Abstract
Heavy and transition metal (HTM) ions have significant harmful effects on the physical environment and play crucial roles in biological systems; hence, it is crucial to accurately identify and quantify any trace pollution. Molecular sensors which are based on organic molecules employed as optical probes play a crucial role in sensing and detecting toxic metal ions in water, food, air, and biological environments. When appropriate combinations of conduction and selective recognition are combined, fluorescent and colorimetric chemosensors are appealing instruments that enable the selective, sensitive, affordable, portable, and real-time investigation of the possible presence of heavy and transition metal ions. This feature article aims to provide readers with a more thorough understanding of the different methods of synthesis and how they work. As noted in the literature, we will highlight colorimetric and fluorometric sensors based on their receptors into multiple categories for heavy metal ion detection, such as Hg2+, Ag2+, Cd2+, Pb2+, and In3+, and simultaneous multiple-ion detection.
1. Introduction
Heavy and transition metal (HTM) ions are critical to biological systems but pose significant threats to the physical environment as pollutants. Therefore, precise detection and quantification of trace-level contamination are essential for safe environmental and biological health [1,2]. The molecular recognition sensing of metal ions is one of the most vibrant and fascinating fields of research in analytical chemistry due to its major impact on industrial sector processes [3], environmental science [4], catalysis [5], medicine, biological and human sciences [6]. Molecular sensors, which are optical probes based on organic molecules, are essential for identifying and detecting detrimental metal ions in biological, food, water, and air environments [7]. A molecule must have a chromophore unit and appropriate active binding sites in order to function as a robust and efficient optical sensor [8]. The development in innovations of novel efficient chromofluorescent chemosensors for detecting toxic metal ions with high selectivity and sensitivity is currently an important field of research for many scientists [9]. The term “chemosensor” refers to “devices that bind selectively and reversibly to the active site of analyte with concomitant change in one or more properties of the system, such as fluorescence, color, or redox potential” [10,11]. As Figure 1 shows, a chemosensor typically consists of three parts: (1) a “receptor” or binding unit, (2) a “signaling unit” that alters its photophysical properties upon interacting with the analyte, and (3) a “spacer” that moifies the electronic interaction between the receptor and signaling unit.
Figure 1.
Diagrammatic illustration of an analyte’s chemosensor binding. Reproduced from ref. [12]. Analyte is added in the forward reaction, due to which the fluorescence is “on”. The analyte is detached from the analyte-receptor complex in the backward direction indicating that the fluorescence is “off”.
Chemosensor agents have been applied to detect, quantify, and visualize various species including positively charged cations, negatively charged anions, or neutral molecules in real-world or simulated sample analysis. These chemosensor agents have been well evaluated and effective in identifying and quantifying the presence of special molecules in diverse sample analyses. A molecule must have a chromophore unit and suitable active binding sites in order to be an efficient optical sensor [8]. The contemporary research in chemosensor design development is focused on implementing various methodologies to use the optimal binding moiety for detection and quantification of selective metal analytes. This includes the strategic development of chemosensors with customized binding sites to facilitate special recognition and binding of the metal ions of interest [13]. Research is being conducted on a collection of organic, inorganic, and hybrid materials to make over extremely sensitive and selective sensors [14]. Organic compounds with nitrogen, oxygen, and sulfur moieties are used as chemosensors to detect and quantify different heavy metal ions because of their multidentate existence, which allows them to coordinate with different metal ions and produce quantitative analytical signals. These compounds also provide coordination sites to act as ligands in case of coordination chemistry [15].
It is usually accepted that some heavy metal ions are essential to many biological processes, including growth and metabolism [16]. Hg2+, Ni2+, Cu2+, Cd2+, Zn2+, Ag+, Pd2+, Pb2+, Fe2+, Cr3+, Pt2+, and Co2+ are significant metal ions among the heavy metal ion series [17] because they are frequently employed in industrial paving stones to produce a range of items that are beneficial to human beings for performing specific processes [18]. Excessive exposure to heavy metals can have toxic effects on the environment and human health [19]. One of the most hazardous contaminants being studied is heavy metal ions, which are directly associated with a wide range of human illnesses [20]. As anions play a vital role in biological and environmental ecosystems, their detection is also crucial. A certain anion may be advantageous in some applications if present in a common, reasonable amount, but not in a significant quantity [21]. Meanwhile, the detection of neutral substances usually entails characteristic biomolecules like nucleotides and amino acids. Therefore, the evolution of advanced chemical methodologies for their identification is necessary for worldwide public health. Common examples of focused analytical techniques for the identification and measurement of heavy metal ions are atomic absorption and emission spectrometry [22], capillary electrophoresis [23], high-performance liquid chromatography (HPLC) [24], voltammetry, and inductively coupled plasma atomic emission spectrometry (ICP-AES) [23]. These analytical tools typically demand expensive and complex equipment [25], skilled and competent operators, and extremely intricate protocols [26]. This severely restricts the practical use of these detection approaches, especially in areas with limited resources [27]. Therefore, it is crucial to design highly sensitive, easy, widely applicable, and cost-effective chemical procedures for accurately detecting metal ions in several materials [28]. The easiest methods are colorimetric and fluorometric organic chemosensors due to their superior selectivity, high sensitivity, and innate simplicity [29,30,31]. They do not require expensive or extremely complex equipment for the quantitative and qualitative detection of metal ions and other contaminants. However, the aforementioned chemosensors have a few drawbacks, such as multiple-ion selectivity or the inability to detect at the trace level in aqueous conditions [32]. Many organic colorimetric and fluorescent chemosensors have been designed with distinct sensing mechanisms to precisely identify different metal ions [33].
A number of methods are being used to construct the required binding moiety in a chemosensor to identify the targeted and interested analyte [34]. Because of their excellent photophysical characteristics, extremely low detection limit, great selectivity, synthetic flexibility, reversibility, biocompatibility, and use across a broad pH range, organic heterocyclic compounds are useful in the development of chemosensors. The ability of these compounds to interact with different metal ions and generate identifiable analytical signals makes them extremely important. These compounds contain donor atoms such as N, O, and S atoms [35]. Scientists are working to develop chemosensors employing a variety of organic compounds due to their requirement for metal ion detection [36]. Colorimetric sensors possessing imine and azide groups have been readily synthesized and have a potent ability to attach to metal ions. When these molecules with aryl substitution are combined, a conjugated system with absorbance near or in the visible-light spectrum region can be developed [37,38]. The amide group, which also contains thioamide, is a typical binding group for metal ion chemosensors [39]. The thiourea group also has the perfect signaling unit and binding moiety [40]. The fluorescent chemosensing method is superior to the other techniques in a number of ways such as sensitivity, specificity, and real-time monitoring with quick reaction times. In recent years, researchers have become interested in fluorescent sensors because of their many advantages, which include nondestructive sample analysis, low equipment costs, great sensitivity, and exceptional selectivity [41]. Fluorescence chemosensors are especially useful for in situ imaging of physiologically significant ions and tiny compounds [42]. A great deal of effort has been taken in order to rationally develop a fluorescence chemosensor for ions and neutral analytes [43]. Numerous attempts have already been made to synthesize fluorescent sensors that detect metal ions using thiol deprotonation [44,45] cyclization [46], and ring-opening [47] in thiourea derivatives [48]. The development of fluorescent probes that can remove a particular metal ion selectively without harming other metal ions is therefore still of interest [49,50]. In reaction to subtle changes in the environment, fluorescent sensors usually monitor their signal as a change in emission wavelength, fluorescence lifetime, or emission strength [39,51]. However, since metal ions can be detected even in live systems, which have been shown to exhibit distinct emission properties upon metal binding, the creation of highly selective ratio metric and “turn-on” fluorescence probes is increasingly crucial [52,53]. A simple Schiff base can be used to selectively identify ions in a semi-aqueous medium by using thiocarbohydrazide as a fluorescent chemosensor [54,55]. The great sensitivity and selectivity of chemosensors with hydrazine–hydrazide moieties in detecting a range of cations and anions make them desirable options [56,57]. The functional group –CO–NHN=CH– is present in hydrazide–hydrazones, a new chemosensor subclass of Schiff base compounds [58]. Furthermore, Schiff bases’ have strong affinity for metal ions which are frequently used in recognition, making them essential to binding chemistry [59]. They are hence superior chemosensors. Schiff-base fluorescence chemosensors are gaining a lot of attention due to the low cost of raw materials, variety of designs, and simplicity of synthesis [60]. These substances have long piqued interest in the development of novel chemosensors due to their wide range of medicinal properties, which include antibacterial, antiviral, antifungal, anticancer, and anti-inflammatory properties [61,62]. Thio/carbohydrazide identifies and quantifies organic and inorganic substances [63]. It is produced by reacting carbon disulfide with hydrazine hydrate [64]. Carbohydrazide with pyrazole and naphthaldehyde moieties creates multifunctional sensing compounds for metal ions and anions [65,66,67]. Thio/carbohydrazide forms colored complexes with metal ions, aiding in identification [68,69]. It is used in contact-print processes to detect metal ions [70,71]. Introducing a thio/carbazide group to sensor molecules enhances binding with transition and heavy metals [72]. The chemosensor comprises a binding site with three active functional groups (–OH, –C=S–, and –C=N–) that collaborate for identification and detection of various metal ions [73]. In general, chelation-induced or coordination-induced charge transfer mechanisms are employed to detect particular metal ions in a complex formation system. These mechanisms operate on the framework of the “lock and key” theory, through which the sensor molecule (the “lock”) is designed to bind with an identifiable cation (the “key”) selectively, generating a unique charge transfer response that offers discrimination between various cations [71,74]. Thus, interpreting the results demands an exact understanding of the host–guest chemistry, which has caused a great deal of fascination in the development of chemical and biological sensors. The sensitivity interaction relationships between hosts and guests have become an area of research focus, triggering innovation and development in the research of metal ion sensing technologies [75]. The “host” is frequently involved in a big chemosensor molecule featuring a central hole or cavity, including an enzyme or synthetic organic cyclic molecule. A tiny synthetic anion or a mono-atomic cation may be represented as the “guest”. The Lewis basic donor atom-containing chemosensor molecular entity with “convergent” binding sites is commonly referred to as the host. Lewis acid metal cations are examples of the “divergent” binding sites that have been found in the guest [76]. This research represents a broad overview of organic compounds functioning in colorimetric and fluorescent chemosensors for identification and detection of heavy metal ions, anions, and other environmentally hazardous substances. The main focus is on synthesis of Aryl-substituted organic-based chemosensors, which have shown great promise in detecting a wide range of metal ions including silver, cadmium, mercury, lead, magnesium, indium, and simultaneous multi-ion detection through colorimetric and fluorometric turn-off and turn-on response.
2. Detection of Heavy Metal Ions
Here, we have overviewed the monitoring and detection of several heavy metal ions by employing various types of organic chemosensors.
2.1. Hg2+ Ion Detection
Of all the HTM ions, mercury ions are among the most dangerous for the environment and human health. As a result, numerous kinds of fluorescent chemosensors for Hg2+ ions detection have been synthesized as fluorescence offers an accurate and effective analysis method [1,2,77,78]. Moreover, the need for a turn-on response to Hg2+ was great since a turn-off response would have been confused with a false signal caused by Hg2+ quenching, chemosensor precipitation, or impurity absorbance. Thus, there is a need to create fluorescent chemosensors that will trigger a reaction in response to detecting Hg2+ ions in aqueous solutions in a selective and sensitive manner [79,80,81,82,83,84,85,86,87,88,89,90,91,92]. A chemosensor based on the metal ions’ peptide receptor was developed by using an aggregation-induced emission fluorospore. It enables the detection of heavy metal ions in cell analysis and aqueous solution. The peptidyl chemosensor with tetraphenylethylene fluorophore demonstrated a completely selective turn-on response to Hg2+ among 16 metal ions in an aqueous buffered solution including NaCl. When Hg2+ ions were linked by the peptidyl chemosensor and subsequently collected in an aqueous buffered solution, the emissions at around 470 nm revealed a noticeable rise (OFF-ON). The fluorescent sensor responded to Hg2+ with excellent sensitivity since about 1.0 equivalent of Hg2+ was required for the shift in emission intensity to be saturated. Hg2+ ion detection limit of 5 was smaller than the EPA’s highest amount of Hg2+ permissible in drinking water. Furthermore, the peptidyl chemosensor entered living cells and used the turn-on response to recognize intracellular ions Hg2+ [93]. High-purity TPE-based peptide chemosensors with a 69% yield were generated with flexibility in solid-phase synthesis employing Fmoc(Fluorenylmethyloxycarbonyl) chemistry [93]. Following deprotection, Fmoc−L−Ser(tBu)−OH was added, and TPE, HOBt, and DIPC were coupled in DMF for four hours at room temperature. There have been schemes of TPE fluorophore synthesis (Scheme 1) [94].
Scheme 1.
(a) Synthesis of solid-phase peptide-based sensor 6; (b) Proposed binding mode.
Figure 2A depicts the fluorescence response of chemical 6 to 16 metal ions. Compound 6 showed selective turn-on fluorescence responses to Hg2+ and Ag+ ions in aqueous buffered solutions after being excited at 320 nm. Figure 2B indicates that compound 6 has a unique selectivity for Hg2+ ions in aqueous buffered solution, differentiating it from other heavy and transition metal ions. The selective response of compound 6 to Hg2+ ions was visually confirmed under UV light, exhibiting a distinct light-cyan color change in the presence of Hg2+, whereas other metal ions showed no significant color change (Figure 2C).
Figure 2.
The fluorescence emission spectra of compound 6 (3 × 10−6 M) are shown. (A) Compound 91 dissolved in 10 mM phosphate at a pH of 7.4; (B) compound 6 was dissolved in 10 mM phosphate and 1 mM NaCl at a pH of 7.4; (C) compound 6 was visible under UV light (λem = 365 nm) in the presence of different metal ions. Reproduced from ref. [93] with permission from American Chemical Society, copyright 2016.
Utilizing 1H NMR spectroscopy, the binding mechanism of 6 with Hg2+ was studied, and the binding mechanism of compound with Hg2+ was planned. The peptide receptor’s imidazole group was important for its interaction with Hg2+, and it is conceivable that the imidazole group and the peptide receptor’s C-terminal amide group cooperated to develop a stable complex. Emissions were enhanced because the 2:1 complex may agglomerate and the TPE fluorophores’ benzyl ring’s intramolecular rotation was restricted. A fluorescent chemosensor with thiourea moiety was created and manufactured recently to selectively detect mercury ions [41]. When Hg2+ was added, the sensor showed a color shift and a fluorescence turn-off response [95,96]. 1H NMR titration was used to validate the complex formation, and DFT simulations provided additional evidence. A test strip was also used for accurate and useful Hg2+ ion detection in semi-aqueous media [97,98]. Using a step-by-step process, a new chemosensor 11, was created, producing an 82% yield of a highly purified dark-red solid (Scheme 2) [55].
Scheme 2.
(a) Synthesis of sensor 11; (b) Proposed binding mode.
A typical Hg2+-promoting desulfurization reaction, which has been studied using Job’s plot titration, HRMS, FTIR, and 1H-NMR analyses may quickly monitor Hg2+ in a DMSO/H2O (5/1, v/v) solution using a novel “turn-on” perylenebisimide-thiourea fluorescent sensor 11. When Hg2+ is present, there is a notable increase in fluorescence emission at 540 and 580 nm that is highly sensitive and selective to the naked eye. Additionally, sensor 11 has a rapid response time (less than a minute) and robust anti-interference recognition. Sensor 11 is a good option for Hg2+ detection without a buffer system because of its quick fluorescence response and low limit of detection (0.35 μM) throughout a broad pH range of 3.0–11.0. Moreover, chemosensor 11’s feasibility for detecting mercury ions in human liver cancer cells (HepG-2) has been investigated using fluorescent live cell imaging. It shows that the probe is not harmful to living things and that PBI-BTB has a good cell permeability for detecting mercury heavy metal ions in biological systems.
J. Mishra and H. Kaur with their coworkers designed a chemosensor 17. Salicylaldehyde and aniline were reacted in methanol, refluxed for 6 h, and then reduced with NaBH4 to create a Schiff base. A dark-maroon liquid was obtained by refluxing the product with naphthyl isocyanate in CHCl3. The finished product 17 had a 93% yield (Scheme 3) [96].
Scheme 3.
(a) Synthesis of thiourea-based sensor 17; (b) Proposed binding mode.
Thiourea-based chemosensor 17 demonstrated preferred recognition of Hg2+ in an aqueous medium, as evidenced by an increase in fluorescence emission intensity upon complexation with Hg2+ among numerous heavy metal ions with a detection limit of 0.84 mM. Due to the photo-induced electron transfer (PET) “OFF” mechanism at 390 nm, the suggested sensor 17 has the capacity to detect Hg2+ ions with excellent selectivity and sensitivity.
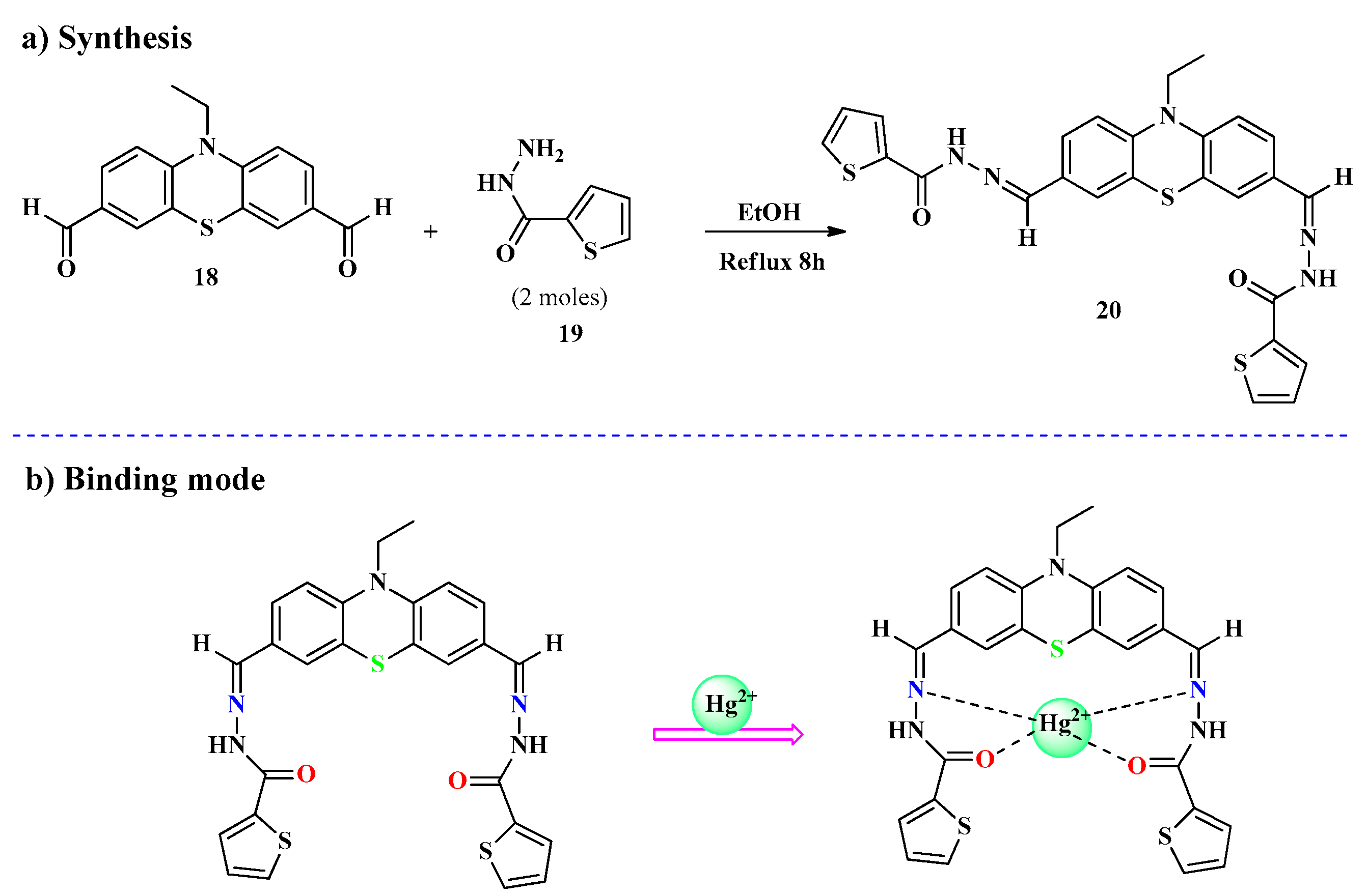
V. Govindasamy et al. synthesized chemosensor 20 for detection of Hg2+. Thiophene-2-carboxylic acid hydrazide 19 and 10-Ethyl-10H-phenothiazine-3,7-dicarbaldehyde 18 were reacted in ethanol, refluxed for 8 h. The target product 20 with a 92% yield was obtained (Scheme 4) [99].
Scheme 4.
(a) Synthesis of phenothiazine-thiophene hydrazone-based sensor 20; (b) Proposed binding mode.
The synthesized sensor 20 functioned as a fluorescence “on–off” sensor to detect Hg2+ ions selectively in the presence of other metal ions. Furthermore, the color shift from pale green to bright yellow indicates that 20 has bound to mercury ions. The limit of detection is 0.44 × 10−8 M. These findings indicate that the considered chemosensor was appropriate and capable of detecting Hg2+ ions from environmental water samples, with no interference from other predicted metal ions.
2.2. Ag+ Ions Detection
Silver metal ions are captivating, expensive, and physiologically active heavy metal ions. Ag+ ions are found in both human and animal bodies and are fundamental to many medical procedures, including antibiotics, sterilization processes, anti-infective treatment, and antibacterial activity [33,100,101]. Silver serves as a catalyst in oxidation processes as well as in electrical and photographic imaging, accessories, and silverware production [102,103]. In addition, the Ag+ ions make significant contributions to environmental pollution because of the growing need for silver compounds in the increased industrial and commercial sectors [104,105]. Ag+ ions have been released into the atmosphere as a result of these actions, threatening both humans and aquatic life [106]. Overindulging in silver over an extended time period is ideal for precipitation and adverse effects on human health [107,108]. A potentially organic chemosensor was synthesized for widely used Ag+ ion identification and detection [109,110]. C. I. David with his coworkers described the synthesis and design of the fluorescence-based, rhodamine-derived chemosensor receptor 26, which was developed to detect Ag+ ions in DMSO-H2O solution mixture with excellent sensitivity and selectivity. Through the application of the chelate-enhanced fluorescence (CHEF) mechanism, the chemosensor 26 may selectively “turn on” fluorescence for Ag+ ions [111]. The synthesis procedure of rhodanine-3-hippuric acid involved simple steps. In a multi-step reaction with CS2, chloroacetic acid, and HCl, p-Amino hippuric acid 21 was changed into rhodanine-3-hippuric acid 24 as a result. The final receptor 26, with a 59% yield after recrystallization in ethanol, was then produced by the product’s reaction with m-nitrobenzaldehyde 25 in the presence of sodium acetate and glacial acetic acid. Scheme 5 illustrates the synthesis pathway of the receptor 26 [112].
Scheme 5.
(a) Synthesis of rhodamine-derived fluorescent sensor 26; (b) Proposed binding mode.
The receptor 26 exhibited a remarkable sensitivity and selectivity for the Ag+ ion employing a 1:1 complex stoichiometry. This was confirmed by fluorometric titrations, Job’s plot variation, Benesi–Hildebrand calculation, 1H-NMR, FT-IR, ICT mechanism, and DFT analyses [113]. The interaction between receptor 26 and Ag+ ions is distinguished by two binding phenomena: Internal Charge Transfer (ICT) and chelation-enhanced fluorescence (CHEF). Initially, receptor 26 has modest fluorescence due to free rotation of the C–N bond. Upon Ag+ binding, a 13 nm hypsochromic shift occurs, limiting ICT and increasing emission intensity via CHEF (Figure 3A).
Figure 3.
(A) Suggested mechanism of receptor 26 towards Ag+ and iodide I− ions. Yellow colored arrow indiacte ICT mechanism and blue colored arrow indicate silver ion and iodide ion released as AgI (B) Practical naked-eye application of receptor 26 for recognition of Ag+ ion using solid-supported silica methods. (C) Fluorescence spectrum of receptor 26 (4 × 10−6 M). (D) Fluorescence spectrum of receptor 26+Ag+ (4 × 10−6 M). The arrows indicate the fluorescence spectral lines of the respective ions. Copied from ref. [112] with permission from Elsevier, copyright 2021.
The identification of Ag+ by receptor 26 was further verified with a solid-supported silica approach. When Ag+ was added to 26-coated silica gel, the color changed from colorless to dark brown (Figure 3B). The 26-Ag+ complex was completely recovered after being treated with I−, as evidenced by both paper strip and solid-supported silica tests [114]. The fluorescence emission of receptor 26 was measured in the presence of several physiologically and ecologically relevant metal ions in HEPES-buffered DMSO-H2O (pH 7.4). UV-Vis absorption measurements determined that the excitation wavelength should be 370 nm. Figure 3C shows that receptor 26 fluoresces weakly at 417 nm in the presence of other metal ions. However, the addition of Ag+ ions causes a 100-fold increase in fluorescence intensity at 404 nm. The 26+Ag+ complex was employed to visualize anions by fluorescence emission spectroscopy. The addition of I− significantly reduced the fluorescence intensity at 417 nm, but other anions had minor influence on the fluorescence intensity of 26+Ag+ (Figure 3D).
Y. Seo and S. Park with their collaborators designed a chemosensor 31. 1-naphthyl isothiocyanate 27 and hydrazine 28 in ethanol interacted to form a white powder 29. The product was reacted with O-Vanillin 30 producing intended product 31 (Scheme 6) [115]. Ag+ ion exhibited a selective fluorescence turn-on mechanism over the various metal ions in an efficient fluorescence naphthyl thiourea-based chemosensor 31. It was determined that the complexation ratio of 31 with Ag+ was 2:1. Ag+ ions could be detected at low detection limits (3.82 μM) using this organic sensor (31).
Scheme 6.
(a) Synthesis of naphthyl thiourea-based chemosensor 31. (b) Proposed binding mode.
Q. Lai, Q. Liu and their coworkers successfully designed and synthesized triazole-imidazole ligands 36 as selective fluorescent probes for detecting Ag+ ions (Scheme 7). The chemosensor 36 exhibits noticeable fluorescence emission in both aqueous and organic solutions due to the presence of intramolecular hydrogen bonding. This chemosensor is specifically useful for the evaluation of Ag+ ions due to its quick reaction response times in aqueous medium. The ultrafast response time (less than 30 s) of this sensor 36 in aqueous conditions demonstrated the practical application of this novel cation probe and the significance of these triazole-based fluorescent compounds in chemical and material research [116].
Scheme 7.
(a) Synthesis of triazole-imidazole-based sensor 36. (b) Proposed binding mode.
2.3. Cd2+ Ion Detection
According to the periodic table, cadmium belongs to group 12 transition metal ions. Cadmium resembles mercury and zinc metals and has a silvery-half-white appearance [117]. Cadmium is the most hazardous of the numerous toxic heavy metal ions that are found naturally in the earth’s crust [118]. Excessive cadmium exposure can cause renal failure, a drop in calcium metabolism, and the development of certain malignancies. [119,120]. One of the most hazardous and carcinogenic heavy metal ions is cadmium (Cd2+). Cadmium ions are used extensively in the industrial production of metal alloys, electroplating films, battery cells, and nuclear reactor control rods [121,122]. One should not undervalue the detrimental effects of Cd2+ ion pollution. The Cd2+ ion can enter the body through polluted soil, water, air, and a variety of other sources with a biological half-life of 20–30 years. This may result in several kinds of illnesses affecting the kidney, liver, lungs, heart, or other body organs [123,124,125]. The increased Cd2+ concentration of the body even at extremely low levels can lead to a variety of illnesses, including potentially fatal conditions such as diabetes, cancer, and chondropathy [126,127]. To obtain the best possible sensitivity and selectivity for Cd2+ ion detection, several photophysical characteristics must be considered while designing the construction of a fluorescent chemosensor [128]. Sadia and her colleagues developed a novel chemosensor 2, 6-di((E)-benzylidene)-4-methylcyclohexan1-one) 39. Experimental findings demonstrated that 39 functions as an effective and selective chemosensor for Cd2+, even in the presence of other metal ions in the aqueous medium, comprising Hg2+, Cu2+, Mg2+, Ca2+, Al3+, Co2+, Ag+, Fe3+, Fe2+, Ni2+, Cr3+, Pb2+, Ba2+ and Zn2+. When the synthetic chemosensor 39 interacts with Cd2+, the fluorescence emission spectrum changes significantly. The fluorometric response verified the formation of the 39 complex with Cd2+. An ethanolic solution of 4-methyl cyclohexanone 37 and benzaldehyde 38 was combined with sodium hydroxide, and the mixture was refluxed for four hours at room temperature to generate the desired product 39 (Scheme 8) [129].
Scheme 8.
(a) Synthesis of optical chemosensor 39. (b) Proposed binding mode.
The practical applications of the chemosensor 39 in the detection of Cd2+ ions are beneficial. To evaluate the chemosensor’s versatility, a reversibility test was performed using chelating agent EDTA in an aqueous medium at room temperature. The chemosensor can be evacuated and renewed by adding EDTA to the 39+Cd2+ complex solution, as demonstrated by dropped fluorescence intensity. The addition of Cd2+ solution restored the enhanced fluorescence intensity. A comprehensive optical investigation was conducted to explore 39’s specific chemosensing capabilities towards Cd2+. Figure 4A shows the UV-Vis absorption spectra of the 39 and 39+Cd2+ complexes. The chemosensor 39 showed maximum absorbance at 390 nm due to the π-π* transition. The inclusion of Cd2+ increased the absorption intensity at 390 nm. The LOD of the chemosensor 39 was determined to be 19.25 Nm, as shown in Figure 4B [130].
Figure 4.
(A) The chemosensor 39’s UV–visible spectrum. (B) The [CM1 + Cd2+] complex fluorescence emission spectrum. Copied from ref. [129] with permission from MDPI, copyright 2023.
R. Purkait, S. Dey, and C. Sinha synthesized a chemosensor 43 for detecting Cd2+ and Zn2+ ions effectively. An important aromatic aldehyde (2,6-diformylphenol) was utilized to design compartmental Schiff base ligands. Salicylaldehyde and 2,6-diformylphenol were condensed with hydrazine to produce a hetero-imine derivative (a novel Schiff base) with noticeable fluorescent properties. As 2,6-diformylphenol includes fluorophore vanillin, its vanilinyl hydrazone is a highly potent fluorogenic probe. Four nitrogen atoms and three -OH groups act as binding sites in this novel chemosensor, 6,6′-((1E,1′E)-((2E,2’E)-((2-hydroxy-5-methyl-1,3 phenylene)bis(methanylylidene))bis(hydrazine-2,1-diylidene))bis(3-methoxyphenol). The synthesis procedure involved reacting 4-methyl-2,6-diformylphenol 40 with excess hydrazine in MeOH, and then condensing the resulting 2,6-bis((E)-hydrazonomethyl)-4-methylphenol 41 with 2-hydroxy-4-methoxybenzaldehyde 42 in dry EtOH. This produced 88% yield of the intended product 43 (Scheme 9) [119].
Scheme 9.
(a) Synthesis of Schiff-based chemosensor 43. (b) Proposed binding mode.
A highly effective fluorescent sensor 43 for the detection of Cd2+ in DMSO-aqueous (9:1, v/v) HEPES buffer (pH, 7.2) is demonstrated using the visible-light-excitable sensor. Additionally, a recovery study from drinking water and a test kit employing a TLC plate were carried out effectively to demonstrate its usefulness in real-world applications.
2.4. Pb2+ Ion Detection
Lead (Pb) is a common heavy metal that finds use in the current industrialized world including paints, fuel, batteries, and other materials [131,132,133]. In several domains, Pb2+ is essential as a transitional element [134]. The production of lead nitrate for commercial use began in the 19th century, according to lead history [135]. At the time, it was mostly utilized in the industrial sector as the primary raw material for pigment production [136]. Lead (Pb) made a substantial contribution to industrial output. In the industrial sector, it was used as a heat stabilizer in thermal imaging paper, nylon, and polyester coatings [137,138,139]. According to recent research, lead (Pb) and its compounds enter the body through wastewater and waste residues and harm the kidney, brain, digestive system, and other organs and systems [140]. One of the most damaging heavy metal pollutants in the environment is the lead ion (Pb2+), which constitutes significant risks to all living things and generates persistent problems, particularly with regard to human health and animal [141,142]. Even at extremely low levels, chronic exposure causes a variety of health issues, including neurological illnesses, cardiovascular diseases, fertility diseases, and hypertension [143,144]. Keeping in view the above-mentioned health threat associated with lead poisoning, it is of key relevance to detect and determine its presence in various environmental and biological samples [145,146,147,148]. Pb2+ ions could possibly be found and determined using a variety of methodologies, including the most potent, precise, and practical colorimetric and fluorescent sensing technologies [149,150]. 2-Aminothiophenol 44 and 2-hydroxy-5-methylbenzene-1,3-dialdehyde 45 were added in ethanol and a catalytic amount of acetic acid. The resultant mixture was refluxed for 72 h. The precipitate of 46 was then collected on filter paper (Scheme 10) [151].
Scheme 10.
(a) Synthesis of Schiff-based chemosensor 46. (b) Proposed binding mode.
Figure 5A shows the UV-Vis absorption spectra of chemosensor 46, with a maximum absorption wavelength (λAbs max) of 300 nm. The addition of Pb2+ ions changed the λAbs max to 325 nm and developed a new absorption band at 430 nm. In contrast, other ions had no appreciable effect on the absorption spectrum of 46. Sensor 46 solutions (4 × 10−5 M) in ethanol were titrated with Pb2+ ions (0–6 equivalents). As Pb2+ concentration increased, absorption strength at 325 nm dropped, but a significant charge-transfer band appeared at 430 nm (Figure 5B). Sensor 46 (15 μM) underwent colorimetric experiments with different metal ions. After adding 4 equivalents of Pb2+ ions, the colorless solution became purple; Figure 5C indicates significant Pb2+ selectivity. The color shift is due to ligand-to-metal charge transfer (LMCT).
Figure 5.
(A) The UV–Vis absorption spectrum of the chemosensor 46 in the presence of different cations. (B) The UV–Vis spectrum of 46 titration against various concentrations of Pb2+. The arrow indicate the UV-Vis spectrum of the chemosensor 46 titration against various concentrations of lead ion. (C) Sensor 46 color change in the presence of various cations in an ethanol–water solution (v/v, 90, 10). Copied from ref. [151] with permission from Elsevier, copyright 2023.
A unique fluorescent chemosensor 49 for the detection of Pb2+ ion was successfully designed. Compound 47 was reacted with N-hydroxysuccinimide and DCC in dichloromethane. Triethylamine and compound 48 were then added. The liquid was stirred overnight. DCM/EtOH was used as the eluent in column chromatography to purify the crude product 49 [152].
Sensor 49 demonstrated exceptional selectivity for Pb2+ ions over a wide range of other metals (Scheme 11). Sensor 49 turns from colorless to green when Pb2+ is added, gaining absorption in the near-IR portion of the spectrum. In acetonitrile, it also exhibits intense “off–on” fluorescence along with a color shift from colorless to fluorescent pink. The reversible spirocyclic ring-opening mechanism upon binding of Pb2+ ions was responsible for the observed spectrum changes. The concentration of Pb2+ ions is proportional to the lead-induced absorbance at 718 nm and the fluorescence intensity at 735 nm. This suggests that the lead ions in the solution or living cells can be quantified using colorimetric or fluorometric methods. Thus, 49 may be used as a potential lead chemosensor in medical research and environmental monitoring.
Scheme 11.
(a) Synthesis of near-infrared fluorescent probe 49. (b) Proposed binding mode.
The cation receptor 54 was designed with -nitro-9H-fluorene 51. After that, iron powder and ammonium chloride were used to convert it to 2-amino-9H-fluorene 52. Lastly, the desired product 54 with a 74% yield was obtained by coupling with pyridine-2,6-dicarboxylic acid 53 in the presence of triphenyl phosphite (Scheme 12) [142]. The metal ion binding ability of the chemosensor 54 was studied in the presence of various metal ions using UV-vis and fluorescence studies, and the results showed that the chemosensor 54 has a suitable selectivity and considerable sensitivity for the detection of Pb2+ ions. The 54+Pb2+ complexes were found to have an association constant (Ka) of 5.65 × 108 M−2. The significant sensitivity of the chemosensor 54 was evident from the acquired limit of detection (LOD) values (2.31 × 10−6 M for Pb2+).
Scheme 12.
Synthesis of pyridine-2,6-dicarboxamide-based chemosensor 54.
2.5. In3+ Ion Detection
The Group 13 heavy metal in the periodic table, indium (In), is extensively used in many applications, particularly in the industrial sectors [153], novel semiconductors [154], solar cell batteries [155,156], and gas sensors [157]. Apart from these uses, its pollution might have serious adverse consequences for health [158]. It is known to disrupt the metabolism of ferric iron in cells at the locations of usage, storage, and transport. It has been shown to have negative effects on humans even though it has no biological purpose in the human body [159]. Additionally, studies on animals have demonstrated that acute intravenous injections of indium compounds pose a serious risk to the liver and kidney [160]. Numerous analytical techniques, such as electrothermal atomic absorption spectroscopy [161], adsorptive stripping voltammetry, spectrophotometry [162], and inductively coupled plasma mass spectrometry [163], have been employed to detect indium [164]. However, the methods involve laborious, time-consuming procedures and are comparatively expensive [165]. These factors make the development of chemosensors that can detect indium essential [166,167]. However, compared to other metal ions, chemosensors for In3+ are rare [168]. Furthermore, it is difficult to differentiate In3+ from Al3+ because of their similar chemical properties [164]. On the other hand, chemosensors have a number of benefits, such as affordability, usability, and quick reaction. The most effective option to recognize In3+ ions in living things is utilizing fluorescent chemosensors [169]. In order to detect and quantify In3+ ions, Aatif et al. synthesized and characterized an innovative probe, N,N-bis((E)-2-hydroxy-3-methyl benzylidene)pyridine2,6-dicarbohydrazide 59. When the In3+ ion is introduced to DMSO: H2O medium, probe 59 exhibits a powerful ON fluorescence with a low detection limit. To obtain the desired end product 59, a methanolic solution of 2-hydroxy-3-methylbenzaldehyde 58 was treated with pyridine-2,6-dicarbohydrazide 57. The entire mixture was refluxed for five hours. A white powder with an 88% yield was obtained by filtering the product and then washing it with an excessive amount of methanol (Scheme 13) [161].
Scheme 13.
(a) Synthesis of pyridinecarbohydrazide-based fluorescent chemosensor 59. (b) Proposed binding mode.
Probe 59 demonstrates preferential binding with In3+, and the complex reveals strong fluorescence intensity. This could possibly be the result of the simultaneous involvement of crucial aspects that need to be taken into account. For example, a process known as intramolecular charge transfer (ICT) may be responsible for the sharp rise in emission intensity, independent of red shift [170]. Probe 59 is dimly fluorescent because it has > C=N–, which promotes > C=N rotation [171]. Rotation is prohibited, and fluorescence characteristics are boosted upon interaction with In3+ ions. The coordination complex forms an extremely rigid structure that hinders nonradioactive decay. It is the source of the chelation-enhanced fluorescence effect (CHEF) [172]. Figure 6A illustrates that, after excitation at 337 nm, the emission peak 59 occurs at 500 nm. Fluorescence abruptly increased by 60 times when In3+ (10 eq.) was added. Furthermore, when Al3+ and Ga3+ were analyzed with the other tested ions, no appreciable variation in emission intensity was observed. These results suggest that In3+ ions may be detected using colorimetric and fluorescence characteristics. A spectral titration was used to investigate the linear connection between concentrations and intensity in order to assess probe sensitivity (Figure 6B). The spectral titration of 59 (50 μM) with In3+ was carried out by gradually adding 0–60 μM in DMSO: H2O (2:8, v/v) medium. When In3+ is added to a solution containing 59, a new emission band appears at about 500 nm, and the fluorescence intensity changes when excited at 337 nm. The performance of L (50 μM) in DMSO: H2O (2:8, v/v) is shown, when reacted with 10 equivalents of different metal ions such as Ag+, Rb+, Ca2+, Mg2+, Co2+, Ni2+, Mn2+, Hg2+, Pb2+, Cd2+, Zn2+, Cu2+, Ba2+, Sr2+, Fe3+, Al3+, Ga3+, In3+, La3+, Ce3+, Pr3+, Bi3+, Zr4+, and Th4+, (Figure 6C). Under normal conditions, the color of the solution in any glass vial does not change; nevertheless, when exposed to UV light, only the vial containing 59 with In3+ ions show luminous activity, whilst the others do not. This shows that 59 is selective for In3+ ions. Furthermore, its absorption and emission spectrum responses were thoroughly investigated. Sensor 59 may be used to detect In3+ ions in environmental samples, as evidenced by the detection of In3+ in water samples. Interestingly, the bio-imaging showed that 59 was able to identify In3+ ions in zebrafish larvae and DrG cells.
Figure 6.
(A) Fluorescence spectrum responses of 59 in DMSO: H2O when it is excited using different metal ions at 337 nm. (B) Probe 59’s fluorescence spectrum titration in DMSO:H2O (2:8, v/v) medium. (C) Under UV light, the fluorescence of 59 in a DMSO:H2O solution containing different metal ions changes. Copied from ref. [161] with permission from Elsevier, copyright 2022.
2.6. Simultaneous Multiple-Ion Detection
Several heavy metal ions in the environments and living bodies are detected by the synthesis of a basic and highly efficient fluorescence chemosensor that can sense Zn2+, Hg2+, and Cd2+ simultaneously [117]. It is commonly known that aggregation-caused quenching (ACQ) is the phenomenon that leads fluorescence emission of organic fluorophores to frequently get quenched in the aggregated form [173]. The ACQ effect has significantly limited the usage of several organic fluorophores in organic light-emitting diodes and as sensing materials (chemosensors, biosensors) [174]. To lessen the ACQ effect, dendritic wedges, branching chains, and massive cyclic species have been covalently linked to the fluorophores to prevent aggregation formation [175]. The first AIE-based fluorescence sensor 64 that may recognize Zn2+, Hg2+, and Cd2+ heavy metal ions in aqueous solutions at the same time is presented in this strategy [176,177]. Formyltetraphenylethylene and the bis-thiosemicarbazide derivative underwent a condensation process to create thiourea-bridging bis-tetraphenylethylene (Bis-TPE) with 82% yield (Scheme 14). In aqueous medium, at 500–526 nm, the long-wavelength fluorescence was evident and was generated by the AIE effect. They showed high selectivity for Hg2+ sensing with fluorescence amplification, high selectivity for Cd2+ sensing with red to yellow fluorescence change, and high selectivity for Zn2+ sensing with red to green fluorescence change. Furthermore, with the help of Cl− and ATP, it was able to concurrently detect Zn2+, Cd2+, and Hg2+ in the combined solution of these three types of metal ions by altering the fluorescence [178].
Scheme 14.
(a) Synthesis of AIE-based fluorescence sensor 64. (b) Proposed binding mode.
As H2O-THF solution (which contains 90% H2O) demonstrated the highest fluorescence emission, this solution system was selected as the aqueous medium to examine chemosensor 64’s sensing capacity for various metal ions. Figure 7 displayed the sensing fluorescence spectra. The addition of the metal ions Mg2+, Pd2+, Co2+, Ba2+, Mn2+, Pb2+, Al3+, Ag+, Ca2+, Fe3+, Na+, K+, Ni2+, Cu2+, and Li+ was seen to cause no discernible change in the fluorescence wavelength and a narrow range of emission intensities. However, a notable alteration in the fluorescence emission was noted upon the addition of Zn2+, Cd2+, or Hg2+. The fluorescence rose significantly with the addition of Hg2+, while the maximum emission wavelength remained at around 550–580 nm. When Zn2+ was added, the fluorescence emission significantly increased and the highest emission wavelength shifted from 550–580 nm to 500–550 nm. Additionally, the solution’s color changed from red to green. The fluorescence showed a shift from 550–580 nm to 500–580 nm with a noticeable increase in emission strength and a color change from red to yellow upon the addition of Cd2+ Bis-TPE 64 showing strong selective sensitivity to Zn2+, Cd2+, and Hg2+, respectively, as demonstrated by these data.
Figure 7.
Bis-TPE’s (64) emission intensities with various metal ions in an H2O-THF solution. Copied from ref. [178] with permission from Elsevier, copyright 2020.
Y. Seo, S. Park, and their colleagues reported the synthesis of a naphthyl thiourea-based chemosensor 69 that demonstrates a powerful fluorescence turn-on response to detect Ag+ and Zn2+ ions in specific solvent conditions. They initiated the reaction by mixing the hydrazine 66 and 1-naphthyl isothiocyanate 65 in ethanol. The required product with a 30% yield was obtained by reacting the white powder with O-vanillin 68 in methanol (Scheme 15) [115]. Chemosensor 69 demonstrated rapid reactions to Ag+ and Zn2+ by turning on a noticeable fluorescence under various solvent conditions. It was discovered that the binding ratio of 69 to Ag+ and Zn2+ were 2:1 and 1:1, respectively. The HNC detection limits for Ag+ and Zn2+ were determined to be 3.82 and 0.21 μM, respectively. The binding mechanisms of 69 for Ag+ and Zn2+ were illustrated using Job’s plot.
Scheme 15.
(a) Synthesis of naphthyl thiourea-based chemosensor 69. (b) Proposed binding mode.
Y. Ding, C. Zhao, and their collaborators developed an efficient detection chemosensor for Zn and Mg metal ions. A chemosensor 6-hydroxy-N′-(quinolin-8-ylmethylene)naphthalene-2-carbohydrazide 72 was synthesized by refluxing quinoline-8-carboxaldehyde 70 and 6-hydroxy-2-naphthoic hydrazide 71 in 1,4-dioxane for 4 h, yielding 78% of the intended product 72 (Scheme 16) [179]. Sensor 72 demonstrated quick identification of Zn2+ in DMSO/H2O (4:1, v/v) and Mg2+ in ethanol/water (9:1, v/v) as dual purpose turn-on fluorescence chemosensor. The coordination reaction between 72 and the target ions, which encouraged intramolecular charge transfer and inhibited the C=N isomerization process, was linked to the improvement in fluorescence detection. At the same time, a quick color shift from colorless to yellow or yellowish-green under UV light (365 nm) was readily apparent to the naked eye. The limits of detection and quantification under ideal circumstances were 32.3 nM and 97.8 nM for Zn2+ and 16.1 nM and 48.9 nM for Mg2+, respectively.
Scheme 16.
(a) Synthesis of Schiff-based chemosensor 72. (b) Proposed binding mode.
S. Zhang, X. Wu, and their coworkers reported a novel, reversal chemosensor based on a simple Schiff base that demonstrates both colorimetric and fluorescent characteristics. The chemosensor exhibited great selectivity and sensitivity towards Ag+, Cu2+, and Hg2+ metal ions in a DMSO/H2O solution, and its quick response time permits for visual identification or detection by the naked eye. The synthesis of the sensor 4,4′-methylenebis [2-[[(2-mercaptophenyl)imino]methyl]phenol 75 includes refluxing the solution of 5,5′-methylenebis(2-hydroxybenzaldehyde) 73 and 2-aminobenzenethiol 74 in EtOH for six hours (Scheme 17). The resultant product was cooled, filtered, and recrystallized from DMF (dimethyl formamide), yielding the intended product 75 with an 85% yield [180]. Sensor 75 showed good selectivity and sensitivity to Ag+, Cu2+, and Hg2+ ions in DMSO/H2O (1/1, v/v) solution among diverse metal ions, with results that could be observed immediately with naked eyes. According to Job’s plot and FT-IR analysis, the binding stoichiometry between Ag+/Hg2+/Cu2+ and 75 is 1:2. Ag+, Cu2+, and Hg2+ could be detected by MMIP throughout a broad pH range of 3–10. For Ag+, Cu2+, and Hg2+, excellent linear relationships were found in concentration ranges of 0–20 μM. Therefore, 75 could be used successfully to measure the levels of Ag+, Cu2+, and Hg2+ in aqueous solution.
Scheme 17.
(a) Synthesis of Schiff-based chemosensor 75. (b) Proposed binding mode.
3. Limitations and Challenges of the Current Chemosensors
Chromofluorescent chemosensors are essential for offering quick, affordable, and easy solutions to challenging issues because of their versatility, high sensitivity, and selectivity [181,182]. New frontiers in the discipline have also been made possible by the development of sophisticated data analysis methods, better apparatus, and innovative sensor materials [183]. Efforts must be made to develop and implement fluorescence probes that can function in pure aqueous solutions with physiological pH. However, certain chemosensors have several limitations. For example, synthesis of a stable and highly selective chemosensors can be difficult and expensive. Certain chemosensors express changes in fluorescence due to temperature, pH or ionic strength variations rather than specific analyte interactions. The fluorescence response may become saturated at high analyte concentrations, rendering them unsuitable for detecting a wide range of concentrations. The low water solubility of many organic-dye-based sensors restricts their use in biological systems. The potential for cytotoxicity in certain sensor materials restricts their usage in biological applications. A common problem with chromofluorogenic chemosensors is cross-reactivity, which causes them to react to several analytes, hence decreasing specificity. A large number of organic chemosensors are irreversible, which means that repeated or continuous measurements are not appropriate for them. The long-term use of certain fluorophores is limited by photobleaching. Others may disintegrate in harsh chemical environments. Some sensors detect target analytes with slow kinetics, making them suitable for real-time monitoring applications. Although these are extremely sensitive in controlled circumstances, other molecules’ interference can cause them to perform inefficiently in biological fluids or environmental samples. Researchers are actively attempting to address these restrictions through molecular engineering, nanotechnology, and hybrid material techniques.
4. Conclusions and Future Perspectives
In this study, different synthetic approaches of chromofluorescent chemosensors based on organic compounds, including Schiff base, naphthyl thiourea, perylenebisimide-thiourea, thiourea, phenothiazine-thiophene hydrazone, rhodamine-derived, triazole-imidazole, pyridine-2,6-dicarboxamide, pyridinecarbohydrazide, solid-phase peptide, optical, near-infrared, AIE-based and other functional groups, have been reviewed for the detection of selected heavy metal ions. Chromofluorescent sensing technology is a highly active field of study. We classified colorimetric and fluorometric sensors for the detection of heavy metal ions based on their receptors into several categories, such as Hg2+, Ag2+, Cd2+, Pb2+, In3+, and simultaneous multiple-ion detection. The development of fluorescent chemosensors is clearly far from completion [184]. Their capabilities could be further improved by emerging technologies like fluorescence-based sensors. Furthermore, point-of-care diagnostics and customized healthcare are being revolutionized by the incorporation of these sensors into portable devices [181,185]. The current review article examined new developments in the field of environmental monitoring for heavy and transition metal ions as well as possible future directions. This has increased the review’s scope and significance for readers who are curious about the broader background of environmental monitoring. The development of such sensors would aid in developing quick and simple solutions to a number of problems relating to the identification of toxic metal ions at trace levels in a range of biological materials. In order to detect and identify heavy metal ions, we hope that this article can assist readers in the future with the development of highly sensitive, selective, and effective chemosensors. The purpose of this study is to stimulate further research and advancement in the fields of analytical chemistry and other fields by providing inventive solutions to a variety of real-world problems.
Author Contributions
Conceptualization, S.A. and R.S.; data curation, S.A. and I.K.; analysis, I.K., W.A. and S.R.; funding acquisition, R.S.; investigation, S.A., S.R. and W.A.; supervision, S.A. and R.S.; visualization, S.A.; writing—original draft, S.A., I.K. and S.R.; writing—review and editing, R.S., S.B. and S.A. All authors have read and agreed to the published version of the manuscript.
Funding
This research received no external funding.
Conflicts of Interest
The authors declare no conflict of interest.
References
- Valeur, B.; Leray, I. Design principles of fluorescent molecular sensors for cation recognition. Coord. Chem. Rev. 2000, 205, 3–40. [Google Scholar]
- Kim, H.N.; Ren, W.X.; Kim, J.S.; Yoon, J. Fluorescent and colorimetric sensors for detection of lead, cadmium, and mercury ions. Chem. Soc. Rev. 2012, 41, 3210–3244. [Google Scholar]
- Jonaghani, M.Z.; Zali-Boeini, H. Highly selective fluorescent and colorimetric chemosensor for detection of Hg2+ ion in aqueous media. Spectrochim. Acta Part A Mol. Biomol. Spectrosc. 2017, 178, 66–70. [Google Scholar]
- Xu, J.-F.; Chen, H.-H.; Chen, Y.-Z.; Li, Z.-J.; Wu, L.-Z.; Tung, C.-H.; Yang, Q.-Z. A colorimetric and fluorometric dual-modal chemosensor for cyanide in water. Sens. Actuators B Chem. 2012, 168, 14–19. [Google Scholar]
- Upadhyay, S.; Singh, A.; Sinha, R.; Omer, S.; Negi, K. Colorimetric chemosensors for d-metal ions: A review in the past, present and future prospect. J. Mol. Struct. 2019, 1193, 89–102. [Google Scholar]
- Tigreros, A.; Portilla, J. Recent progress in chemosensors based on pyrazole derivatives. RSC Adv. 2020, 10, 19693–19712. [Google Scholar]
- Khan, B.; Hameed, A.; Minhaz, A.; Shah, M.R. Synthesis and characterisation of calix [4] arene based bis (triazole)-bis (hexahydroquinoline): Probing highly selective fluorescence quenching towards mercury (Hg2+) analyte. J. Hazard Mater. 2018, 347, 349–358. [Google Scholar]
- Amendola, V.; Fabbrizzi, L.; Foti, F.; Licchelli, M.; Mangano, C.; Pallavicini, P.; Poggi, A.; Sacchi, D.; Taglietti, A. Light-emitting molecular devices based on transition metals. Coord. Chem. Rev. 2006, 250, 273–299. [Google Scholar]
- Jonaghani, M.Z.; Zali-Boeini, H.; Moradi, H. A coumarin based highly sensitive fluorescent chemosensor for selective detection of zinc ion. Spectrochim. Acta Part A Mol. Biomol. Spectrosc. 2019, 207, 16–22. [Google Scholar]
- Pundi, A.; Chang, C.-J. Recent developments in the preparation, characterization, and applications of chemosensors for environmental pollutants detection. J. Environ. Chem. Eng. 2023, 11, 110346. [Google Scholar]
- Liu, S.; Wang, Y.-M.; Han, J. Fluorescent chemosensors for copper (II) ion: Structure, mechanism and application. J. Photochem. Photobiol. C Photochem. Rev. 2017, 32, 78–103. [Google Scholar]
- Bargossi, C.; Fiorini, M.C.; Montalti, M.; Prodi, L.; Zaccheroni, N. Recent developments in transition metal ion detection by luminescent chemosensors. Coord. Chem. Rev. 2000, 208, 17–32. [Google Scholar]
- Chong, S.Y. Performance of the Ortho, Meta and Para Electron-Donating Bearing Symmetrical Benzoylthuourea Act as Chemosensor for Heavy Metal Ion Detection; Tunku Abdul Rahman University of Management and Technology: Kuala Lumpur, Malaysia, 2023. [Google Scholar]
- Alharbi, K.H. A review on organic colorimetric and fluorescent chemosensors for the detection of Zn (II) ions. Crit. Rev. Anal. Chem. 2022, 53, 1472–1488. [Google Scholar]
- Keleş, E.; Aydıner, B.; Nural, Y.; Seferoğlu, N.; Şahin, E.; Seferoğlu, Z. A new mechanism for selective recognition of cyanide in organic and aqueous solution. Eur. J. Org. Chem. 2020, 2020, 4681–4692. [Google Scholar]
- Zhu, F.-L.; Yang, L.; Wang, Y.-H.; Tan, H.H. Preparation of Doped Carbon Quantum Dots and Its Application in Detection of Heavy Metal Ions. Chin. J. Anal. Chem. 2023, 51, 22–33. [Google Scholar]
- Iftikhar, R.; Parveen, I.; Mazhar, A.; Iqbal, M.S.; Kamal, G.M.; Hafeez, F.; Ling, P.A.; Ahmadipour, M. Small organic molecules as fluorescent sensors for the detection of highly toxic heavy metal cations in portable water. J. Environ. Chem. Eng. 2022, 11, 109030. [Google Scholar]
- Mahajan, P.G.; Dige, N.C.; Vanjare, B.D.; Kamaraj, E.; Seo, S.-Y.; Lee, K.H. Nano molar level chromogenic and fluorogenic sensing of heavy metal ions using multi-responsive novel Schiff base as a dual mode chemosensor. J. Photochem. Photobiol. A Chem. 2019, 385, 112089. [Google Scholar]
- Guo, S.; Fan, C.; Liu, G.; Pu, S. A colorimetric and fluorescent chemosensor for Hg2+ based on a photochromic diarylethene with a quinoline unit. RSC Adv. 2018, 8, 39854–39864. [Google Scholar] [PubMed]
- Xu, D.; Jia, H.; Niu, Y.; Yin, S. Fluorine-boron compound-based fluorescent chemosensors for heavy metal ion detection. Dye. Pigment. 2022, 200, 110185. [Google Scholar]
- Dos Santos, C.H.; Uchiyama, N.M.; Bagatin, I.A. Selective azo dye-based colorimetric chemosensor for F−, CH3COO− and PO43−. Spectrochim. Acta Part A Mol. Biomol. Spectrosc. 2019, 210, 355–361. [Google Scholar]
- Yu, M.; Liu, B.; Guo, J.; Wu, F. A sustainable modificatory 1, 2-alternate thiacalix [4] arene for detection of silver ion. Dye. Pigment. 2023, 210, 110983. [Google Scholar]
- Asiri, A.M.; Al-Ghamdi, N.S.M.; Dzudzevic-Cancar, H.; Kumar, P.; Khan, S.A. Physicochemical and Photophysical investigation of newly synthesized carbazole containing pyrazoline-benzothiazole as fluorescent chemosensor for the detection of Cu2+, Fe3+ & Fe2+ metal ion. J. Mol. Struct. 2019, 1195, 670–680. [Google Scholar]
- Li, M.; Fang, H.; Ji, Y.; Chen, Y.; He, W.; Guo, Z. Rational Design of Ratiometric Fe3+ Fluorescent Probes Based on FRET Mechanism. Chem. Res. Chin. Univ. 2022, 38, 67–74. [Google Scholar]
- Lu, S.-Q.; Liu, Y.-Y.; Duan, Z.-M.; Wang, Z.-X.; Li, M.-X.; He, X. Improving water-stability and porosity of lanthanide metal–organic frameworks by stepwise synthesis for sensing and removal of heavy metal ions. Cryst. Growth Des. 2018, 18, 4602–4610. [Google Scholar]
- Wang, J.; Chu, S.; Kong, F.; Luo, L.; Wang, Y.; Zou, Z. Designing a smart fluorescence chemosensor within the tailored channel of mesoporous material for sensitively monitoring toxic heavy metal ions Pb (II). Sens. Actuators B Chem. 2010, 150, 25–35. [Google Scholar]
- Algethami, J.S. A Review on Recent Progress in Organic Fluorimetric and Colorimetric Chemosensors for the Detection of Cr3+/6+ Ions. Crit. Rev. Anal. Chem. 2022, 54, 487–507. [Google Scholar]
- Yang, H.; Qi, D.; Chen, Z.; Cao, M.; Deng, Y.; Liu, Z.; Shao, C.; Yang, L. A Zn-based metal–organic framework as bifunctional chemosensor for the detection of nitrobenzene and Fe3+. J. Solid State Chem. 2021, 296, 121970. [Google Scholar]
- Vanjare, B.D.; Mahajan, P.G.; Ryoo, H.-I.; Dige, N.C.; Choi, N.G.; Han, Y.; Kim, S.J.; Kim, C.-H.; Lee, K.H. Novel rhodamine based chemosensor for detection of Hg2+: Nanomolar detection, real water sample analysis, and intracellular cell imaging. Sens. Actuators B Chem. 2021, 330, 129308. [Google Scholar]
- Hu, Y.; Yin, J.; Yoon, J. A multi-responsive cyanine-based colorimetric chemosensor containing dipicolylamine moieties for the detection of Zn (II) and Cu (II) ions. Sens. Actuators B Chem. 2016, 230, 40–45. [Google Scholar]
- Mohammadi, A.; Yaghoubi, S. A new dual colorimetric chemosensor based on quinazolinone for CN−, AcO− and Cu2+ ions. Sens. Actuators B Chem. 2017, 241, 1069–1075. [Google Scholar]
- Zhou, Y.; You, X.-Y.; Fang, Y.; Li, J.-Y.; Liu, K.; Yao, C. A thiophen-thiooxorhodamine conjugate fluorescent probe for detecting mercury in aqueous media and living cells. Org. Biomol. Chem. 2010, 8, 4819–4822. [Google Scholar] [PubMed]
- Al-Saidi, H.M.; Khan, S. A review on organic fluorimetric and colorimetric chemosensors for the detection of Ag (I) ions. Crit. Rev. Anal. Chem. 2022, 54, 1810–1836. [Google Scholar]
- Aslam, S.; Kousar, I.; Rani, S.; Zainab, I.; Bristy, S.; Skouta, R. Modern Approaches in Organic Chromofluorescent Sensor Synthesis for the Detection of Considered First-Row Transition Metal Ions. Molecules 2025, 30, 1263. [Google Scholar] [CrossRef]
- Darwish, N.B.; Kurdi, A.; Alshihri, S.; Tabbakh, T. Organic heterocyclic-based colorimetric and fluorimetric chemosensors for the detection of different analytes: A review (from 2015 to 2022). Mater. Today Chem. 2023, 27, 101347. [Google Scholar]
- Jo, T.G.; Na, Y.J.; Lee, J.J.; Lee, M.M.; Lee, S.Y.; Kim, C. A multifunctional colorimetric chemosensor for cyanide and copper (II) ions. Sens. Actuators B Chem. 2015, 211, 498–506. [Google Scholar]
- Yang, M.; Chae, J.B.; Kim, C.; Harrison, R.G. A visible chemosensor based on carbohydrazide for Fe (II), Co (II) and Cu (II) in aqueous solution. Photochem. Photobiol. Sci. 2019, 18, 1249–1258. [Google Scholar]
- Hu, J.-H.; Li, J.-B.; Qi, J.; Sun, Y. Acylhydrazone based fluorescent chemosensor for zinc in aqueous solution with high selectivity and sensitivity. Sens. Actuators B Chem. 2015, 208, 581–587. [Google Scholar]
- Han, F.; Bao, Y.; Yang, Z.; Fyles, T.M.; Zhao, J.; Peng, X.; Fan, J.; Wu, Y.; Sun, S. Simple bisthiocarbonohydrazones as sensitive, selective, colorimetric, and switch-on fluorescent chemosensors for fluoride anions. Chem. Eur. J. 2007, 13, 2880–2892. [Google Scholar]
- Chen, Y.; Wu, L.; Chen, Y.; Bi, N.; Zheng, X.; Qi, H.; Qin, M.; Liao, X.; Zhang, H.; Tian, Y. Determination of mercury (II) by surface-enhanced Raman scattering spectroscopy based on thiol-functionalized silver nanoparticles. Microchim. Acta 2012, 177, 341–348. [Google Scholar]
- Bhaskar, R.; Sarveswari, S. Thiocarbohydrazide based Schiff Base as a Selective Colorimetric and Fluorescent Chemosensor for Hg2+ with “Turn-Off” Fluorescence Responses. Chem. Sel. 2020, 5, 4050–4057. [Google Scholar]
- Aliberti, A.; Vaiano, P.; Caporale, A.; Consales, M.; Ruvo, M.; Cusano, A. Fluorescent chemosensors for Hg2+ detection in aqueous environment. Sens. Actuators B Chem. 2017, 247, 727–735. [Google Scholar]
- Jia, H.; Yang, M.; Meng, Q.; He, G.; Wang, Y.; Hu, Z.; Zhang, R.; Zhang, Z. Synthesis and application of an aldazine-based fluorescence chemosensor for the sequential detection of Cu2+ and biological thiols in aqueous solution and living cells. Sensors 2016, 16, 79. [Google Scholar] [CrossRef]
- Matesanz, A.I.; Cuadrado, I.; Pastor, C.; Souza, P. A Novel Sulfur-bridged Dimeric Zinc (II) Complex with 2, 6-Diacetylpyridine Bis (thiosemicarbazone). Z. Anorg. Allg. Chem. 2005, 631, 780–784. [Google Scholar]
- Kaur, K.; Saini, R.; Kumar, A.; Luxami, V.; Kaur, N.; Singh, P.; Kumar, S. Chemodosimeters: An approach for detection and estimation of biologically and medically relevant metal ions, anions and thiols. Coord. Chem. Rev. 2012, 256, 1992–2028. [Google Scholar]
- Casas, J.S.; Castellano, E.E.; Ellena, J.; García-Tasende, M.S.; Sánchez, A.; Sordo, J.; Vázquez-López, E.M.; Vidarte, M.J. Synthesis, Spectroscopic and Structural Aspects of Mono-and Diorganothallium (III) Complexes of 2,6-Diacetylpyridine Bis (thiosemicarbazone)(H2DAPTSC)—A New Coordination Mode of the HDAPTSC—Anion. Z. Anorg. Allg. Chem. 2003, 629, 261–267. [Google Scholar]
- Paswan, S.; Bharty, M.; Bharati, P.; Sonkar, P.K.; Ganesan, V.; Butcher, R. Square planar Ni (ii) complexes of acetone N 4-phenyl-thiosemicarbazone and in situ generated benzoyl thiosemicarbazide ligands: Synthesis, spectral and structural characterizations, thermal behaviour and electrochemical studies. New J. Chem. 2017, 41, 15466–15474. [Google Scholar]
- Kumar, A.; Kumar, D.; Chhibber, M. Determination of Mercury ions in Aqueous Medium and urine sample using Thiocarbohydrazide based Sensor. ChemistrySelect 2020, 5, 13738–13747. [Google Scholar]
- Ren, W.; Zhu, C.; Wang, E. Enhanced sensitivity of a direct SERS technique for Hg2+ detection based on the investigation of the interaction between silver nanoparticles and mercury ions. Nanoscale 2012, 4, 5902–5909. [Google Scholar]
- Fang, Y.; Li, X.; Li, J.-Y.; Wang, G.-Y.; Zhou, Y.; Xu, N.-Z.; Hu, Y.; Yao, C. Thiooxo-Rhodamine B hydrazone derivatives bearing bithiophene group as fluorescent chemosensors for detecting mercury (II) in aqueous media and living HeLa cells. Sens. Actuators B Chem. 2018, 255, 1182–1190. [Google Scholar]
- Sharma, S.; Dubey, G.; Sran, B.S.; Bharatam, P.V.; Hundal, G. Fabrication of a Hydrazone-based Al (III)-selective “turn-on” fluorescent chemosensor and ensuing potential recognition of picric acid. ACS Omega 2019, 4, 18520–18529. [Google Scholar]
- Pothulapadu, C.A.S.; Jayaraj, A.N.S.; Priyanka, R.N.; Sivaraman, G. Novel benzothiazole-based highly selective ratiometric fluorescent turn-on sensors for Zn2+ and colorimetric chemosensors for Zn2+, Cu2+, and Ni2+ ions. ACS Omega 2021, 6, 24473–24483. [Google Scholar] [CrossRef] [PubMed]
- Maiti, K.; Mahapatra, A.K.; Gangopadhyay, A.; Maji, R.; Mondal, S.; Ali, S.S.; Das, S.; Sarkar, R.; Datta, P.; Mandal, D. Simple bisthiocarbonohydrazone as a sensitive, selective, colorimetric, and ratiometric fluorescent chemosensor for picric acids. ACS Omega 2017, 2, 1583–1593. [Google Scholar] [CrossRef]
- Wang, L.; Zheng, B.; Zhao, Y.; Du, J.; Xiao, D. A Hg2+ selective fluorescent chemosensor based on rhodamine B thiohydrazide and its application in bioimaging. Anal. Methods 2012, 4, 2369–2374. [Google Scholar] [CrossRef]
- Liu, Y.; Yang, L.; Li, L.; Liang, X.; Li, S.; Fu, Y. A dual thiourea-appended perylenebisimide “turn-on” fluorescent chemosensor with high selectivity and sensitivity for Hg2+ in living cells. Spectrochim. Acta Part A Mol. Biomol. Spectrosc. 2020, 241, 118678. [Google Scholar] [CrossRef] [PubMed]
- Anbazhagan, R.; Sankaran, K. Design, synthesis, computational calculation and biological evaluation of some novel 2-thiazolyl hydrazones. Spectrochim. Acta Part A Mol. Biomol. Spectrosc. 2015, 135, 984–993. [Google Scholar] [CrossRef]
- Popiołek, Ł.; Biernasiuk, A. Synthesis and investigation of antimicrobial activities of nitrofurazone analogues containing hydrazide-hydrazone moiety. Saudi Pharm. J. 2017, 25, 1097–1102. [Google Scholar] [CrossRef]
- Gajendhiran, R.; Raees Ahmed, A.K.; Mithra, S.; Abdul Majeed, S.; Sahul Hameed, A.S.; Muthu, K.; Sarathkumar, S.; Nehru, S.; Rahiman, A.K. Carbohydrazone/Thiocarbohydrazone-Based Dual-Responsive Probes for Highly Selective Detection of Cu2+/Fe3+ Cations and F−/ClO4− Anions, and Their Application in Bioimaging of Live Cells and Zebrafish Larvae. ACS Omega 2024, 52, 50957–50977. [Google Scholar] [CrossRef]
- Yang, L.; Zhu, W.; Fang, M.; Zhang, Q.; Li, C. A new carbazole-based Schiff-base as fluorescent chemosensor for selective detection of Fe3+ and Cu2+. Spectrochim. Acta Part A Mol. Biomol. Spectrosc. 2013, 109, 186–192. [Google Scholar] [CrossRef]
- Moussa, Z.; Al-Mamary, M.; Al-Juhani, S.; Ahmed, S.A. Preparation and biological assessment of some aromatic hydrazones derived from hydrazides of phenolic acids and aromatic aldehydes. Heliyon 2020, 6, e05019. [Google Scholar] [CrossRef]
- Popiołek, Ł. Hydrazide–hydrazones as potential antimicrobial agents: Overview of the literature since 2010. Med. Chem. Res. 2017, 26, 287–301. [Google Scholar] [CrossRef]
- Kumari, N.; Singh, S.; Baral, M.; Kanungo, B. Schiff bases: A versatile fluorescence probe in sensing cations. J. Fluoresc. 2023, 33, 859–893. [Google Scholar] [CrossRef] [PubMed]
- Tamizhselvi, R.; Bhaskar, R.; Beena, M.; Palaniappan, A.; Kumar, S.A.; Napoleon, A.A. A dual responsive bis-thiophene affixed thiosemicarbazide based chemosensor for colorimetrically Hg2+ and fluorometrically Cu2+ ions and their applications in live cell imaging. Spectrochim. Acta Part A Mol. Biomol. Spectrosc. 2024, 322, 124766. [Google Scholar] [CrossRef]
- Santhiya, K.; Mathivanan, M.; Tharmalingam, B.; Anitha, O.; Ghorai, S.; Natarajan, R.; Murugesapandian, B. A new 7-(diethylamino) coumarin and 4-(diethylamino) phenol appended unsymmetrical thiocarbohydrazone: Detection of moisture in organic solvent and sequential fluorimetric detection of Cu2+ ions and cysteine. J. Photochem. Photobiol. A Chem. 2022, 432, 114105. [Google Scholar] [CrossRef]
- Duval, C.; Xuong, N.D. Emploi des thiocarbohydrazones en analyse organique fonctionelle. Microchim. Acta 1956, 44, 747–749. [Google Scholar] [CrossRef]
- Duval, C.; Xuong, N.D. Analyse organique fonctionnelle: Analyse thermogravimétrique des dinitro-2,4 phénylhydrazones. Anal. Chim. Acta 1954, 10, 520–522. [Google Scholar] [CrossRef]
- Esteban-Gómez, D.; Fabbrizzi, L.; Licchelli, M. Why, on interaction of urea-based receptors with fluoride, beautiful colors develop. J. Org. Chem. 2005, 70, 5717–5720. [Google Scholar] [CrossRef]
- Albert, A. The affinity of Iso nicotinic hydrazide for metals. Experientia 1953, 9, 370. [Google Scholar] [CrossRef]
- Rosales, D.; Gonzalez, G.; Ariza, J.L.G. Asymmetric derivatives of carbohydrazide and thiocarbohydrazide as analytical reagents. Talanta 1985, 32, 467–474. [Google Scholar] [CrossRef]
- Sigel, H.; McCormick, D.B. Discriminating behavior of metal ions and ligands with regard to their biological significance. Acc. Chem. Res. 1970, 3, 201–208. [Google Scholar] [CrossRef]
- Krivis, A.; Supp, G.; Doerr, R. Polarographic Study of Some Hydrazide Complexes of Cadmium. Anal. Chem. 1965, 37, 52–54. [Google Scholar] [CrossRef]
- Kurzer, F.; Wilkinson, M. Chemistry of carbohydrazide and thiocarbohydrazide. Chem. Rev. 1970, 70, 111–149. [Google Scholar] [CrossRef] [PubMed]
- Momidi, B.K.; Tekuri, V.; Trivedi, D.R. Multi-signaling thiocarbohydrazide based colorimetric sensors for the selective recognition of heavy metal ions in an aqueous medium. Spectrochim. Acta Part A Mol. Biomol. Spectrosc. 2017, 180, 175–182. [Google Scholar] [CrossRef] [PubMed]
- Uahengo, V.; Zhang, Y.; Xiong, B.; Zhao, P.; Cai, P.; Rhyman, L.; Ramasami, P.; Hu, K.; Cheng, G. A Fluoro-Chromogenic Sensor Based on Organic Molecular Framework for Cu2+ and F− in Aqueous Soluble DMSO. J. Fluoresc. 2017, 27, 191–197. [Google Scholar] [CrossRef]
- Shao, J.; Qiao, Y.; Lin, H.; Lin, H. A C3-symmetric colorimetric anion sensor bearing hydrazone groups as binding sites. Spectrochim. Acta Part A Mol. Biomol. Spectrosc. 2009, 71, 1736–1740. [Google Scholar] [CrossRef] [PubMed]
- Tekuri, V. Design, Synthesis and Characterization of Chemosensors for Determination of Heavy Metal Ions. Ph.D. Thesis, National Institute of Technology Karnataka, Mangaluru, India, 2020. [Google Scholar]
- De Silva, A.P.; Gunaratne, H.N.; Gunnlaugsson, T.; Huxley, A.J.; McCoy, C.P.; Rademacher, J.T.; Rice, T.E. Signaling recognition events with fluorescent sensors and switches. Chem. Rev. 1997, 97, 1515–1566. [Google Scholar] [CrossRef]
- HeeáLee, M.; SeungáKim, J. Small molecule-based ratiometric fluorescence probes for cations, anions, and biomolecules. Chem. Soc. Rev. 2015, 44, 4185–4191. [Google Scholar]
- Nolan, E.M.; Lippard, S.J. Tools and tactics for the optical detection of mercuric ion. Chem. Rev. 2008, 108, 3443–3480. [Google Scholar] [PubMed]
- Coskun, A.; Yilmaz, M.D.; Akkaya, E.U. Bis (2-pyridyl)-substituted boratriazaindacene as an NIR-emitting chemosensor for Hg (II). Org. Lett. 2007, 9, 607–609. [Google Scholar] [CrossRef]
- Chen, P.; He, C. A general strategy to convert the MerR family proteins into highly sensitive and selective fluorescent biosensors for metal ions. J. Am. Chem. Soc. 2004, 126, 728–729. [Google Scholar] [CrossRef]
- Bhalla, V.; Tejpal, R.; Kumar, M.; Sethi, A. Terphenyl derivatives as “turn on” fluorescent sensors for mercury. Inorg. Chem. 2009, 48, 11677–11684. [Google Scholar] [CrossRef]
- Lee, M.H.; Kang, G.; Kim, J.W.; Ham, S.; Kim, J.S. Tren-spaced rhodamine and pyrene fluorophores: Excimer modulation with metal ion complexation. Supramol. Chem. 2009, 21, 135–141. [Google Scholar]
- Kumar, M.; Kumar, N.; Bhalla, V.; Singh, H.; Sharma, P.R.; Kaur, T. Naphthalimide appended rhodamine derivative: Through bond energy transfer for sensing of Hg2+ ions. Org. Lett. 2011, 13, 1422–1425. [Google Scholar] [PubMed]
- Li, C.-Y.; Zhang, X.-B.; Qiao, L.; Zhao, Y.; He, C.-M.; Huan, S.-Y.; Lu, L.-M.; Jian, L.-X.; Shen, G.-L.; Yu, R.-Q. Naphthalimide-porphyrin hybrid based ratiometric bioimaging probe for Hg2+: Well-resolved emission spectra and unique specificity. Anal. Chem. 2009, 81, 9993–10001. [Google Scholar]
- Ni, X.-L.; Wu, Y.; Redshaw, C.; Yamato, T. Direct evidence of a blocking heavy atom effect on the water-assisted fluorescence enhancement detection of Hg2+ based on a ratiometric chemosensor. Dalt. Trans. 2014, 43, 12633–12638. [Google Scholar]
- Hatai, J.; Pal, S.; Jose, G.P.; Bandyopadhyay, S. Histidine based fluorescence sensor detects Hg2+ in solution, paper strips, and in cells. Inorg. Chem. 2012, 51, 10129–10135. [Google Scholar] [PubMed]
- Suresh, M.; Mandal, A.K.; Saha, S.; Suresh, E.; Mandoli, A.; Di Liddo, R.; Parnigotto, P.P.; Das, A. Azine-based receptor for recognition of Hg2+ ion: Crystallographic evidence and imaging application in live cells. Org. Lett. 2010, 12, 5406–5409. [Google Scholar] [CrossRef]
- Srivastava, P.; Razi, S.S.; Ali, R.; Gupta, R.C.; Yadav, S.S.; Narayan, G.; Misra, A. Selective naked-eye detection of Hg2+ through an efficient turn-on photoinduced electron transfer fluorescent probe and its real applications. Anal. Chem. 2014, 86, 8693–8699. [Google Scholar]
- Shellaiah, M.; Rajan, Y.C.; Balu, P.; Murugan, A. A pyrene based Schiff base probe for selective fluorescence turn-on detection of Hg2+ ions with live cell application. New J. Chem. 2015, 39, 2523–2531. [Google Scholar]
- Yu, S.-Y.; Wu, S.-P. A highly selective turn-on fluorescence chemosensor for Hg (II) and its application in living cell imaging. Sens. Actuators B Chem. 2014, 201, 25–30. [Google Scholar]
- Chen, C.; Wang, R.; Guo, L.; Fu, N.; Dong, H.; Yuan, Y. A squaraine-based colorimetric and “turn on” fluorescent sensor for selective detection of Hg2+ in an aqueous medium. Org. Lett. 2011, 13, 1162–1165. [Google Scholar]
- Neupane, L.N.; Oh, E.-T.; Park, H.J.; Lee, K.-H. Selective and sensitive detection of heavy metal ions in 100% aqueous solution and cells with a fluorescence chemosensor based on peptide using aggregation-induced emission. Anal. Chem. 2016, 88, 3333–3340. [Google Scholar] [PubMed]
- Fields, G.B.; Noble, R.L. Solid phase peptide synthesis utilizing 9-fluorenylmethoxycarbonyl amino acids. Int. J. Pept. Protein Res. 1990, 35, 161–214. [Google Scholar]
- Hosseinjani-Pirdehi, H.; Mahmoodi, N.O.; Nadamani, M.P.; Taheri, A. Novel synthesized azo-benzylidene-thiourea as dual naked-eye chemosensor for selective detection of Hg2+ and CN¯ ions. J. Photochem. Photobiol. A Chem. 2020, 391, 112365. [Google Scholar]
- Mishra, J.; Kaur, H.; Ganguli, A.K.; Kaur, N. Fluorescent chemosensor based on urea/thiourea moiety for sensing of Hg (II) ions in an aqueous medium with high sensitivity and selectivity: A comparative account on effect of molecular architecture on chemosensing. J. Mol. Struct. 2018, 1161, 34–43. [Google Scholar]
- Singh, H.; Bhargava, G.; Kumar, S.; Singh, P. Microstructural (self-assembly) and optical based discrimination of Hg2+, CN− and Hg(CN)2 ion-pair; Hg2+ promoted-ESIPT assisted guanylation of thiourea. Sens. Actuators B Chem. 2018, 272, 43–52. [Google Scholar]
- Zhang, Z.; Lu, S.; Sha, C.; Xu, D. A single thiourea-appended 1, 8-naphthalimide chemosensor for three heavy metal ions: Fe3+, Pb2+, and Hg2+. Sens. Actuators B Chem. 2015, 208, 258–266. [Google Scholar] [CrossRef]
- Govindasamy, V.; Perumal, S.; Sekar, I.; Madheswaran, B.; Karuppannan, S.; Kuppannan, S.B. Phenothiazine-thiophene hydrazide dyad: An efficient “on-off” chemosensor for highly selective and sensitive detection of Hg2+ ions. J. Fluoresc. 2021, 31, 667–674. [Google Scholar]
- Jang, S.; Thirupathi, P.; Neupane, L.N.; Seong, J.; Lee, H.; Lee, W.I.; Lee, K.-H. Highly sensitive ratiometric fluorescent chemosensor for silver ion and silver nanoparticles in aqueous solution. Org. Lett. 2012, 14, 4746–4749. [Google Scholar]
- Abu-Taweel, G.M.; Alharthi, S.S.; Al-Saidi, H.M.; Babalghith, A.O.; Ibrahim, M.M.; Khan, S. Heterocyclic Organic Compounds as a Fluorescent Chemosensor for Cell Imaging Applications: A Review. Crit. Rev. Anal. Chem. 2023, 54, 2538–2553. [Google Scholar]
- Cui, W.; Wang, L.; Xiang, G.; Zhou, L.; An, X.; Cao, D. A colorimetric and fluorescence “turn-off” chemosensor for the detection of silver ion based on a conjugated polymer containing 2, 3-di (pyridin-2-yl) quinoxaline. Sens. Actuators B Chem. 2015, 207, 281–290. [Google Scholar]
- Arulraj, A.D.; Devasenathipathy, R.; Chen, S.-M.; Vasantha, V.S.; Wang, S.-F. Highly selective and sensitive fluorescent chemosensor for femtomolar detection of silver ion in aqueous medium. Sens. Bio-Sens. Res. 2015, 6, 19–24. [Google Scholar]
- Velmurugan, K.; Suresh, S.; Santhoshkumar, S.; Saranya, M.; Nandhakumar, R. A simple Chalcone-based ratiometric chemosensor for silver ion. Luminescence 2016, 31, 722–727. [Google Scholar] [CrossRef] [PubMed]
- Annaraj, B.; Neelakantan, M. Water-soluble pyridine-based colorimetric chemosensor for naked eye detection of silver ions: Design, synthesis, spectral and theoretical investigation. Anal. Methods 2014, 6, 9610–9615. [Google Scholar]
- Hussein, M.A.; Alamry, K.A.; Alsulami, Q.A.; Elshehy, E.A.; El-Said, W.A. Design and synthesis of a combined meso-adsorbent/chemo-sensor for extraction and detection of silver ions. Spectrochim. Acta Part. A Mol. Biomol. Spectrosc. 2022, 272, 120938. [Google Scholar]
- Hao, L.; Jiang, Z.; Wang, J.; Shen, D. Preparation of pyridine Schiff base functionalized mesoporous channels and its exploration as fluorescent detection of silver ions in aqueous medium. J. Porous Mater. 2023, 30, 351–361. [Google Scholar]
- Ziarani, G.M.; Moradi, R.; Mohajer, F.; Badiei, A. 2-Chloroquinoline-3-carbaldehyde modified nanoporous SBA-15-propylamine (SBA-Pr-NCQ) as a selective and sensitive Ag+ ion sensor in aqueous media. J. Phys. Chem. Solids 2022, 161, 110399. [Google Scholar]
- Jamasbi, N.; Mohammadi Ziarani, G.; Mohajer, F.; Badiei, A. Highly silver-selective fluorescent sensor based on functionalized nanoporous silica (SBA-Pr-NMP) in aqueous media. Res. Chem. Intermed. 2022, 48, 3957–3969. [Google Scholar]
- Hemmati Tirabadi, F.; Hajiaghababaei, L.; Tehrani, R.M.; Badiei, A.; Mollahosseini, A. Trithiocyanuric acid-functionalized nanoporous silica: Synthesis and application as an Ag+ selective optical probe. Chem. Pap. 2022, 76, 6629–6637. [Google Scholar]
- Celestina, S.K.; Sundaram, K.; Ravi, S. Novel Derivatives of Rhodanine-3-Hippuric Acid as Active Inhibitors of Aldose Reductase: Synthesis, Biological Evaluation, and Molecular Docking Analysis. Russ. J. Bioorg. Chem. 2019, 45, 405–415. [Google Scholar]
- David, C.I.; Prabakaran, G.; Sundaram, K.; Ravi, S.; Abiram, A.; Nandhakumar, R. Rhodanine-based fluorometric sequential monitoring of silver (I) and iodide ions: Experiment, DFT calculation and multifarious applications. J. Hazard Mater. 2021, 419, 126449. [Google Scholar]
- Wang, H.; Xue, L.; Jiang, H. Ratiometric fluorescent sensor for silver ion and its resultant complex for iodide anion in aqueous solution. Org. Lett. 2011, 13, 3844–3847. [Google Scholar] [CrossRef] [PubMed]
- Lee, S.Y.; Bok, K.H.; Kim, C. A fluorescence “turn-on” chemosensor for Hg2+ and Ag+ based on NBD (7-nitrobenzo-2-oxa-1,3-diazolyl). RSC Adv. 2017, 7, 290–299. [Google Scholar] [CrossRef]
- Seo, Y.; Park, S.; Kim, G.; Lee, M.; Kim, C. A naphthyl thiourea-based effective chemosensor for fluorescence detection of Ag+ and Zn2+. Luminescence 2021, 36, 1725–1732. [Google Scholar] [CrossRef]
- Lai, Q.; Liu, Q.; He, Y.; Zhao, K.; Wei, C.; Wojtas, L.; Shi, X.; Song, Z. Triazole-imidazole (TA-IM) derivatives as ultrafast fluorescent probes for selective Ag+ detection. Org. Biomol. Chem. 2018, 16, 7801–7805. [Google Scholar] [CrossRef]
- Inal, E. A fluorescent chemosensor based on schiff base for the determination of Zn2+, Cd2+ and Hg2+. J. Fluoresc. 2020, 30, 891–900. [Google Scholar] [CrossRef]
- Mohanasundaram, D.; Bhaskar, R.; Kumar, G.G.V.; Rajesh, J.; Rajagopal, G. A quinoline based Schiff base as a turn-on fluorescence chemosensor for selective and robust detection of Cd2+ ion in semi-aqueous medium. Microchem. J. 2021, 164, 106030. [Google Scholar] [CrossRef]
- Purkait, R.; Dey, S.; Sinhaa, C. A multi-analyte responsive chemosensor vanilinyl Schiff base: Fluorogenic sensing of Zn (ii), Cd (ii) and I−. New J. Chem. 2018, 42, 16653–16665. [Google Scholar] [CrossRef]
- Ding, X.; Zhang, F.; Bai, Y.; Zhao, J.; Chen, X.; Ge, M.; Sun, W. Quinoline-based highly selective and sensitive fluorescent probe specific for Cd2+ detection in mixed aqueous media. Tetrahedron Lett. 2017, 58, 3868–3874. [Google Scholar] [CrossRef]
- Fan, L.; Zhao, D.; Li, B.; Chen, X.; Wang, F.; Deng, Y.; Niu, Y.; Zhang, X. An exceptionally stable luminescent cadmium (ii) metal–organic framework as a dual-functional chemosensor for detecting Cr (vi) anions and nitro-containing antibiotics in aqueous media. CrystEngComm 2021, 23, 1218–1225. [Google Scholar] [CrossRef]
- Salek Maghsoudi, A.; Hassani, S.; Mirnia, K.; Abdollahi, M. Recent advances in nanotechnology-based biosensors development for detection of arsenic, lead, mercury, and cadmium. Int. J. Nanomed. 2021, 16, 803–832. [Google Scholar] [CrossRef]
- Pandey, R.; Kumar, A.; Xu, Q.; Pandey, D.S. Zinc (II), copper (II) and cadmium (II) complexes as fluorescent chemosensors for cations. Dalt. Trans. 2020, 49, 542–568. [Google Scholar]
- Park, S.; Kim, H.-J. Reaction-based chemosensor for the reversible detection of cyanide and cadmium ions. Sens. Actuators B Chem. 2012, 168, 376–380. [Google Scholar] [CrossRef]
- Pham, T.C.; Kim, Y.K.; Park, J.B.; Jeon, S.; Ahn, J.; Yim, Y.; Yoon, J.; Lee, S. A selective colorimetric and fluorometric chemosensor based on conjugated polydiacetylenes for cadmium ion detection. ChemPhotoChem 2019, 3, 1133–1137. [Google Scholar] [CrossRef]
- Wang, P.; Wu, J.; Liu, L.; Zhou, P.; Ge, Y.; Liu, D.; Liu, W.; Tang, Y. A peptide-based fluorescent chemosensor for measuring cadmium ions in aqueous solutions and live cells. Dalt. Trans. 2015, 44, 18057–18064. [Google Scholar]
- Wang, Y.; Hu, X.; Wang, L.; Shang, Z.; Chao, J.; Jin, W. A new acridine derivative as a highly selective ‘off–on’fluorescence chemosensor for Cd2+ in aqueous media. Sens. Actuators B Chem. 2011, 156, 126–131. [Google Scholar]
- Prodi, L.; Bolletta, F.; Montalti, M.; Zaccheroni, N. Luminescent chemosensors for transition metal ions. Coord. Chem. Rev. 2000, 205, 59–83. [Google Scholar]
- Sadia, M.; Khan, J.; Khan, R.; Kamran, A.W.; Zahoor, M.; Ullah, R.; Bari, A.; Ali, E.A. Rapid Detection of Cd2+ Ions in the Aqueous Medium Using a Highly Sensitive and Selective Turn-On Fluorescent Chemosensor. Molecules 2023, 28, 3635. [Google Scholar] [CrossRef] [PubMed]
- Shaji, L.K.; Kumar, R.S.; Jose, J.; Bhaskar, R.; Vetriarasu, V.; Bhat, S.G.; Kumar, S.A. Selective chromogenic and fluorogenic signalling of Hg2+ ions using a benzothiazole-quinolinyl acrylate conjugate and its applications in the environmental water samples and living cells. J. Photochem. Photobiol. A Chem. 2023, 434, 114220. [Google Scholar]
- Wang, S.; Sun, J.; Gao, F. A turn-on near-infrared fluorescent chemosensor for selective detection of lead ions based on a fluorophore–gold nanoparticle assembly. Analyst 2015, 140, 4001–4006. [Google Scholar] [CrossRef]
- Zhang, N.; Wei, B.; Ma, T.; Tian, Y.; Wang, G. A carbazole-grafted covalent organic framework as turn-on fluorescence chemosensor for recognition and detection of Pb2+ ions with high selectivity and sensitivity. J. Mater. Sci. 2021, 56, 11789–11800. [Google Scholar]
- Tayade, K.C.; Kuwar, A.S.; Fegade, U.A.; Sharma, H.; Singh, N.; Patil, U.D.; Attarde, S.B. Design and synthesis of a pyridine based chemosensor: Highly selective fluorescent probe for Pb2+. J. Fluoresc. 2014, 24, 19–26. [Google Scholar] [CrossRef]
- Sharma, V.; Savita, S.; Patra, G.K. A highly sensitive triazole-based perfectly water soluble novel bis-Schiff base reversible fluorescent-colorimetric chemosensor for fast detection of Pb 2+ ions. RSC Adv. 2024, 14, 3289–3303. [Google Scholar] [CrossRef] [PubMed]
- Al-Saidi, H.M. Recent advancements in organic chemosensors for the detection of Pb2+: A review. Chem. Pap. 2023, 77, 4807–4822. [Google Scholar] [CrossRef]
- Karachi, N.; Azadi, O.; Razavi, R.; Tahvili, A.; Parsaee, Z. Combinatorial experimental and DFT theoretical evaluation of a nano novel thio-dicarboxaldehyde based Schiff base supported on a thin polymer film as a chemosensor for Pb2+ detection. J. Photochem. Photobiol. A Chem. 2018, 360, 152–165. [Google Scholar] [CrossRef]
- George, N.; Singh, G.; Singh, R.; Singh, G.; Singh, H.; Kaur, G.; Singh, J. Click modified bis-appended Schiff base 1, 2, 3-triazole chemosensor for detection of Pb (II) ion and computational studies. J. Mol. Struct. 2023, 1288, 135666. [Google Scholar] [CrossRef]
- Azadbakht, R.; Veisi, H.; Mohamadvand, H.; Khanabadi, J. A new fluorescent chemosensor for Pb2+ ions based on naphthalene derivatives. Spectrochim. Acta Part A Mol. Biomol. Spectrosc. 2015, 145, 575–579. [Google Scholar] [CrossRef] [PubMed]
- Kathirvel, R.; Poongodi, M.; Vetriarasu, V.; Vivekanandan, K.; Selvakumar, K.; Al Obaid, S.; Pugazhendhi, A.; Venkatesan, G. Quinoline-quinoline schiff-base as an effective chromogenic, fluorogenic, and smartphone assisted RGB detection of Pb2+ ion in near aqueous medium. Environ. Res. 2024, 250, 118530. [Google Scholar]
- Ghorai, A.; Mondal, J.; Saha, R.; Bhattacharya, S.; Patra, G.K. A highly sensitive reversible fluorescent-colorimetric azino bis-Schiff base sensor for rapid detection of Pb2+ in aqueous media. Anal. Methods 2016, 8, 2032–2040. [Google Scholar] [CrossRef]
- Anbu Durai, W.; Ramu, A.; Dhakshinamoorthy, A. A visual and ratiometric chemosensor using thiophene functionalized hydrazone for the selective sensing of Pb2+ and F− ions. J. Fluoresc. 2021, 31, 465–474. [Google Scholar] [CrossRef]
- Rahimi, H.; Hosseinzadeh, R.; Tajbakhsh, M. A new and efficient pyridine-2,6-dicarboxamide-based fluorescent and colorimetric chemosensor for sensitive and selective recognition of Pb2+ and Cu2+. J. Photochem. Photobiol. A Chem. 2021, 407, 113049. [Google Scholar] [CrossRef]
- Xie, Y.; Li, H.; Liu, X.; Wang, Z.; Lv, H.; Cao, J.; Zhang, C.; Jia, Q.; Han, A. An aqueous fluorescent sensor for Pb2+ based on phenothiazine-polyamide. Spectrochim. Acta Part A Mol. Biomol. Spectrosc. 2018, 201, 193–196. [Google Scholar] [CrossRef] [PubMed]
- Aksuner, N. Development of a new fluorescent sensor based on a triazolo-thiadiazin derivative immobilized in polyvinyl chloride membrane for sensitive detection of lead (II) ions. Sens. Actuators B Chem. 2011, 157, 162–168. [Google Scholar] [CrossRef]
- Çubuk, S.; Taşci, N.; Kahraman, M.V.; Bayramoğlu, G.; Yetimoğlu, E.K. Reusable fluorescent photocrosslinked polymeric sensor for determining lead ions in aqueous media. Spectrochim. Acta Part A Mol. Biomol. Spectrosc. 2016, 159, 106–112. [Google Scholar] [CrossRef]
- Ghorbanian, M.; Asghari, S.; Tajbakhsh, M. A new benzothiazole azo dye colorimetric chemosensor for detecting Pb2+ ion. Spectrochim. Acta Part A Mol. Biomol. Spectrosc. 2023, 296, 122652. [Google Scholar] [CrossRef]
- Jiang, C.; Yang, L.; Li, P.; Liu, Y.; Li, S.; Fu, Y.; Ye, F. A simple and rapid fluorescent approach for Pb2+ determination and application in water samples and living cells. Spectrochim. Acta Part A Mol. Biomol. Spectrosc. 2021, 263, 120168. [Google Scholar] [CrossRef] [PubMed]
- Wu, F.-Y.; Zhang, H.; Xiao, M.; Han, B.-X. A dual colorimetric and fluorescent sensor for lead ion based on naphthalene hydrazone derivative. Spectrochim. Acta Part A Mol. Biomol. Spectrosc. 2013, 109, 221–225. [Google Scholar] [CrossRef] [PubMed]
- Aggarwal, K.; Khurana, J.M. Phenazine containing indeno-furan based colorimetric and “on–off” fluorescent sensor for the detection of Cu2+ and Pb2+. J. Lumin. 2015, 167, 146–155. [Google Scholar] [CrossRef]
- Suguna, S.; Abiram, A.; Kumar, R.S.; Almansour, A.I.; Perumal, K.; Prabhu, J.; Nandhakumar, R. Symmetric and disulfide linked reversible fluorescent organic material: A chemosensor for Pb2+ ion and its applications in real world sample analysis. J. Photochem. Photobiol. A Chem. 2023, 442, 114777. [Google Scholar] [CrossRef]
- Hadi, H.; Bouzid, G.; Nasr, S.; Ghalla, H.; Chaabane, R.B.; Ayachi, S. Design, synthesis, and density functional theory studies of a new selective chemosensor for Pb2+. Heliyon 2023, 9, e20206. [Google Scholar] [CrossRef]
- Bi, J.; Fang, M.; Wang, J.; Xia, S.; Zhang, Y.; Zhang, J.; Vegesna, G.; Zhang, S.; Tanasova, M.; Luo, F.-T. Near-infrared fluorescent probe for sensitive detection of Pb (II) ions in living cells. Inorganica Chim. Acta 2017, 468, 140–145. [Google Scholar] [CrossRef]
- Wenqi, Q.; Yalei, C.; Jieshan, C. Indium and thallium background contents in soils in China. Int. J. Environ. Stud. 1992, 40, 311–315. [Google Scholar] [CrossRef]
- Gallagher, J.; Golduber, R.; Beck, T.; Benkechkache, A.; Tower, J.; Kargar, A.; Hong, H.; Gueorguiev, A.; Lukosi, E. In Neutron imaging with lithium indium diselenide semiconductors. In Proceedings of the 2020 IEEE Nuclear Science Symposium and Medical Imaging Conference (NSS/MIC), Boston, MA, USA, 31 October–7 November 2020; pp. 1–4. [Google Scholar]
- Karve, M.A.; Khopkar, S.M. Solvent extraction separation of indium with quaternary ammonium anion exchanger Aliquat 336S from an ascorbate solution. Anal. Sci. 1992, 8, 77–80. [Google Scholar]
- Qiu, W.; Huang, Y.; Tang, S.; Ji, H.; Tong, Y. Thin-layer indium oxide and cobalt oxyhydroxide cobalt-modified BiVO4 photoanode for solar-assisted water electrolysis. J. Phys. Chem. 2017, 121, 17150–17159. [Google Scholar]
- Dasari, S.G.; Nagaraju, P.; Yelsani, V.; Tirumala, S.; MV, R.R. Nanostructured indium oxide thin films as a room temperature toluene sensor. ACS Omega 2021, 6, 17442–17454. [Google Scholar]
- Hjiri, M.; Dhahri, R.; Omri, K.; El Mir, L.; Leonardi, S.; Donato, N.; Neri, G. Effect of indium doping on ZnO based-gas sensor for CO. Mater. Sci. Semicond. Process. 2014, 27, 319–325. [Google Scholar]
- Mehta, P.K.; Hwang, G.W.; Park, J.; Lee, K.-H. Highly sensitive ratiometric fluorescent detection of indium (III) using fluorescent probe based on phosphoserine as a receptor. Anal. Chem. 2018, 90, 11256–11264. [Google Scholar] [CrossRef]
- Shaji, L.K.; Selvam, P.K.; Bhaskar, R.; Majeed, S.A.; Hameed, A.S.; Kumar, S.A. A dual responsive novel bipyridyl carbohydrazide Schiff base as a colorimetric-fluorescent probe for In 3+ and Al 3+ ions and its potential applications. Sens. Diagn. 2024, 3, 455–467. [Google Scholar]
- Aatif, A.M.; Kumar, R.S.; Joseph, S.; Vetriarasu, V.; Majeed, S.A.; Kumar, S.A. Pyridinecarbohydrazide-based fluorescent chemosensor for In3+ ions and its applications in water samples, live cells, and zebrafish imaging. J. Photochem. Photobiol. A Chem. 2023, 434, 114257. [Google Scholar]
- Kim, C.; Chae, J.B. A highly selective fluorescent chemosensor for detecting indium (III) with a low detection limit and its application. J. Fluoresc. 2018, 28, 1363–1370. [Google Scholar]
- Zhu, S.; Yang, L.; Zhao, Y. Ethyl 3-aminobenzo [b] thiophene-2-carboxylate Derived Ratiometric Schiff Base Fluorescent Sensor for the Recognition of In3+ and Pb2+. J. Fluoresc. 2024, 35, 943–953. [Google Scholar] [CrossRef]
- Liu, Y.; Cui, H.; Wei, K.; Kang, M.; Liu, P.; Yang, X.; Pei, M.; Zhang, G. A new Schiff base derived from 5-(thiophene-2-yl) oxazole as “off-on-off” fluorescence sensor for monitoring indium and ferric ions sequentially and its application. Spectrochim. Acta Part A Mol. Biomol. Spectrosc. 2023, 292, 122376. [Google Scholar] [CrossRef] [PubMed]
- Huerta-José, D.S.; Hernández-Hernández, J.G.; Huerta-Aguilar, C.A.; Thangarasu, P. Novel insight of indium (III) complex of N, N-bis (salicylidene) ethylenediamine as chemo-sensor for selective recognition of HSO4− and hemolytic toxicity (Red Blood Cells) studies: Experimental and theoretical studies. Sens. Actuators B Chem. 2019, 293, 357–365. [Google Scholar] [CrossRef]
- Li, B.; Liu, Z.; Li, L.; Xing, Y.; Liu, Y.; Yang, X.; Pei, M.; Zhang, G. A Schiff base sensor for relay monitoring of In3+ and Fe3+ through “off–on–off” fluorescent signals. New J. Chem. 2021, 45, 6753–6759. [Google Scholar] [CrossRef]
- Lee, M.; Lee, J.J.; Kim, C. Sensitive fluorescent determination of indium (III) by a thiourea–quinoline-based chemosensor. Instrum. Sci. Technol. 2022, 50, 481–495. [Google Scholar] [CrossRef]
- Jayapriya, S.; Ebenazer, A.F.; Sampathkumar, N.; Rajesh, J.; Rajagopal, G. Chromene Carbohydrazide-Schiff Base as a Highly Selective Turn-Off Fluorescence Chemosensor for In3+ Ion and its Application. J. Fluoresc. 2024, 1–12. [Google Scholar] [CrossRef]
- Cho, H.; Chae, J.B.; Kim, C. A thiophene-based blue-fluorescent emitting chemosensor for detecting indium (III) ion. Inorg. Chem. Commun. 2018, 97, 171–175. [Google Scholar] [CrossRef]
- Ryu, K.Y.; Lee, S.Y.; Park, D.Y.; Kim, S.Y.; Kim, C. A novel colorimetric chemosensor for detection of Co2+ and S2− in an aqueous environment. Sens. Actuators B Chem. 2017, 242, 792–800. [Google Scholar] [CrossRef]
- Lee, S.A.; You, G.R.; Choi, Y.W.; Jo, H.Y.; Kim, A.R.; Noh, I.; Kim, S.-J.; Kim, Y.; Kim, C. A new multifunctional Schiff base as a fluorescence sensor for Al3+ and a colorimetric sensor for CN− in aqueous media: An application to bioimaging. Dalt. Trans. 2014, 43, 6650–6659. [Google Scholar] [CrossRef]
- Tang, X.-L.; Peng, X.-H.; Dou, W.; Mao, J.; Zheng, J.-R.; Qin, W.-W.; Liu, W.-S.; Chang, J.; Yao, X.-J. Design of a semirigid molecule as a selective fluorescent chemosensor for recognition of Cd (II). Org. Lett. 2008, 10, 3653–3656. [Google Scholar] [CrossRef]
- Chua, M.H.; Hui, B.; Chin, K.L.O.; Zhu, Q.; Liu, X.; Xu, J. Recent Advances in Aggregation-Induced Emission (AIE)-Based Chemosensors for the Detection of Organic Small Molecules. Mater. Chem. Front. 2023, 7, 5561–5660. [Google Scholar] [CrossRef]
- Chua, M.H.; Zhou, H.; Zhu, Q.; Tang, B.Z.; Xu, J.W. Recent advances in cation sensing using aggregation-induced emission. Mater. Chem. Front. 2021, 5, 659–708. [Google Scholar]
- Wu, J.; Liu, W.; Ge, J.; Zhang, H.; Wang, P. New sensing mechanisms for design of fluorescent chemosensors emerging in recent years. Chem. Soc. Rev. 2011, 40, 3483–3495. [Google Scholar] [CrossRef]
- Zhang, Y.; Li, D.; Li, Y.; Yu, J. Solvatochromic AIE luminogens as supersensitive water detectors in organic solvents and highly efficient cyanide chemosensors in water. Chem. Sci. 2014, 5, 2710–2716. [Google Scholar]
- Majeed, S.; Waseem, M.T.; Khan, G.S.; Junaid, H.M.; Imran, M.; Nawazish, S.; Khan, T.A.; Mahmood, T.; Shahzad, S.A. Development of AIEE active fluorescent and colorimetric probe for the solid, solution, and vapor phase detection of cyanide: Smartphone and food applications. Analyst 2022, 147, 3885–3893. [Google Scholar] [CrossRef]
- Jiang, S.; Chen, S.; Wang, Z.; Guo, H.; Yang, F. First fluorescence sensor for simultaneously detecting three kinds of IIB elements (Zn2+, Cd2+ and Hg2+) based on aggregation-induced emission. Sens. Actuators B Chem. 2020, 308, 127734. [Google Scholar] [CrossRef]
- Ding, Y.; Zhao, C.; Zhang, P.; Chen, Y.; Xie, J.; Song, W.; Liu, Z.; Liu, G.; Zheng, X. A dual-functional chemosensor based on acylhydrazone derivative for rapid detection of Zn (II) and Mg (II): Spectral properties, recognition mechanism and application studies. Arab. J. Chem. 2023, 16, 104603. [Google Scholar]
- Zhang, S.; Wu, X.; Niu, Q.; Guo, Z.; Li, T.; Liu, H. Highly selective and sensitive colorimetric and fluorescent chemosensor for rapid detection of Ag+, Cu2+ and Hg2+ based on a simple Schiff base. J. Fluoresc. 2017, 27, 729–737. [Google Scholar]
- Khalajiolyaie, A.; Jian, C. Advances in Graphene-Based Materials for Metal Ion Sensing and Wastewater Treatment: A Review. Environments 2025, 12, 43. [Google Scholar] [CrossRef]
- Kumar, A.; Seema, K.; Kumar, A. Sensors and Biosensors for Emerging Contaminants in Industrial Wastewater. In Emerging Contaminants in Water and Wastewater: Sources and Substances; Springer: Berlin/Heidelberg, Germany, 2025; pp. 11–41. [Google Scholar]
- Muhammad, M.; Khan, S.; Al-Saidi, H.M.; Algethami, J.S.; Alhamami, M.A.; Alshareef, M. Novel Thiourea-Based Chemosensor for Ultrasensitive and Selective Detection of Hg2+. J. Fluoresc. 2025, 1–12. [Google Scholar] [CrossRef]
- Abduljawad, M.M.; Hilal, R.H.; El-Sherif, A.A. Synthesis and Characterization of New Schiff Base Complex of Cadmium (II) Nanostructure: Assessing its Capability as a Cadmium Sensor with Low Detection Limits Using QCM-Based Sensing Method. Egypt. J. Chem. 2025, 68, 203–210. [Google Scholar]
- Ali, Y.S.; Shaw, I.; Liu, Y.; Chen, C. Perspective Chapter: Advanced Nanotechnology Approach for Heavy Metal Toxicity–Analysis. In Heavy Metals in the Environment—Contamination, Risk, and Remediation; IntechOpen Limited: London, UK, 2025; Volume 251. [Google Scholar]
Disclaimer/Publisher’s Note: The statements, opinions and data contained in all publications are solely those of the individual author(s) and contributor(s) and not of MDPI and/or the editor(s). MDPI and/or the editor(s) disclaim responsibility for any injury to people or property resulting from any ideas, methods, instructions or products referred to in the content. |
© 2025 by the authors. Licensee MDPI, Basel, Switzerland. This article is an open access article distributed under the terms and conditions of the Creative Commons Attribution (CC BY) license (https://creativecommons.org/licenses/by/4.0/).























