Exploring the Performance Advantages of p-Aminobenzenesulfonate-Based Zwitterionic Gemini Surfactants in Oil Recovery
Abstract
1. Introduction
2. Results and Discussion
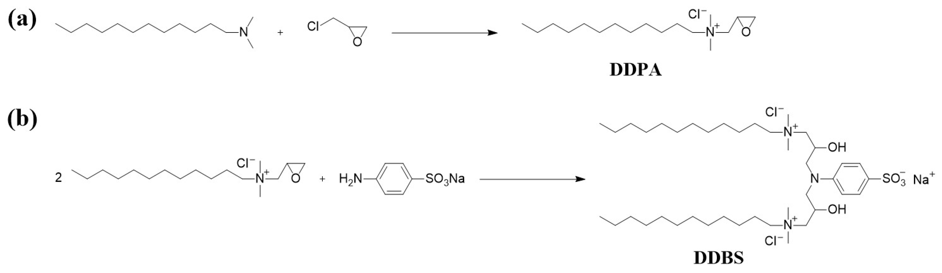
2.1. Synthesis of the Surfactant
2.2. Thermal Stability
2.3. Surface Tension
2.4. Interfacial Tension
2.4.1. Effect of Concentration on Interfacial Tension
2.4.2. Effect of Temperature on Interfacial Tension
2.4.3. Effect of Inorganic Salt Concentration on Interfacial Tension
2.5. Wettability
2.6. Emulsibility
2.7. Adsorptivity
2.8. Oil Displacement Capability
2.9. Compatibility
3. Materials and Methods
3.1. Materials
3.1.1. Synthesis of the Surfactant DDPA
3.1.2. Synthesis of the Surfactant DDBS
3.2. Characterization
3.3. Thermal Stability
3.4. Surface Tension
3.5. Interfacial Tension
3.6. Wettability
3.7. Emulsibility
3.8. Adsorptivity
3.9. Oil Displacement Capability
3.10. Compatibility
4. Conclusions
Supplementary Materials
Author Contributions
Funding
Institutional Review Board Statement
Informed Consent Statement
Data Availability Statement
Acknowledgments
Conflicts of Interest
References
- Pal, N.; Saxena, N.; Mandal, A. Studies on the physicochemical properties of synthesized tailor-made gemini surfactants for application in enhanced oil recovery. J. Mol. Liq. 2018, 258, 211–224. [Google Scholar] [CrossRef]
- Belyadi, H.; Fathi, E.; Belyadi, F. Shale Initial Gas-in-Place Calculation. In Hydraulic Fracturing in Unconventional Reservoirs; Belyadi, H., Hammon, K., Washington, K., Eds.; Gulf Professional Publishing: Amsterdam, The Netherlands, 2017; pp. 29–36. [Google Scholar]
- Hallett, D. Petroleum Systems. In Petroleum Geology of Libya; Hallett, D., Clark-Lowes, D., Eds.; Elsevier B.V.: Amsterdam, The Netherlands, 2002; pp. 355–416. [Google Scholar]
- Bello, A.; Ivanova, A.; Bakulin, D.; Yunusov, T.; Rodionov, A.; Burukhin, A.; Cheremisin, A. An experimental study of foam-oil interactions for nonionic-based binary surfactant systems under high salinity conditions. Sci. Rep. 2024, 14, 12208. [Google Scholar] [CrossRef] [PubMed]
- Niedermaier Custodio, L.F.; Carneiro, C.C. Global enhanced oil recovery assessment: A comprehensive data-driven analysis using self-organizing maps. Geoenergy Sci. Eng. 2024, 237, 212771. [Google Scholar] [CrossRef]
- Ibrahim Youssif, M.; Saleh, S.M. A macro and micro-investigation of nanotechnology for enhanced oil recovery: A comprehensive review. J. Mol. Liq. 2024, 407, 125284. [Google Scholar] [CrossRef]
- Sharma, H.; Dufour, S.; Arachchilage, G.W.P.; Weerasooriya, U.; Pope, G.; Mohanty, K. Alternative alkalis for ASP flooding in anhydrite containing oil reservoirs. Fuel 2015, 140, 407–420. [Google Scholar] [CrossRef]
- Li, H.-R.; Li, Z.-Q.; Song, X.-W.; Li, C.-B.; Guo, L.-L.; Zhang, L.; Zhang, L.; Zhao, S. Effect of Organic Alkalis on Interfacial Tensions of Surfactant/Polymer Solutions against Hydrocarbons. Energy Fuels 2015, 29, 459–466. [Google Scholar] [CrossRef]
- Thomas, N.C.; Ghosh, B.; AlAmeri, W.S.; Kilybay, A. Alkali and Hybrid-Alkali Flooding as a Tertiary Oil Recovery Mode: Prospects and Challenges. Int. J. Petrol. Petrochem. Eng. 2016, 2, 22–31. [Google Scholar] [CrossRef]
- Khlaifat, A.L.; Dakhlallah, D.; Sufyan, F. A Critical Review of Alkaline Flooding: Mechanism, Hybrid Flooding Methods, Laboratory Work, Pilot Projects, and Field Applications. Energies 2022, 15, 3820. [Google Scholar] [CrossRef]
- Cheng, Y.; Yang, Y.; Niu, C.; Feng, Z.; Zhao, W.; Lu, S. Progress in synthesis and application of zwitterionic Gemini surfactants. Energies 2019, 13, 242–257. [Google Scholar] [CrossRef]
- Jian, G.; Fernandez, C.A.; Puerto, M.; Sarathi, R.; Bonneville, A.; Biswal, S.L. Advances and challenges in CO2 foam technologies for enhanced oil recovery in carbonate. J. Pet. Sci. Eng. 2021, 202, 108447. [Google Scholar] [CrossRef]
- Sarkar, R.; Pal, A.; Rakshit, A.; Saha, B. Properties and applications of amphoteric surfactant: A concise review. J. Surfact. Deterg. 2021, 24, 709–730. [Google Scholar] [CrossRef]
- Liang, Y.; Lin, S. Intercalation of zwitterionic surfactants dramatically enhances the performance of low-pressure nanofiltration membrane. J. Membr. Sci. 2020, 596, 117726. [Google Scholar] [CrossRef]
- Feng, J.; Yan, Z.; Song, J.; He, J.; Zhao, G.; Fan, H. Study on the structure-activity relationship between the molecular structure of sulfate gemini surfactant and surface activity, thermodynamic properties and foam properties. Chem. Eng. Sci. 2021, 245, 116857. [Google Scholar] [CrossRef]
- Branco, M.A.; Pinheiro, L.; Faustino, C. Amino acid-based cationic gemini surfactant–protein interactions. Colloids Surf. A Physicochem. Eng. Asp. 2015, 480, 105–112. [Google Scholar] [CrossRef]
- Wen, Z.; Xiao, P.; Wang, P.; Han, X.; Ma, J.; Zhao, S. Effect of Gemini surfactant structure on water/oil interfacial properties: A dissipative particle dynamics study. Chem. Eng. Sci. 2022, 251, 117466. [Google Scholar] [CrossRef]
- Pan, Y.; Ge, B.; Zhang, Y.; Li, P.; Guo, B.; Zeng, X.; Pan, J.; Lin, S.; Yuan, P.; Hou, L. Surface activity and cleaning performance of Gemini surfactants with rosin groupsy. J. Mol. Liq. 2021, 336, 116222. [Google Scholar] [CrossRef]
- Hang, Z.; Zhang, L.; Liu, F.; Ma, W. The Wettability of PMMA Surface by Aqueous Solutions of Anionic Gemini Surfactants with Different Hydrophobic Carbon Chain Lengths. In Adsorption—Fundamental Mechanisms and Applications; Shabatina, T., Ed.; IntechOpen: Rijeka, Croatia, 2024. [Google Scholar]
- Pérez, L.; Pinazo, A.; Pons, R.; Infante, M. Gemini surfactants from natural amino acids. Adv. Colloid Interface Sci. 2014, 205, 134–155. [Google Scholar] [CrossRef]
- Kamal, M.S. A Review of Gemini Surfactants: Potential Application in Enhanced Oil Recovery. Adv. Colloid Interface Sci. 2016, 19, 223–236. [Google Scholar] [CrossRef]
- Wu, H.; Chen, X.; Tan, R.; Luo, Y.; Hu, Y.; Li, Y.; Huo, J.; Kang, W. Controllable regulation of emulsion stability by a pH-responsive zwitterionic/anionic surfactant system. Fuel 2022, 312, 122921. [Google Scholar] [CrossRef]
- Srivastava, A.; Kumar, M.; Singh, R.P.; Khan, J.M.; Singh, S.K. Effect of the mixed micelles of zwitterionic-anionic surfactant on efficiency of antibiotic azithromycin dihydrate. J. Mol. Liq. 2024, 408, 125317. [Google Scholar] [CrossRef]
- Kwaśniewska, D.; Staszak, K.; Wieczorek, D.; Zieliński, R. Synthesis and Interfacial Activity of Novel Heterogemini Sulfobetaines in Aqueous Solution. J. Surfactants Deterg. 2014, 18, 477–486. [Google Scholar] [CrossRef] [PubMed]
- Beitollahi, H.; Mohadesi, A.; Mohammadi, S.; Pahlavan, A.; Karimi-Maleh, H.; Akbari, A. New voltammetric strategy for determination of dopamine in the presence of high concentrations of acetaminophen, folic acid and N-acetylcysteine. J. Mol. Liq. 2012, 169, 130–135. [Google Scholar] [CrossRef]
- Zhang, Y.; Mao, J.; Zhao, J.; Liao, Z.; Xu, T.; Mao, J.; Sun, H.; Zheng, L.; Ni, Y. Synergy between different sulfobetaine-type zwitterionic Gemini surfactants: Surface tension and rheological properties. J. Mol. Liq. 2021, 332, 115141. [Google Scholar] [CrossRef]
- Liu, J.; Liu, Z.; Yuan, T.; Wang, C.; Gao, R.; Hu, G.; Xu, J.; Zhao, J. Synthesis and properties of zwitterionic gemini surfactants for enhancing oil recovery. J. Mol. Liq. 2020, 311, 113179. [Google Scholar] [CrossRef]
- Yoshimura, T.; Ichinokawa, T.; Kaji, M.; Esumi, K. Synthesis and surface-active properties of sulfobetaine-type zwitterionic gemini surfactants. Colloids Surf. A Physicochem. Eng. Asp. 2006, 273, 208–212. [Google Scholar] [CrossRef]
- Morita, T.; Yada, S.; Yoshimura, T. Adsorption dynamics of quaternary-ammonium-salt–based gemini and trimeric surfactants with different spacer structures at air/water interface. Colloids Surf. A Physicochem. Eng. Asp. 2023, 671, 131589. [Google Scholar] [CrossRef]
- Geng, X.F.; Hu, X.Q.; Xia, J.J.; Jia, X.C. Synthesis and surface activities of a novel di-hydroxyl-sulfate-betaine-type zwitterionic gemini surfactants. Appl. Surf. Sci. 2013, 271, 284–290. [Google Scholar] [CrossRef]
- Gan, J.; Wu, D.; Zhang, Y.; Liu, S.; Guo, M.; Li, X.; Zhu, J.; Xiong, X.; Wang, H.; Yin, H. Distribution Pattern of Present-day Formation Temperature in the Qiongdongnan Basin: Implications for Hydrocarbon Generation and Preservation. Geol. J. China Univ. 2019, 25, 952–960. (In Chinese) [Google Scholar]
- Liu, Y.; Liu, B.; Zhu, H.; Lin, T.; Huo, Q.; Xing, J.; Du, X.; Fu, J.; Yan, B.; Bi, R.; et al. The distribution characteristics and main controlling factors of present-day geothermal regime of the Songliao basin. Acta Geol. Sin. 2023, 97, 2715–2727. (In Chinese) [Google Scholar]
- Gao, S.; Song, Z.; Zhu, D.; Lan, F.; Jiang, Q. Synthesis, surface activities, and aggregation behavior of phenyl-containing carboxybetaine surfactants. RSC Adv. 2018, 8, 33256–33268. [Google Scholar] [CrossRef]
- Li, H.; Cui, C.; Guo, L.; Yuan, F.; Xu, Z.; Gong, Q.; Jin, Z.; Zhang, L.; Zhang, L. Dynamic interfacial tensions of sulfobetaine and polymers solutions: Effect of structures. J. Mol. Liq. 2022, 356, 119018. [Google Scholar] [CrossRef]
- Wang, Y.; Wang, Q.; Yang, D.; Hu, T.; Zhang, L.; Jiang, C. Synthesis and properties evaluation of novel Gemini surfactant with temperature tolerance and salt resistance for heavy oil. J. Mol. Liq. 2023, 382, 121851. [Google Scholar] [CrossRef]
- Feng, H.; Hou, J.; Ma, T.; Meng, Z.; Wu, H.; Yang, H.; Kang, W. The ultra-low interfacial tension behavior of the combined cationic/anionic-nonionic gemini surfactants system for chemical flooding. Colloid Surf. A Physicochem. Eng. Asp. 2018, 554, 74–80. [Google Scholar] [CrossRef]
- Zhao, Z.; Bi, C.; Li, Z.; Qiao, W.; Cheng, L. Interfacial tension between crude oil and decylmethylnaphthalene sulfonate surfactant alkali-free flooding systems. Colloid Surf. A Physicochem. Eng. Asp. 2006, 276, 186–191. [Google Scholar] [CrossRef]
- Chen, H.; Han, L.; Luo, P.; Ye, Z. The interfacial tension between oil and gemini surfactant solution. Surf. Sci. 2004, 552, L53–L57. [Google Scholar] [CrossRef]
- Yu, T.; Liu, H.; Wang, C.; Ding, W.; Qu, G. Emulsifing Properties of Sodium Alkyl Aryl Sulfonate to Alkanes. Chin. J. Appl. Chem. 2011, 28, 3634–3642. (In Chinese) [Google Scholar]
- Wang, Y.; Ge, J.; Zhang, G.; Jiang, P.; Zhang, W.; Lin, Y. Adsorption behavior of dodecyl hydroxypropyl sulfobetaine on limestone in high salinity water. RSC Adv. 2015, 5, 59738–59744. [Google Scholar] [CrossRef]
- Bera, A.; S, K.; Ojha, K.; Kumar, T.; Mandal, A. Mechanistic Study of Wettability Alteration of Quartz Surface Induced by Nonionic Surfactants and Interaction between Crude Oil and Quartz in the Presence of Sodium Chloride Salt. Energy Fuels 2012, 26, 3634–3643. [Google Scholar] [CrossRef]
- Zdziennicka, A.; Szymczyk, K.; Jańczuk, B. Correlation between surface free energy of quartz and its wettability by aqueous solutions of nonionic, anionic and cationic surfactants. J. Colloid Interface Sci. 2009, 340, 243–248. [Google Scholar] [CrossRef]
- Li, N.; Zhang, G.; Ge, J.; Jin, L.; Zhang, J.; Ding, B.; Pei, H. Adsorption Behavior of Betaine-Type Surfactant on Quartz Sand. Energy Fuels 2011, 25, 4430–4437. [Google Scholar] [CrossRef]
- Ma, K.; Li, P.; Wang, Z.; Chen, Y.; Campana, M.; Doutch, J.; Dalgliesh, R.; Maestro, A.; Thomas, R.; Penfold, J. Strong synergistic interactions in zwitterionic–anionic surfactant mixtures at the air–water interface and in micelles: The role of steric and electrostatic interactions. J. Colloid Interface Sci. 2022, 613, 297–310. [Google Scholar] [CrossRef] [PubMed]
- Sreenu, M.; Prasad, R.B.N.; Sujitha, P.; Kumar, C.G. Synthesis and Surface-Active Properties of Sodium N-Acylphenylalanines and Their Cytotoxicity. Ind. Eng. Chem. Res. 2015, 54, 2090–2098. [Google Scholar] [CrossRef]
- Kayishaer, A.; Magnenet, C.; Pavel, I.A.; Halima, H.B.; Moutarlier, V.; Lakard, B.; Redon, N.; Duc, C.; Lakard, S. Influence of surfactant on conductivity, capacitance and doping of electrodeposited polyaniline films. Front. Mater. 2024, 11, 1358534. [Google Scholar] [CrossRef]
- Iglauer, S.; Wu, Y.; Shuler, P.; Tang, Y.; Goddard, W.A. New surfactant classes for enhanced oil recovery and their tertiary oil recovery potential. J. Pet. Sci. Eng. 2010, 71, 23–29. [Google Scholar] [CrossRef]












| Sample | Temperature (°C) | 0.05 g/L | 0.10 g/L | 0.15 g/ L | 0.20 g/L |
|---|---|---|---|---|---|
| DDPA | 25 | 321 | 398 | 485 | 492 |
| DDPA | 45 | 189 | 225 | 234 | 241 |
| DDPA | 75 | 91 | 106 | 117 | 128 |
| Sample | Temperature (°C) | 0.25 g/L | 0.30 g/L | 0.35 g/L | 0.40 g/L |
| DDPA | 25 | 503 | 450 | 377 | - |
| DDPA | 45 | 247 | 232 | 220 | - |
| DDPA | 75 | 141 | 108 | 98 | - |
| Sample | Temperature (°C) | 0.05 g/L | 0.10 g/L | 0.15 g/L | 0.20 g/L |
| DDBS | 25 | 209 | 218 | 232 | 237 |
| DDBS | 45 | 128 | 137 | 158 | 165 |
| DDBS | 75 | 74 | 78 | 81 | 84 |
| Sample | Temperature (°C) | 0.25 g L−1 | 0.30 g L−1 | 0.35 g L−1 | 0.40 g L−1 |
| DDBS | 25 | 244 | 255 | 262 | 256 |
| DDBS | 45 | 170 | 179 | 186 | 180 |
| DDBS | 75 | 87 | 86 | 90 | 77 |
Disclaimer/Publisher’s Note: The statements, opinions and data contained in all publications are solely those of the individual author(s) and contributor(s) and not of MDPI and/or the editor(s). MDPI and/or the editor(s) disclaim responsibility for any injury to people or property resulting from any ideas, methods, instructions or products referred to in the content. |
© 2025 by the authors. Licensee MDPI, Basel, Switzerland. This article is an open access article distributed under the terms and conditions of the Creative Commons Attribution (CC BY) license (https://creativecommons.org/licenses/by/4.0/).
Share and Cite
Song, Z.; Xia, S.; Yang, T.; Li, Z.; Li, J. Exploring the Performance Advantages of p-Aminobenzenesulfonate-Based Zwitterionic Gemini Surfactants in Oil Recovery. Molecules 2025, 30, 1537. https://doi.org/10.3390/molecules30071537
Song Z, Xia S, Yang T, Li Z, Li J. Exploring the Performance Advantages of p-Aminobenzenesulfonate-Based Zwitterionic Gemini Surfactants in Oil Recovery. Molecules. 2025; 30(7):1537. https://doi.org/10.3390/molecules30071537
Chicago/Turabian StyleSong, Zhaozheng, Shiyuan Xia, Tongji Yang, Zhihong Li, and Jiayi Li. 2025. "Exploring the Performance Advantages of p-Aminobenzenesulfonate-Based Zwitterionic Gemini Surfactants in Oil Recovery" Molecules 30, no. 7: 1537. https://doi.org/10.3390/molecules30071537
APA StyleSong, Z., Xia, S., Yang, T., Li, Z., & Li, J. (2025). Exploring the Performance Advantages of p-Aminobenzenesulfonate-Based Zwitterionic Gemini Surfactants in Oil Recovery. Molecules, 30(7), 1537. https://doi.org/10.3390/molecules30071537

