You are currently viewing a new version of our website. To view the old version click .
Molecules
  • Article
  • Open Access

26 March 2025

Computational Discovery of Novel Chalcogenide Perovskites YbMX3 (M = Zr, Hf; X = S, Se) for Optoelectronics

,
,
,
and
1
College of Materials Science and Engineering, Fujian Normal University, Fuzhou 350007, China
2
College of Materials and Chemical Engineering, Minjiang University, Fuzhou 350108, China
3
Zhongpu Technology (Fuzhou) Co., Ltd., Fuzhou 350108, China
*
Authors to whom correspondence should be addressed.
This article belongs to the Section Computational and Theoretical Chemistry

Abstract

Chalcogenide perovskites have shown great potential for photovoltaic applications. Most researchers have begun to pay close attention to the crystal synthesis, phase stability, and optoelectronic properties of chalcogenide perovskites AMX3 (A = Ca, Sr, Ba; M = Ti, Zr, Hf, Sn; X = S, Se). At present, the A-site metal cations are mainly limited to alkaline earth metal cations in the literature. The replacement of the alkaline earth metal cations by Yb2+ is proposed as an alternative for chalcogenide perovskites. In this study, the phase stability, and mechanical, electronic, optical, and photovoltaic properties of novel chalcogenides YbMX3 (M = Zr, Hf; X = S, Se) are theoretically evaluated in detail for the first time. It is mentioned that YbZrS3 and YbHfS3 are marginally thermodynamically stable while YbZrSe3 and YbHfSe3 exhibit superior phase stability against decomposition. Good mechanical and dynamical stability of these chalcogenide perovskites are verified, and they are all ductile materials. The accurate electronic structure calculations suggest that the predicted direct bandgap of YbMSe3 (M = Zr, Hf) is within 1.3–1.7 eV. Additionally, the small effective mass and low exciton binding energy of YbMSe3 (M = Zr, Hf) are favorable for their photovoltaic applications. However, YbZrS3 and YbHfS3 show larger direct band gaps with a change from 1.92 to 2.27 eV. The optical and photovoltaic properties of these compounds are thoroughly studied. In accordance with their band gaps, YbZrSe3 and YbHfSe3 are discovered to exhibit high visible-light absorption coefficients. The maximum conversion efficiency analysis shows that YbMSe3 (M = Zr, Hf) can achieve an excellent efficiency, especially for YbZrSe3, whose efficiency can reach ~32% in a film thickness of 1 μm. Overall, our study uncovers that YbZrSe3 is an ideal stable photovoltaic material with a high efficiency comparable to those of lead-based halide perovskites.

1. Introduction

Organic-inorganic lead-based halide perovskites have attracted unprecedented attention over the past decade [1,2,3,4]. Since the initial study reported by Kojima et al. in 2009 [5], the power conversion efficiency (PCE) of this kind of material has shown a remarkable increase [6,7,8]. In 2023, the certified PCE of α-formamidinium lead iodide (FAPbI3 with FA = (NH2)2CH) has reached up to 25.73% for single-junction solar cells [9]. However, the large-scale commercial application of these materials is severely limited by two key factors: their inherent instability and the toxic lead element. The excellent optoelectronic properties and high stability of inorganic halide perovskites have been explored in recent years by employing theoretical and experimental methods [10,11,12,13,14,15,16]. The maximum conversion efficiency of CsPbI3-based solar cells was ~19% in 2019 [17], which is much lower than that of FAPbI3.
Extensive efforts have been made to identify alternative candidates with excellent properties and high efficiency. Recently, the synthesis, optoelectronic properties, and photovoltaic performance of a series of chalcogenide perovskites have been studied theoretically and experimentally [18,19,20,21,22,23,24,25,26,27,28,29,30,31,32,33,34,35]. The chalcogenide perovskites with the general formula AMX3 (A = Ca, Sr, Ba; M = Ti, Zr, Hf, Ce; X = S, Se, Te) can provide an ideal platform for material design because the property engineering is allowed by the substitution of the A-, M-, or X-site. For example, the distorted perovskites including CaTiS3, CaZrSe3, CaHfSe3, and BaZrS3 are identified as promising solar cell candidates owing to their suitable direct band gaps [33]. Perera et al. reported that BaZrS3 has an experimental optical band gap of 1.73 eV and excellent stability [34]. Based on predictions from theoretical calculations, the band gap of BaZrS3 can be tuned to an ideal value of 1.47 eV by the substitution of Zr with ~10% Ti, but it is difficult to synthesize this alloy as it is easily decomposed to the corresponding ternary secondary phases [32]. The optical properties and electronic transport of BaZrS3 are also examined on the basis of first-principle calculations [24]. The modifications of the optoelectronic properties of AZrS3 (A = Mg, Ca, Sr, Ba) have been studied by applying different hydrostatic pressures [21]. The improvements of the band gap and light absorption of AZrS3 (A = Ca, Sr, Ba) can be achieved by the substitution of S with Se [35]. CaZrSe3 is predicted to be a promising thermoelectric material in addition to its potential for photovoltaic performance [23]. Furthermore, lead-free inorganic ACeTe3 (A = Ca, Sr, Ba) is proposed as an excellent photovoltaic material because it has a suitable direct band gap, strong absorption coefficient, and high PCE [31]. Ju et al. further predicted that SrSnS3 and SrSnSe3 are desired candidates for photovoltaic devices with optimal direct band gaps (1.0–1.6 eV) and good absorption properties (~105 cm−1) [36]. Recently, several groups have developed a solution-based synthesis route to obtain a high-quality thin film of BaZrS3 at lower temperature (~300−600 °C) [26,29], which is a crucial step forward for optoelectronic applications of chalcogenide perovskites. Through the comprehensive analysis of these results, chalcogenide perovskites have great potential for photovoltaics.
According to the investigation of theoretical and experimental reports, we find that the A-site metal cations are mainly limited to alkaline earth metal cations (such as Ca2+, Sr2+, and Ba2+). It is interesting that the structural, electronic, optical, and thermoelectric properties of perovskite-type AYbX3 (A = Rb Cs; X = F, Cl, Br, I) have been widely investigated in the literature in recent years [37,38,39,40,41,42,43]. Additionally, the crystal structure and electrical transport properties of AZn2Sb2 (A = Ca, Yb) have been studied experimentally in 2012 [44]. Recently, an investigation on the optoelectronic characteristics and elastic properties of YbZn2X2 (X = N, P, As, Sb) was conducted by our group [45]. This gives us an idea that the replacement of the alkaline earth metal cations by Yb2+ is possible as another choice for chalcogenide perovskites. To our knowledge, no experimental and theoretical studies have reported the properties of Yb-containing chalcogenide perovskites. Therefore, this also prompts us to explore the phase stability and optoelectronic properties of this new class of Yb-containing chalcogenides.
In this study, we have theoretically investigated the stability, mechanical behavior, optoelectronic properties, electron transport, and photovoltaic performance of YbMX3 (M = Zr, Hf; X = S, Se) via first-principle calculations. Through our detailed and comprehensive analysis, it is revealed that all compounds are mechanically and dynamically stable, and they are ductile materials. The results further disclose that these excellent properties—including the suitable band gap, high electron transport, and strong visible-light absorption coefficient—are revealed for YbZrSe3 and YbHfSe3. The analysis of the simulated maximum conversion efficiency reveals that YbMSe3 (M = Zr, Hf) is an excellent candidate for single-junction solar cells. More importantly, YbZrSe3 exhibits the highest efficiency of ~32%. Our study can provide theoretical guidance for further experimental exploration of the optoelectronic properties and photovoltaic performance of Yb-based chalcogenide perovskites.

2. Computational Details

All calculations were carried out based on the density functional theory (DFT) as implemented in the Vienna ab initio simulation package (VASP 5.4.4) [46]. The projector augmented wave (PAW) [47] method was used to describe the ion–electron interactions. The Perdew–Burke–Ernzerhof (PBE) functional of the generalized gradient approximation (GGA) was applied to treat the exchange–correlation potential [48]. The convergence criteria of the force on each atom and energy were lower than 10−2 eV/Å and 10−6 eV, respectively. A-centered 7 × 6 × 7 k-point grid and 600 eV cutoff energy were employed for calculating the material properties. The phonon spectra were simulated at 0 K by using the finite displacement method based on the PHONOPY package 2.17 [49]. The electronic structures and optical properties were precisely obtained by the Heyd–Scuseria–Ernzerhof (HSE06) hybrid functional [50]. The photovoltaic performance was quantified by employing the spectroscopic limited maximum efficiency (SLME) method [51], and the detailed computations were described in the recent literature [30,31]. The crystal structure was visualized by VESTA 3.5 [52], and all the data were further gained by using VASPKIT 1.5 [53].

3. Results and Discussion

3.1. Structural Characteristics

The three-dimensional orthorhombic perovskite structure with the Pnma space group is constructed herein for YbMX3 (M = Zr, Hf; X = S, Se) by substituting Ca atoms with Yb atoms in the case of Ca(Zr/Hf)(S/Se)3 because of the similar ionic radii of Yb2+ and Ca2+ [54]. The orthorhombic crystal structure of YbMX3 (M = Zr, Hf; X = S, Se) is demonstrated in Figure 1, where the Yb cation is twelve coordination and the Zr or Hf cation is surrounded by six anions [33]. The obtained lattice parameters of four compounds are illustrated in Table 1. The lattice parameters of YbZrS3 and YbZrSe3 are very close to those of Ca-based analogues [35]. The lattice constant and volume are significantly increased from YbMS3 to YbMSe3 due to an increase in the ionic radius from S2− (1.84 Å) to Se2− (1.98 Å). Additionally, it is worth noting that the lattice parameters of YbHfX3 are slightly smaller than that of YbZrX3 owing to the reduction of the ionic radius from Hf4+ (0.71 Å) to Zr4+ (0.72 Å).
Figure 1. Orthorhombic crystal structure of YbMX3 (M = Zr, Hf; X = S, Se).
Table 1. The optimized lattice parameters for YbMX3 (M = Zr, Hf; X = S, Se).

3.2. Stability Evaluation

It is well known that only when the new material shows good structural stability in theory can it be proven that it has the conditions to be synthesized experimentally. Therefore, the stability of four novel chalcogenide perovskites YbZrS3, YbZrSe3, YbHfS3, and YbHfSe3 were evaluated by its thermodynamic stability, dynamic stability, and mechanical stability. To study the thermodynamic stability of four novel materials, the formation energy (ΔH) calculations are conducted by the following decomposition path:
Δ H 1 = E ( YbMX 3 ) E ( YbX ) E ( MX 2 )
where E(YbX) and E(MX2) are the total energies of bulk YbX and MX2 (M = Zr, Hf; X = S, Se) as the same calculations are performed. The lowest energy experimental crystal structure (such as YbS, YbSe, ZrS2, ZrSe2, HfS2, and HfSe2) was adopted from the Materials Project database [55]. In Figure 2, the results illustrate that both YbZrS3 and YbHfS3 are marginally stable while YbZrSe3 and YbHfSe3 are highly stable. It is noted that YbZrS3 and YbHfS3 are still synthesized under the appropriate experimental conditions, which is similar to the case of CaZrS3 [35]. In the case of YbMX3 (M = Zr, Hf), the stability is significantly enhanced by the substitution of S with Se. The phonon spectra of four unreported materials under ambient pressure are depicted in Figure 3. It is clear that there is no imaginary frequency in the whole Brillouin zone, implying that they are dynamically stable.
Figure 2. The calculated formation energy of YbMX3 (M = Zr, Hf; X = S, Se).
Figure 3. The phonon dispersion spectra of (a) YbZrS3, (b) YbZrSe3, (c) YbHfS3, and (d) YbHfSe3.
The crystal structure is considered to be mechanically stable when their elastic constants meet with the Born stability criteria. There are nine independent elastic constants, which is consistent with the characteristics of an orthorhombic crystal structure, so the following Born stability conditions need to be satisfied [56]:
C 11 > 0 , C 11 C 22 > C 12 2 , C 44 > 0 , C 55 > 0 , C 66 > 0 C 11 C 22 C 33 + 2 C 12 C 13 C 23 C 11 C 23 2 C 22 C 13 2 C 33 C 12 2 > 0
Table 2 displays the elastic constants of four new compounds. The mechanical stability criteria are all satisfied, indicating that YbZrS3, YbZrSe3, YbHfS3, and YbHfSe3 are mechanically stable at ambient pressure. The important elastic moduli (bulk modulus B, shear modulus G, and Young’s modulus Y) are further obtained by the Voigt–Reuss–Hill (VRH) approximation [57]. These elastic moduli are also listed in Table 2. The elastic moduli B, G, and Y represent the compressibility, the shear deformation, and the stiffness of solid materials, respectively. The three elastic moduli of YbHfS3 are all the largest, indicating that this compound has the strongest capacity to oppose compression and shear deformation, and it is the stiffest material. On the contrary, YbZrSe3 has the three smallest elastic moduli, and it shows better flexibility. The ductility and brittleness of these chalcogenide perovskites were further explored by calculating their Pugh’s ratio (B/G) and Poisson’s ratio (v) [58]. The critical values are 1.75 for Pugh’s ratio and 0.26 for Poisson’s ratio, respectively. The obtained values of Pugh’s ratio and Poisson’s ratio of YbZrS3, YbZrSe3, and YbHfS3 are higher than the above critical values, implying that they are ductile materials. On the contrary, YbHfSe3 is a brittle material.
Table 2. The various elastic properties of YbMX3 (M = Zr, Hf; X = S, Se).

3.3. Electronic Properties

According to the Shockley–Queisser (SQ) limit theory [59], the electronic band gap of a material is a crucial parameter for its photovoltaic application. The theoretical maximum efficiency of a material with 1.34 eV is ~33% for a single-junction solar cell [59]. To further study the electronic properties of YbMX3 (M = Zr, Hf; X = S, Se), their electronic band structures were calculated along with high symmetry points in the Brillouin zone by using the PBE and HSE06 functionals. It is observed from Figure 4 that the similar energy gap variation curves are illustrated for two different methods. It was verified from our recent theoretical report [35] that the optical energy gaps calculated by the PBE functional of Zr-based chalcogenide perovskites are significantly lower than the experimental data. Additionally, the spin–orbit coupling (SOC) effect is further explored herein. After considering the SOC effect, the band gap reduction values are 20 meV for YbZrS3, 120 meV for YbZrSe3, 80 meV for YbHfS3, and 180 meV for YbHfSe3. The results indicate that the SOC effect is relatively small (<200 meV) for YbMX3 (M = Zr, Hf; X = S, Se). It is mentioned that the band gap energy of AZrS3 (A = Ca, Sr, Ba) can be reproduced well by employing the HSE06 hybrid functional in comparison with the experimental observation data [21,35]. Moreover, owing to the small SOC effect and the considerably time-consuming HSE06-SOC calculation, the SOC effect is not included in this study. It is clearly seen from Figure 5 that four compounds display direct-gap characteristics at the high symmetry point Γ. The direct-gap values are 1.92 eV for YbZrS3, 1.37 eV for YbZrSe3, 2.27 eV for YbHfS3, and 1.69 eV for YbHfSe3. The band gap reduction can reach 0.55 eV and 0.58 eV for the cases of YbZrX3 and YbHfX3, respectively, via the substitution of S with Se. Our simulation results indicate that YbZrSe3 is predicted to be an excellent candidate for high-efficiency single-junction solar cells. Furthermore, the band gap feature of YbZrX3 is analogous to the case of AZrX3 (A = Ca, Sr, Ba) [35].
Figure 4. The band gap variation of YbMX3 (M = Zr, Hf; X = S, Se) with different methods.
Figure 5. Band structures and partial density of states of (a) YbZrS3, (b) YbZrSe3, (c) YbHfS3, and (d) YbHfSe3. The green dashed line corresponds to the Fermi energy level.
The partial density of states (PDOS) of four compounds are demonstrated in Figure 5. The detailed PDOS analysis can provide crucial information on the orbital contributions of various atoms. It can be seen that the valence band (VB) edge of YbMX3 is mostly composed of the 3p/4p orbitals of the S/Se atoms, while the conduction band (CB) edge is mainly composed of the 4d/5d orbitals of the Zr/Hf atoms. The Yb–6s, Zr–5s, and Hf-6s orbitals have little contribution to the VB and CB edges. Therefore, the electronic structure of YbMX3 is mainly determined by the chemical bonds M–X originating from the hybridization between the Zr–4d/Hf–5d and S–3p/Se–4p orbitals.

3.4. Carrier Transport Ability

The effective masses of electrons and holes are significant for the photovoltaic performance of a material. We have calculated the carrier effective masses of four compounds along with the Γ→Z direction based on their band structures by using the formula m * = 2 [ 2 E ( k ) k 2 ] 1 [60], where ħ is the reduced Plank constant, E(k) is the eigenvalue of the energy band, and k is the wave vector along different directions. In addition, the exciton binding energy is another important factor for the electron transport, and this value is computed by the Mott–Wannier model given by the equation E b = 13.56 μ ε 0 2 ( μ = m e * × m h * m e * + m h * ) [61], where μ and ε0 are the reduced effective mass and static dielectric constant, respectively. The calculated values are listed in Table 3. It has been found that all compounds have relatively large electron and hole effective masses with 0.52–0.58 m0 and 0.55–0.70 m0 in comparison with those of Pb-based halide perovskites [62,63]. The exciton binding energy is dramatically decreased from YbMS3 to YbMSe3. The above analysis shows that YbZrSe3 has the lowest effective masses and exciton binding energy, which is valuable for the carrier transport. Therefore, YbZrSe3 is more suitable as an ideal light-absorbing material.
Table 3. Computed effective masses of electron and hole, reduced effective mass, static dielectric constant, and exciton binding energy of YbMX3 (M = Zr, Hf; X = S, Se).

3.5. Optical and Photovoltaic Performance

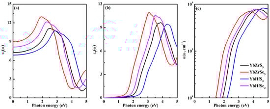
The excellent optical properties of materials are significant for achieving a high efficiency of photovoltaic application. The optical characteristics of four novel compounds are further studied to reveal their potential for single-junction solar cells. We have calculated the real (ε1) and imaginary (ε2) parts of the frequency-dependent dielectric function ε(ω), as shown in Figure 6a,b. The static dielectric constant ε1(0) varies notably with chemical composition, which is inversely proportional to the band gap of the material. The high dielectric constant is beneficial for the carrier transport, such as YbZrSe3 and YbHfSe3. It can be deduced from Figure 6b that the optical absorption curves of four compounds are different from each other. YbMX3 has an absorption edge that is very close to its direct band gap, suggesting that there is an efficient direct optical transition from the VB to CB. Figure 6c shows that the absorption coefficient increases dramatically as the photon energy approaches the fundamental direct gap. From YbMS3 to YbMSe3, the significant improvement of light absorption capacity is realized. The remarkable light absorption attenuation feature is observed from YbZrX3 to YbHfX3. These optical features are close to their electronic band structures. Markedly, YbZrSe3 and YbHfSe3 exhibit high visible-light absorption coefficients, implying their great potential applications for optoelectronic devices.
Figure 6. The calculated optical properties of YbMX3 (M = Zr, Hf; X = S, Se): (a) ε1(ω), (b) ε2(ω), and (c) α(ω).
The optimal direct-gap and high visible-light optical absorption of YbZrSe3 indicate its high efficiency. As an improvement of the SQ model, the advanced SLME method was developed by Yu and Zunger [51] to evaluate the photovoltaic performance in theory. In the SQ model, the promising candidate is only chosen on the basis of its band gap. However, the SLME method overcomes the SQ model’s shortcoming by taking into consideration the band gap with its nature, the optical absorption, the recombination mechanism, and the film thickness. The SLME method has been successfully used to predict the conversion efficiencies of different types of chalcogenide perovskites in recent years [30,31]. The curves of the short-circuit current density JSC, the open-circuit voltage VOC, the fill factor FF, and the efficiency of four compounds as a function of film thickness are plotted Figure 7. The photovoltaic parameters remain almost unchanged and reach their maximum values when the absorption layer thickness exceeds 1 μm. Table 4 summarizes the photovoltaic parameters of four compounds with the film thickness of 1 μm. It can be seen that the efficiency of a material is closely related to its band gap and absorption coefficient. The maximum conversion efficiency of YbHfS3 is less than 17% due to its smallest JSC value (9.26 mA/cm2). Three compounds YbZrS3, YbZrSe3, and YbHfSe3 have maximum efficiencies beyond 23%. It is mentioned that the efficiency can reach up to ~28% for YbHfSe3. More importantly, YbZrSe3 shows the highest efficiency of 31.90% with JSC = 33.06 mA/cm2, VOC = 1.09 V, and FF = 88.9%. Additionally, the maximum efficiency of YbZrSe3 is comparable to those (~31%) of halide perovskite CH3NH3PbI3 [64] and the inorganic materials GaAs and CdTe [65]. All these results suggest that YbZrSe3 is an excellent promising candidate for photovoltaic materials in single-junction solar cells.
Figure 7. The various photovoltaic parameters of YbMX3 (M = Zr, Hf; X = S, Se) as a function of the absorber layer thickness: (a) JSC, (b) VOC, (c) FF, and (d) efficiency.
Table 4. The simulated photovoltaic parameters of YbMX3 (M = Zr, Hf; X = S, Se).

4. Conclusions

In summary, we have conducted a detailed, comprehensive investigation of the stability, mechanical, electronic, optical, and photovoltaic properties of lead-free novel chalcogenide perovskites YbMX3 (M = Zr, Hf; X = S, Se) by using first-principle calculations. It is observed that YbZrSe3 and YbHfSe3 exhibit superior phase stability against decomposition while YbZrS3 and YbHfS3 are marginally thermodynamically stable. Moreover, the dynamical and mechanical stability of Yb-based chalcogenide perovskites are further verified, and they are all ductile materials. The effects of quaternary metal cations and anions on the electronic and optical properties of chalcogenide perovskites are elucidated in detail. The substitution of S with Se is discovered to have the ability to reduce the band gap by about 0.6 eV. The band gap is increased from YbZrX3 to YbHfX3 because the 4d orbitals of Zr are lower than the 5d orbitals of Hf. The HSE06-based electronic structure calculations show that YbZrSe3 and YbHfSe3 possess direct band gaps with variation from 1.37 to 1.69 eV, indicating that they show great potential for photovoltaic devices. The excellent electron transport ability is elucidated for YbZrSe3 and YbHfSe3. The optical and photovoltaic properties of these compounds are further revealed. The results show that YbMSe3 (M = Zr, Hf) exhibits high conversion efficiency beyond 27%, especially for YbZrSe3, whose efficiency can reach ~32%. Our theoretical discovery can inspire further experimental research exploring the photovoltaic performance of novel Yb-based chalcogenide perovskites.

Author Contributions

Methodology, H.W.; Software, W.L. and R.S.; Validation, H.W. and R.S.; Formal analysis, W.L.; Investigation, Q.L., W.L. and J.Z.; Resources, J.Z.; Data curation, Q.L. and H.W.; Writing—original draft, Q.L.; Writing—review & editing, R.S.; Visualization, Q.L.; Project administration, R.S. All authors have read and agreed to the published version of the manuscript.

Funding

This work was supported by the Research Project of Fuzhou Science and Technology Innovation and Entrepreneurship (2023-R-001), the Research Project of Fashu Foundation (No. MFK23010), and Minjiang University (MJY21024). All authors have read and agreed to the published version of the manuscript.

Institutional Review Board Statement

Not applicable.

Data Availability Statement

The original contributions presented in this study are included in the article. Further inquiries can be directed to the corresponding authors.

Conflicts of Interest

Author Jiming Zhang was employed by the company Zhongpu Technology (Fuzhou) Co., Ltd. The remaining authors declare that the research was conducted in the absence of any commercial or financial relationships that could be construed as a potential conflict of interest.

References

  1. Green, M.A.; Ho-Baillie, A.; Snaith, H.J. The emergence of perovskite solar cells. Nat. Photonics 2014, 8, 506–514. [Google Scholar] [CrossRef]
  2. Jeon, N.J.; Noh, J.H.; Yang, W.S.; Kim, Y.C.; Ryu, S.; Seo, J.; Seok, S.I. Compositional engineering of perovskite materials for high-performance solar cells. Nature 2015, 517, 476–480. [Google Scholar] [CrossRef]
  3. McMeekin, D.P.; Sadoughi, G.; Rehman, W.; Eperon, G.E.; Saliba, M.; Hörantner, M.T.; Haghighirad, A.; Sakai, N.; Korte, L.; Rech, B.; et al. A mixed-cation lead mixed-halide perovskite absorber for tandem solar cells. Science 2016, 351, 151–155. [Google Scholar] [CrossRef] [PubMed]
  4. Yablonovitch, E. Lead halides join the top optoelectronic league. Science 2016, 351, 1401. [Google Scholar] [CrossRef] [PubMed]
  5. Kojima, A.; Teshima, K.; Shirai, Y.; Miyasaka, T. Organometal Halide Perovskites as Visible-Light Sensitizers for Photovoltaic Cells. J. Am. Chem. Soc. 2009, 131, 6050–6051. [Google Scholar] [CrossRef] [PubMed]
  6. Burschka, J.; Pellet, N.; Moon, S.-J.; Humphry-Baker, R.; Gao, P.; Nazeeruddin, M.K.; Grätzel, M. Sequential deposition as a route to high-performance perovskite-sensitized solar cells. Nature 2013, 499, 316–319. [Google Scholar] [CrossRef]
  7. Liu, M.; Johnston, M.B.; Snaith, H.J. Efficient planar heterojunction perovskite solar cells by vapour deposition. Nature 2013, 501, 395–398. [Google Scholar] [CrossRef]
  8. Zhou, H.; Chen, Q.; Li, G.; Luo, S.; Song, T.-b.; Duan, H.-S.; Hong, Z.; You, J.; Liu, Y.; Yang, Y. Interface engineering of highly efficient perovskite solar cells. Science 2014, 345, 542–546. [Google Scholar] [CrossRef]
  9. Park, J.; Kim, J.; Yun, H.-S.; Paik, M.J.; Noh, E.; Mun, H.J.; Kim, M.G.; Shin, T.J.; Seok, S.I. Controlled growth of perovskite layers with volatile alkylammonium chlorides. Nature 2023, 616, 724–730. [Google Scholar] [CrossRef]
  10. Sa, R.; Luo, B.; Ma, Z.; Liang, L.; Liu, D. Revealing the influence of B-site doping on the physical properties of CsPbI3: A DFT investigation. J. Solid State Chem. 2022, 309, 122956. [Google Scholar] [CrossRef]
  11. Sa, R.; Ma, Z.; Wang, J.; Liu, D. The effect of organic cation doping on the stability and optoelectronic properties of α-CsPbI3. J. Solid State Chem. 2020, 290, 121577. [Google Scholar] [CrossRef]
  12. Lin, Z.; Lei, J.; Wang, P.; Zhang, X.; Xu, L.; Chen, M.; Kang, Y.; Wei, G. Density functional study of structural, electronic and optical properties of bromine-doped CsPbI3 with the tetragonal symmetry. J. Alloys Compd. 2022, 892, 162165. [Google Scholar] [CrossRef]
  13. Xian, Y.; Zhang, Y.; Rahman, N.U.; Yin, H.; Long, Y.; Liu, P.; Li, W.; Fan, J. An Emerging All-Inorganic CsSnxPb1–xBr3 (0 ≤ x ≤ 1) Perovskite Single Crystal: Insight on Structural Phase Transition and Electronic Properties. J. Phys. Chem. C 2020, 124, 13434–13446. [Google Scholar] [CrossRef]
  14. Jena, A.K.; Kulkarni, A.; Sanehira, Y.; Ikegami, M.; Miyasaka, T. Stabilization of α-CsPbI3 in Ambient Room Temperature Conditions by Incorporating Eu into CsPbI3. Chem. Mater. 2018, 30, 6668–6674. [Google Scholar] [CrossRef]
  15. Straus, D.B.; Guo, S.; Cava, R.J. Kinetically Stable Single Crystals of Perovskite-Phase CsPbI3. J. Am. Chem. Soc. 2019, 141, 11435–11439. [Google Scholar] [CrossRef]
  16. Zhao, B.; Jin, S.-F.; Huang, S.; Liu, N.; Ma, J.-Y.; Xue, D.-J.; Han, Q.; Ding, J.; Ge, Q.-Q.; Feng, Y.; et al. Thermodynamically Stable Orthorhombic γ-CsPbI3 Thin Films for High-Performance Photovoltaics. J. Am. Chem. Soc. 2018, 140, 11716–11725. [Google Scholar] [CrossRef] [PubMed]
  17. Wang, Y.; Liu, X.; Zhang, T.; Wang, X.; Kan, M.; Shi, J.; Zhao, Y. The Role of Dimethylammonium Iodide in CsPbI3 Perovskite Fabrication: Additive or Dopant? Angew. Chem. Int. Ed. 2019, 58, 16691–16696. [Google Scholar] [CrossRef] [PubMed]
  18. Comparotto, C.; Ström, P.; Donzel-Gargand, O.; Kubart, T.; Scragg, J.J.S. Synthesis of BaZrS3 Perovskite Thin Films at a Moderate Temperature on Conductive Substrates. ACS Appl. Energy Mater. 2022, 5, 6335–6343. [Google Scholar] [CrossRef]
  19. Jaykhedkar, N.; Bystrický, R.; Sýkora, M.; Bučko, T. Understanding the structure-band gap relationship in SrZrS3 at elevated temperatures: A detailed NPT MD study. J. Mater. Chem. C 2022, 10, 12032–12042. [Google Scholar] [CrossRef]
  20. Jess, A.; Yang, R.; Hages, C.J. On the Phase Stability of Chalcogenide Perovskites. Chem. Mater. 2022, 34, 6894–6901. [Google Scholar] [CrossRef]
  21. Majumdar, A.; Adeleke, A.A.; Chakraborty, S.; Ahuja, R. Emerging piezochromism in lead free alkaline earth chalcogenide perovskite AZrS3 (A = Mg, Ca, Sr and Ba) under pressure. J. Mater. Chem. C 2020, 8, 16392–16403. [Google Scholar] [CrossRef]
  22. Moroz, N.A.; Bauer, C.; Williams, L.; Olvera, A.; Casamento, J.; Page, A.A.; Bailey, T.P.; Weiland, A.; Stoyko, S.S.; Kioupakis, E.; et al. Insights on the Synthesis, Crystal and Electronic Structures, and Optical and Thermoelectric Properties of Sr1–xSbxHfSe3 Orthorhombic Perovskite. Inorg. Chem. 2018, 57, 7402–7411. [Google Scholar] [CrossRef] [PubMed]
  23. Osei-Agyemang, E.; Adu, C.E.; Balasubramanian, G. Ultralow lattice thermal conductivity of chalcogenide perovskite CaZrSe3 contributes to high thermoelectric figure of merit. npj Comput. Mater. 2019, 5, 116. [Google Scholar] [CrossRef]
  24. Osei-Agyemang, E.; Koratkar, N.; Balasubramanian, G. Examining the electron transport in chalcogenide perovskite BaZrS3. J. Mater. Chem. C 2021, 9, 3892–3900. [Google Scholar] [CrossRef]
  25. Song, X.; Shai, X.; Deng, S.; Wang, J.; Li, J.; Ma, X.; Li, X.; Wei, T.; Ren, W.; Gao, L.; et al. Anisotropic Chalcogenide Perovskite CaZrS3: A Promising Thermoelectric Material. J. Phys. Chem. C 2022, 126, 11751–11760. [Google Scholar] [CrossRef]
  26. Turnley, J.W.; Vincent, K.C.; Pradhan, A.A.; Panicker, I.; Swope, R.; Uible, M.C.; Bart, S.C.; Agrawal, R. Solution Deposition for Chalcogenide Perovskites: A Low-Temperature Route to BaMS3 Materials (M = Ti, Zr, Hf). J. Am. Chem. Soc. 2022, 144, 18234–18239. [Google Scholar] [CrossRef]
  27. Wei, X.; Hui, H.; Zhao, C.; Deng, C.; Han, M.; Yu, Z.; Sheng, A.; Roy, P.; Chen, A.; Lin, J.; et al. Realization of BaZrS3 chalcogenide perovskite thin films for optoelectronics. Nano Energy 2020, 68, 104317. [Google Scholar] [CrossRef]
  28. Wu, X.; Gao, W.; Chai, J.; Ming, C.; Chen, M.; Zeng, H.; Zhang, P.; Zhang, S.; Sun, Y.-Y. Defect tolerance in chalcogenide perovskite photovoltaic material BaZrS3. Sci. China Mater. 2021, 64, 2976–2986. [Google Scholar] [CrossRef]
  29. Yang, R.; Jess, A.D.; Fai, C.; Hages, C.J. Low-Temperature, Solution-Based Synthesis of Luminescent Chalcogenide Perovskite BaZrS3 Nanoparticles. J. Am. Chem. Soc. 2022, 144, 15928–15931. [Google Scholar] [CrossRef]
  30. Chami, R.; Lekdadri, A.; Omari, L.H.; Hlil, E.K.; Chafi, M. Investigation of the photovoltaic properties of BaHf1-xZrxS3 (x ≤ 1) chalcogenide perovskites using first principles calculations. Mater. Today Energy 2021, 20, 100689. [Google Scholar] [CrossRef]
  31. Du, J.; Shi, J.-J.; Guo, W.-H.; Liu, S.-M.; He, Y.; Tian, C.; Zhu, Y.-H.; Zhong, H.-X. Cerium-based lead-free chalcogenide perovskites for photovoltaics. Phys. Rev. B 2021, 104, 235206. [Google Scholar] [CrossRef]
  32. Meng, W.; Saparov, B.; Hong, F.; Wang, J.; Mitzi, D.B.; Yan, Y. Alloying and Defect Control within Chalcogenide Perovskites for Optimized Photovoltaic Application. Chem. Mater. 2016, 28, 821–829. [Google Scholar] [CrossRef]
  33. Sun, Y.-Y.; Agiorgousis, M.L.; Zhang, P.; Zhang, S. Chalcogenide Perovskites for Photovoltaics. Nano Lett. 2015, 15, 581–585. [Google Scholar] [CrossRef]
  34. Perera, S.; Hui, H.; Zhao, C.; Xue, H.; Sun, F.; Deng, C.; Gross, N.; Milleville, C.; Xu, X.; Watson, D.F.; et al. Chalcogenide perovskites—An emerging class of ionic semiconductors. Nano Energy 2016, 22, 129–135. [Google Scholar] [CrossRef]
  35. Liu, D.; Zeng, H.; Peng, H.; Sa, R. Computational study of the fundamental properties of Zr-based chalcogenide perovskites for optoelectronics. Phys. Chem. Chem. Phys. 2023, 25, 13755–13765. [Google Scholar] [CrossRef]
  36. Ju, M.-G.; Dai, J.; Ma, L.; Zeng, X.C. Perovskite Chalcogenides with Optimal Bandgap and Desired Optical Absorption for Photovoltaic Devices. Adv. Energy Mater. 2017, 7, 1700216. [Google Scholar] [CrossRef]
  37. Khandy, S.A.; Vaid, S.G.; Islam, I.; Hafiz, A.K.; Chai, J.-D. Understanding the stability concerns and electronic structure of CsYbX3 (X = Cl,Br) halidoperovskites for optoelectronic applications. J. Alloys Compd. 2021, 867, 158966. [Google Scholar] [CrossRef]
  38. Saeed, M.; Ali, M.A.; Murad, S.; Ullah, R.; Alshahrani, T.; Laref, A.; Murtaza, G. Pressure induced structural, electronic, optical and thermal properties of CsYbBr3, a theoretical investigation. J. Mater. Res. Technol. 2021, 10, 687–696. [Google Scholar] [CrossRef]
  39. Ali, M.A.; Ullah, R.; Murad, S.; Dar, S.A.; Khan, A.; Murtaza, G.; Laref, A. Insight into pressure tunable structural, electronic and optical properties of via DFT calculations. Eur. Phys. J. Plus 2020, 135, 309. [Google Scholar] [CrossRef]
  40. Shahzad, A.; Ahmadini, A.A.H.; Mahmood, Q.; Flemban, T.H.; Murtaza, G.; Kattan, N.A.; Iqbal, M.W.; Ghrib, T.; Laref, A. Study of Optoelectronic and Thermoelectric Characteristics of Cesium Based Halides CsYbX3 (X = Br, Cl) for Clean Energy Harvesting. ECS J. Solid State Sci. Technol. 2021, 10, 015002. [Google Scholar] [CrossRef]
  41. Mahmood, Q.; Hedhili, F.; Al-Shomar, S.; Chebaaneef, S.; Al-Muhimeed, T.I.; AlObaid, A.A.; Mera, A.; Alamri, O.A. Electronic, optical, and transport properties of RbYbX3 (X = Cl, Br) for solar cells and renewable energy: A quantum DFT study. Phys. Scr. 2021, 96, 095806. [Google Scholar] [CrossRef]
  42. Molla, M.R.; Saiduzzaman, M.; Asif, T.I.; Dujana, W.A.; Hossain, K.M. Electronic phase transition from semiconducting to metallic in cubic halide CsYbCl3 perovskite under hydrostatic pressure. Phys. B Condens. Matter 2022, 630, 413650. [Google Scholar] [CrossRef]
  43. Mahmood, Q.; Hani, U.-e.; Al-Muhimeed, T.I.; AlObaid, A.A.; Ul Haq, B.; Murtaza, G.; Flemban, T.H.; Althib, H. Study of optical and thermoelectric properties of ZYbI3 (Z = Rb, Cs) for solar cells and renewable energy; Modelling by density functional theory. J. Phys. Chem. Solids 2021, 155, 110117. [Google Scholar] [CrossRef]
  44. May, A.F.; McGuire, M.A.; Ma, J.; Delaire, O.; Huq, A.; Custelcean, R. Properties of single crystalline AZn2Sb2 (A  = Ca, Eu, Yb). J. Appl. Phys. 2012, 111, 033708. [Google Scholar] [CrossRef]
  45. Sa, R.; Zhang, Y.; Huang, Y.; Ye, Y.; Huang, X.; Zeng, H.; Liu, D. Theoretical exploration of the structure and physical properties of YbZn2X2 (X = N, P, As, Sb). J. Solid State Chem. 2023, 323, 124057. [Google Scholar] [CrossRef]
  46. Kresse, G.; Furthmüller, J. Efficiency of ab-initio total energy calculations for metals and semiconductors using a plane-wave basis set. Comput. Mater. Sci. 1996, 6, 15–50. [Google Scholar] [CrossRef]
  47. Blöchl, P.E. Projector augmented-wave method. Phys. Rev. B 1994, 50, 17953–17979. [Google Scholar] [CrossRef]
  48. Perdew, J.P.; Burke, K.; Ernzerhof, M. Generalized Gradient Approximation Made Simple. Phys. Rev. Lett. 1996, 77, 3865–3868. [Google Scholar] [CrossRef] [PubMed]
  49. Togo, A.; Tanaka, I. First principles phonon calculations in materials science. Scr. Mater. 2015, 108, 1–5. [Google Scholar] [CrossRef]
  50. Heyd, J.; Peralta, J.E.; Scuseria, G.E.; Martin, R.L. Energy band gaps and lattice parameters evaluated with the Heyd-Scuseria-Ernzerhof screened hybrid functional. J. Chem. Phys. 2005, 123, 174101. [Google Scholar] [CrossRef]
  51. Yu, L.; Zunger, A. Identification of Potential Photovoltaic Absorbers Based on First-Principles Spectroscopic Screening of Materials. Phys. Rev. Lett. 2012, 108, 068701. [Google Scholar] [CrossRef] [PubMed]
  52. Momma, K.; Izumi, F. VESTA 3 for three-dimensional visualization of crystal, volumetric and morphology data. J. Appl. Cryst. 2011, 44, 1272–1276. [Google Scholar] [CrossRef]
  53. Wang, V.; Xu, N.; Liu, J.-C.; Tang, G.; Geng, W.-T. VASPKIT: A user-friendly interface facilitating high-throughput computing and analysis using VASP code. Comput. Phys. Commun. 2021, 267, 108033. [Google Scholar] [CrossRef]
  54. Shannon, R.D. Revised effective ionic radii and systematic studies of interatomic distances in halides and chalcogenides. Acta Cryst. 1976, 32, 751–767. [Google Scholar] [CrossRef]
  55. Jain, A.; Ong, S.P.; Hautier, G.; Chen, W.; Richards, W.D.; Dacek, S.; Cholia, S.; Gunter, D.; Skinner, D.; Ceder, G.; et al. Commentary: The Materials Project: A materials genome approach to accelerating materials innovation. APL Mater. 2013, 1, 011002. [Google Scholar] [CrossRef]
  56. Mouhat, F.; Coudert, F.-X. Necessary and sufficient elastic stability conditions in various crystal systems. Phys. Rev. B 2014, 90, 224104. [Google Scholar] [CrossRef]
  57. Hill, R. The Elastic Behaviour of a Crystalline Aggregate. Proc. Phys. Soc. A 1952, 65, 349–354. [Google Scholar] [CrossRef]
  58. Pugh, S.F. XCII. Relations between the elastic moduli and the plastic properties of polycrystalline pure metals. Philos. Mag. A 1954, 45, 823–843. [Google Scholar] [CrossRef]
  59. Shockley, W.; Queisser, H.J. Detailed Balance Limit of Efficiency of p-n Junction Solar Cells. J. Appl. Phys. 1961, 32, 510–519. [Google Scholar] [CrossRef]
  60. Green, M.A. Intrinsic concentration, effective densities of states, and effective mass in silicon. J. Appl. Phys. 1990, 67, 2944–2954. [Google Scholar] [CrossRef]
  61. Wang, D.; Wen, B.; Zhu, Y.-N.; Tong, C.-J.; Tang, Z.-K.; Liu, L.-M. First-Principles Study of Novel Two-Dimensional (C4H9NH3)2PbX4 Perovskites for Solar Cell Absorbers. J. Phys. Chem. Lett. 2017, 8, 876–883. [Google Scholar] [CrossRef] [PubMed]
  62. Peng, H.; Sa, R.; Liu, D. The difference on the physical properties between CsPbX3 and Cs2PbX6: A comparative study. J. Solid State Chem. 2022, 310, 123055. [Google Scholar] [CrossRef]
  63. Du, M.H. Efficient carrier transport in halide perovskites: Theoretical perspectives. J. Mater. Chem. A 2014, 2, 9091–9098. [Google Scholar] [CrossRef]
  64. Sha, W.E.I.; Ren, X.; Chen, L.; Choy, W.C.H. The efficiency limit of CH3NH3PbI3 perovskite solar cells. Appl. Phys. Lett. 2015, 106, 221104. [Google Scholar] [CrossRef]
  65. Kato, Y.; Fujimoto, S.; Kozawa, M.; Fujiwara, H. Maximum Efficiencies and Performance-Limiting Factors of Inorganic and Hybrid Perovskite Solar Cells. Phys. Rev. Appl. 2019, 12, 024039. [Google Scholar] [CrossRef]
Disclaimer/Publisher’s Note: The statements, opinions and data contained in all publications are solely those of the individual author(s) and contributor(s) and not of MDPI and/or the editor(s). MDPI and/or the editor(s) disclaim responsibility for any injury to people or property resulting from any ideas, methods, instructions or products referred to in the content.

Article Metrics

Citations

Article Access Statistics

Multiple requests from the same IP address are counted as one view.