Sign in to use this feature.

Years

Between: -

Subjects

remove_circle_outline
remove_circle_outline
remove_circle_outline
remove_circle_outline
remove_circle_outline
remove_circle_outline
remove_circle_outline
remove_circle_outline
remove_circle_outline

Journals

remove_circle_outline
remove_circle_outline
remove_circle_outline
remove_circle_outline
remove_circle_outline
remove_circle_outline
remove_circle_outline
remove_circle_outline
remove_circle_outline
remove_circle_outline
remove_circle_outline
remove_circle_outline
remove_circle_outline
remove_circle_outline
remove_circle_outline
remove_circle_outline
remove_circle_outline

Article Types

Countries / Regions

remove_circle_outline
remove_circle_outline
remove_circle_outline
remove_circle_outline
remove_circle_outline

Search Results (1,552)

Search Parameters:
Keywords = melanin

Order results
Result details
Results per page
Select all
Export citation of selected articles as:
23 pages, 1222 KB  
Article
Dissolvable Face Mask with Liposomal Licorice Extract and Kojic Acid: An Innovative Approach for Skin Brightening
by Theerada Taesotikul, Supusson Pengnam, Thapakorn Charoenying, Boonnada Pamornpathomkul, Prin Chaksmithanont, Prasopchai Patrojanasophon and Chaiyakarn Pornpitchanarong
Cosmetics 2026, 13(1), 21; https://doi.org/10.3390/cosmetics13010021 - 14 Jan 2026
Abstract
This study developed a biodegradable dissolvable face mask incorporating liposomal kojic acid (KA) and licochalcone A from licorice extract (LE) to enhance skin delivery and performance. Liposomes were prepared by thin-film hydration method. The film matrix, composed of PVA/PVP/PEG400/HA, was optimized using factorial [...] Read more.
This study developed a biodegradable dissolvable face mask incorporating liposomal kojic acid (KA) and licochalcone A from licorice extract (LE) to enhance skin delivery and performance. Liposomes were prepared by thin-film hydration method. The film matrix, composed of PVA/PVP/PEG400/HA, was optimized using factorial design to achieve suitable mechanical strength and rapid dissolution. The optimized mask, containing liposomal KA (1% w/v) and licochalcone A (0.025% w/v), was evaluated for antioxidant activity, ex vivo skin deposition, and short-term efficacy (Approval from the Institutional Review Board of Silpakorn University, Thailand; Ethics Approval No. REC 67.1001-146-7726/COA 68.0320-013 Date of registration: 20 March 2025). The optimized liposomes exhibited a mean particle size of 66–72 nm, entrapment efficiency above 65%, and a zeta potential of −12.5 mV (licochalcone A) and −1.67 mV (KA). Liposomal licochalcone A and KA showed potent antioxidant activity compared to their native forms. The optimized film dissolved within approximately 15 min on moist skin and showed favorable handling properties. Ex vivo studies revealed significantly higher skin deposition of both KA and licochalcone A from the liposomal mask compared with free and liposomal dispersions (p < 0.05). In a 7-day clinical evaluation, the mask significantly improved skin hydration and reduced melanin index (p < 0.05). No irritation or adverse reactions were observed, and user satisfaction was high. This liposomal dissolvable mask offered an effective, well-tolerated, and eco-friendly approach to enhancing skin brightness and hydration, supporting its potential as a sustainable cosmeceutical innovation. Full article
(This article belongs to the Section Cosmetic Formulations)
Show Figures

Graphical abstract

20 pages, 14352 KB  
Article
Transcriptional and Metabolic Networks Underlying Melanin Deposition in Silkie Chicken Muscle: A Multi-Omics Insights
by Yuxian Pan, Lin Zhang, Xin Yue, Zhen Sun, Huaiyong Zhang, Xuemeng Si, Rui Zheng, Wen Chen, Meng Zhang and Yanqun Huang
Animals 2026, 16(2), 252; https://doi.org/10.3390/ani16020252 - 14 Jan 2026
Abstract
Silkie (SK) chickens, valued for dark meat, serve as a model to study melanin deposition in muscle. Integrated transcriptomics and metabolomics of SK vs. Arbor Acres (AA) broiler pectoralis were used to identify key molecular drivers of meat color. All birds were cage-raised [...] Read more.
Silkie (SK) chickens, valued for dark meat, serve as a model to study melanin deposition in muscle. Integrated transcriptomics and metabolomics of SK vs. Arbor Acres (AA) broiler pectoralis were used to identify key molecular drivers of meat color. All birds were cage-raised under standardized temperature and light conditions with free access to feed and water. Pectoralis muscle samples were collected from 24-day-old healthy SK and AA chickens (n = 6). Transcriptome profiling identified 488 differentially expressed genes in SK chickens, with seven conserved melanogenesis genes (TYRP1, MLANA, TYR, MLPH, EDNRB2, PMEL, GPNMB) consistently upregulated across dark-pectoralis breeds, and melanogenesis and WNT pathways were activated. Co-expression network analysis highlighted SOX10 as a key hub regulator. Metabolomics quantified 129 differentially abundant metabolites. A critical finding was the significant depletion of L-tyrosine and its derivatives in SK muscle, despite upregulated melanogenesis genes. It indicates intense metabolic flux toward pigment synthesis. Integrated analyses converged on tyrosine metabolism and redox pathways: oxidized glutathione and p-coumaric acid correlated negatively with pigment deposition, while ADP-ribose and pyridoxal correlated positively. Additionally, novel inhibitors PNMT and HIBADH may modulate melanin deposition. These findings reveal a trade-off between pigment deposition and redox balance, providing molecular markers for poultry melanin-related trait improvement. Full article
(This article belongs to the Special Issue Livestock and Poultry Genetics and Breeding Management)
23 pages, 4533 KB  
Article
Environmental Filtering Drives Microbial Community Shifts and Functional Niche Differentiation of Fungi in Waterlogged and Dried Archeological Bamboo Slips
by Liwen Zhong, Weijun Li, Guoming Gao, Yu Wang, Cen Wang and Jiao Pan
J. Fungi 2026, 12(1), 66; https://doi.org/10.3390/jof12010066 - 14 Jan 2026
Abstract
Changes in preservation conditions act as an important environmental filter driving shifts in microbial communities. However, the precise identities, functional traits, and ecological mechanisms of the dominant agents driving stage-specific deterioration remain insufficiently characterized. This study investigated microbial communities and dominant fungal degraders [...] Read more.
Changes in preservation conditions act as an important environmental filter driving shifts in microbial communities. However, the precise identities, functional traits, and ecological mechanisms of the dominant agents driving stage-specific deterioration remain insufficiently characterized. This study investigated microbial communities and dominant fungal degraders in waterlogged versus dried bamboo slips using amplicon sequencing, multivariate statistics, and microbial isolation. Results revealed compositionally distinct communities, with dried slips sharing only a small proportion of operational taxonomic units (OTUs) with waterlogged slips, while indicating the persistence of a subset of taxa across preservation states. A key discovery was the dominance of Fonsecaea minima (92% relative abundance) at the water-solid-air interface of partially submerged slips. Scanning electron microscopy (SEM) and pyrolysis-gas chromatography/mass spectrometry (Py-GC/MS) indicate that this fungus forms melanin-rich, biofilm-like surface structures, suggesting enhanced surface colonization and stress resistance. In contrast, the fungal community isolated from dried slips was characterized by Apiospora saccharicola associated with detectable xylanase activity. Meanwhile, the xerophilic species Xerogeomyces pulvereus dominated (99% relative abundance) the storage box environment. Together, these results demonstrate that preservation niches select for fungi with distinct functional traits, highlighting the importance of stage-specific preservation strategies that consider functional traits rather than taxonomic identity alone. Full article
(This article belongs to the Special Issue Mycological Research in Cultural Heritage Protection)
Show Figures

Figure 1

19 pages, 606 KB  
Review
Genetic Manipulation in Sporothrix Species: Molecular Tools, Challenges, and Applications
by Mafalda Barros, Matheus Tavares, Ricardo Silvestre, Roberta Peres da Silva and Fernando Rodrigues
J. Fungi 2026, 12(1), 61; https://doi.org/10.3390/jof12010061 - 13 Jan 2026
Abstract
Sporothrix species are thermally dimorphic fungi responsible for sporotrichosis, a globally prevalent subcutaneous mycosis and an emerging zoonotic threat, particularly in South America. The high virulence of Sporothrix brasiliensis and its efficient transmission from cats to humans have intensified recent outbreaks, underscoring the [...] Read more.
Sporothrix species are thermally dimorphic fungi responsible for sporotrichosis, a globally prevalent subcutaneous mycosis and an emerging zoonotic threat, particularly in South America. The high virulence of Sporothrix brasiliensis and its efficient transmission from cats to humans have intensified recent outbreaks, underscoring the importance of understanding the pathogenic mechanisms. While several putative virulence factors have been identified, such as melanin production, cell wall remodeling, extracellular vesicles, and thermotolerance, functional studies remain hampered by limited molecular tools. Recent advances, including random mutagenesis, protoplast-mediated transformation, Agrobacterium tumefaciens-mediated transformation, RNA interference and CRISPR/Cas9-based genome editing, are changing this landscape. These methods have enabled the functional validation of key virulence factors and the investigation of gene function in both environmental and clinical strains. In this review, we summarize the genetic toolbox available for Sporothrix, outline current challenges, and discuss how these strategies are reshaping the study of fungal virulence and host–pathogen interactions. Full article
Show Figures

Figure 1

17 pages, 2725 KB  
Article
Unveiling the Potential of Plant-Derived Exosome-like Extracellular Vesicles from Phalaenopsis aphrodite as Skin-Conditioning Ingredients in Cosmetic Applications
by Kai-An Chuang, Kuei-Chang Li, Hsin-Jan Yao, Pei-Yin Tsai, I Huang Lu, Chu Hung Lin, Hira Umbreen, Chi-Chien Lin and I-Hong Pan
Cosmetics 2026, 13(1), 15; https://doi.org/10.3390/cosmetics13010015 - 12 Jan 2026
Viewed by 24
Abstract
Plant-derived exosome-like extracellular vesicles (PELVs) have recently emerged as novel bioactive materials. Although members of the Orchidaceae family have been reported to possess various biological activities and are widely used as cosmetic ingredients, no studies to date have investigated exosome-like extracellular vesicles derived [...] Read more.
Plant-derived exosome-like extracellular vesicles (PELVs) have recently emerged as novel bioactive materials. Although members of the Orchidaceae family have been reported to possess various biological activities and are widely used as cosmetic ingredients, no studies to date have investigated exosome-like extracellular vesicles derived from Phalaenopsis species. In the present study, we report for the first time a novel exosome-like extracellular vesicles preparation isolated from Phalaenopsis aphrodite (called Exorigin® OR) and characterize its physical and biological properties. The purified vesicles exhibited a spherical shape surrounded by a bilayered membrane with an average particle size of approximately 98 nm and expressed a CD9 marker. Fluorescent labeling with BODIPY TR indicated that Exorigin® OR can be internalized by cells. In in vitro assays, Exorigin® OR alleviated hydrogen peroxide-induced damage in keratinocytes and inhibited melanin production in melanocytes, possibly associated with the downregulation of Tyrp1 expression as shown by qPCR analysis. Moreover, reconstructed human epidermis and cornea-like epithelium models demonstrated that Exorigin® OR is non-irritant. Collectively, these findings suggest that Exorigin® OR represent a promising and safe bioactive ingredient for promoting skin health in cosmeceutical applications. Full article
(This article belongs to the Section Cosmetic Formulations)
Show Figures

Graphical abstract

25 pages, 18702 KB  
Article
Monopolar Radiofrequency for Facial Hyperpigmentation Treatment: An Integrated Retrospective Clinical Trial and Ex Vivo Study
by Yujin Baek, Ngoc Ha Nguyen, Seoyoon Ham, Wanjin Kim, Ju Hee Lee and Young In Lee
Int. J. Mol. Sci. 2026, 27(2), 761; https://doi.org/10.3390/ijms27020761 - 12 Jan 2026
Viewed by 29
Abstract
Aging-associated facial hyperpigmentation is driven not only by enhanced melanogenesis but also by dermal senescence and deterioration of the dermal–epidermal junction. The purpose of this study was to evaluate whether monopolar radiofrequency (MRF) monotherapy can improve aging-related facial hyperpigmentation by simultaneously suppressing melanogenic [...] Read more.
Aging-associated facial hyperpigmentation is driven not only by enhanced melanogenesis but also by dermal senescence and deterioration of the dermal–epidermal junction. The purpose of this study was to evaluate whether monopolar radiofrequency (MRF) monotherapy can improve aging-related facial hyperpigmentation by simultaneously suppressing melanogenic signaling and restoring senescence-associated dermal alterations. We assumed that deep dermal heating induced by MRF would modulate fibroblast senescence and basement membrane integrity, thereby indirectly regulating melanocyte activity. In a retrospective review of 26 Asian women, MRF treatment significantly decreased multiple pigmentation parameters, including melanin level, hyperconcentration, and Hemi Melasma Area and Severity Index (hemi-MASI) scores, while concurrently reducing wrinkles, pores, and enhanced overall skin texture without inducing inflammation. Complementary ex vivo experiments using ultraviolet B (UVB)-irradiated human skin demonstrated that MRF markedly reduced pro-melanogenic markers (α-MSH, MC1R, MITF, TYR, TRP1/2), restored collagen type IV expression at the basement membrane, decreased senescence-associated genes (p16, p21), and upregulated protective heat shock proteins (HSP70/47). Together, these findings suggest that MRF improves aging-associated hyperpigmentation by both suppressing melanogenesis and rejuvenating the senescent dermal microenvironment. MRF may serve as an effective non-invasive treatment option for pigmentation disorders in aging skin. Full article
(This article belongs to the Special Issue 25th Anniversary of IJMS: Updates and Advances in Molecular Biology)
17 pages, 2898 KB  
Article
Human Alpha-1 Antitrypsin Suppresses Melanoma Growth by Promoting Tumor Differentiation and CD8+ T-Cell-Mediated Immunity
by Takeshi Yamauchi, Yuchun Luo, Dinoop Ravindran Menon, Kasey Couts, Sana Khan, Aanchal Goel, Charles A. Dinarello, Zili Zhai and Mayumi Fujita
Biomolecules 2026, 16(1), 122; https://doi.org/10.3390/biom16010122 - 12 Jan 2026
Viewed by 50
Abstract
Alpha-1 antitrypsin (AAT) is a serine protease inhibitor with potent anti-inflammatory and immunomodulatory properties, but its role in cancer is context-dependent across tumor types. We integrated transcriptomic analyses of human melanoma cohorts, in vivo studies using AAT-transgenic (hAAT-TG) mice, and in vitro assays [...] Read more.
Alpha-1 antitrypsin (AAT) is a serine protease inhibitor with potent anti-inflammatory and immunomodulatory properties, but its role in cancer is context-dependent across tumor types. We integrated transcriptomic analyses of human melanoma cohorts, in vivo studies using AAT-transgenic (hAAT-TG) mice, and in vitro assays in murine and human melanoma cells to define the biological functions of AAT in melanoma. SERPINA1 expression increased progressively from normal skin to nevi and metastatic melanoma, yet higher intratumoral levels correlated with improved overall survival in metastatic disease. In hAAT-TG mice, melanoma growth was markedly inhibited compared with wild-type controls, and the inhibitory effect required CD8+ T cells and was enhanced by CD4+ T-cell depletion, demonstrating that AAT promotes cytotoxic T-cell activity while attenuating regulatory T-cell suppression. Histologic analysis showed heavily pigmented tumors in hAAT-TG mice. In vitro, hAAT upregulated melanocytic differentiation markers (MITF, TYR, PMEL, MART-1) and increased melanin production in murine and human melanoma lines, suggesting enhanced tumor immunogenicity. In conclusion, hAAT exerts antitumor effects in melanoma indirectly by reprogramming the tumor microenvironment toward differentiation and immune activation. These findings highlight a previously unrecognized role for AAT as a dual immunoregulatory and differentiation-promoting factor and support AAT as a potential immunoregulatory adjuvant in melanoma. Full article
(This article belongs to the Special Issue Roles of Alpha-1 Antitrypsin in Human Health and Disease Models)
Show Figures

Figure 1

12 pages, 2472 KB  
Article
Effect of Short Tandem Target Mimic miR-5110 on Melanogenesis in Melanocytes of Alpaca (Vicugna pacos)
by Shanshan Yang, Dingxing Jiao, Xuqi Wang, Yangyang Yan, Tao Song, Lili Wang, Ping Rui, Zengjun Ma and Fengsai Li
Curr. Issues Mol. Biol. 2026, 48(1), 72; https://doi.org/10.3390/cimb48010072 - 10 Jan 2026
Viewed by 71
Abstract
MicroRNAs (miRNAs) play important roles in the regulation of melanogenesis and coat color in mammals. Short tandem target mimics (STTMs) have been used to block the functions of small RNA in animals and plants. To investigate the role of miR-5110 in melanogenesis, STTM [...] Read more.
MicroRNAs (miRNAs) play important roles in the regulation of melanogenesis and coat color in mammals. Short tandem target mimics (STTMs) have been used to block the functions of small RNA in animals and plants. To investigate the role of miR-5110 in melanogenesis, STTM was used to block the expression of miR-5110 (STTM-miR-5110). Luciferase reporter assay data indicated the miR-5110 regulates SOX10 expression by targeting its 3′-UTR. Overexpression of STTM-miR-5110 in alpaca melanocytes downregulated the expression of miR-5110 (decreased by about 38%, p < 0.05) and upregulated SOX10 mRNA (2.2-fold, p < 0.001) and protein (1.3-fold, p < 0.05) levels. Overexpression of STTM-miR-5110 in alpaca melanocytes increased the mRNA expression of melanogenic genes, including microphthalmia transcription factor (2.0-fold, p < 0.01), tyrosinase (1.6-fold, p < 0.01), tyrosinase-related protein 1 (approximately 3.9-fold, p < 0.001) and tyrosinase-related protein 2 (1.9-fold, p < 0.01). Overexpression of STTM-miR-5110 in alpaca melanocytes increased the protein expression of melanogenic genes, including microphthalmia transcription factor (1.9-fold, p < 0.05), tyrosinase (1.3-fold, p < 0.05), tyrosinase-related protein 1 (1.8-fold, p < 0.001) and tyrosinase-related protein 2 (1.6-fold, p < 0.05). The overexpression of pGL0-STTM-miR-5110 in alpaca melanocytes increased melanin production by approximately 26% (p < 0.05), pheomelanin production by approximately 38% (p < 0.05) and eumelanin production by approximately 56% (p < 0.001). In addition, overexpression of STTM-miR-5110 in alpaca melanocytes increased the TYR activity by 37% (p < 0.01). We also identified melanin granules in alpaca melanocytes transfected with STTM-miR-5110 under Fontana-Masson staining. These results suggest that STTM-miR-5110 upregulates melanogenesis by effectively blocking miR-5110 expression. Full article
(This article belongs to the Section Biochemistry, Molecular and Cellular Biology)
Show Figures

Graphical abstract

21 pages, 4321 KB  
Article
Preparation and In Vitro Bioactivity Evaluation of Ganoderma lucidum Melanin-Stabilized Selenium Nanoparticles
by Ruru Liu, Qunluo Cao, Heng Miao, Yuting Pei, Guoqing Wei, Yanfen Cheng, Xueran Geng, Junlong Meng, Mingchang Chang and Lijing Xu
Foods 2026, 15(2), 250; https://doi.org/10.3390/foods15020250 - 9 Jan 2026
Viewed by 180
Abstract
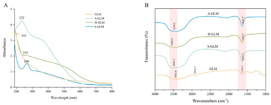
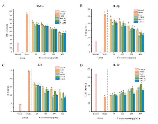
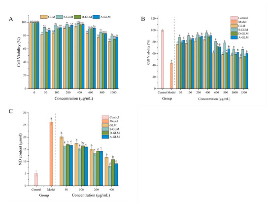
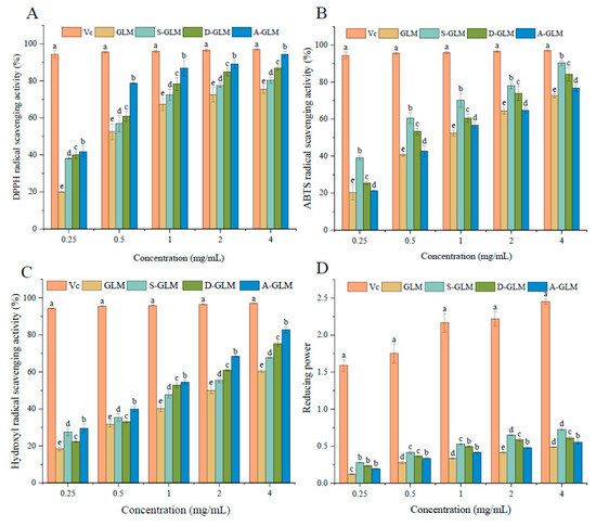
Selenium nanoparticles (SeNPs), a highly promising candidate as a nutrient fortificant and food additive, face challenges in stability and biosafety. These limitations hinder their application in the food industry. In this study, Ganoderma lucidum melanin (GLM) was utilized as a natural stabilizer. Three [...] Read more.
Selenium nanoparticles (SeNPs), a highly promising candidate as a nutrient fortificant and food additive, face challenges in stability and biosafety. These limitations hinder their application in the food industry. In this study, Ganoderma lucidum melanin (GLM) was utilized as a natural stabilizer. Three distinct types of GLM-stabilized SeNPs, termed GLM-SeNPs (S-GLM, D-GLM, and A-GLM), were subsequently synthesized via an ascorbic acid reduction method. The results showed that the prepared nanoparticles exhibited uniform particle size (55–75 nm) and good dispersibility. Among them, S-GLM possessed the highest selenium content (2598.90 mg/kg) and demonstrated the best stability. GLM-SeNPs significantly downregulated (p < 0.05) the mRNA expression of key pro-inflammatory cytokines (TNF-α, IL-6, and IL-1β) and upregulated (p < 0.05) the mRNA expression of the anti-inflammatory factor IL-10 in LPS-induced RAW264.7 macrophages. A potential mechanism underlying this effect may be the suppression of the NF-κB signaling pathway. In addition, GLM-SeNPs exhibited potent inhibitory effects against common foodborne pathogens. This study explores a potential novel strategy for the high-value utilization of natural functional components in food systems. These preliminary findings suggest GLM-SeNPs may have application potential in areas like functional beverages and food preservation. Further research is warranted to validate their feasibility in real food systems. Full article
(This article belongs to the Section Nutraceuticals, Functional Foods, and Novel Foods)
Show Figures

Graphical abstract

13 pages, 959 KB  
Article
Potential Cosmetic Applications of Dihydroartemisinin
by Yifan Zhao, Mo Chen, Ying Zheng, Le Zhu, Cui Wu, Yue Ma, Ya Zhao, Dong Zhang, Haidong Jia and Lan Yang
Molecules 2026, 31(2), 228; https://doi.org/10.3390/molecules31020228 - 9 Jan 2026
Viewed by 135
Abstract
In recent years, active monomers derived from Chinese herbal medicine and their derivatives have attracted significant attention in the field of skincare product development. Artemisinin and its derivatives, including dihydroartemisinin (DHA), exhibit diverse pharmacological activities such as anti-inflammatory, antibacterial, immunomodulatory, and antitumor effects, [...] Read more.
In recent years, active monomers derived from Chinese herbal medicine and their derivatives have attracted significant attention in the field of skincare product development. Artemisinin and its derivatives, including dihydroartemisinin (DHA), exhibit diverse pharmacological activities such as anti-inflammatory, antibacterial, immunomodulatory, and antitumor effects, showing promising therapeutic potential in skin-related diseases. However, systematic studies on artemisinins in cosmetics are lacking. This study aimed to evaluate the cosmetic potential of DHA by investigating its anti-aging, anti-hair loss, antibacterial, whitening, and anti-glycation activities. Results showed that DHA exhibits multiple biological activities: DHA exhibits anti-aging activity by promoting collagen I synthesis in HDF cell, exhibits anti-hair loss effect by modulating VEGF and DKK1 expression in DPC cell, exhibits antibacterial activity against Malassezia furfur, exhibits whitening activity by suppressing melanin synthesis, and exhibits anti-glycation activity by suppressing glycation reactions. Overall, with the broad biological activities, we believe that DHA holds encouraging promise in the cosmetics industry. Full article
(This article belongs to the Special Issue Bioactive Compounds in Cosmetic Applications)
Show Figures

Figure 1

21 pages, 916 KB  
Review
Biological Roles of Melanin and Natural Product-Derived Approaches for Its Modulation
by Sunghyun Hong, Hanbin Lim and Do-Hee Kim
Int. J. Mol. Sci. 2026, 27(2), 653; https://doi.org/10.3390/ijms27020653 - 8 Jan 2026
Viewed by 180
Abstract
Melanin produced in melanocytes contributes to photoprotection, oxidative stress reduction, immune regulation, and epidermal homeostasis, while its dysregulation underlies diverse pigmentary disorders. Natural products modulate melanogenesis by regulating tyrosinase activity, intracellular signaling pathways such as extracellular signal-regulated kinase/mitogen-activated protein kinase (ERK/MAPK) and cyclicAMP/protein [...] Read more.
Melanin produced in melanocytes contributes to photoprotection, oxidative stress reduction, immune regulation, and epidermal homeostasis, while its dysregulation underlies diverse pigmentary disorders. Natural products modulate melanogenesis by regulating tyrosinase activity, intracellular signaling pathways such as extracellular signal-regulated kinase/mitogen-activated protein kinase (ERK/MAPK) and cyclicAMP/protein kinase A/cAMP response element-binding protein (cAMP/PKA/CREB), and cellular redox balance. Anti-melanogenic effects have been reported for various fruit-derived phytochemicals, ginseng-based metabolites, and plant polyphenols, which act through direct enzymatic inhibition, suppression of melanoenic signaling, modulation of melanosome dynamics, and antioxidant or anti-inflammatory activities. Advances in delivery systems, including nano- and microencapsulation platforms, further enhance the stability and topical bioavailability of these compounds. In contrast, certain methoxylated flavonoids and phenolic constituents can stimulate pigmentation by sustaining melanogenic signaling and promoting microphthalmia-associated transcription factor (MITF)-driven transcription, emphasizing the context-dependent and bidirectional influence of natural substances on pigmentation outcomes. Collectively, these findings highlight the therapeutic potential of natural product-based modulators of melanogenesis while underscoring the need for mechanistic clarification, safety evaluation, and translational studies to ensure effective and controlled pigmentation management. This review summarizes the biological functions of melanin and examines natural strategies for regulating pigmentation. Full article
(This article belongs to the Special Issue Molecular Mechanisms for Skin Protection and Aging)
Show Figures

Figure 1

26 pages, 5063 KB  
Article
Blocking ASIP to Protect MC1R Signaling and Mitigate Melanoma Risk: An In Silico Study
by Farah Maarfi, Mohammed Cherkaoui, Sana Afreen and Mohd Yasir Khan
Pharmaceuticals 2026, 19(1), 114; https://doi.org/10.3390/ph19010114 - 8 Jan 2026
Viewed by 137
Abstract
Background: Melanin protects skin and hair from the effects of ultraviolet (UV) radiation damage, which contributes to all forms of skin cancer, including melanoma. Human melanocytes produce two main types of melanin: eumelanin provides effective photoprotection, and pheomelanin offers less protection against UV-induced [...] Read more.
Background: Melanin protects skin and hair from the effects of ultraviolet (UV) radiation damage, which contributes to all forms of skin cancer, including melanoma. Human melanocytes produce two main types of melanin: eumelanin provides effective photoprotection, and pheomelanin offers less protection against UV-induced skin damage. The agouti signaling protein (ASIP) antagonizes the melanocortin-1 receptor (MC1R), hinders melanocyte signaling, and shifts pigmentation toward pheomelanin, promoting UV vulnerability. In this study, we aim to discover compounds that inhibit ASIP–MC1R interaction and effectively preserve eumelanogenic signaling. Methods: The ASIP–MC1R interface-based pharmacophore model from ASIP is implicated in MC1R receptor protein engagement. We performed virtual screening with a validated pharmacophore model for ~4000 compounds curated from ZINCPharmer and applied drug-likeness filters, viz. ADMET and toxicity profiling tests. Further, the screened candidates were targeted for docking to the ASIP C-terminal domain corresponding to the MC1R-binding moiety. Top compounds underwent a 100-nanosecond (ns) run of molecular dynamics (MD) simulations to assess complex stability and persistence of key contacted residues. Results: Sequential triage, including pharmacophore, ADME–toxicity (ADMET), and docking/ΔG, yielded a focused group of candidates against ASIP antagonists with a favorable fit value. The MD run for 100 ns supported pose stability at the targeted pocket. Based on these predictions and analyses, compound ZINC14539068 was screened as a new potent inhibitor of ASIP to preserve α-MSH-mediated signaling of MC1R. Conclusions: Our in silico pipeline identifies ZINC14539068 as a potent inhibitor of ASIP at its C-terminal interface. This compound is predicted to disrupt ASIP–MC1R binding, thereby maintaining eumelanin-biased signaling. These findings motivate experimental validation in melanocytic models and in vivo studies to confirm pathway modulation and anti-melanoma potential. Full article
(This article belongs to the Section AI in Drug Development)
Show Figures

Graphical abstract

18 pages, 704 KB  
Article
Photoprotective and Anti-Melanogenic Effects of Supercritical Fluids Extract from Posidonia oceanica Beach-Cast Leaves: From Waste Stream to Cosmeceutical Applications
by Simona Manuguerra, Rosaria Arena, Eleonora Curcuraci, Concetta Maria Messina and Andrea Santulli
Mar. Drugs 2026, 24(1), 27; https://doi.org/10.3390/md24010027 - 8 Jan 2026
Viewed by 154
Abstract
Marine plants are a rich source of bioactive compounds with unique properties. The Mediterranean seagrass Posidonia oceanica is particularly abundant in phenolics and flavonoids, which exhibit antioxidant and anti-inflammatory activities. In this study, a phenolic-rich extract (POS) was obtained from beach-cast P. oceanica [...] Read more.
Marine plants are a rich source of bioactive compounds with unique properties. The Mediterranean seagrass Posidonia oceanica is particularly abundant in phenolics and flavonoids, which exhibit antioxidant and anti-inflammatory activities. In this study, a phenolic-rich extract (POS) was obtained from beach-cast P. oceanica leaves using supercritical fluid extraction (SFE), an eco-friendly technique that preserves thermolabile compounds and avoids organic solvents. POS was incorporated into a base cream (POS-enriched cream) to evaluate its bioactive potential in topical applications. The antioxidant capacity of POS and the cream formulation was firstly evaluated using the DPPH radical scavenging assay, confirming strong radical scavenging activity for the POS (IC50 = 2.32 ± 0.33 mg/mL) and significant activity for the POS-enriched cream (IC50 = 16.76 ± 0.58 mg/mL) compared to a base cream as control (IC50 = 37.62 ± 1.27 mg/mL). The antioxidant and photoprotective effects of POS were investigated in human skin fibroblasts (HS-68) exposed to oxidative stress and UV-induced damage, while anti-melanogenic activity was assessed in human epidermal melanocytes (HEM) by measuring tyrosinase activity and melanin content. POS significantly reduced ROS accumulation and modulated key molecular pathways involved in apoptosis (p-JNK), inflammation (NF-κB), energy balance (p-AMPK), and collagen synthesis (Col1A1) in fibroblasts. In melanocytes, both POS pure extract and POS-enriched cream effectively inhibited tyrosinase activity while maintaining unaltered basal melanin levels, indicating a modulatory rather than fully suppressive effect. These findings highlight the potential of P. oceanica SFE extracts as sustainable natural marine-derived products for photoprotection and anti-melanogenesis, thereby bridging the gap between marine waste stream management and applications in skin health and anti-aging strategies. Full article
Show Figures

Graphical abstract

17 pages, 3626 KB  
Article
Vesicular Transport Mediated by Endoplasmic Reticulum Stress Sensor BBF2H7 Orchestrates Melanin Production During Melanogenesis
by Giang Huy Phan, Kenshiro Fujise, Kazunori Imaizumi and Atsushi Saito
Int. J. Mol. Sci. 2026, 27(1), 501; https://doi.org/10.3390/ijms27010501 - 3 Jan 2026
Viewed by 227
Abstract
The synthesis of the melanin pigment in melanocytes plays a crucial role in protecting the body from ultraviolet radiation. Tyrosinase, a key enzyme in melanogenesis, catalyzes the conversion of tyrosine to melanin in the melanosomes of melanocytes. During melanogenesis, Tyrosinase is abundantly synthesized [...] Read more.
The synthesis of the melanin pigment in melanocytes plays a crucial role in protecting the body from ultraviolet radiation. Tyrosinase, a key enzyme in melanogenesis, catalyzes the conversion of tyrosine to melanin in the melanosomes of melanocytes. During melanogenesis, Tyrosinase is abundantly synthesized in the lumen of the endoplasmic reticulum (ER) and subsequently transported from the ER to the melanosomes via the Golgi apparatus. In the present study, we demonstrate that Box B-binding factor 2 human homolog on chromosome 7 (BBF2H7), an ER-resident transmembrane transcription factor that functions as an ER stress sensor, is activated by mild ER stress caused by abundant Tyrosinase synthesis. Activated BBF2H7 enhances COPII-mediated anterograde transport by inducing the expression of Sec23a, which is a COPII component and transcriptional target of BBF2H7. Loss of BBF2H7 attenuates the transport of Tyrosinase, leading to its accumulation in the ER lumen and reduced melanin production. Restoration of BBF2H7 or Sec23a expression in Bbf2h7-deficient melanocytes rescues anterograde transport of Tyrosinase from the ER and melanin pigmentation. Collectively, these findings reveal that the BBF2H7-Sec23a axis is essential for the ER-to-melanosome transport of Tyrosinase and subsequent melanin synthesis. Thus, it may be a prospective therapeutic target for disorders related to melanin pigmentation. Full article
(This article belongs to the Special Issue Melanin Pigmentation: Physiology and Pathology)
Show Figures

Graphical abstract

30 pages, 6462 KB  
Review
Melanin and Neuromelanin in Humans: Insights Across Health, Aging, Diseases, and Unexpected Aspects of Fungal Melanogenesis
by Kathleen Hatch, Erin K. Murphy, Radamés J. B. Cordero and Diego Iacono
Biomolecules 2026, 16(1), 61; https://doi.org/10.3390/biom16010061 - 30 Dec 2025
Viewed by 404
Abstract
Melanin pigments are ubiquitous biopolymers across diverse life forms and play multifaceted roles in cellular defense and environmental adaptation. The specialized neuromelanin in human brains accumulates mainly within catecholaminergic neurons of the substantia nigra and locus coeruleus, serving as a crucial modulator of [...] Read more.
Melanin pigments are ubiquitous biopolymers across diverse life forms and play multifaceted roles in cellular defense and environmental adaptation. The specialized neuromelanin in human brains accumulates mainly within catecholaminergic neurons of the substantia nigra and locus coeruleus, serving as a crucial modulator of brain homeostasis, metal detoxification, and oxidative stress responses. The intricate processes of human melanogenesis, encompassing both cutaneous and neuronal forms, are governed by complex genetic networks. Concurrently, melanin in fungi (synthesized through distinct genetic pathways) confers remarkable resistance to environmental stressors, including ionizing radiation. Recent advancements in omics technologies—including transcriptomics, proteomics, metabolomics, and epigenomics—have profoundly enhanced our understanding of neuromelanin’s molecular environment in health, aging, and neurodegenerative conditions such as Parkinson’s disease (PD), Alzheimer’s disease (AD), and other neurological disorders. This article reviews the genetic underpinnings of human melanogenesis and fungal melanogenesis, explores the convergent and divergent evolutionary pressures driving their functions, and synthesizes the rapidly accumulating omics data to elucidate neuromelanin’s critical, and often dual, role in human brain pathology. Moreover, we discuss the intriguing parallels between neuromelanin and fungal melanin, highlighting radioprotection and its potential implications for neuroprotection and astrobiology, with a special emphasis on the need to investigate neuromelanin’s potential for radioprotection in light of fungal melanin’s remarkable protective properties. Full article
Show Figures

Graphical abstract

Back to TopTop