Identification of a Protein with Antioxidant Activity that is Important for the Protection against Beer Ageing
Abstract
:1. Introduction
2. Results and Discussion
2.1. Sensory Analysis of the Fresh, Aged and Vintage Lager Beers
2.2. The Level of Free Thiol Groups in Aged Beer was Low Compared to Fresh and Vintage Beer
2.3. Characterisation of the Secondary Structure of Beer Proteins under Non-Reducing and Reducing Conditions
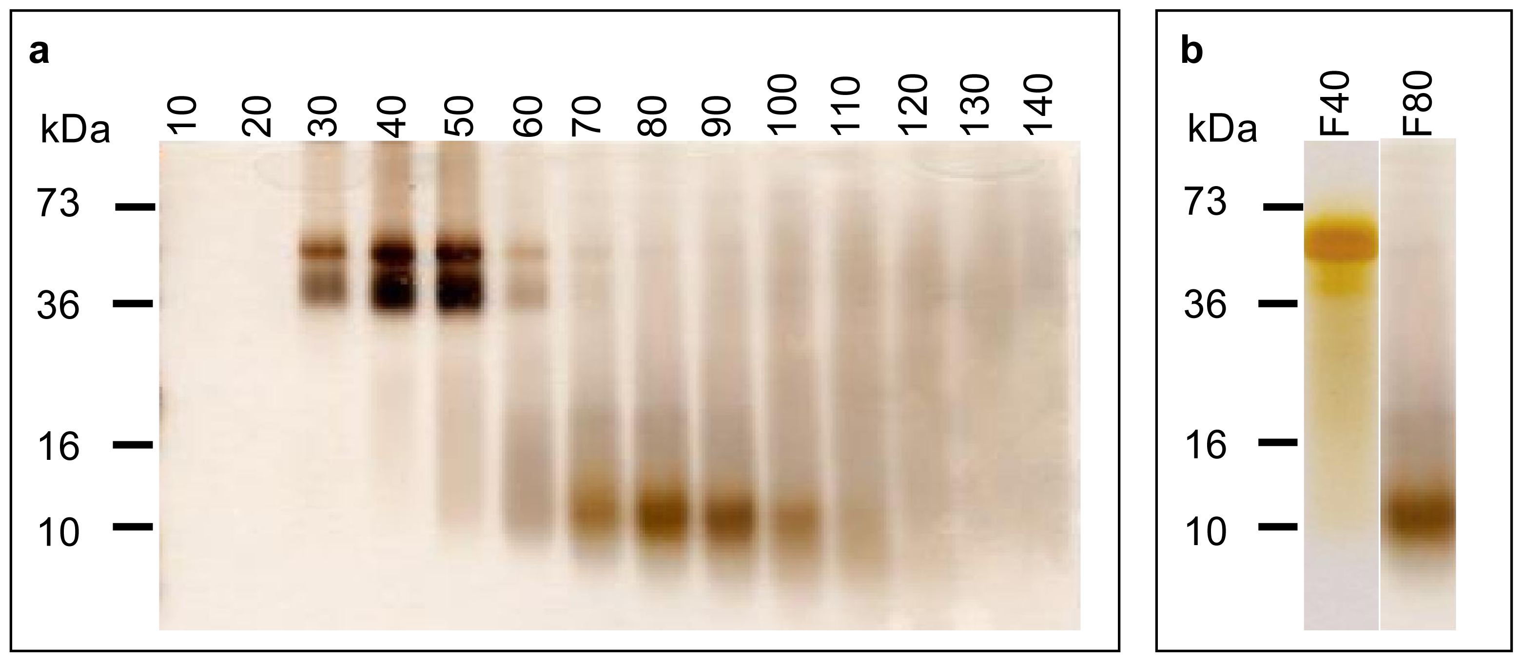
2.4. The 10 kDa Thiol Protein was Identified as the Barley Lipid Transfer Protein (LTP1)
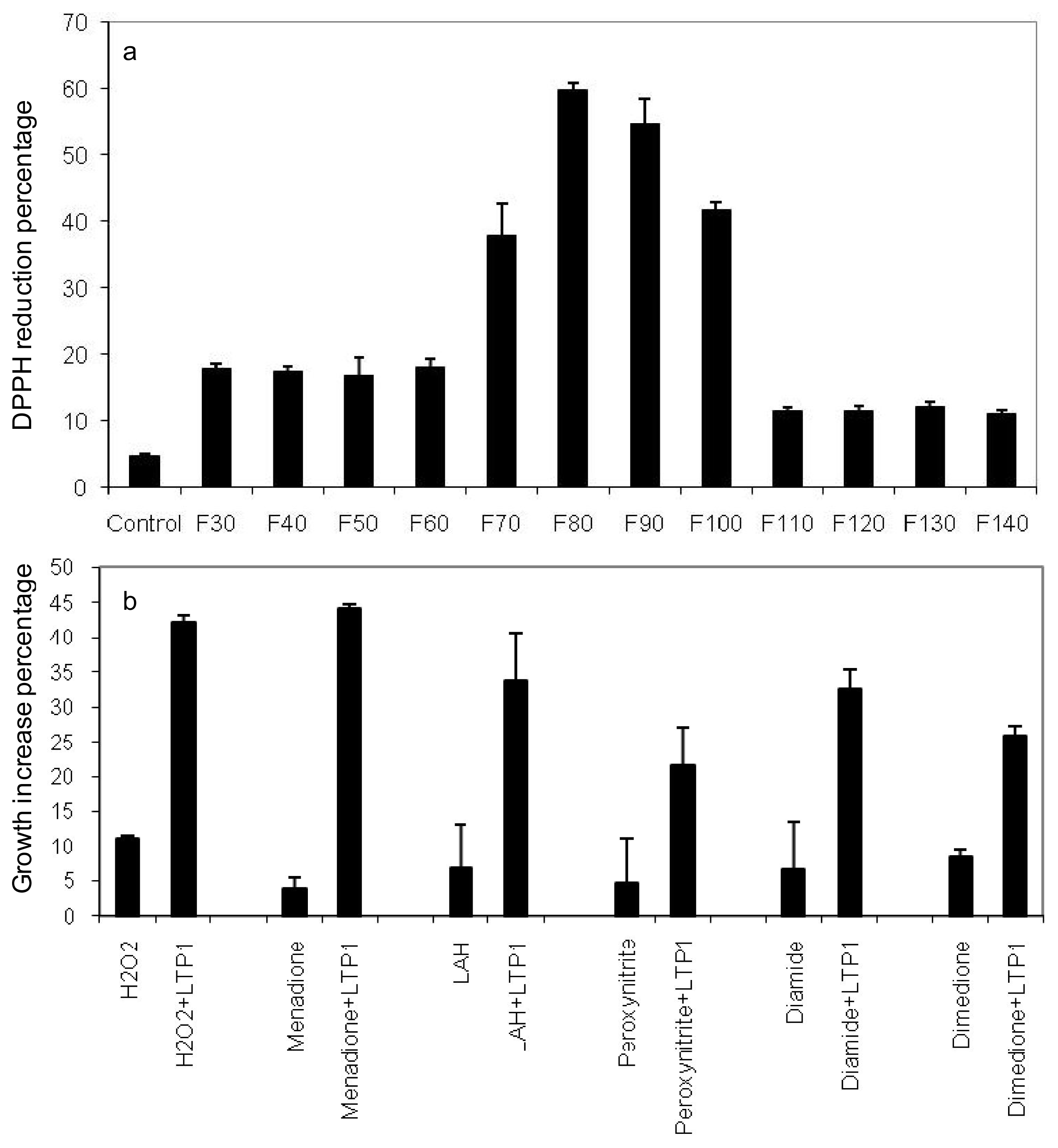
2.5. Free Radical Reduction and Antioxidant Activities of Barley LTP1
3. Experimental Section
3.1. Preparation of Fresh, Aged and Vintage Beers
3.2. Sensory Analysis of the Beer Flavours
3.3. Labelling of Beer Protein Thiols
3.4. Beer Protein Purification
3.5. SDS-PAGE
3.6. Free Radical DPPH Reduction Assay
3.7. Saccharomyces Cerevisiae-Based Antioxidant Assay
3.8. Peptide Sequencing by ESI-MS/MS
4. Conclusions
Acknowledgments
References
- Depraetere, SA; Delvaux, F; Schutter, DD; Williams, IS; Winderickx, J; Delvaux, FR. The influence of wort aeration and yeast preoxygenation on beer staling processes. Food Chem 2008, 107, 242–249. [Google Scholar]
- Saison, D; de Schutter, DP; Vanbeneden, N; Daenen, L; Delvaux, F; Delvaux, FR. Decrease of aged beer aroma by the reducing activity of brewing yeast. J Agric Food Chem 2010, 58, 3107–3115. [Google Scholar]
- da Costa, MS; Goncalves, C; Ferreira, A; Ibsen, C; de Pinho, PG; Ferreira, ACS. Further insights into the role of methional and phenylacetaldehyde in lager beer flavor stability. J Agric Food Chem 2004, 52, 7911–7917. [Google Scholar]
- Kaneda, H; Kano, Y; Osawa, T; Ramarathnam, N; Kawakishi, S; Kamada, K. Detection of free radicals in beer oxidation. J Food Sci 1988, 53, 885–888. [Google Scholar]
- Uchida, M; Ono, M. Improvement for oxidative flavor stability of beer—Role of OH-radical in beer oxidation. J Am Soc Brew Chem 1996, 54, 198–204. [Google Scholar]
- Bamforth, CW; Parsons, R. New procedures to improve the flavor stability of beer. J Am Soc Brew Chem 1985, 43, 197–202. [Google Scholar]
- Uchida, M; Ono, M. Determination of hydrogen peroxide in beer and its role in beer oxidation. J Am Soc Brew Chem 1999, 57, 145–150. [Google Scholar]
- Halliwell, B; Gutteridge, JMC. Oxygen toxicity, oxygen radicals, transition metals and disease. Biochem J 1984, 219, 1–14. [Google Scholar]
- Vanderhaegen, B; Neven, H; Verachtert, H; Derdelinckx, G. The chemistry of beer aging—a critical review. Food Chem 2006, 95, 357–381. [Google Scholar]
- Wu, G; Fang, Y-Z; Yang, S; Lupton, JR; Turner, ND. Glutathione metabolism and its implications for health. J Nutr 2004, 134, 489–492. [Google Scholar]
- Nordberg, J; Arnér, ESJ. Reactive oxygen species, antioxidants, and the mammalian thioredoxin system. Free Radic Biol Med 2001, 31, 1287–1312. [Google Scholar]
- Bamforth, C. Nutritional aspects of beer—a review. Nutr Res 2002, 22, 227–237. [Google Scholar]
- Taylor, MJ; Richardson, T. Antioxidant activity of cysteine and protein sulfhydryls in a linoleate emulsion oxidised by hemoglobin. J Food Sci 1980, 45, 1223–1227. [Google Scholar]
- Rogers, P; Clarke, FM. Sustainable Redox Power from Beer Proteins. Proceedings of 31st International Congress of the European Brewery Convention, Venice, Italy, 6–10 May 2007.
- Evans, DE; Hejgaard, J. The impact of malt derived proteins on beer foam quality. Part I. The effect of germination and kilning on the level of protein Z4, protein Z7 and LTP1. J Inst Brew 1999, 105, 159–169. [Google Scholar]
- Shewry, PR; Halford, NG. Cereal seed storage proteins: Structures, properties and role in grain utilization. J Exp Bot 2002, 53, 947–958. [Google Scholar]
- Perrocheau, L; Rogniaux, H; Boivin, P; Marion, D. Probing heat-stable water-soluble proteins from barley to malt and beer. Proteomics 2005, 5, 2849–2858. [Google Scholar]
- Bobalova, J; Chmelik, J. Proteomic identification of technologically modified proteins in malt by combination of protein fractionation using convective interaction media and matrix-assisted laser desorption/ionization time-of-flight mass spectrometry. J Chromatogr A 2007, 1163, 80–85. [Google Scholar]
- Marion, D; Bakan, B; Elmorjani, K. Plant lipid binding proteins: Properties and applications. Biotechnol Adv 2007, 25, 195–197. [Google Scholar]
- Charvolin, D; Douliez, J-P; Marion, D; Cohen-Addad, C; Pebay-Peyroula, E. The crystal structure of a wheat nonspecific lipid transfer protein (ns-LTP1) complexed with two molecules of phospholipid at 2.1 A resolution. Eur J Biochem 1999, 264, 562–568. [Google Scholar]
- Chobert, J-M; Gaudin, J-C; Dalgalarrondo, M; Haertlé, T. Impact of Maillard type glycation on properties of beta-lactoglobulin. Biotechnol Adv 2006, 24, 629–632. [Google Scholar]
- Daems, V; Delvaux, F. Multivariate analysis of descriptive sensory data on 40 commercial beers. Food Qual Prefer 1997, 8, 373–380. [Google Scholar]
- Meilgaard, MC; Dalgliesh, CE; Clapperton, JF. Beer flavour terminology. J Am Soc Brew Chem 1979, 37, 47–52. [Google Scholar]
- Stone, H; Sidel, J; Oliver, SG; Woolsey, A. Sensory evaluation by quantitative descriptive analysis. Food Technol 1974, 28, 24–34. [Google Scholar]
- Bayer, EA; Safars, M; Wilchek, M. Selective labeling of sulfhydryls and disulfides on blot transfers using avidin-biotin technology: Studies on purified proteins and erythrocyte membrane. Anal Biochem 1987, 161, 262–271. [Google Scholar]
- Wu, MJ; McKay, S; Howes, N; Hegedus, E; Chin, J. Polymorphism and pedigree analysis of b-amylase isozymes in Australian wheat. J Cereal Sci 2011, 53, 362–370. [Google Scholar]
- Blum, H; Beier, H; Gross, H. Improved silver staining of plant proteins, RNA and DNA in polyacrylamide gels. Electrophoresis 1987, 8, 93–99. [Google Scholar]
- Blois, MS. Antioxidant determinations by the use of a stable free radical. Nature 1958, 181, 1199–1200. [Google Scholar]
- Wu, MJ; O’Doherty, PJ; Fernandez, HR; Lyons, V; Rogers, PJ; Dawes, IW; Higgins, VJ. An antioxidant screening assay based on oxidant-induced growth arrest in Saccharomyces cerevisiae. FEMS Yeast Res 2011, 11, 379–387. [Google Scholar]






© 2011 by the authors; licensee MDPI, Basel, Switzerland. This article is an open-access article distributed under the terms and conditions of the Creative Commons Attribution license (http://creativecommons.org/licenses/by/3.0/).
Share and Cite
Wu, M.J.; Clarke, F.M.; Rogers, P.J.; Young, P.; Sales, N.; O’Doherty, P.J.; Higgins, V.J. Identification of a Protein with Antioxidant Activity that is Important for the Protection against Beer Ageing. Int. J. Mol. Sci. 2011, 12, 6089-6103. https://doi.org/10.3390/ijms12096089
Wu MJ, Clarke FM, Rogers PJ, Young P, Sales N, O’Doherty PJ, Higgins VJ. Identification of a Protein with Antioxidant Activity that is Important for the Protection against Beer Ageing. International Journal of Molecular Sciences. 2011; 12(9):6089-6103. https://doi.org/10.3390/ijms12096089
Chicago/Turabian StyleWu, Ming J., Frank M. Clarke, Peter J. Rogers, Paul Young, Narelle Sales, Patrick J. O’Doherty, and Vincent J. Higgins. 2011. "Identification of a Protein with Antioxidant Activity that is Important for the Protection against Beer Ageing" International Journal of Molecular Sciences 12, no. 9: 6089-6103. https://doi.org/10.3390/ijms12096089
APA StyleWu, M. J., Clarke, F. M., Rogers, P. J., Young, P., Sales, N., O’Doherty, P. J., & Higgins, V. J. (2011). Identification of a Protein with Antioxidant Activity that is Important for the Protection against Beer Ageing. International Journal of Molecular Sciences, 12(9), 6089-6103. https://doi.org/10.3390/ijms12096089
