Efficient Adsorption of Methylene Blue by Polyaminocarboxylated Modified Hydrochar Derived from Sugarcane Bagasse
Abstract
1. Introduction
2. Results
2.1. Characterization
2.1.1. Morphology Analysis
2.1.2. Pore Structure Analysis
2.1.3. Functional Group Analysis
2.1.4. Structure Property Analysis
2.1.5. Chemical Composition Analysis
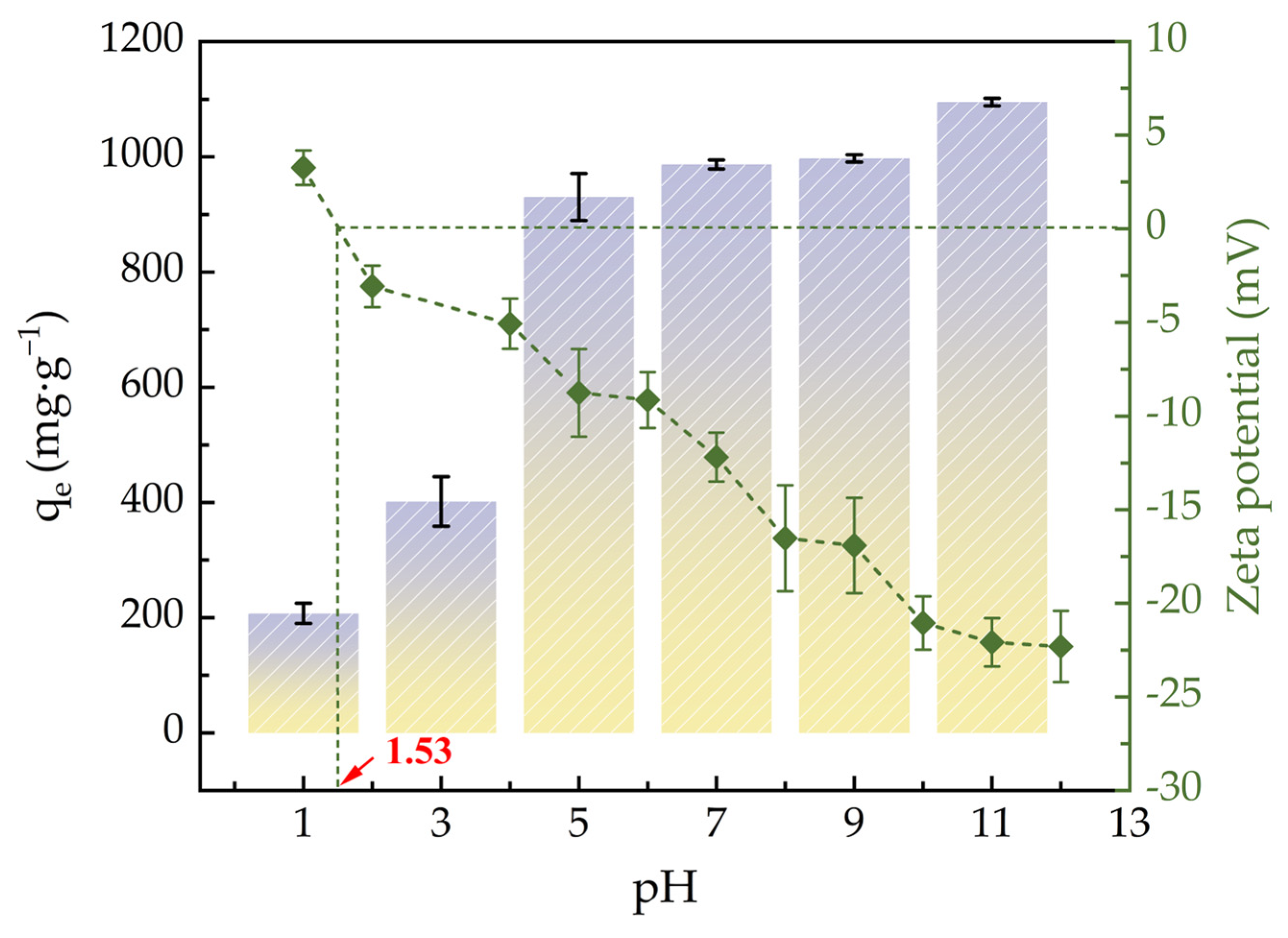
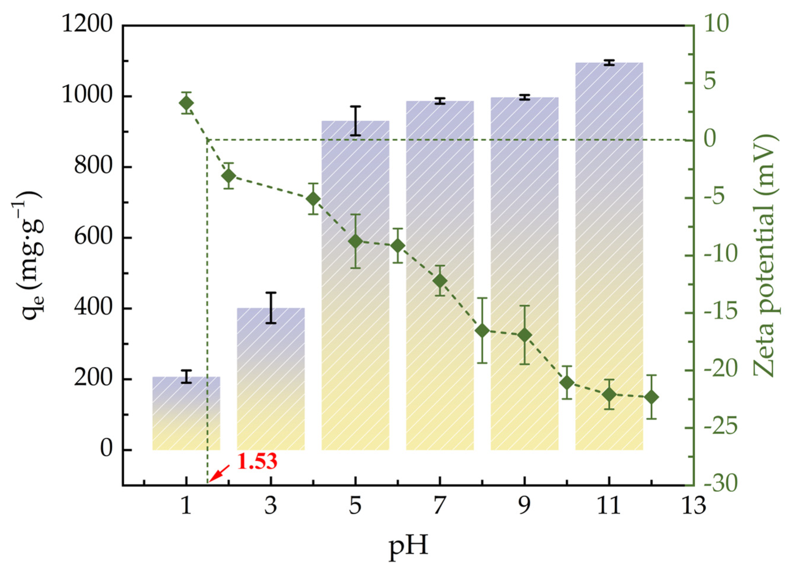
2.2. Effects of pH
2.3. Adsorption Capacity Comparison
2.4. Adsorption Isotherm Models
2.5. Adsorption Mass Transfer Model
2.6. Adsorption Thermodynamics Model
2.7. Density Functional Theory (DFT) Calculations
2.8. Adsorption Mechanisms
2.9. Adsorbent Regeneration
3. Materials and Methods
3.1. Materials
3.2. Preparation of Sugarcane Bagasse Hydrochar (HC)
3.3. Preparation of Polyaminocarboxylated Modified Hydrochar (ACHC)
3.4. Characterization of Carbon Materials
3.5. Batch Adsorption Experiments
3.6. Density Functional Theory (DFT) Calculations
4. Conclusions
Author Contributions
Funding
Institutional Review Board Statement
Informed Consent Statement
Data Availability Statement
Acknowledgments
Conflicts of Interest
References
- Wang, F. Effect of Oxygen-Containing Functional Groups on the Adsorption of Cationic Dye by Magnetic Graphene Nanosheets. Chem. Eng. Res. Des. 2017, 128, 155–161. [Google Scholar] [CrossRef]
- Chen, B.; Yang, Z.; Ma, G.; Kong, D.; Xiong, W.; Wang, J.; Zhu, Y.; Xia, Y. Heteroatom-Doped Porous Carbons with Enhanced Carbon Dioxide Uptake and Excellent Methylene Blue Adsorption Capacities. Microporous Mesoporous Mater. 2018, 257, 1–8. [Google Scholar] [CrossRef]
- Pathania, D.; Sharma, S.; Singh, P. Removal of Methylene Blue by Adsorption onto Activated Carbon Developed from Ficus Carica Bast. Arab. J. Chem. 2017, 10, S1445–S1451. [Google Scholar] [CrossRef]
- Liu, J.-L.; Qian, W.-C.; Guo, J.-Z.; Shen, Y.; Li, B. Selective Removal of Anionic and Cationic Dyes by Magnetic Fe3O4-Loaded Amine-Modified Hydrochar. Bioresour. Technol. 2021, 320, 124374. [Google Scholar] [CrossRef]
- Li, H.-Z.; Zhang, Y.-N.; Guo, J.-Z.; Lv, J.-Q.; Huan, W.-W.; Li, B. Preparation of Hydrochar with High Adsorption Performance for Methylene Blue by Co-Hydrothermal Carbonization of Polyvinyl Chloride and Bamboo. Bioresour. Technol. 2021, 337, 125442. [Google Scholar] [CrossRef]
- Li, X.; Bonjour, E.; Jame, P.; Kuzhir, P.; Hurel, C. Production of Hydrochar from Biomass Waste as Economical Adsorbents for Methylene Blue—Insight of Occurring Adsorption Phenomena. Biomass Convers. Biorefinery 2024, 14, 19723–19737. [Google Scholar] [CrossRef]
- Din, M.I.; Khalid, R.; Najeeb, J.; Hussain, Z. Fundamentals and Photocatalysis of Methylene Blue Dye Using Various Nanocatalytic Assemblies—A Critical Review. J. Clean. Prod. 2021, 298, 126567. [Google Scholar] [CrossRef]
- Aruna; Bagotia, N.; Sharma, A.K.; Kumar, S. A Review on Modified Sugarcane Bagasse Biosorbent for Removal of Dyes. Chemosphere 2021, 268, 129309. [Google Scholar] [CrossRef]
- Lv, B.-W.; Xu, H.; Guo, J.-Z.; Bai, L.-Q.; Li, B. Efficient Adsorption of Methylene Blue on Carboxylate-Rich Hydrochar Prepared by One-Step Hydrothermal Carbonization of Bamboo and Acrylic Acid with Ammonium Persulphate. J. Hazard. Mater. 2022, 421, 126741. [Google Scholar] [CrossRef]
- Gao, P.; Zhou, Y.; Meng, F.; Zhang, Y.; Liu, Z.; Zhang, W.; Xue, G. Preparation and Characterization of Hydrochar from Waste Eucalyptus Bark by Hydrothermal Carbonization. Energy 2016, 97, 238–245. [Google Scholar] [CrossRef]
- Peng, J.; Kang, X.; Zhao, S.; Zhao, P.; Ragauskas, A.J.; Si, C.; Xu, T.; Song, X. Growth Mechanism of Glucose-Based Hydrochar under the Effects of Acid and Temperature Regulation. J. Colloid Interface Sci. 2023, 630, 654–665. [Google Scholar] [CrossRef] [PubMed]
- Toscano Miranda, N.; Lopes Motta, I.; Maciel Filho, R.; Wolf Maciel, M.R. Sugarcane Bagasse Pyrolysis: A Review of Operating Conditions and Products Properties. Renew. Sustain. Energy Rev. 2021, 149, 111394. [Google Scholar] [CrossRef]
- Zhou, N.; Chen, H.; Xi, J.; Yao, D.; Zhou, Z.; Tian, Y.; Lu, X. Biochars with Excellent Pb(II) Adsorption Property Produced from Fresh and Dehydrated Banana Peels via Hydrothermal Carbonization. Bioresour. Technol. 2017, 232, 204–210. [Google Scholar] [CrossRef]
- Buapeth, P.; Watcharin, W.; Dechtrirat, D.; Chuenchom, L. Carbon Adsorbents from Sugarcane Bagasse Prepared through Hydrothermal Carbonization for Adsorption of Methylene Blue: Effect of Heat Treatment on Adsorption Efficiency. IOP Conf. Ser. Mater. Sci. Eng. 2019, 515, 012003. [Google Scholar] [CrossRef]
- Khoo, R.Z.; Chow, W.S.; Ismail, H. Sugarcane Bagasse Fiber and Its Cellulose Nanocrystals for Polymer Reinforcement and Heavy Metal Adsorbent: A Review. Cellulose 2018, 25, 4303–4330. [Google Scholar] [CrossRef]
- Qian, W.-C.; Luo, X.-P.; Wang, X.; Guo, M.; Li, B. Removal of Methylene Blue from Aqueous Solution by Modified Bamboo Hydrochar. Ecotoxicol. Environ. Saf. 2018, 157, 300–306. [Google Scholar] [CrossRef]
- Li, B.; Lv, J.-Q.; Guo, J.-Z.; Fu, S.-Y.; Guo, M.; Yang, P. The Polyaminocarboxylated Modified Hydrochar for Efficient Capturing Methylene Blue and Cu(II) from Water. Bioresour. Technol. 2019, 275, 360–367. [Google Scholar] [CrossRef]
- Zhang, T.; Wu, X.; Shaheen, S.M.; Zhao, Q.; Liu, X.; Rinklebe, J.; Ren, H. Ammonium Nitrogen Recovery from Digestate by Hydrothermal Pretreatment Followed by Activated Hydrochar Sorption. Chem. Eng. J. 2020, 379, 122254. [Google Scholar] [CrossRef]
- Masoumi, S.; Dalai, A.K. Optimized Production and Characterization of Highly Porous Activated Carbon from Algal-Derived Hydrochar. J. Clean. Prod. 2020, 263, 121427. [Google Scholar] [CrossRef]
- Yan, W.; Zhang, H.; Sheng, K.; Mustafa, A.M.; Yu, Y. Evaluation of Engineered Hydrochar from KMnO4 Treated Bamboo Residues: Physicochemical Properties, Hygroscopic Dynamics, and Morphology. Bioresour. Technol. 2018, 250, 806–811. [Google Scholar] [CrossRef]
- Trakal, L.; Šigut, R.; Šillerová, H.; Faturíková, D.; Komárek, M. Copper Removal from Aqueous Solution Using Biochar: Effect of Chemical Activation. Arab. J. Chem. 2014, 7, 43–52. [Google Scholar] [CrossRef]
- Wang, R.-F.; Deng, L.-G.; Li, K.; Fan, X.-J.; Li, W.; Lu, H.-Q. Fabrication and Characterization of Sugarcane Bagasse–Calcium Carbonate Composite for the Efficient Removal of Crystal Violet Dye from Wastewater. Ceram. Int. 2020, 46, 27484–27492. [Google Scholar] [CrossRef]
- Zhang, Y.-N.; Guo, J.-Z.; Wu, C.; Huan, W.-W.; Chen, L.; Li, B. Enhanced Removal of Cr(VI) by Cation Functionalized Bamboo Hydrochar. Bioresour. Technol. 2022, 347, 126703. [Google Scholar] [CrossRef]
- Prasannamedha, G.; Kumar, P.S.; Mehala, R.; Sharumitha, T.J.; Surendhar, D. Enhanced Adsorptive Removal of Sulfamethoxazole from Water Using Biochar Derived from Hydrothermal Carbonization of Sugarcane Bagasse. J. Hazard. Mater. 2021, 407, 124825. [Google Scholar] [CrossRef] [PubMed]
- Ledesma, B.; Olivares-Marín, M.; Álvarez-Murillo, A.; Roman, S.; Nabais, J.M.V. Method for Promoting in-Situ Hydrochar Porosity in Hydrothermal Carbonization of Almond Shells with Air Activation. J. Supercrit. Fluids 2018, 138, 187–192. [Google Scholar] [CrossRef]
- Almáši, M.; Zeleňák, V.; Opanasenko, M.; Čejka, J. A Novel Nickel Metal–Organic Framework with Fluorite-like Structure: Gas Adsorption Properties and Catalytic Activity in Knoevenagel Condensation. Dalton Trans. 2014, 43, 3730–3738. [Google Scholar] [CrossRef]
- Hadjiivanov, K.I.; Panayotov, D.A.; Mihaylov, M.Y.; Ivanova, E.Z.; Chakarova, K.K.; Andonova, S.M.; Drenchev, N.L. Power of Infrared and Raman Spectroscopies to Characterize Metal-Organic Frameworks and Investigate Their Interaction with Guest Molecules. Chem. Rev. 2021, 121, 1286–1424. [Google Scholar] [CrossRef]
- Xie, X.; Gao, H.; Luo, X.; Su, T.; Zhang, Y.; Qin, Z. Polyethyleneimine Modified Activated Carbon for Adsorption of Cd(II) in Aqueous Solution. J. Environ. Chem. Eng. 2019, 7, 103183. [Google Scholar] [CrossRef]
- Li, B.; Guo, J.; Lv, K.; Fan, J. Adsorption of Methylene Blue and Cd(II) onto Maleylated Modified Hydrochar from Water. Environ. Pollut. 2019, 254, 113014. [Google Scholar] [CrossRef]
- Yang, F.; Zhang, S.; Li, H.; Li, S.; Cheng, K.; Li, J.-S.; Tsang, D.C.W. Corn Straw-Derived Biochar Impregnated with α-FeOOH Nanorods for Highly Effective Copper Removal. Chem. Eng. J. 2018, 348, 191–201. [Google Scholar] [CrossRef]
- Ahamad, T.; Naushad, M.; Eldesoky, G.E.; Al-Saeedi, S.I.; Nafady, A.; Al-Kadhi, N.S.; Al-Muhtaseb, A.H.; Khan, A.A.; Khan, A. Effective and Fast Adsorptive Removal of Toxic Cationic Dye (MB) from Aqueous Medium Using Amino-Functionalized Magnetic Multiwall Carbon Nanotubes. J. Mol. Liq. 2019, 282, 154–161. [Google Scholar] [CrossRef]
- Quan, X.; Sun, Z.; Meng, H.; Han, Y.; Wu, J.; Xu, J.; Xu, Y.; Zhang, X. Polyethyleneimine (PEI) Incorporated Cu-BTC Composites: Extended Applications in Ultra-High Efficient Removal of Congo Red. J. Solid State Chem. 2019, 270, 231–241. [Google Scholar] [CrossRef]
- Zhang, P.; O’Connor, D.; Wang, Y.; Jiang, L.; Xia, T.; Wang, L.; Tsang, D.C.W.; Ok, Y.S.; Hou, D. A Green Biochar/Iron Oxide Composite for Methylene Blue Removal. J. Hazard. Mater. 2020, 384, 121286. [Google Scholar] [CrossRef] [PubMed]
- Hu, M.; Chen, J.; Liu, Y. Structural Properties and Adsorption Performance Relationship towards Three Categories of Lignin and Their Derived Biochar. Bioresour. Technol. 2024, 401, 130712. [Google Scholar] [CrossRef]
- Karimi, H.; Heidari, M.A.; Emrooz, H.B.M.; Shokouhimehr, M. Carbonization Temperature Effects on Adsorption Performance of Metal-Organic Framework Derived Nanoporous Carbon for Removal of Methylene Blue from Wastewater; Experimental and Spectrometry Study. Diam. Relat. Mater. 2020, 108, 107999. [Google Scholar] [CrossRef]
- Su, X.; Wang, X.; Ge, Z.; Bao, Z.; Lin, L.; Chen, Y.; Dai, W.; Sun, Y.; Yuan, H.; Yang, W.; et al. KOH-Activated Biochar and Chitosan Composites for Efficient Adsorption of Industrial Dye Pollutants. Chem. Eng. J. 2024, 486, 150387. [Google Scholar] [CrossRef]
- Zhou, F.; Li, K.; Hang, F.; Zhang, Z.; Chen, P.; Wei, L.; Xie, C. Efficient Removal of Methylene Blue by Activated Hydrochar Prepared by Hydrothermal Carbonization and NaOH Activation of Sugarcane Bagasse and Phosphoric Acid. RSC Adv. 2022, 12, 1885–1896. [Google Scholar] [CrossRef]
- Zhao, R.; Li, X.; Sun, B.; Li, Y.; Li, Y.; Yang, R.; Wang, C. Branched Polyethylenimine Grafted Electrospun Polyacrylonitrile Fiber Membrane: A Novel and Effective Adsorbent for Cr(VI) Remediation in Wastewater. J. Mater. Chem. A 2017, 5, 1133–1144. [Google Scholar] [CrossRef]
- Ayedi, N.; Rzig, B.; Bellakhal, N. Catalytic Hydrothermal Carbonization of Olive Wood Charcoal for Methylene Blue Adsorption from Wastewater: Optimization, Isotherm, Kinetic and Thermodynamic Studies. Chem. Afr. 2023, 6, 765–778. [Google Scholar] [CrossRef]
- Yao, Z.; Zhang, W.; Yu, X. Fabricating Porous Carbon Materials by One-Step Hydrothermal Carbonization of Glucose. Processes 2023, 11, 1923. [Google Scholar] [CrossRef]
- Hessien, M. Methylene Blue Dye Adsorption on Iron Oxide-Hydrochar Composite Synthesized via a Facile Microwave-Assisted Hydrothermal Carbonization of Pomegranate Peels’ Waste. Molecules 2023, 28, 4526. [Google Scholar] [CrossRef] [PubMed]
- Chai, N.; Gao, L.; Li, S.; Ma, Z.; Li, L.; Hu, M. Simple Alkali-Modified Persimmon Peel–Montmorillonite Composite Hydrochar for Rapid and Efficient Removal of Methylene Blue. Sustainability 2023, 15, 11867. [Google Scholar] [CrossRef]
- An, Y.; Zheng, H.; Yu, Z.; Sun, Y.; Wang, Y.; Zhao, C.; Ding, W. Functioned Hollow Glass Microsphere as a Self-Floating Adsorbent: Rapid and High-Efficient Removal of Anionic Dye. J. Hazard. Mater. 2020, 381, 120971. [Google Scholar] [CrossRef]
- Wang, S.; Ng, C.W.; Wang, W.; Li, Q.; Hao, Z. Synergistic and Competitive Adsorption of Organic Dyes on Multiwalled Carbon Nanotubes. Chem. Eng. J. 2012, 197, 34–40. [Google Scholar] [CrossRef]
- Minitha, C.R.; Lalitha, M.; Jeyachandran, Y.L.; Senthilkumar, L.; Rajendra Kumar, R.T. Adsorption Behaviour of Reduced Graphene Oxide towards Cationic and Anionic Dyes: Co-Action of Electrostatic and π-π Interactions. Mater. Chem. Phys. 2017, 194, 243–252. [Google Scholar] [CrossRef]
- Mohammed, N.; Lian, H.; Islam, M.S.; Strong, M.; Shi, Z.; Berry, R.M.; Yu, H.-Y.; Tam, K.C. Selective Adsorption and Separation of Organic Dyes Using Functionalized Cellulose Nanocrystals. Chem. Eng. J. 2021, 417, 129237. [Google Scholar] [CrossRef]
- Hadi, P.; Guo, J.; Barford, J.; McKay, G. Multilayer Dye Adsorption in Activated Carbons—Facile Approach to Exploit Vacant Sites and Interlayer Charge Interaction. Environ. Sci. Technol. 2016, 50, 5041–5049. [Google Scholar] [CrossRef]
- Xia, Y.; Yang, T.; Zhu, N.; Li, D.; Chen, Z.; Lang, Q.; Liu, Z.; Jiao, W. Enhanced Adsorption of Pb(II) onto Modified Hydrochar: Modeling and Mechanism Analysis. Bioresour. Technol. 2019, 288, 121593. [Google Scholar] [CrossRef]
- Wang, S.; Xie, C.; Wang, S.; Hang, F.; Li, W.; Li, K.; Mann, A.; Sarina, S.; Doherty, W.; Shi, C. Facile Ultrasonic-Assisted One-Step Preparation of Sugarcane Bagasse Carbon Sorbent for Bio-Based Odor Removal Cat Litter Formulation. Ind. Crops Prod. 2022, 187, 115493. [Google Scholar] [CrossRef]
- Wang, Q.; Tian, Y.; Kong, L.; Zhang, J.; Zuo, W.; Li, Y.; Cai, G. A Novel 3D Superelastic Polyethyleneimine Functionalized Chitosan Aerogels for Selective Removal of Cr(VI) from Aqueous Solution: Performance and Mechanisms. Chem. Eng. J. 2021, 425, 131722. [Google Scholar] [CrossRef]
- Hu, N.; Yu, J.; Hou, L.; Shi, C.; Li, K.; Hang, F.; Xie, C. Amine-Functionalized MOF-Derived Carbon Materials for Efficient Removal of Congo Red Dye from Aqueous Solutions: Simulation and Adsorption Studies. RSC Adv. 2022, 13, 1–13. [Google Scholar] [CrossRef] [PubMed]
- Bhatt, A.S.; Sakaria, P.L.; Vasudevan, M.; Pawar, R.R.; Sudheesh, N.; Bajaj, H.C.; Mody, H.M. Adsorption of an Anionic Dye from Aqueous Medium by Organoclays: Equilibrium Modeling, Kinetic and Thermodynamic Exploration. RSC Adv. 2012, 2, 8663–8671. [Google Scholar] [CrossRef]
- Lima, E.C.; Gomes, A.A.; Tran, H.N. Comparison of the Nonlinear and Linear Forms of the van’t Hoff Equation for Calculation of Adsorption Thermodynamic Parameters (∆S° and ∆H°). J. Mol. Liq. 2020, 311, 113315. [Google Scholar] [CrossRef]
- Zhang, J.; Lu, X.; Shi, C.; Yan, B.; Gong, L.; Chen, J.; Xiang, L.; Xu, H.; Liu, Q.; Zeng, H. Unraveling the Molecular Interaction Mechanism between Graphene Oxide and Aromatic Organic Compounds with Implications on Wastewater Treatment. Chem. Eng. J. 2019, 358, 842–849. [Google Scholar] [CrossRef]
- Jiang, D.; Li, H.; Cheng, X.; Ling, Q.; Chen, H.; Barati, B.; Yao, Q.; Abomohra, A.; Hu, X.; Bartocci, P.; et al. A Mechanism Study of Methylene Blue Adsorption on Seaweed Biomass Derived Carbon: From Macroscopic to Microscopic Scale. Process Saf. Environ. Prot. 2023, 172, 1132–1143. [Google Scholar] [CrossRef]
- Zhang, T.; Zheng, L.; Yu, H.; Ren, J.; Peng, D.; Zhang, L.; Meng, P. Multiple Adsorption Systems and Electron-Scale Insights into the High Efficiency Coadsorption of a Novel Assembled Cellulose via Experiments and DFT Calculations. J. Hazard. Mater. 2021, 416, 125748. [Google Scholar] [CrossRef] [PubMed]
- Allangawi, A.; Aziz Aljar, M.A.; Ayub, K.; El-Fattah, A.A.; Mahmood, T. Removal of Methylene Blue by Using Sodium Alginate-Based Hydrogel; Validation of Experimental Findings via DFT Calculations. J. Mol. Graph. Model. 2023, 122, 108468. [Google Scholar] [CrossRef] [PubMed]
- Brown, A.B.; Tompsett, G.A.; Partopour, B.; Deskins, N.A.; Timko, M.T. Hydrochar Structural Determination from Artifact-Free Raman Analysis. Carbon 2020, 167, 378–387. [Google Scholar] [CrossRef]
- Reynosa-Martínez, A.C.; Tovar, G.N.; Gallegos, W.R.; Rodríguez-Meléndez, H.; Torres-Cadena, R.; Mondragón-Solórzano, G.; Barroso-Flores, J.; Alvarez-Lemus, M.A.; Montalvo, V.G.; López-Honorato, E. Effect of the Degree of Oxidation of Graphene Oxide on As(III) Adsorption. J. Hazard. Mater. 2020, 384, 121440. [Google Scholar] [CrossRef]
- Cheng, L.; Ji, Y.; Liu, X.; Mu, L.; Zhu, J. Sorption Mechanism of Organic Dyes on a Novel Self-Nitrogen-Doped Porous Graphite Biochar: Coupling DFT Calculations with Experiments. Chem. Eng. Sci. 2021, 242, 116739. [Google Scholar] [CrossRef]
- Wu, D.; Liu, J.; Yang, Y.; Zhao, Y.; Zheng, Y. The Role of SO2 in Arsenic Removal by Carbon-Based Sorbents: A DFT Study. Chem. Eng. J. 2021, 410, 128439. [Google Scholar] [CrossRef]
- Santana, M.S.; Alves, R.P.; Santana, L.S.; Gonçalves, M.A.; Guerreiro, M.C. Structural, Inorganic, and Adsorptive Properties of Hydrochars Obtained by Hydrothermal Carbonization of Coffee Waste. J. Environ. Manag. 2022, 302, 114021. [Google Scholar] [CrossRef] [PubMed]
- Zhao, Y.; Gao, J.; Liang, T.; Chen, T.; Han, X.; Hu, G.; Li, B. Efficient Removal of Cr(VI) by Protonated Amino-Bamboo Char Prepared via Radiation Grafting: Behavior and Mechanism. Sustainability 2023, 15, 13560. [Google Scholar] [CrossRef]
- Maimaiti, T.; Hu, R.; Yuan, H.; Liang, C.; Liu, F.; Li, Q.; Lan, S.; Yu, B.; Yang, S.-T. Magnetic Fe3O4/TiO2/Graphene Sponge for the Adsorption of Methylene Blue in Aqueous Solution. Diam. Relat. Mater. 2022, 123, 108811. [Google Scholar] [CrossRef]
- Frisch, M.J.; Trucks, G.W.; Schlegel, H.B.; Scuseria, G.E.; Robb, M.A.; Cheeseman, J.R.; Scalmani, G.; Barone, V.; Petersson, G.A.; Nakatsuji, H.; et al. Gaussian 16, Revision A.03; Gaussian, Inc.: Wallingford, CT, USA, 2016. [Google Scholar]
- Lu, T.; Chen, F. Multiwfn: A Multifunctional Wavefunction Analyzer. J. Comput. Chem. 2012, 33, 580–592. [Google Scholar] [CrossRef]











| Samples | Surface Area (m2·g−1) | Total Pore Volume (cm3·g−1) | Average Pore Size (nm) |
|---|---|---|---|
| HC | 7.845 | 0.060 | 6.869 |
| ACHC | 5.394 | 0.035 | 6.592 |
| Adsorbents | Feedstock | Adsorption Parameters | Adsorption Capacity qm (mg·g−1) | References |
|---|---|---|---|---|
| MAHC | Bamboo | C0 = 100–900 mg·L−1, m = 40 mg, T = 303–323 K | 657.89 (303 K) | [16] |
| ACHC | Bamboo | C0 = 400–1200 mg·L−1, m = 40 mg, T = 303–323 K | 1238.66 (303 K) | [17] |
| MHC | Olive wood | C0 = 2–500 mg·L−1, m = 20 mg, T = 298 K | 257.143 (298 K) | [39] |
| H-G9 | Glucose | C0 = 10–45 mg·L−1, m = 15 mg, T = 298–328 K | 332.46 (298 K) | [40] |
| FHC | Pomegranate peel | C0 = 5–100 mg·L−1, m = 100 mg, T = 298 K | 556.33 (298 K) | [41] |
| PMHC-KOH | Persimmon peel, montmorillonite | C0 = 50–500 mg·L−1, m = 30 mg, room temperature | 278.41 (room temperature) | [42] |
| ACHC | Sugarcane bagasse | C0 = 500–1200 mg·L−1, m = 40 mg, T = 303–323 K | 1017.29 (303 K) | this study |
| Temperature (K) | qe,exp (mg·g−1) | Langmuir Model | Freundlich Model | ||||
|---|---|---|---|---|---|---|---|
| qm (mg·g−1) | b | R2 | KL (L·mg−1) | 1/n | R2 | ||
| 303 | 1014.68 | 1017.29 | 0.4115 | 0.9999 | 649.76 | 0.0825 | 0.8803 |
| 313 | 1038.12 | 1048.22 | 0.3705 | 0.9997 | 653.01 | 0.0854 | 0.8258 |
| 323 | 1056.93 | 1060.45 | 0.3534 | 0.9995 | 659.58 | 0.0881 | 0.8929 |
| Concentration (mg·L−1) | KIPD (mg·g−1·min1/2) | c | R2 |
|---|---|---|---|
| 600 | 2.3614 | 720.69 | 0.7193 |
| 700 | 7.3537 | 787.64 | 0.6446 |
| 800 | 11.7640 | 820.65 | 0.7972 |
| Temperature (K) | ΔG (kJ·mol−1) | ΔH (kJ·mol−1) | ΔS (J·mol−1·K−1) | R2 |
|---|---|---|---|---|
| 303 | −4.05 | 5.81 | 32.53 | 0.9974 |
| 313 | −4.39 | |||
| 323 | −4.70 |
Disclaimer/Publisher’s Note: The statements, opinions and data contained in all publications are solely those of the individual author(s) and contributor(s) and not of MDPI and/or the editor(s). MDPI and/or the editor(s) disclaim responsibility for any injury to people or property resulting from any ideas, methods, instructions or products referred to in the content. |
© 2025 by the authors. Licensee MDPI, Basel, Switzerland. This article is an open access article distributed under the terms and conditions of the Creative Commons Attribution (CC BY) license (https://creativecommons.org/licenses/by/4.0/).
Share and Cite
Liu, X.; Zhou, F.; Shi, C.; Ramirez, J.; Liu, Z.; Hang, F.; Xie, C. Efficient Adsorption of Methylene Blue by Polyaminocarboxylated Modified Hydrochar Derived from Sugarcane Bagasse. Molecules 2025, 30, 1536. https://doi.org/10.3390/molecules30071536
Liu X, Zhou F, Shi C, Ramirez J, Liu Z, Hang F, Xie C. Efficient Adsorption of Methylene Blue by Polyaminocarboxylated Modified Hydrochar Derived from Sugarcane Bagasse. Molecules. 2025; 30(7):1536. https://doi.org/10.3390/molecules30071536
Chicago/Turabian StyleLiu, Xi, Feng Zhou, Changrong Shi, Jerome Ramirez, Zhihua Liu, Fangxue Hang, and Caifeng Xie. 2025. "Efficient Adsorption of Methylene Blue by Polyaminocarboxylated Modified Hydrochar Derived from Sugarcane Bagasse" Molecules 30, no. 7: 1536. https://doi.org/10.3390/molecules30071536
APA StyleLiu, X., Zhou, F., Shi, C., Ramirez, J., Liu, Z., Hang, F., & Xie, C. (2025). Efficient Adsorption of Methylene Blue by Polyaminocarboxylated Modified Hydrochar Derived from Sugarcane Bagasse. Molecules, 30(7), 1536. https://doi.org/10.3390/molecules30071536

