Vitamin C: A Comprehensive Review of Its Role in Health, Disease Prevention, and Therapeutic Potential
Abstract
1. Introduction
2. Biochemical Role of Vitamin C
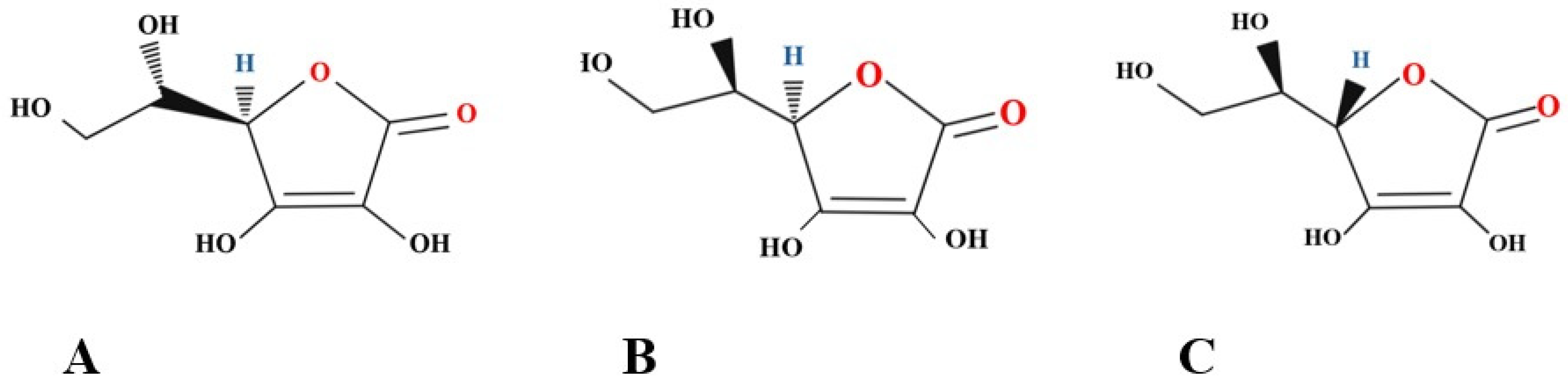
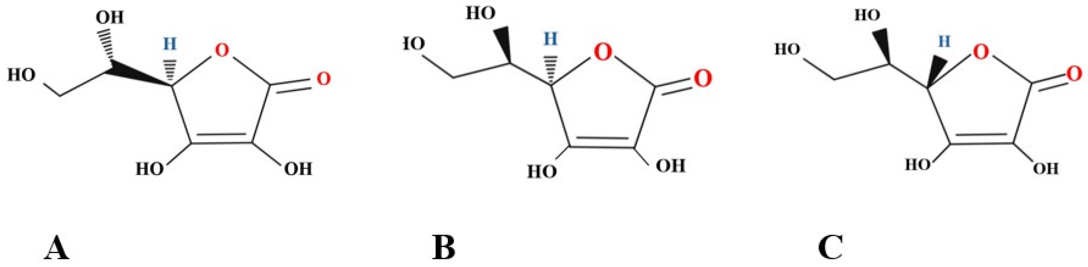
2.1. Molecular Structure and Properties
2.2. Mechanisms of Action
2.3. Antioxidant Function
2.4. Role in Collagen Synthesis
3. Pharmacokinetics and Supplementation
3.1. Absorption, Distribution, Metabolism, and Excretion (ADME)
3.2. Recommended Dietary Allowances
3.3. High-Dose Vitamin C: Safety and Efficacy
4. Vitamin C in Disease Prevention
4.1. Cardiovascular Health
4.2. Cancer Prevention
4.3. Neuroprotective Effects
4.4. Chronic Diseases Prevention
5. Therapeutic Applications of Vitamin C
5.1. Infectious Diseases
5.2. Respiratory Illnesses
5.3. Sepsis and Critical Care
5.4. Cancer Therapy

5.5. Wound Healing
6. Ongoing Research
7. Conclusions
Author Contributions
Funding
Conflicts of Interest
References
- Padayatty, S.J.; Levine, M. Vitamin C: The known and the unknown and Goldilocks. Oral Dis. 2016, 22, 463–493. [Google Scholar] [CrossRef] [PubMed]
- See, X.Z.; Yeo, W.S.; Saptoro, A. A comprehensive review and recent advances of vitamin C: Overview, functions, sources, applications, market survey and processes. Chem. Eng. Res. Des. 2024, 206, 108–129. [Google Scholar] [CrossRef]
- Abdullah, M.; Jamil, R.T.; Attia, F.N. Vitamin C (Ascorbic Acid). In StatPearls; StatPearls Publishing: Treasure Island, FL, USA, 2024. [Google Scholar]
- Cerullo, G.; Negro, M.; Parimbelli, M.; Pecoraro, M.; Perna, S.; Liguori, G.; Rondanelli, M.; Cena, H.; D’Antona, G. The Long History of Vitamin C: From Prevention of the Common Cold to Potential Aid in the Treatment of COVID-19. Front. Immunol. 2020, 11, 574029. [Google Scholar] [CrossRef]
- Pawlowska, E.; Szczepanska, J.; Blasiak, J. Pro- and Antioxidant Effects of Vitamin C in Cancer in correspondence to Its Dietary and Pharmacological Concentrations. Oxidative Med. Cell. Longev. 2019, 2019, 7286737. [Google Scholar] [CrossRef] [PubMed]
- Njus, D.; Kelley, P.M.; Tu, Y.-J.; Schlegel, H.B. Ascorbic acid: The chemistry underlying its antioxidant properties. Free Radic. Biol. Med. 2020, 159, 37–43. [Google Scholar] [CrossRef] [PubMed]
- Zhitkovich, A. Nuclear and Cytoplasmic Functions of Vitamin C. Chem. Res. Toxicol. 2020, 33, 2515–2526. [Google Scholar] [CrossRef]
- Granger, M.; Eck, P. Chapter Seven-Dietary Vitamin C in Human Health. In Advances in Food and Nutrition Research; Eskin, N.A.M., Ed.; Academic Press: Cambridge, MA, USA, 2018; Volume 83, pp. 281–310. [Google Scholar]
- Meščić Macan, A.; Gazivoda Kraljević, T.; Raić-Malić, S. Therapeutic Perspective of Vitamin C and Its Derivatives. Antioxidants 2019, 8, 247. [Google Scholar] [CrossRef]
- Chambial, S.; Dwivedi, S.; Shukla, K.K.; John, P.J.; Sharma, P. Vitamin C in Disease Prevention and Cure: An Overview. Indian J. Clin. Biochem. 2013, 28, 314–328. [Google Scholar] [CrossRef]
- Chisnall, M.; Macknight, R. Importance of Vitamin C in Human Health and Disease. In Ascorbic Acid in Plant Growth, Development and Stress Tolerance; Hossain, M.A., Munné-Bosch, S., Burritt, D.J., Diaz-Vivancos, P., Fujita, M., Lorence, A., Eds.; Springer International Publishing: Cham, Switzerland, 2017; pp. 491–501. [Google Scholar]
- Carr, A.C.; Rowe, S. Factors Affecting Vitamin C Status and Prevalence of Deficiency: A Global Health Perspective. Nutrients 2020, 12, 1963. [Google Scholar] [CrossRef]
- Delanghe, J.R.; Langlois, M.R.; De Buyzere, M.L.; Na, N.; Ouyang, J.; Speeckaert, M.M.; Torck, M.A. Vitamin C deficiency: More than just a nutritional disorder. Genes Nutr. 2011, 6, 341–346. [Google Scholar] [CrossRef]
- Ishizuka, K.; Ohira, Y. Scurvy. QJM Int. J. Med. 2022, 115, 475. [Google Scholar] [CrossRef] [PubMed]
- Léger, D. Scurvy: Reemergence of nutritional deficiencies. Can. Fam. Physician Med. Fam. Can. 2008, 54, 1403–1406. [Google Scholar]
- Miraj, F.; Karda, I.W.A.M.; Abdullah, A.; Dionysios, E. Lessons learned from “the great mimicker disease”: A retrospective study of 18 patients with scurvy. J. Child. Orthop. 2023, 17, 618–625. [Google Scholar] [CrossRef] [PubMed]
- Rowe, S.; Carr, A.C. Global Vitamin C Status and Prevalence of Deficiency: A Cause for Concern? Nutrients 2020, 12, 2008. [Google Scholar] [CrossRef] [PubMed]
- Carr, A.C.; Lykkesfeldt, J. Factors Affecting the Vitamin C Dose-Concentration Relationship: Implications for Global Vitamin C Dietary Recommendations. Nutrients 2023, 15, 1657. [Google Scholar] [CrossRef]
- Gandhi, M.; Elfeky, O.; Ertugrul, H.; Chela, H.K.; Daglilar, E. Scurvy: Rediscovering a Forgotten Disease. Diseases 2023, 11, 78. [Google Scholar] [CrossRef]
- Gęgotek, A.; Skrzydlewska, E. Antioxidative and Anti-Inflammatory Activity of Ascorbic Acid. Antioxidants 2022, 11, 1993. [Google Scholar] [CrossRef]
- Dresen, E.; Lee, Z.-Y.; Hill, A.; Notz, Q.; Patel, J.J.; Stoppe, C. History of scurvy and use of vitamin C in critical illness: A narrative review. Nutr. Clin. Pract. 2023, 38, 46–54. [Google Scholar] [CrossRef]
- Montalto, M.; Porceddu, E.; Pero, E.; Lupascu, A.; Gallo, A.; De Simone, C.; Nucera, E.; Aruanno, A.; Giarretta, I.; Pola, R.; et al. Scurvy: A Disease not to be Forgotten. Nutr. Clin. Pract. 2021, 36, 1063–1067. [Google Scholar] [CrossRef]
- Gaieski, D.F. Scurvy: A Rare Disease or a Rare Diagnosis? J. Emergencies Trauma Shock 2024, 17, 10–4103. [Google Scholar] [CrossRef]
- Doseděl, M.; Jirkovský, E.; Macáková, K.; Krčmová, L.K.; Javorská, L.; Pourová, J.; Mercolini, L.; Remião, F.; Nováková, L.; Mladěnka, P.; et al. Vitamin C—Sources, Physiological Role, Kinetics, Deficiency, Use, Toxicity, and Determination. Nutrients 2021, 13, 615. [Google Scholar] [CrossRef] [PubMed]
- Nobile, S.; Woodhill, J.M. How was vitamin C discovered? In Vitamin C: The Mysterious Redox-System A Trigger of Life? Nobile, S., Woodhill, J.M., Eds.; Springer: Dordrecht, The Netherlands, 1981; pp. 15–20. [Google Scholar]
- Abdulsamed, K.; Volkan, G. Understanding Vitamin C: Comprehensive Examination of Its Biological Significance and Antioxidant Properties. In Ascorbic Acid; Abdulsamed, K., Volkan, G., Eds.; IntechOpen: Rijeka, Croatia, 2024; Chapter 1. [Google Scholar]
- Glen King, C. The Discovery and Chemistry of Vitamin C. Proc. Nutr. Soc. 1953, 12, 219–227. [Google Scholar] [CrossRef]
- Carpenter, K.J. The Discovery of Vitamin C. Ann. Nutr. Metab. 2012, 61, 259–264. [Google Scholar] [CrossRef] [PubMed]
- Shiref, H.; Sahai, M.A. Albert Szent-Györgyi—The Scientist Who Discovered Vitamin C. Front. Young Minds 2020, 8, 19. [Google Scholar] [CrossRef]
- Delanghe, J.R.; Langlois, M.R.; De Buyzere, M.L.; Torck, M.A. Vitamin C Deficiency and Scurvy Are Not Only a Dietary Problem but Are Codetermined by the Haptoglobin Polymorphism. Clin. Chem. 2007, 53, 1397–1400. [Google Scholar] [CrossRef]
- Nowak, D. Vitamin C in Human Health and Disease. Nutrients 2021, 13, 1595. [Google Scholar] [CrossRef]
- Naidu, K.A. Vitamin C in human health and disease is still a mystery? An overview. Nutr. J. 2003, 2, 7. [Google Scholar] [CrossRef]
- Buzatu, R.; Luca, M.M.; Bumbu, B.A. Does Vitamin C Supplementation Provide a Protective Effect in Periodontal Health? A Systematic Review and Meta-Analysis. Int. J. Mol. Sci. 2024, 25, 8598. [Google Scholar] [CrossRef]
- Hopkins, S.; Gajagowni, S.; Qadeer, Y.; Wang, Z.; Virani, S.S.; Meurman, J.H.; Leischik, R.; Lavie, C.J.; Strauss, M.; Krittanawong, C. More than just teeth: How oral health can affect the heart. Am. Heart J. Plus Cardiol. Res. Pract. 2024, 43, 100407. [Google Scholar] [CrossRef]
- Lykkesfeldt, J.; Michels, A.J.; Frei, B. Vitamin C. Adv. Nutr. (Bethesda Md.) 2014, 5, 16–18. [Google Scholar] [CrossRef]
- Yin, X.; Chen, K.; Cheng, H.; Chen, X.; Feng, S.; Song, Y.; Liang, L. Chemical Stability of Ascorbic Acid Integrated into Commercial Products: A Review on Bioactivity and Delivery Technology. Antioxidants 2022, 11, 153. [Google Scholar] [CrossRef] [PubMed]
- Nermin, M.Y. Vitamin C. In Vitamin C; Jean Guy, L., Ed.; IntechOpen: Rijeka, Croatia, 2018; Chapter 2. [Google Scholar]
- Levine, M.; Ebenuwa, I.; Violet, P.-C. Chapter 17-Vitamin C. In Essential and Toxic Trace Elements and Vitamins in Human Health; Prasad, A.S., Brewer, G.J., Eds.; Academic Press: Cambridge, MA, USA, 2020; pp. 241–262. [Google Scholar]
- Herbig, A.-L.; Renard, C.M.G.C. Factors that impact the stability of vitamin C at intermediate temperatures in a food matrix. Food Chem. 2017, 220, 444–451. [Google Scholar] [CrossRef]
- Pehlivan, F.E. Vitamin C: An Antioxidant Agent. In Vitamin C; Amal, H.H., Ed.; IntechOpen: Rijeka, Croatia, 2017; Chapter 2. [Google Scholar]
- Boo, Y.C. Ascorbic Acid (Vitamin C) as a Cosmeceutical to Increase Dermal Collagen for Skin Antiaging Purposes: Emerging Combination Therapies. Antioxidants 2022, 11, 1663. [Google Scholar] [CrossRef] [PubMed]
- Robert Li, Y. Vitamin C in Health and Disease: From Redox Biology to Clinical Medicine. In Hydrophilic Vitamins in Health and Disease; Shah, A.K., Tappia, P.S., Dhalla, N.S., Eds.; Springer International Publishing: Cham, Switzerland, 2024; pp. 341–355. [Google Scholar]
- Pavlovska, G.; Tanevska, S. Influence of temperature and humidity on the degradation process of ascorbic acid in vitamin C chewable tablets. J. Therm. Anal. Calorim. 2013, 111, 1971–1977. [Google Scholar] [CrossRef]
- Feszterová, M.; Kowalska, M.; Mišiaková, M. Stability of Vitamin C Content in Plant and Vegetable Juices under Different Storing Conditions. Appl. Sci. 2023, 13, 10640. [Google Scholar] [CrossRef]
- Vissers, M.; Das, A. Ascorbate as an Enzyme Cofactor. In Vitamin C-New Biochemical and Functional Insights, 1st ed.; Chen, Q., Vissers, M., Eds.; CRC Press: Boca Raton, FL, USA, 2020; pp. 71–98. [Google Scholar]
- Lee Chong, T.; Ahearn, E.L.; Cimmino, L. Reprogramming the Epigenome with Vitamin C. Front. Cell Dev. Biol. 2019, 7, 128. [Google Scholar] [CrossRef] [PubMed]
- Sinbad, O.O.; Folorunsho, A.A.; Olabisi, O.L.; Ayoola, O.A.; Temitope, E.J. Vitamins as Antioxidants. J. Food Sci. Nutr. Res. 2019, 2, 214–235. [Google Scholar] [CrossRef]
- Baker, T.A.; Milstien, S.; Katusic, Z.S. Effect of Vitamin C on the Availability of Tetrahydrobiopterin in Human Endothelial Cells. J. Cardiovasc. Pharmacol. 2001, 37, 333–338. [Google Scholar] [CrossRef]
- Yan, J.; Tie, G.; Messina, L.M. Tetrahydrobiopterin, L-Arginine and Vitamin C Act Synergistically to Decrease Oxidative Stress, Increase Nitric Oxide and Improve Blood Flow after Induction of Hindlimb Ischemia in the Rat. Mol. Med. 2012, 18, 676–684. [Google Scholar] [CrossRef]
- Huang, A.; Vita, J.A.; Venema, R.C.; Keaney, J.F., Jr. Ascorbic Acid Enhances Endothelial Nitric-oxide Synthase Activity by Increasing Intracellular Tetrahydrobiopterin. J. Biol. Chem. 2000, 275, 17399–17406. [Google Scholar] [CrossRef]
- d’Uscio, L.V.; Milstien, S.; Richardson, D.; Smith, L.; Katusic, Z.S. Long-Term Vitamin C Treatment Increases Vascular Tetrahydrobiopterin Levels and Nitric Oxide Synthase Activity. Circ. Res. 2003, 92, 88–95. [Google Scholar] [CrossRef] [PubMed]
- Morelli, M.B.; Gambardella, J.; Castellanos, V.; Trimarco, V.; Santulli, G. Vitamin C and Cardiovascular Disease: An Update. Antioxidants 2020, 9, 1227. [Google Scholar] [CrossRef] [PubMed]
- Moritz, B.; Schmitz, A.E.; Rodrigues, A.L.S.; Dafre, A.L.; Cunha, M.P. The role of vitamin C in stress-related disorders. J. Nutr. Biochem. 2020, 85, 108459. [Google Scholar] [CrossRef] [PubMed]
- Asefi, Y.; Fahimi, R.; Ghorbian, S. Synergistic effect of vitamin C with superparamagnetic iron oxide nanoparticles for inhibiting proliferation of gastric cancer cells. Biointerfaces Res. Appl. Chem. 2021, 12, 3215–3224. [Google Scholar]
- Berretta, M.; Quagliariello, V.; Maurea, N.; Di Francia, R.; Sharifi, S.; Facchini, G.; Rinaldi, L.; Piezzo, M.; Manuela, C.; Nunnari, G.; et al. Multiple Effects of Ascorbic Acid against Chronic Diseases: Updated Evidence from Preclinical and Clinical Studies. Antioxidants 2020, 9, 1182. [Google Scholar] [CrossRef]
- Magrì, A.; Germano, G.; Lorenzato, A.; Lamba, S.; Chilà, R.; Montone, M.; Amodio, V.; Ceruti, T.; Sassi, F.; Arena, S.; et al. High-dose vitamin C enhances cancer immunotherapy. Sci. Transl. Med. 2020, 12, eaay8707. [Google Scholar] [CrossRef]
- Silvestrini, B.; Cheng, C.Y.; Innocenti, M. Collagen Involvement in Health, Disease, and Medicine. In Collagen Biomaterials; Nirmal, M., Sanjiban, C., Eds.; IntechOpen: Rijeka, Croatia, 2022; Chapter 1. [Google Scholar]
- Chen, Q.; Pei, Y.; Tang, K.; Albu-Kaya, M.G. Structure, extraction, processing, and applications of collagen as an ideal component for biomaterials-a review. Collagen Leather 2023, 5, 20. [Google Scholar] [CrossRef]
- Ghofrani, A.; Hassannejad, Z. Collagen-Based Therapies for Accelerated Wound Healing. In Cell and Molecular Biology-Annual Volume 2024; Mary, C.M., Felicia, I., Eds.; IntechOpen: Rijeka, Croatia, 2024; Chapter 1. [Google Scholar]
- San Antonio, J.D.; Jacenko, O.; Fertala, A.; Orgel, J.P.R.O. Collagen Structure-Function Mapping Informs Applications for Regenerative Medicine. Bioengineering 2021, 8, 3. [Google Scholar] [CrossRef]
- Benjamin, S.W.; Ruiqin, F.; Mohammad, Z. Vitamin C Promotes Wound Healing: The Use of in Vitro Scratch Assays to Assess Re-Epithelialization. In Cell Physiology-Annual Volume 2024; Angel, C., Ed.; IntechOpen: Rijeka, Croatia, 2023; Chapter 2. [Google Scholar]
- Ronchetti, I.P.; Quaglino, D.; Bergamini, G. Ascorbic Acid and Connective Tissue. In Subcellular Biochemistry: Ascorbic Acid: Biochemistry and Biomedical Cell Biology; Harris, J.R., Ed.; Springer: Boston, MA, USA, 1996; pp. 249–264. [Google Scholar]
- Frąk, W.; Wojtasińska, A.; Lisińska, W.; Młynarska, E.; Franczyk, B.; Rysz, J. Pathophysiology of Cardiovascular Diseases: New Insights into Molecular Mechanisms of Atherosclerosis, Arterial Hypertension, and Coronary Artery Disease. Biomedicines 2022, 10, 1938. [Google Scholar] [CrossRef]
- Thiriet, M. Cardiovascular Disease: An Introduction. In Vasculopathies: Behavioral, Chemical, Environmental, and Genetic Factors; Thiriet, M., Ed.; Springer International Publishing: Cham, Switzerland, 2018; pp. 1–90. [Google Scholar]
- Jenkins David, J.A.; Spence, J.D.; Giovannucci Edward, L.; Kim, Y.-I.; Josse Robert, G.; Vieth, R.; Sahye-Pudaruth, S.; Paquette, M.; Patel, D.; Blanco Mejia, S.; et al. Supplemental Vitamins and Minerals for Cardiovascular Disease Prevention and Treatment. J. Am. Coll. Cardiol. 2021, 77, 423–436. [Google Scholar] [CrossRef]
- Shah, A.K.; Dhalla, N.S. Effectiveness of Some Vitamins in the Prevention of Cardiovascular Disease: A Narrative Review. Front. Physiol. 2021, 12, 729255. [Google Scholar] [CrossRef] [PubMed]
- Osganian, S.K.; Stampfer, M.J.; Rimm, E.; Spiegelman, D.; Hu, F.B.; Manson, J.E.; Willett, W.C. Vitamin C and risk of coronary heart disease in women. J. Am. Coll. Cardiol. 2003, 42, 246–252. [Google Scholar] [CrossRef] [PubMed]
- Ye, Z.; Song, H. Antioxidant vitamins intake and the risk of coronary heart disease: Meta-analysis of cohort studies. Eur. J. Prev. Cardiol. 2008, 15, 26–34. [Google Scholar] [CrossRef] [PubMed]
- Ye, Y.; Li, J.; Yuan, Z. Effect of antioxidant vitamin supplementation on cardiovascular outcomes: A meta-analysis of randomized controlled trials. PLoS ONE 2013, 8, e56803. [Google Scholar] [CrossRef]
- Ascherio, A.; Rimm, E.B.; Hernán, M.A.; Giovannucci, E.; Kawachi, I.; Stampfer, M.J.; Willett, W.C. Relation of consumption of vitamin E, vitamin C, and carotenoids to risk for stroke among men in the United States. Ann. Intern. Med. 1999, 130, 963–970. [Google Scholar] [CrossRef] [PubMed]
- Sesso, H.D.; Buring, J.E.; Christen, W.G.; Kurth, T.; Belanger, C.; MacFadyen, J.; Bubes, V.; Manson, J.E.; Glynn, R.J.; Gaziano, J.M.J.J. Vitamins E and C in the prevention of cardiovascular disease in men: The Physicians’ Health Study II randomized controlled trial. JAMA 2008, 300, 2123–2133. [Google Scholar] [CrossRef]
- Jayedi, A.; Rashidy-Pour, A.; Parohan, M.; Zargar, M.S.; Shab-Bidar, S. Dietary and circulating vitamin C, vitamin E, β-carotene and risk of total cardiovascular mortality: A systematic review and dose–response meta-analysis of prospective observational studies. Public Health Nutr. 2019, 22, 1872–1887. [Google Scholar] [CrossRef]
- Salonen, J.; Nyyssönen, K.; Salonen, R.; Lakka, H.M.; Kaikkonen, J.; Porkkala-Sarataho, E.; Voutilainen, S.; Lakka, T.; Rissanen, T.; Leskinen, L.; et al. Antioxidant Supplementation in Atherosclerosis Prevention (ASAP) study: A randomized trial of the effect of vitamins E and C on 3-year progression of carotid atherosclerosis. J. Intern. Med. 2000, 248, 377–386. [Google Scholar] [CrossRef]
- Juraschek, S.P.; Guallar, E.; Appel, L.J.; Miller, E.R., III. Effects of vitamin C supplementation on blood pressure: A meta-analysis of randomized controlled trials. Am. J. Clin. Nutr. 2012, 95, 1079–1088. [Google Scholar] [CrossRef]
- Al-Khudairy, L.; Flowers, N.; Wheelhouse, R.; Ghannam, O.; Hartley, L.; Stranges, S.; Rees, K. Vitamin C supplementation for the primary prevention of cardiovascular disease. Cochrane Database Syst. Rev. 2017, 3. [Google Scholar] [CrossRef]
- Zhu, J.; Ling, Y.; Tse, L.A.; Kinra, S.; Li, Y. Circulating vitamin C and the risk of cardiovascular diseases: A Mendelian randomization study. Nutr. Metab. Cardiovasc. Dis. 2021, 31, 2398–2406. [Google Scholar] [CrossRef] [PubMed]
- Chen, L.; Sun, X.; Wang, Z.; Lu, Y.; Chen, M.; He, Y.; Xu, H.; Zheng, L. The impact of plasma vitamin C levels on the risk of cardiovascular diseases and Alzheimer’s disease: A Mendelian randomization study. Clin. Nutr. 2021, 40, 5327–5334. [Google Scholar] [CrossRef] [PubMed]
- Yochum, L.A.; Folsom, A.R.; Kushi, L.H. Intake of antioxidant vitamins and risk of death from stroke in postmenopausal women. Am. J. Clin. Nutr. 2000, 72, 476–483. [Google Scholar] [CrossRef]
- Del Rio, D.; Agnoli, C.; Pellegrini, N.; Krogh, V.; Brighenti, F.; Mazzeo, T.; Masala, G.; Bendinelli, B.; Berrino, F.; Sieri, S.; et al. Total antioxidant capacity of the diet is associated with lower risk of ischemic stroke in a large Italian cohort. J. Nutr. 2011, 141, 118–123. [Google Scholar] [CrossRef] [PubMed]
- Chen, G.C.; Lu, D.B.; Pang, Z.; Liu, Q.F. Vitamin C intake, circulating vitamin C and risk of stroke: A meta-analysis of prospective studies. J. Am. Heart Assoc. 2013, 2, e000329. [Google Scholar] [CrossRef] [PubMed]
- Forman, J.P.; Choi, H.; Curhan, G.C. Fructose and vitamin C intake do not influence risk for developing hypertension. J. Am. Soc. Nephrol. 2009, 20, 863–871. [Google Scholar] [CrossRef]
- Moran, J.P.; Cohen, L.; Greene, J.; Xu, G.; Feldman, E.; Hames, C.; Feldman, D. Plasma ascorbic acid concentrations relate inversely to blood pressure in human subjects. Am. J. Clin. Nutr. 1993, 57, 213–217. [Google Scholar] [CrossRef]
- Myint, P.K.; Luben, R.N.; Wareham, N.J.; Khaw, K.-T. Association Between Plasma Vitamin C Concentrations and Blood Pressure in the European Prospective Investigation Into Cancer-Norfolk Population-Based Study. Hypertension 2011, 58, 372–379. [Google Scholar] [CrossRef]
- Block, G.; Jensen, C.D.; Norkus, E.P.; Hudes, M.; Crawford, P.B. Vitamin C in plasma is inversely related to blood pressure and change in blood pressure during the previous year in young Black and White women. Nutr. J. 2008, 7, 1–9. [Google Scholar] [CrossRef]
- Ashor, A.W.; Lara, J.; Mathers, J.C.; Siervo, M.J.A. Effect of vitamin C on endothelial function in health and disease: A systematic review and meta-analysis of randomised controlled trials. Atherosclerosis 2014, 235, 9–20. [Google Scholar] [CrossRef]
- Fuller, C.J.; Grundy, S.M.; Norkus, E.P.; Jialal, I. Effect of ascorbate supplementation on low density lipoprotein oxidation in smokers. Atherosclerosis 1996, 119, 139–150. [Google Scholar] [CrossRef] [PubMed]
- Heitzer, T.; Just, H.R.; Münzel, T.J.C. Antioxidant vitamin C improves endothelial dysfunction in chronic smokers. Circulation 1996, 94, 6–9. [Google Scholar] [CrossRef] [PubMed]
- Myint, P.K.; Luben, R.N.; Welch, A.A.; Bingham, S.A.; Wareham, N.J.; Khaw, K.-T. Plasma vitamin C concentrations predict risk of incident stroke over 10 y in 20 649 participants of the European Prospective Investigation into Cancer–Norfolk prospective population study. Am. J. Clin. Nutr. 2008, 87, 64–69. [Google Scholar] [CrossRef] [PubMed]
- Lee, D.-H.; Folsom, A.R.; Harnack, L.; Halliwell, B.; Jacobs, D.R., Jr. Does supplemental vitamin C increase cardiovascular disease risk in women with diabetes? Am. J. Clin. Nutr. 2004, 80, 1194–1200. [Google Scholar] [CrossRef]
- Yokoyama, T.; Date, C.; Kokubo, Y.; Yoshiike, N.; Matsumura, Y.; Tanaka, H.J.S. Serum vitamin C concentration was inversely associated with subsequent 20-year incidence of stroke in a Japanese rural community: The Shibata study. Stroke 2000, 31, 2287–2294. [Google Scholar] [CrossRef] [PubMed]
- Wang, D.; Yang, X.; Chen, Y.; Gong, K.; Yu, M.; Gao, Y.; Wu, X.; Hu, H.; Liao, C.; Han, J.; et al. Ascorbic acid enhances low-density lipoprotein receptor expression by suppressing proprotein convertase subtilisin/kexin 9 expression. J. Biol. Chem. 2020, 295, 15870–15882. [Google Scholar] [CrossRef] [PubMed]
- Boonthongkaew, C.; Tong-Un, T.; Kanpetta, Y.; Chaungchot, N.; Leelayuwat, C.; Leelayuwat, N. Vitamin C supplementation improves blood pressure and oxidative stress after acute exercise in patients with poorly controlled type 2 diabetes mellitus: A randomized, placebo-controlled, cross-over study. Chin. J. Physiol. 2021, 64, 16–23. [Google Scholar] [CrossRef]
- Mason, S.A.; Rasmussen, B.; van Loon, L.J.C.; Salmon, J.; Wadley, G.D. Ascorbic acid supplementation improves postprandial glycaemic control and blood pressure in individuals with type 2 diabetes: Findings of a randomized cross-over trial. Diabetes Obes. Metab. 2019, 21, 674–682. [Google Scholar] [CrossRef]
- Gökdemir, B.N.; Çekmen, N. Vasoplegic Syndrome and Anaesthesia: A Narrative Review. Turk. J. Anaesthesiol. Reanim. 2023, 51, 280–289. [Google Scholar] [CrossRef]
- Anstey, M.H.; Aljeaidi, M.S.; Palmer, R.; Jacques, A.; Mevavala, B.; Litton, E.; Wibrow, B. Intravenous vitamin C for vasoplegia: A double-blinded randomised clinical trial (VALENCIA trial). J. Crit. Care 2023, 78, 154369. [Google Scholar] [CrossRef]
- Ferlay, J.; Colombet, M.; Soerjomataram, I.; Parkin, D.M.; Piñeros, M.; Znaor, A.; Bray, F. Cancer statistics for the year 2020: An overview. Int. J. Cancer 2021, 149, 778–789. [Google Scholar] [CrossRef] [PubMed]
- Kuryk, L.; Bertinato, L.; Staniszewska, M.; Pancer, K.; Wieczorek, M.; Salmaso, S.; Caliceti, P.; Garofalo, M. From Conventional Therapies to Immunotherapy: Melanoma Treatment in Review. Cancers 2020, 12, 3057. [Google Scholar] [CrossRef] [PubMed]
- Wild, C.P.; Weiderpass, E.; Stewart, B.W. World Cancer Report; International Agency for Research on Cancer: Lyon, France, 2020. [Google Scholar]
- Awad, A.B.; Bradford, P. Nutrition and Cancer Prevention. CRC press: Boca Raton, FL, USA, 2005; pp. 1–618. [Google Scholar]
- Chen, Z.; Huang, Y.; Cao, D.; Qiu, S.; Chen, B.; Li, J.; Bao, Y.; Wei, Q.; Han, P.; Liu, L. Vitamin C Intake and Cancers: An Umbrella Review. Front. Nutr. 2022, 8, 812394. [Google Scholar] [CrossRef] [PubMed]
- Fu, Y.; Xu, F.; Jiang, L.; Miao, Z.; Liang, X.; Yang, J.; Larsson, S.C.; Zheng, J.-S. Circulating vitamin C concentration and risk of cancers: A Mendelian randomization study. BMC Med. 2021, 19, 171. [Google Scholar] [CrossRef] [PubMed]
- Tran, D.V.; Luu, X.Q.; Tran, H.T.T.; Myung, S.-K. Dietary and supplementary vitamin C intake and the risk of lung cancer: A meta-analysis of cohort studies. Oncol. Lett. 2024, 27, 10. [Google Scholar] [CrossRef]
- Chen, H.; Du, Z.; Zhang, Y.; Li, M.; Gao, R.; Qin, L.; Wang, H. The Association Between Vitamin C and Cancer: A Two-Sample Mendelian Randomization Study. Front. Genet. 2022, 13, 868408. [Google Scholar] [CrossRef]
- Hansson, O. Biomarkers for neurodegenerative diseases. Nat. Med. 2021, 27, 954–963. [Google Scholar] [CrossRef]
- Lee, K.H.; Cha, M.; Lee, B.H. Neuroprotective Effect of Antioxidants in the Brain. Int. J. Mol. Sci. 2020, 21, 7152. [Google Scholar] [CrossRef]
- Ballaz, S.J.; Rebec, G.V. Neurobiology of vitamin C: Expanding the focus from antioxidant to endogenous neuromodulator. Pharmacol. Res. 2019, 146, 104321. [Google Scholar] [CrossRef]
- Bonnet, U. The sour side of vitamin C might mediate neuroprotective, anticonvulsive and antidepressant-like effects. Med. Hypotheses 2019, 131, 109320. [Google Scholar] [CrossRef]
- Chang, M.C.; Kwak, S.G.; Kwak, S. Effect of dietary vitamins C and E on the risk of Parkinson’s disease: A meta-analysis. Clin. Nutr. 2021, 40, 3922–3930. [Google Scholar] [CrossRef] [PubMed]
- Etminan, M.; Gill, S.S.; Samii, A. Intake of vitamin E, vitamin C, and carotenoids and the risk of Parkinson’s disease: A meta-analysis. Lancet Neurol. 2005, 4, 362–365. [Google Scholar] [CrossRef] [PubMed]
- Zhao, X.; Zhang, M.; Li, C.; Jiang, X.; Su, Y.; Zhang, Y. Benefits of Vitamins in the Treatment of Parkinson’s Disease. Oxidative Med. Cell. Longev. 2019, 2019, 9426867. [Google Scholar] [CrossRef] [PubMed]
- Park, H.-A.; Ellis, A.C. Dietary Antioxidants and Parkinson’s Disease. Antioxidants 2020, 9, 570. [Google Scholar] [CrossRef] [PubMed]
- Hamid, M.; Mansoor, S.; Amber, S.; Zahid, S. A quantitative meta-analysis of vitamin C in the pathophysiology of Alzheimer’s disease. Front. Aging Neurosci. 2022, 14, 970263. [Google Scholar] [CrossRef] [PubMed]
- Han, Q.-Q.; Shen, T.-T.; Wang, F.; Wu, P.-F.; Chen, J.-G. Preventive and Therapeutic Potential of Vitamin C in Mental Disorders. Curr. Med. Sci. 2018, 38, 1–10. [Google Scholar] [CrossRef] [PubMed]
- Jomova, K.; Raptova, R.; Alomar, S.Y.; Alwasel, S.H.; Nepovimova, E.; Kuca, K.; Valko, M. Reactive oxygen species, toxicity, oxidative stress, and antioxidants: Chronic diseases and aging. Arch. Toxicol. 2023, 97, 2499–2574. [Google Scholar] [CrossRef]
- Wong, S.K.; Chin, K.Y.; Ima-Nirwana, S. Vitamin C: A Review on its Role in the Management of Metabolic Syndrome. Int. J. Med. Sci. 2020, 17, 1625–1638. [Google Scholar] [CrossRef]
- Sun, C.; Liu, Y.; Zhan, L.; Rayat, G.R.; Xiao, J.; Jiang, H.; Li, X.; Chen, K. Anti-diabetic effects of natural antioxidants from fruits. Trends Food Sci. Technol. 2021, 117, 3–14. [Google Scholar] [CrossRef]
- Joseph, G.B.; McCulloch, C.E.; Nevitt, M.C.; Neumann, J.; Lynch, J.A.; Lane, N.E.; Link, T.M. Associations Between Vitamins C and D Intake and Cartilage Composition and Knee Joint Morphology Over 4 Years: Data From the Osteoarthritis Initiative. Arthritis Care Res. 2020, 72, 1239–1247. [Google Scholar] [CrossRef]
- Dunlap, B.; Patterson, G.T.; Kumar, S.; Vyavahare, S.; Mishra, S.; Isales, C.; Fulzele, S. Vitamin C supplementation for the treatment of osteoarthritis: Perspectives on the past, present, and future. Ther. Adv. Chronic Dis. 2021, 12, 20406223211047026. [Google Scholar] [CrossRef] [PubMed]
- Jafari, D.; Esmaeilzadeh, A.; Mohammadi-Kordkhayli, M.; Rezaei, N. Vitamin C and the Immune System. In Nutrition and Immunity; Mahmoudi, M., Rezaei, N., Eds.; Springer International Publishing: Cham, Switzerland, 2019; pp. 81–102. [Google Scholar]
- Colunga Biancatelli, R.M.L.; Berrill, M.; Marik, P.E. The antiviral properties of vitamin C. Expert Rev. Anti-Infect. Ther. 2020, 18, 99–101. [Google Scholar] [CrossRef] [PubMed]
- Carr, A.C.; Maggini, S. Vitamin C and Immune Function. Nutrients 2017, 9, 1211. [Google Scholar] [CrossRef] [PubMed]
- Al Mahmud, A.; Siddiqui, S.A.; Karim, M.R.; Al-Mamun, M.R.; Akhter, S.; Sohel, M.; Hasan, M.; Bellah, S.F.; Amin, M.N. Clinically proven natural products, vitamins and mineral in boosting up immunity: A comprehensive review. Heliyon 2023, 9, e15292. [Google Scholar] [CrossRef]
- Mousavi, S.; Bereswill, S.; Heimesaat, M.M. Immunomodulatory and antimicrobial effects of vitamin C. Eur. J. Microbiol. Immunol. EuJMI 2019, 9, 73–79. [Google Scholar] [CrossRef]
- McArthur, D.B. Emerging Infectious Diseases. Nurs. Clin. N. Am. 2019, 54, 297–311. [Google Scholar] [CrossRef]
- Hemilä, H. Vitamin C and Infections. Nutrients 2017, 9, 339. [Google Scholar] [CrossRef]
- Gonzalez, M.; Kc, M. Antiviral Mechanisms of Vitamin C: A Short Communication Consensus Report-ISOM. J. Orthomol. Med. 2020, 35, 1–5. [Google Scholar]
- Abdussalam-Mohammed, W.; Abraheem, M.S.; Mezoughi, A.B.; Ettarhouni, Z.O.; Dakhil, O.O. Novel Compatible Silver Nanoparticles Functionalized by Vitamin C and its Derivatives: Characterization and their antibacterial Activity against Escherichia coli and Staphylococcus aureus. Biointerfaces Res. Appl. Chem. 2023. [Google Scholar] [CrossRef]
- Isola, S.; Gammeri, L.; Furci, F.; Gangemi, S.; Pioggia, G.; Allegra, A. Vitamin C Supplementation in the Treatment of Autoimmune and Onco-Hematological Diseases: From Prophylaxis to Adjuvant Therapy. Int. J. Mol. Sci. 2024, 25, 7284. [Google Scholar] [CrossRef]
- Hemilä, H. Vitamin C and Infectious Diseases. In Vitamin C: The State of the Art in Disease Prevention Sixty Years after the Nobel Priz; Springer: Milano, Italy, 1998; pp. 73–85. [Google Scholar]
- Holford, P.; Carr, A.C.; Jovic, T.H.; Ali, S.R.; Whitaker, I.S.; Marik, P.E.; Smith, A.D. Vitamin C—An Adjunctive Therapy for Respiratory Infection, Sepsis and COVID-19. Nutrients 2020, 12, 3760. [Google Scholar] [CrossRef] [PubMed]
- Hemilä, H.; Chalker, E. Vitamin C for preventing and treating the common cold. Cochrane Database Syst. Rev. 2013, 2013, CD000980. [Google Scholar] [CrossRef]
- Kim, T.K.; Lim, H.R.; Byun, J.S. Vitamin C supplementation reduces the odds of developing a common cold in Republic of Korea Army recruits: Randomised controlled trial. BMJ Mil. Health 2022, 168, 117–123. [Google Scholar] [CrossRef] [PubMed]
- Meyer, N.J.; Gattinoni, L.; Calfee, C.S. Acute respiratory distress syndrome. Lancet 2021, 398, 622–637. [Google Scholar] [CrossRef] [PubMed]
- Lim, W.S. Pneumonia—Overview. Encycl. Respir. Med. 2022, 185–197. [Google Scholar] [CrossRef]
- Farjana, M.; Moni, A.; Sohag, A.A.M.; Hasan, A.; Hannan, M.A.; Hossain, M.G.; Uddin, M.J. Repositioning Vitamin C as a Promising Option to Alleviate Complications associated with COVID-19. Infect. Chemother. 2020, 52, 461–477. [Google Scholar] [CrossRef] [PubMed]
- Hoang, B.X.; Shaw, G.; Fang, W.; Han, B. Possible application of high-dose vitamin C in the prevention and therapy of coronavirus infection. J. Glob. Antimicrob. Resist. 2020, 23, 256–262. [Google Scholar] [CrossRef] [PubMed]
- Kashiouris, M.G.; L’Heureux, M.; Cable, C.A.; Fisher, B.J.; Leichtle, S.W.; Fowler, A.A. The Emerging Role of Vitamin C as a Treatment for Sepsis. Nutrients 2020, 12, 292. [Google Scholar] [CrossRef] [PubMed]
- Teng, J.; Pourmand, A.; Mazer-Amirshahi, M. Vitamin C: The next step in sepsis management? J. Crit. Care 2018, 43, 230–234. [Google Scholar] [CrossRef] [PubMed]
- Mussa, A.; Mohd Idris, R.A.; Ahmed, N.; Ahmad, S.; Murtadha, A.H.; Tengku Din, T.; Yean, C.Y.; Wan Abdul Rahman, W.F.; Mat Lazim, N.; Uskoković, V.; et al. High-Dose Vitamin C for Cancer Therapy. Pharmaceuticals 2022, 15, 711. [Google Scholar] [CrossRef]
- Böttger, F.; Vallés-Martí, A.; Cahn, L.; Jimenez, C.R. High-dose intravenous vitamin C, a promising multi-targeting agent in the treatment of cancer. J. Exp. Clin. Cancer Res. 2021, 40, 343. [Google Scholar] [CrossRef] [PubMed]
- Cameron, E.; Pauling, L. Supplemental ascorbate in the supportive treatment of cancer: Prolongation of survival times in terminal human cancer. Proc. Natl. Acad. Sci. USA 1976, 73, 3685–3689. [Google Scholar] [CrossRef] [PubMed]
- Bedhiafi, T.; Inchakalody, V.P.; Fernandes, Q.; Mestiri, S.; Billa, N.; Uddin, S.; Merhi, M.; Dermime, S. The potential role of vitamin C in empowering cancer immunotherapy. Biomed. Pharmacother. 2022, 146, 112553. [Google Scholar] [CrossRef] [PubMed]
- Villagran, M.; Ferreira, J.; Martorell, M.; Mardones, L. The Role of Vitamin C in Cancer Prevention and Therapy: A Literature Review. Antioxidants 2021, 10, 1894. [Google Scholar] [CrossRef] [PubMed]
- Park, J.-H.; Davis, K.R.; Lee, G.; Jung, M.; Jung, Y.; Park, J.; Yi, S.-Y.; Lee, M.-A.; Lee, S.; Yeom, C.-H.; et al. Ascorbic acid alleviates toxicity of paclitaxel without interfering with the anticancer efficacy in mice. Nutr. Res. 2012, 32, 873–883. [Google Scholar] [CrossRef] [PubMed]
- Ghavami, G.; Sardari, S. Synergistic Effect of Vitamin C with Cisplatin for Inhibiting Proliferation of Gastric Cancer Cells. Iran. Biomed. J. 2020, 24, 119–127. [Google Scholar] [CrossRef]
- Dosunmu, Y.; Owusu-Apenten, R. Effects of Ascorbic Acid, Dehydroascorbic Acid and Methotrexate on Breast Cancer Cell Viability. J. Appl. Life Sci. Int. 2017, 14, 1–9. [Google Scholar] [CrossRef]
- Piotrowsky, A.; Burkard, M.; Hammerschmidt, K.; Ruple, H.K.; Nonnenmacher, P.; Schumacher, M.; Leischner, C.; Berchtold, S.; Marongiu, L.; Kufer, T.A.; et al. Analysis of High-Dose Ascorbate-Induced Cytotoxicity in Human Glioblastoma Cells and the Role of Dehydroascorbic Acid and Iron. Antioxidants 2024, 13, 1095. [Google Scholar] [CrossRef]
- Roa, F.J.; Peña, E.; Gatica, M.; Escobar-Acuña, K.; Saavedra, P.; Maldonado, M.; Cuevas, M.E.; Moraga-Cid, G.; Rivas, C.I.; Muñoz-Montesino, C. Therapeutic Use of Vitamin C in Cancer: Physiological Considerations. Front. Pharmacol. 2020, 11, 516113. [Google Scholar] [CrossRef]
- Chen, Q.; Espey, M.G.; Sun, A.Y.; Pooput, C.; Kirk, K.L.; Krishna, M.C.; Khosh, D.B.; Drisko, J.; Levine, M. Pharmacologic doses of ascorbate act as a prooxidant and decrease growth of aggressive tumor xenografts in mice. Proc. Natl. Acad. Sci. USA 2008, 105, 11105–11109. [Google Scholar] [CrossRef]
- Espey, M.G.; Chen, P.; Chalmers, B.; Drisko, J.; Sun, A.Y.; Levine, M.; Chen, Q. Pharmacologic ascorbate synergizes with gemcitabine in preclinical models of pancreatic cancer. Free Radic. Biol. Med. 2011, 50, 1610–1619. [Google Scholar] [CrossRef] [PubMed]
- Hatem, E.; Azzi, S.; El Banna, N.; He, T.; Heneman-Masurel, A.; Vernis, L.; Baïlle, D.; Masson, V.; Dingli, F.; Loew, D.; et al. Auranofin/Vitamin C: A Novel Drug Combination Targeting Triple-Negative Breast Cancer. JNCI J. Natl. Cancer Inst. 2019, 111, 597–608. [Google Scholar] [CrossRef] [PubMed]
- Lee, S.J.; Jeong, J.-H.; Lee, I.H.; Lee, J.; Jung, J.H.; Park, H.Y.; Lee, D.H.; Chae, Y.S. Effect of High-dose Vitamin C Combined With Anti-cancer Treatment on Breast Cancer Cells. Anticancer Res. 2019, 39, 751. [Google Scholar] [CrossRef] [PubMed]
- Wang, F.; He, M.M.; Xiao, J.; Zhang, Y.Q.; Yuan, X.L.; Fang, W.J.; Zhang, Y.; Wang, W.; Hu, X.H.; Ma, Z.G.; et al. A Randomized, Open-Label, Multicenter, Phase 3 Study of High-Dose Vitamin C Plus FOLFOX ± Bevacizumab versus FOLFOX ± Bevacizumab in Unresectable Untreated Metastatic Colorectal Cancer (VITALITY Study). Clin. Cancer Res. Off. J. Am. Assoc. Cancer Res. 2022, 28, 4232–4239. [Google Scholar] [CrossRef] [PubMed]
- Paller, C.J.; Zahurak, M.L.; Mandl, A.; Metri, N.A.; Lalji, A.; Heath, E.; Kelly, W.K.; Hoimes, C.; Barata, P.; Taksey, J.; et al. High-Dose Intravenous Vitamin C Combined with Docetaxel in Men with Metastatic Castration-Resistant Prostate Cancer: A Randomized Placebo-Controlled Phase II Trial. Cancer Res. Commun. 2024, 4, 2174–2182. [Google Scholar] [CrossRef]
- Du, J.; Cieslak, J.A., III; Welsh, J.L.; Sibenaller, Z.A.; Allen, B.G.; Wagner, B.A.; Kalen, A.L.; Doskey, C.M.; Strother, R.K.; Button, A.M.; et al. Pharmacological Ascorbate Radiosensitizes Pancreatic Cancer. Cancer Res. 2015, 75, 3314–3326. [Google Scholar] [CrossRef]
- Abiri, B.; Vafa, M. Vitamin C and Cancer: The Role of Vitamin C in Disease Progression and Quality of Life in Cancer Patients. Nutr. Cancer 2021, 73, 1282–1292. [Google Scholar] [CrossRef]
- Tottoli, E.M.; Dorati, R.; Genta, I.; Chiesa, E.; Pisani, S.; Conti, B. Skin Wound Healing Process and New Emerging Technologies for Skin Wound Care and Regeneration. Pharmaceutics 2020, 12, 735. [Google Scholar] [CrossRef]
- Michalak, M.; Pierzak, M.; Kręcisz, B.; Suliga, E. Bioactive Compounds for Skin Health: A Review. Nutrients 2021, 13, 203. [Google Scholar] [CrossRef]
- Fauzian, F.; Garmana, A.N.; Mauludin, R. Applications of nanotechnology-based drug delivery system for delivering natural products into acute and chronic wounds: A review. Biointerface Res. Appl. Chem. 2023, 13, 1–19. [Google Scholar]
- Ghahremani-Nasab, M.; Del Bakhshayesh, A.R.; Akbari-Gharalari, N.; Mehdipour, A. Biomolecular and cellular effects in skin wound healing: The association between ascorbic acid and hypoxia-induced factor. J. Biol. Eng. 2023, 17, 62. [Google Scholar] [CrossRef] [PubMed]
- Haddadi, M.; Movahedzadeh, D.; Jaghouri, E.; Robat Sarpooshi, H. The Effects of Topical Vitamin C on Burn Wound Healing. J. Arak Univ. Med. Sci. 2021, 24, 204–215. [Google Scholar] [CrossRef]
- Bikker, A.; Wielders, J.; van Loo, R.; Loubert, M. Ascorbic acid deficiency impairs wound healing in surgical patients: Four case reports. Int. J. Surg. Open 2016, 2, 15–18. [Google Scholar] [CrossRef]
- Pisalsitsakul, N.; Pinnoi, C.; Sutanthavibul, N.; Kamolratanakul, P. Taking 200 mg Vitamin C Three Times per Day Improved Extraction Socket Wound Healing Parameters: A Randomized Clinical Trial. Int. J. Dent. 2022, 2022, 6437200. [Google Scholar] [CrossRef]
- Gunton, J.E.; Girgis, C.M.; Lau, T.; Vicaretti, M.; Begg, L.; Flood, V. Vitamin C improves healing of foot ulcers: A randomised, double-blind, placebo-controlled trial. Br. J. Nutr. 2021, 126, 1451–1458. [Google Scholar] [CrossRef]
- Bechara, N.; Flood, V.M.; Gunton, J.E. A Systematic Review on the Role of Vitamin C in Tissue Healing. Antioxidants 2022, 11, 1605. [Google Scholar] [CrossRef] [PubMed]
- Barnabas, R. Efficacy of Hydroxychloroquine for Post-Exposure Prophylaxis (PEP) to Prevent Severe Acute Respiratory Syndrome Coronavirus 2 (SARS-CoV-2) Infection Among Adults Exposed to Coronavirus Disease (COVID-19): A Blinded, Randomized Study. Available online: https://clinicaltrials.gov/study/NCT04328961?intr=vitamin%20C%20%5C(ascorbic%20acid%5C)&limit=100&aggFilters=phase:3%204,results:with,status:com,studyType:int&rank=1 (accessed on 2 December 2024).
- Sevransky, J. A Multi-Center, Randomized, Placebo-Controlled, Double-Blind, Adaptive Clinical Trial of Vitamin C, Thiamine and Steroids as Combination Therapy in Patients With Sepsis. Available online: https://clinicaltrials.gov/study/NCT03509350?intr=vitamin%20C%20%5C(ascorbic%20acid%5C)&limit=100&aggFilters=phase:3%204,results:with,status:com,studyType:int&rank=2 (accessed on 2 December 2024).
- Donnino, M. Ascorbic Ccid, Hydrocortisone, and Thiamine in Sepsis and Septic Shock-A Randomized, Double-Blind, Placebo-Controlled Trial. Available online: https://clinicaltrials.gov/study/NCT03389555?intr=vitamin%20C%20%5C(ascorbic%20acid%5C)&limit=100&aggFilters=phase:3%204,results:with,status:com,studyType:int&rank=3 (accessed on 2 December 2024).
- University of Minnesota. Available online: https://clinicaltrials.gov/study/NCT03338569?intr=vitamin%20C%20%5C(ascorbic%20acid%5C)&limit=100&aggFilters=phase:3%204,results:with,status:com,studyType:int&rank=4 (accessed on 2 December 2024).
- Kojecky, V. A Head-to-Head Comparison of Efficiency and Tolerance of 4-L Polyethylene Glycol and Sodium Picosulphate/Magnesium Citrate, Polyethylene Glycol/Ascorbate Before Colonoscopy. Available online: https://clinicaltrials.gov/study/NCT02956057?intr=vitamin%20C%20%5C(ascorbic%20acid%5C)&limit=100&aggFilters=phase:3%204,results:with,status:com,studyType:int&rank=5 (accessed on 2 December 2024).
- VA Office of Research and Development. Phosphate Lowering to Treat Vascular Dysfunction in Chronic Kidney Disease. Available online: https://clinicaltrials.gov/study/NCT02209636?intr=vitamin%20C%20%5C(ascorbic%20acid%5C)&limit=100&aggFilters=phase:3%204,results:with,status:com,studyType:int&rank=6 (accessed on 2 December 2024).
- Fundación de Investigación Biomédica-Hospital Universitario de La Princesa. Phase III Multicenter Randomized Trial of Adjuvant Androgen Deprivation in Combination with Three-Dimensional Conformal Radiotherapy Doses in High and Intermediate Risk Localized Prostate Cancer. Available online: https://clinicaltrials.gov/study/NCT02175212?intr=vitamin%20C%20%5C(ascorbic%20acid%5C)&limit=100&aggFilters=phase:3%204,results:with,status:com,studyType:int&rank=7 (accessed on 2 December 2024).
- Cynthia McEvoy. Vitamin C to Decrease Effects of Smoking in Pregnancy on Infant Lung Function. Available online: https://clinicaltrials.gov/study/NCT01723696?intr=vitamin%20C%20%5C(ascorbic%20acid%5C)&limit=100&aggFilters=phase:3%204,results:with,status:com,studyType:int&rank=8 (accessed on 2 December 2024).
- Christopher DeSouza. Nebivolol and Endothelial Regulation of Fibrinolysis. Available online: https://clinicaltrials.gov/study/NCT01595516?intr=vitamin%20C%20%5C(ascorbic%20acid%5C)&limit=100&aggFilters=phase:3%204,results:with,status:com,studyType:int&rank=9 (accessed on 2 December 2024).
- PepsiCo Global R&D. Iron Bioavailability of Fortified Oat Drink. Available online: https://clinicaltrials.gov/study/NCT01423162?intr=vitamin%20C%20%5C(ascorbic%20acid%5C)&limit=100&aggFilters=phase:3%204,results:with,status:com,studyType:int&rank=10 (accessed on 2 December 2024).
- Yoon, J.-H. Phase 4 Study of High Dose Vitamin C in Chronic Hepatitis Patients. Available online: https://clinicaltrials.gov/study/NCT01413360?intr=vitamin%20C%20%5C(ascorbic%20acid%5C)&limit=100&aggFilters=phase:3%204,results:with,status:com,studyType:int&rank=11 (accessed on 2 December 2024).
- GlaxoSmithKline. A Comparison of Solid and Soluble Forms of Cold and Influenza Remedies. Available online: https://clinicaltrials.gov/study/NCT01332578?intr=vitamin%20C%20%5C(ascorbic%20acid%5C)&limit=100&aggFilters=phase:3%204,results:with,status:com,studyType:int&rank=12 (accessed on 2 December 2024).
- Rutgers. Double-Blind, Randomized Study of High Dose Vitamin C On Outcome in Cardiac Surgery Patients. Available online: https://clinicaltrials.gov/study/NCT01167569?intr=vitamin%20C%20%5C(ascorbic%20acid%5C)&limit=100&aggFilters=phase:3%204,results:with,status:com,studyType:int&rank=13 (accessed on 2 December 2024).
- GlaxoSmithKline. A Multicentre, Randomized, Laboratory-Blinded, Parallel-Group Study to Demonstrate the Efficacy and Tolerability of Ferrous Bisglycinate Chelate in Iron Deficiency Anaemia and to Compare These with Those of Ferrous Ascorbate. Available online: https://clinicaltrials.gov/study/NCT01160198?intr=vitamin%20C%20%5C(ascorbic%20acid%5C)&limit=100&aggFilters=phase:3%204,results:with,status:com,studyType:int&rank=14 (accessed on 2 December 2024).
- Evangelos, P. Randomized Double Blind Study of Administration of Vitamin C for Prophylaxis of Post-Operative Atrial Fibrillation in On-Pump Cardiac Surgery Procedures. Available online: https://clinicaltrials.gov/study/NCT01107730?intr=vitamin%20C%20%5C(ascorbic%20acid%5C)&limit=100&aggFilters=phase:3%204,results:with,status:com,studyType:int&rank=15 (accessed on 2 December 2024).
- Donovan, P.C. A Randomized Controlled Trial to Compare Prophylaxis with Oral Ascorbic Acid, Oral Amiodarone or Both in Combination with Beta Blockers to Reduce Postoperative Atrial Fibrillation After Cardiac Surgery. Available online: https://clinicaltrials.gov/study/NCT00953212?intr=vitamin%20C%20%5C(ascorbic%20acid%5C)&limit=100&aggFilters=phase:3%204,results:with,status:com,studyType:int&rank=16 (accessed on 2 December 2024).
- Johns Hopkins Bloomberg School of Public Health. Antenatal Multiple Micronutrient Supplementation to Improve Infant Survival and Health in Bangladesh. Available online: https://clinicaltrials.gov/study/NCT00860470?intr=vitamin%20C%20%5C(ascorbic%20acid%5C)&limit=100&aggFilters=phase:3%204,results:with,status:com,studyType:int&rank=17 (accessed on 2 December 2024).
- The George Washington University Biostatistics Center. A Randomized Clinical Trial of Antioxidants to Prevent Preeclampsia and An Observational Cohort Study to Predict Preeclampsia. Available online: https://clinicaltrials.gov/study/NCT00135707?intr=vitamin%20C%20%5C(ascorbic%20acid%5C)&limit=100&aggFilters=phase:3%204,results:with,status:com,studyType:int&rank=19 (accessed on 2 December 2024).
- National Institute of Diabetes and Digestive and Kidney Diseases (NIDDK). Folic Acid for Vascular Outcome Reduction in Transplantation (FAVORIT). Available online: https://clinicaltrials.gov/study/NCT00064753?intr=vitamin%20C%20%5C(ascorbic%20acid%5C)&limit=100&aggFilters=phase:3%204,results:with,status:com,studyType:int&rank=21 (accessed on 2 December 2024).



| Age | 0–6 Months | 7–12 Months | 1–3 Years | 4–8 Years | 9–13 Years | 14–18 Years | 19+ Years |
|---|---|---|---|---|---|---|---|
| Male | 40 | 50 | 15 | 25 | 45 | 75 | 90 |
| Female | 40 | 50 | 15 | 25 | 45 | 65 | 75 |
| Pregnancy | - | - | - | - | - | 80 | 85 |
| Lactation | - | - | - | - | - | 115 | 120 |
| Smokers | 35 mg more than non-smokers | ||||||
| Age (Years) | 1–3 | 4–8 | 9–13 | 14–18 | 19+ |
|---|---|---|---|---|---|
| Male | 400 | 650 | 1200 | 1800 | 2000 |
| Female | 400 | 650 | 1200 | 1800 | 2000 |
| Pregnancy | - | - | - | 1800 | 2000 |
| Lactation | - | - | - | 1800 | 2000 |
| ClinicalTrials. gov ID | Official Title | Conditions | Intervention/Treatment | Phase | Ref. |
|---|---|---|---|---|---|
| NCT04328961 | Efficacy of Hydroxychloroquine for Post-exposure Prophylaxis (PEP) to Prevent Severe Acute Respiratory Syndrome Coronavirus 2 (SARS-CoV-2) Infection Among Adults Exposed to Coronavirus Disease (COVID-19): a Blinded, Randomized Study | COVID-19 Corona Virus Infection SARS (Severe Acute Respiratory Syndrome) SARS-CoV-2 | Drug: Hydroxychloroquine Sulfate Drug: Ascorbic Acid | Phase 2 Phase 3 | [166] |
| NCT03509350 | A Multi-center, Randomized, Placebo-controlled, Double-blind, Adaptive Clinical Trial of Vitamin C, Thiamine and Steroids as Combination Therapy in Patients With Sepsis. | Sepsis | Drug: Vitamin C Drug: Thiamine Drug: Hydrocortisone Drug: Vitamin C Placebo Drug: Thiamine Placebo Drug: Hydrocortisone Placebo | Phase 3 | [167] |
| NCT03389555 | Ascorbic Acid, Hydrocortisone, and Thiamine in Sepsis and Septic Shock-A Randomized, Double-Blind, Placebo-Controlled Trial | Sepsis Septic Shock Metabolic Disturbance | Drug: vitamin C, vitamin B1, hydrocortisone Drug: Normal saline | Phase 2 Phase 3 | [168] |
| NCT03338569 | Evaluating Vitamin C in Septic Shock: A Randomized Double Blind Placebo Controlled Trial | Septic Shock Sepsis | Drug: Vitamin C Drug: Placebo | Phase 2 Phase 3 | [169] |
| NCT02956057 | A Head-to-head Comparison of Efficiency and Tolerance of 4-L Polyethylene Glycol and Sodium Picosulphate/Magnesium Citrate, Polyethylene Glycol/Ascorbate Before Colonoscopy | Colonoscopy | Drug: Polyethylene Glycols Drug: Natrium picosulfate/Magnesium citrate Drug: Polyethylene glycol /Ascorbic acid | Phase 4 | [170] |
| NCT02209636 | Phosphate Lowering to Treat Vascular Dysfunction in Chronic Kidney Disease | Chronic Kidney Disease Cardiovascular Disease | Drug: Lanthanum carbonate Drug: placebo Drug: Ascorbic Acid Drug: Nitroglycerin Procedure: Flow-mediated dilation measurement Procedure: Aortic pulse-wave velocity Procedure: Endothelial cell collection | Phase 4 | [171] |
| NCT02175212 | Phase III Multicenter Randomized Trial of Adjuvant Androgen Deprivation in Combination With Three-dimensional Conformal Radiotherapy Doses in High and Intermediate Risk Localized Prostate Cancer. | Prostate Adenocarcinoma | Drug: Short-term androgen deprivation Drug: Long-term androgen deprivation Radiation: Short-term androgen deprivation Radiation: Long-term androgen deprivation | Phase 3 | [172] |
| NCT01723696 | Vitamin C to Decrease Effects of Smoking in Pregnancy on Infant Lung Function | Pulmonary Function; Newborn, Abnormal Infant Wheeze In utero Nicotine Secondhand Smoke | Dietary Supplement: Vitamin C + prenatal vitamin Dietary Supplement: Placebo tablet + prenatal vitamin | Phase 2 Phase 3 | [173] |
| NCT01595516 | Nebivolol and Endothelial Regulation of Fibrinolysis | Prehypertension Hypertension | Drug: Nebivolol Drug: Metoprolol Drug: Placebo Other: Bradykinin Other: Saline Other: Vitamin C | Phase 4 | [174] |
| NCT01423162 | Iron Bioavailability Study of Fortified Oat Drink | Iron Absorption | Other: Dietary Intervention (with Vit C then without Vit C) Other: Dietary Intervention (without Vit C followed by with Vit C) | Phase 4 | [175] |
| NCT01413360 | Phase 4 Study of High Dose Vitamin C in Chronic Hepatitis Patients | Chronic Hepatitis Chronic Hepatitis C Chronic Alcoholic Hepatitis | Drug: High dose vitamin C | Phase 4 | [176] |
| NCT01332578 | A Comparison of Solid and Soluble Forms of Cold and Influenza Remedies | Influenza Common Cold | Drug: Paracetamol Drug: Phenylephrine Drug: Ascorbic Acid | Phase 4 | [177] |
| NCT01167569 | Double-Blind, Randomized Study of High Dose Vitamin C On Outcome in Cardiac Surgery Patients | Reperfusion Injury | Drug: Ascorbic Acid Other: 5% Dextrose Water or Normal Saline | Phase 4 | [178] |
| NCT01160198 | A Multicentre, Randomized, Laboratory-blinded, Parallel-group Study to Demonstrate the Efficacy and Tolerability of Ferrous Bisglycinate Chelate in Iron Deficiency Anaemia and to Compare These with Those of Ferrous Ascorbate. | Hematopoiesis | Drug: ferrous ascorbate Dietary Supplement: ferrous bisglycinate chelate 1 OD Dietary Supplement: ferrous bisglycinate chelate 2 OD | Phase 3 | [179] |
| NCT01107730 | Randomized Double Blind Study of Administration of Vitamin C for Prophylaxis of Post-operative Atrial Fibrillation in On-pump Cardiac Surgery Procedures | Atrial Fibrillation | Drug: Vitamin C Drug: L-Carnitine Drug: Placebo | Phase 3 | [180] |
| NCT00953212 | A Randomized Controlled Trial to Compare Prophylaxis With Oral Ascorbic Acid, Oral Amiodarone or Both in Combination With Beta Blockers to Reduce Postoperative Atrial Fibrillation After Cardiac Surgery | Atrial Fibrillation Atrial Flutter | Drug: beta blockers Drug: amiodarone Drug: ascorbic acid | Phase 3 | [181] |
| NCT00860470 | Antenatal Multiple Micronutrient Supplementation to Improve Infant Survival and Health in Bangladesh | Infant Mortality Preterm Birth Low Birth Weight Neonatal Mortality Perinatal Mortality | Dietary Supplement: Iron (27 mg)–folic acid (600 ug) Dietary Supplement: Multiple micronutrient | Phase 3 | [182] |
| NCT00135707 | A Randomized Clinical Trial of Antioxidants to Prevent Preeclampsia and An Observational Cohort Study to Predict Preeclampsia | Preeclampsia | Drug: Dietary Supplement/Vitamins Drug: Placebo for Vitamin C and Vitamin E | Phase 3 | [183] |
| NCT00064753 | Folic Acid for Vascular Outcome Reduction in Transplantation (FAVORIT) | Chronic Kidney Disease Cardiovascular Disease Death | Drug: High-Dose Multivitamin Device: Low-Dose Multivitamin | Phase 2 Phase 3 | [184] |
Disclaimer/Publisher’s Note: The statements, opinions and data contained in all publications are solely those of the individual author(s) and contributor(s) and not of MDPI and/or the editor(s). MDPI and/or the editor(s) disclaim responsibility for any injury to people or property resulting from any ideas, methods, instructions or products referred to in the content. |
© 2025 by the authors. Licensee MDPI, Basel, Switzerland. This article is an open access article distributed under the terms and conditions of the Creative Commons Attribution (CC BY) license (https://creativecommons.org/licenses/by/4.0/).
Share and Cite
Alberts, A.; Moldoveanu, E.-T.; Niculescu, A.-G.; Grumezescu, A.M. Vitamin C: A Comprehensive Review of Its Role in Health, Disease Prevention, and Therapeutic Potential. Molecules 2025, 30, 748. https://doi.org/10.3390/molecules30030748
Alberts A, Moldoveanu E-T, Niculescu A-G, Grumezescu AM. Vitamin C: A Comprehensive Review of Its Role in Health, Disease Prevention, and Therapeutic Potential. Molecules. 2025; 30(3):748. https://doi.org/10.3390/molecules30030748
Chicago/Turabian StyleAlberts, Adina, Elena-Theodora Moldoveanu, Adelina-Gabriela Niculescu, and Alexandru Mihai Grumezescu. 2025. "Vitamin C: A Comprehensive Review of Its Role in Health, Disease Prevention, and Therapeutic Potential" Molecules 30, no. 3: 748. https://doi.org/10.3390/molecules30030748
APA StyleAlberts, A., Moldoveanu, E.-T., Niculescu, A.-G., & Grumezescu, A. M. (2025). Vitamin C: A Comprehensive Review of Its Role in Health, Disease Prevention, and Therapeutic Potential. Molecules, 30(3), 748. https://doi.org/10.3390/molecules30030748

