [PubMed]
- Micillo, R.; Panzella, L.; Koike, K.; Monfrecola, G.; Napolitano, A.; d’Ischia, M. “Fifty shades” of black and red or how carboxyl groups fine tune eumelanin and pheomelanin properties. Int. J. Mol. Sci. 2016, 17, 746. [Google Scholar] [CrossRef] [PubMed]
- Watt, A.A.R.; Bothma, J.P.; Meredith, P. The supramolecular structure of melanin. Soft Matter 2009, 5, 3754–3760. [Google Scholar] [CrossRef]
- Chen, C.T.; Chuang, C.; Cao, J.; Ball, V.; Ruch, D.; Buehler, M.J. Excitonic effects from geometric order and disorder explain broadband optical absorption in eumelanin. Nat. Commun. 2014, 5, 3859. [Google Scholar] [CrossRef] [PubMed]
- Micillo, R.; Panzella, L.; Iacomino, M.; Prampolini, G.; Cacelli, I.; Ferretti, A.; Crescenzi, O.; Koike, K.; Napolitano, A.; d’Ischia, M. Eumelanin broadband absorption develops from aggregation-modulated chromophore interactions under structural and redox control. Sci. Rep. 2017, 7, 41532. [Google Scholar] [CrossRef] [PubMed]
- Bonavolontà, C.; Lisio, C.; d’Ischia, M.; Maddalena, P.; Manini, P.; Pezzella, A.; Valentino, M. Anomalous evolution of broadbsand optical absorption reveals dynamic solid state reorganization during eumelanin build-up in thin films. Sci. Rep. 2017, 7, 522. [Google Scholar] [CrossRef] [PubMed]
- Ito, S.; Wakamatsu, K.; Keely Glass, K.; Simon, J.D. High-performance liquid chromatography estimation of cross-linking of dihydroxyindole moiety in eumelanin. Anal. Biochem. 2013, 434, 221–225. [Google Scholar] [CrossRef] [PubMed]
- Chen, C.T.; Ball, V.; de Almeida, J.J.; Singh, M.K.; Toniazzo, V.; Ruch, D.; Buehler, M.J. Self-assembly of tetramers of 5,6-dihydroxyindole explains the primary physical properties of eumelanin: Experiment, simulation, and design. ACS NANO 2013, 7, 1524–1532. [Google Scholar] [CrossRef] [PubMed]
- Kim, Y.J.; Khetan, A.; Wu, W.; Chun, S.F.; Viswanathan, V.; Whitacre, J.F.; Bettinger, C.J. Evidence of porphyrin-like structures in natural melanin pigments using electrochemical fingerprinting. Adv. Mater. 2016, 28, 3173–3180. [Google Scholar] [CrossRef] [PubMed]
- Lynge, M.E.; van der Westen, R.; Postma, A.; Städler, B. Polydopamine-a nature-inspired polymer coating for biomedical science. Nanoscale 2011, 3, 4916–4928. [Google Scholar] [CrossRef] [PubMed]
- Liu, Y.; Ai, K.; Lu, L. Polydopamine and its derivative materials: Synthesis and promising applications in energy, environmental, and biomedical fields. Chem. Rev. 2014, 114, 5057–5115. [Google Scholar] [CrossRef] [PubMed]
- Pezzella, A.; Iadonisi, A.; Valerio, S.; Panzella, L.; Napolitano, A.; Adinolfi, M.; d’Ischia, M. Disentangling eumelanin “black chromophore”: Visible absorption changes as signatures of oxidation state- and aggregation-dependent dynamic interactions in a model water-soluble 5,6-dihydroxyindole polymer. J. Am. Chem. Soc. 2009, 131, 15270–15275. [Google Scholar] [CrossRef] [PubMed]
- Pezzella, A.; Ambrogi, V.; Arzillo, M.; Napolitano, A.; Carfagna, C.; d’Ischia, M. 5,6-Dihydroxyindole oxidation in phosphate buffer/polyvinyl alcohol: A new model system for studies of visible chromophore development in synthetic eumelanin polymers. Photochem. Photobiol. 2010, 86, 533–537. [Google Scholar] [CrossRef] [PubMed]
- Arzillo, M.; Mangiapia, G.; Pezzella, A.; Heenan, R.K.; Radulescu, A.; Paduano, L.; d’Ischia, M. Eumelanin buildup on the nanoscale: Aggregate growth/assembly and visible absorption development in biomimetic 5,6-dihydroxyindole polymerization. Biomacromolecules 2012, 13, 2379–2390. [Google Scholar] [CrossRef] [PubMed]
- Dreyer, D.R.; Miller, D.J.; Freeman, B.D.; Paul, D.R.; Bielawski, C.W. Elucidating the structure of poly(dopamine). Langmuir 2012, 28, 6428–6435. [Google Scholar] [CrossRef] [PubMed]
- Tuna, D.; Udvarhelyi, A.; Sobolewski, A.L.; Domcke, W.; Domratcheva, T. Onset of the electronic absorption spectra of isolated and π-stacked oligomers of 5,6-dihydroxyindole: An ab initio study of the building blocks of eumelanin. J. Phys. Chem. B 2016, 120, 3493–3502. [Google Scholar] [CrossRef] [PubMed]
- Liebscher, J.; Mrówczyński, R.; Scheidt, H.A.; Filip, C.; Hădade, N.D.; Turcu, R.; Bende, A.; Beck, S. Structure of polydopamine: A never-ending story? Langmuir 2013, 29, 10539–10548. [Google Scholar] [CrossRef] [PubMed]
- D’Ischia, M.; Napolitano, A.; Ball, V.; Chen, C.T.; Buehler, M.J. Polydopamine and eumelanin: From structure-property relationships to a unified tailoring strategy. Acc. Chem. Res. 2014, 47, 3541–3550. [Google Scholar] [CrossRef] [PubMed]
- Lee, H.; Dellatore, S.M.; Miller, W.M.; Messersmith, P.B. Mussel-inspired surface chemistry for multifunctional coatings. Science 2007, 318, 426–430. [Google Scholar] [CrossRef] [PubMed]
- Forooshani, P.K.; Lee, B.P.J. Recent approaches in designing bioadhesive materials inspired by mussel adhesive protein. J. Polym. Sci. Part A Polym. Chem. 2017, 55, 9–33. [Google Scholar] [CrossRef] [PubMed]
- Bernsmann, F.; Ball, V.; Addiego, F.; Ponche, A.; Michel, M.; de Almeida, J.J.; Toniazzo, V.; Ruch, D. Dopamine-melanin film deposition depends on the used oxidant and buffer solution. Langmuir 2011, 27, 2819–2825. [Google Scholar] [CrossRef] [PubMed]
- Cho, S.; Kim, S.H. Hydroxide ion-mediated synthesis of monodisperse dopamine-melanin nanospheres. J. Colloid Interface Sci. 2015, 458, 87–93. [Google Scholar] [CrossRef] [PubMed]
- Bothma, J.P.; de Boor, J.; Divakar, U.; Schwenn, P.E.; Meredith, P. Device-quality electrically conducting melanin thin films. Adv. Mater. 2008, 20, 3539–3542. [Google Scholar] [CrossRef]
- Liu, Y.; Simon, J.D. The effect of preparation procedures on the morphology of melanin from the ink sac of Sepia officinalis. Pigment Cell Res. 2003, 16, 72–80. [Google Scholar] [CrossRef] [PubMed]
- Chou, C.C.; Martin-Martinez, F.J.; Qin, Z.; Dennis, P.B.; Gupta, M.K.; Naik, R.R.; Buehler, M.J. Ion effect and metal-coordinated cross-linking for multiscale design of nereis jaw inspired mechanomutable materials. ACS NANO 2017, 11, 1858–1868. [Google Scholar] [CrossRef] [PubMed]
- Lee, H.; Rho, J.; Messersmith, P.B. facile conjugation of biomolecules onto surfaces via mussel adhesive protein inspired coatings. Adv. Mater. 2009, 21, 431–434. [Google Scholar] [CrossRef] [PubMed]
- Anderson, T.H.; Yu, J.; Estrada, A.; Hammer, M.U.; Waite, J.H.; Israelachvili, J.N. The contribution of dopa to substrate-peptide adhesion and internal cohesion of mussel-inspired synthetic peptide films. Adv. Funct. Mater. 2010, 20, 4196–4205. [Google Scholar] [CrossRef] [PubMed]
- Hekstra, D.; Tuttle, T.; Ulijn, R.; Park, H.A.; Lampel, A.; Scott, G.; Humagain, S.; Yoo, B.; Li, T.D.; Greenbaum, S.; et al. Polymeric peptide pigments with sequence-encoded properties. Science 2017, 356, 1064–1068. [Google Scholar]
- Ambrico, M.; Ambrico, P.F.; Ligonzo, T.; Cardone, A.; Cicco, S.R.; d’Ischia, M.; Farinola, G.M. From commercial tyrosine polymers to a tailored polydopamine platform: Concepts, issues and challenges in route to melanin-based bioelectronics. J. Mater. Chem. C 2015, 3, 6413–6423. [Google Scholar] [CrossRef]
- Kim, Y.J.; Wu, W.; Chun, S.F.; Whitacre, J.F.; Bettinger, C.J. Biologically derived melanin electrodes in aqueous sodium-ion energy storage devices. Proc. Natl. Acad. Sci. USA 2013, 110, 20912–20917. [Google Scholar] [CrossRef] [PubMed]
- Bridelli, M.; Capelletti, R.; Crippa, P.R. Electret state and hydrated structure of melanin. Bioelectrochem. Bioenerg. 1981, 128, 555–567. [Google Scholar] [CrossRef]
- Bernsmann, F.; Frisch, B.; Ringwalda, C.; Ball, V. Protein adsorption on dopamine-melanin films: Role of electrostatic Iteractions inferred from ζ-potential measurements versus chemisorption. J. Colloid Interface Sci. 2010, 344, 54–60. [Google Scholar] [CrossRef] [PubMed]
- Bernsmann, F.; Ponche, A.; Ringwald, C.; Hemmerlé, J.; Raya, J.; Bechinger, B.; Voegel, J.C.; Pierre Schaaf, P.; Ball, V. Characterization of dopamine-melanin growth on silicon oxide. J. Phys. Chem. C 2009, 113, 8234–8242. [Google Scholar] [CrossRef]
- Hong, S.; Na, Y.S.; Choi, S.; Song, I.T.; Kim, W.Y.; Haeshin Lee, H. Non-covalent self-assembly and covalent polymerization co-contribute to polydopamine formation. Adv. Funct. Mater. 2012, 22, 4711–4717. [Google Scholar] [CrossRef]
- Della Vecchia, N.F.; Avolio, R.; Alfè, M.; Errico, M.E.; Napolitano, A.; d’Ischia, M. Building-block diversity in polydopamine underpins a multifunctional eumelanin-type platform tunable through a quinone control point. Adv. Funct. Mater. 2013, 23, 1331–1340. [Google Scholar] [CrossRef]
- Kong, J.; Yee, W.A.; Yang, L.; Wei, Y.; Phua, S.L.; Ong, H.G.; Ang, J.M.; Li, X.; Lu, X. Highly electrically conductive layered carbon derived from polydopamine and its functions in SnO2-based lithium ion battery anodes. Chem. Commun. 2012, 48, 10316–10318. [Google Scholar] [CrossRef] [PubMed]
- Zhang, C.; Lv, Y.; Qiu, W.Z.; He, A.; Xu, Z.K. Polydopamine coating with nanopores for versatile molecular separation. ACS Appl. Mater. Interfaces 2017, 9, 14437–14444. [Google Scholar] [CrossRef] [PubMed]
- Chen, T.P.; Liu, T.; Su, T.L.; Liang, J. Self-polymerization of dopamine in acidic environments without oxygen. Langmuir 2017, 33, 5863–5871. [Google Scholar] [CrossRef] [PubMed]
- Stöckle, B.; Ng, D.Y.W.; Meier, C.; Paust, T.; Bischoff, F.; Diemant, T.; Behm, R.J.; Gottschalk, K.E.; Ziener, U.; Weil, T. Precise control of polydopamine film formation by electropolymerization. Macromol. Symp. 2014, 346, 73–81. [Google Scholar] [CrossRef]
- Klosterman, L.; Riley, J.K.; Bettinger, C.J. Control of heterogeneous nucleation and growth kinetics of dopamine-melanin by altering substrate chemistry. Langmuir 2015, 31, 3451–3458. [Google Scholar] [CrossRef] [PubMed]
- Ambrico, M.; Ambrico, P.F.; Cardone, A.; Ligonzo, T.; Cicco, S.R.; di Mundo, R.; Augelli, V.; Farinola, G.M. Melanin layer on silicon: An attractive structure for a possible exploitation in bio-polymer based metal–insulator-silicon devices. Adv. Mater. 2011, 23, 3332–3336. [Google Scholar] [CrossRef] [PubMed]
- Da Silva, M.P.; Fernandes, J.C.; de Figueiredo, N.B.; Congiu, M.; Mulato, M. Melanin as an active layer in biosensors. AIP Adv. 2014, 4, 180. [Google Scholar]
- Wang, H.B.; Zhang, HD.; Xu, L.L.; Gan, T.; Huang, K.J.; Liu, Y.M. Electrochemical biosensor for simultaneous determination of guanine and adenine based on dopamine-melanin colloidal nanospheres-graphene composites. J. Solid State Electrochem. 2014, 18, 2435–2442. [Google Scholar] [CrossRef]
- Li, Y.; Xie, Y.; Wang, Z.; Zang, N.; Carniato, F.; Huang, Y.; Andolina, C.M.; Parent, L.R.; Ditri, T.B.; Walter, E.D.; et al. Structure and function of iron-loaded synthetic melanin. ACS NANO 2016, 10, 10186–10194. [Google Scholar] [CrossRef] [PubMed]
- Ball, V.; Bour, J.; Michel, M. Step-by-step deposition of synthetic dopamine-eumelanin and metal cations. J. Colloid Interface Sci. 2013, 405, 331–335. [Google Scholar] [CrossRef] [PubMed]
- Das, P.; Yuran, S.; Yan, J.; Lee, P.S.; Reches, M. Sticky tubes and magnetic hydrogels co-assembled by a short peptide and melanin-like nanoparticles. Chem. Commun. 2015, 51, 5432–5435. [Google Scholar] [CrossRef] [PubMed]
- Morlieras, J.; Chezal, J.M.; Miot-Noirault, E.; Roux, A.; Heinrich-Balard, L.; Cohen, R.; Tarrit, S.; Truillet, C.; Mignot, A.; Hachani, R.; et al. Development of gadolinium based nanoparticles having an affinity towards melanin. Nanoscale 2013, 5, 1603–1615. [Google Scholar] [CrossRef] [PubMed]
- Lee, H.; Choi, S.H.; Park, T.G. Direct visualization of hyaluronic acid polymer chain by self-assembled one-dimensional array of gold nanoparticles. Macromolecules 2006, 39, 23–25. [Google Scholar] [CrossRef]
- Phua, S.L.; Yang, L.; Toh, C.L.; Guoqiang, D.; Lau, S.K.; Dasari, A.; Lu, X. Simultaneous enhancements of UV resistance and mechanical properties of polypropylene by incorporation of dopamine-modified clay. ACS Appl. Mater. Interfaces 2013, 5, 1302–1309. [Google Scholar] [CrossRef] [PubMed]
- Yang, X.; Duan, L.; Ran, X. Effect of polydopamine coating on improving photostability of polyphenylene sulfide fiber. Polym. Bull. 2017, 74, 641–656. [Google Scholar] [CrossRef]
- Guin, T.; Cho, J.H.; Xiang, F.; Ellison, C.J.; Grunlan, J.C. Water-based melanin multilayer thin films with broadband UV absorption. ACS Macro Lett. 2015, 4, 335–338. [Google Scholar] [CrossRef]
- Salomäki, M.; Tupala, M.; Parviainen, T.; Leiro, J.; Karonen, M.; Lukkari, J. Preparation of thin melanin-type films by surface-controlled oxidation. Langmuir 2016, 32, 4103–4112. [Google Scholar] [CrossRef] [PubMed]
- Bouchoucha, M.; Tielens, F.; Gaslain, F.; CostaTorro, F.; Casale, S.; Palcic, A.; Valtchev, V.; Lambert, J.F.; Jaber, M. Melanin polymerization held in check: A composite of dihydroxyphenylalanine with zeolite β. J. Phys. Chem. C 2015, 119, 8736–8747. [Google Scholar] [CrossRef]
- Williams, R.F. Melanin-based Agents for Image Enhancement. U.S. Patent US 5,310,539, 10 May 1994. [Google Scholar]
- Caravan, P.; Ellison, J.J.; McMurry, T.J.; Lauffer, R.B. Gadolinium(III) chelates as MRI contrast agents: Structure, dynamics and applications. Chem. Revs. 1999, 99, 2293–2342. [Google Scholar] [CrossRef]
- Ju, K.Y.; Lee, J.W.; Im, G.H.; Lee, S.; Pyo, J.; Park, S.B.; Lee, J.H.; Lee, J.K. Bio-inspired, melanin-like nanoparticles as a highly efficient contrast agent for T1-weighted magnetic resonance imaging. Biomacromolecules 2013, 14, 3491–3497. [Google Scholar] [CrossRef] [PubMed]
- Eltzschig, H.K.; Eckle, T. Ischemia and reperfusion—From mechanism to translation. Nat. Med. 2011, 17, 1391–1401. [Google Scholar] [CrossRef] [PubMed]
- Liu, Y.; Ai, K.; Ji, X.; Askhatova, D.; Du, R.; Lu, L.; Shi, J. Comprehensive insights into the multi-antioxidative mechanisms of melanin nanoparticles and their application to protect brain from injury in ischemic stroke. J. Am. Chem. Soc. 2017, 139, 856–862. [Google Scholar] [CrossRef] [PubMed]
- Wang, Q.; Zhang, R.; Lu, M.; You, G.; Wang, Y.; Chen, G.; Zhao, C.; Wang, Z.; Song, X.; Wu, Y.; et al. Bioinspired polydopamine-coated hemoglobin as potential oxygen carrier with antioxidant properties. Biomacromolecules 2017, 18, 1333–1341. [Google Scholar] [CrossRef] [PubMed]
- Rageh, M.M.; Elgebaly, R.H.; Aboushady, H.; Amin, D.G. Melanin nanoparticles (MNPs) provide protection against whole-body γ-irradiation in mice via restoration of hematopoietic tissues. Mol. Cell Biochem. 2015, 399, 59–69. [Google Scholar] [CrossRef] [PubMed]
- Menter, J.M.; Willis, I.; Townsel, M.E.; Williamson, G.D.; Moore, C.L. Melanin is a double-edged sword. In Photobiology; Springer: New York, NY, USA, 1991; pp. 873–886. [Google Scholar]
- Solano, F. Photoprotection versus photodamage: Updating an old but still unsolved controversy about melanin. Polym. Int. 2016, 65, 1276–1287. [Google Scholar] [CrossRef]
- Wang, Z.; Tang, F.; Fan, H.; Wang, L.; Jin, Z. Polydopamine generates hydroxyl free radicals under ultraviolet-light illumination. Langmuir 2017, 33, 5938–5946. [Google Scholar] [CrossRef] [PubMed]
- Farmer, P.J.; Gidanian, S.; Shahandeh, B.; Di Bilio, A.J.; Tohidian, N.; Meyskens, F.L., Jr. Melanin as a target for melanoma chemotherapy: Pro-oxidant effect of oxygen and metals on melanoma viability. Pigment Cell Res. 2003, 16, 273–279. [Google Scholar] [CrossRef] [PubMed]
- Elsaesser, A.; Howard, C.V. Toxicology of nanoparticles. Adv. Drug Deliv. Rev. 2012, 64, 129–137. [Google Scholar] [CrossRef] [PubMed]
- Xie, J.; Seulki Lee, S.; Chen, X. Nanoparticle-based theranostic agents. Adv. Drug Deliv. Rev. 2010, 62, 1064–1079. [Google Scholar] [CrossRef] [PubMed]
- Wang, X.; Zhang, J.; Wang, Y.; Wang, C.; Xiao, J.; Zhang, Q.; Cheng, Y.Y. Multi-responsive photothermal-chemotherapy with drug-loaded melanin-like nanoparticles for synergetic tumor ablation. Biomaterials 2016, 81, 114–124. [Google Scholar] [CrossRef] [PubMed]
- Zhang, R.; Fan, Q.; Yang, M.; Cheng, K.; Lu, X.; Zhang, L.; Huang, W.; Cheng, Z. Drug delivery: Engineering melanin nanoparticles as an efficient drug-delivery system for imaging-guided chemotherapy (Adv. Mater. 34/2015). Adv. Mater. 2015, 27, 5063–5069. [Google Scholar] [CrossRef] [PubMed]
- Huang, S.; Liang, N.; Hu, Y.; Zhou, X.; Abidi, N. Polydopamine-assisted surface modification for bone biosubstitutes. Biomed. Res. Int. 2016, 2016, 2389895. [Google Scholar] [CrossRef] [PubMed]
- Ko, E.; Yang, K.; Shin, J.; Cho, S.W. Polydopamine-assisted osteoinductive peptide immobilization of polymer scaffolds for enhanced bone regeneration by human adipose-derived stem cells. Biomacromolecules. 2013, 14, 3202–3213. [Google Scholar] [CrossRef] [PubMed]
- Wang, B.; Jeon, Y.S.; Bhang, S.H.; Kim, J.H. Bioinspired dopamine-conjugated polyaspartamide as a novel and versatile adhesive material. eXPRESS Polym. Lett. 2017, 11, 601–610. [Google Scholar] [CrossRef]
- Ryu, J.H.; Lee, Y.; Kong, W.H.; Kim, T.G.; Park, T.G.; Lee, H. Catechol-functionalized chitosan/pluronic hydrogels for tissue adhesives and hemostatic materials. Biomacromolecules 2011, 12, 2653–2659. [Google Scholar] [CrossRef] [PubMed]
- Huang, Y.; Li, Y.; Hu, Z.; Yue, X.; Proetto, M.T.; Jones, Y.; Gianneschi, N.C. Mimicking melanosomes: Polydopamine nanoparticles as artificial microparasols. ACS Cent. Sci. 2017, 3, 564–569. [Google Scholar] [CrossRef] [PubMed]
- Xue, C.H.; Ji, X.Q.; Zhang, J.; Ma, J.Z.; Jia, S.T. Biomimetic superhydrophobic surfaces by combining mussel-inspired adhesion with lotus-inspired coating. Nanotechnology 2015, 26, 335602. [Google Scholar] [CrossRef] [PubMed]
- Ochs, C.J.; Hong, T.; Such, G.K.; Cui, J.; Postma, A.; Caruso, F. Dopamine-mediated continuous assembly of biodegradable capsules. Chem. Mater. 2011, 23, 3141–3143. [Google Scholar] [CrossRef]
- Sono, K.; Lye, D.; Moore, C.A.; Boyd, W.C.; Gorlin, T.A.; Belitsky, J.M. Melanin-based coatings as lead-binding agents. Bioinorg. Chem. Appl. 2012, 2012, 361803. [Google Scholar] [CrossRef] [PubMed]
- Cheon, J.Y.; Park, W.H. Green synthesis of silver nanoparticles stabilized with mussel-inspired protein and colorimetric sensing of lead(II) and copper(II) ions. Int. J. Mol. Sci. 2016, 17, 2006. [Google Scholar] [CrossRef] [PubMed]
- Goodman, G.; Bercovich, D. Melanin directly converts light for vertebrate metabolic use: Heuristic thoughts on birds, Icarus and dark human skin. Med. Hypotheses 2008, 71, 190–202. [Google Scholar] [CrossRef] [PubMed]
- Solis Herrera, A. Melanina: Energía del Futuro. Available online: http://www.fotosintesishumana.com/melanina-energia-del-futuro/ (accessed on 18 July 2017).




© 2017 by the author. Licensee MDPI, Basel, Switzerland. This article is an open access article distributed under the terms and conditions of the Creative Commons Attribution (CC BY) license (http://creativecommons.org/licenses/by/4.0/).
Share and Cite
Solano, F. Melanin and Melanin-Related Polymers as Materials with Biomedical and Biotechnological Applications—Cuttlefish Ink and Mussel Foot Proteins as Inspired Biomolecules. Int. J. Mol. Sci. 2017, 18, 1561. https://doi.org/10.3390/ijms18071561
Solano F. Melanin and Melanin-Related Polymers as Materials with Biomedical and Biotechnological Applications—Cuttlefish Ink and Mussel Foot Proteins as Inspired Biomolecules. International Journal of Molecular Sciences. 2017; 18(7):1561. https://doi.org/10.3390/ijms18071561
Chicago/Turabian StyleSolano, Francisco. 2017. "Melanin and Melanin-Related Polymers as Materials with Biomedical and Biotechnological Applications—Cuttlefish Ink and Mussel Foot Proteins as Inspired Biomolecules" International Journal of Molecular Sciences 18, no. 7: 1561. https://doi.org/10.3390/ijms18071561
APA StyleSolano, F. (2017). Melanin and Melanin-Related Polymers as Materials with Biomedical and Biotechnological Applications—Cuttlefish Ink and Mussel Foot Proteins as Inspired Biomolecules. International Journal of Molecular Sciences, 18(7), 1561. https://doi.org/10.3390/ijms18071561
