Ab Initio Study of Electron Capture in Collisions of Protons with CO2 Molecules
Abstract
1. Introduction
2. Results and Discussion
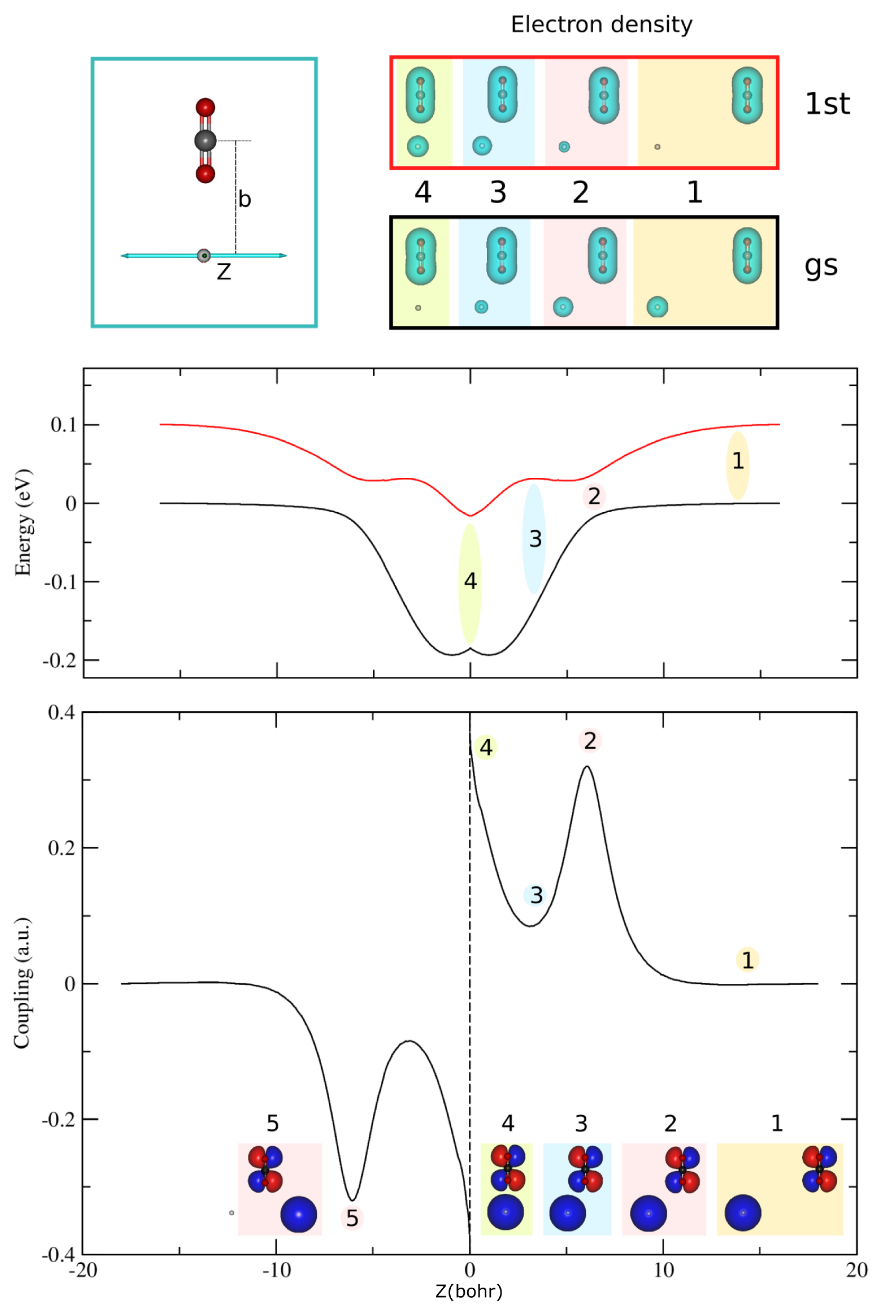
2.1. Molecular Calculations
2.2. Two-State Model
2.3. Dynamical Results
3. Materials and Methods
3.1. Semiclassical Treatment
3.2. Molecular Model
4. Conclusions
Author Contributions
Funding
Data Availability Statement
Acknowledgments
Conflicts of Interest
Abbreviations
| CT | Charge transfer |
| OAXS | Orientation-averaged cross section |
| HOMO | Highly occupied molecular orbital |
| MRCI | Multi-reference configuration interaction |
| CASSCF | Complete active space self-consistent field |
| CSF | Configuration state function |
| MO | Molecular orbital |
Appendix A. Sign-Flip

References
- Etheridge, D.M.; Steele, L.P.; Langenfelds, R.L.; Francey, R.J.; Barnola, J.M.; Morgan, V.I. Historical CO2 records from the Law Dome DE08, DE08-2, and DSS ice cores. In Trends: A Compendium of Data on Global Change; Carbon Dioxide Information Analysis Center, Oak Ridge National Laboratory, U.S. Department of Energy: Oak Ridge, TN, USA, 1998. [Google Scholar]
- Itikawa, Y. Cross sections for electron collisions with carbon dioxide. J. Phys. Chem. Ref. Data 2002, 31, 749–767. [Google Scholar] [CrossRef]
- McConkey, J.W.; Malone, C.P.; Johnson, P.V.; Winstead, C.; McKoy, V.; Kanik, I. Electron impact dissociation of oxygen-containing molecules—A critical review. Phys. Rep. 2008, 466, 1–103. [Google Scholar] [CrossRef]
- Barnett, C.F.; Ray, J.A.; Ricci, E.; Wilker, M.I.; McDaniel, E.W.; Thomas, E.W.; Gilbody, H.B. Atomic Data for Controlled Fusion Research; Technical Report ORNL-5206 (Vol.1), TRN: 77-011155; Oak Ridge National Lab.: Oak Ridge, TN, USA, 1977. [CrossRef][Green Version]
- Rudd, M.E.; Dubois, R.D.; Toburen, L.H.; Ratcliffe, C.A.; Goffe, T.V. Cross sections for ionization of gases by 5–4000 keV protons and for electron capture by 5–150 keV protons. Phys. Rev. A 1983, 28, 3244–3257. [Google Scholar] [CrossRef]
- Greenwood, J.B.; Chutjian, A.; Smith, S.J. Measurements of Absolute, Single Charge-Exchange Cross Sections of H+, He+ and He2+ with H2O and CO2. Astrophys. J. 2000, 529, 605–609. [Google Scholar] [CrossRef]
- Kusakabe, T.; Asahina, K.; Gu, J.P.; Hirsch, G.; Buenker, R.J.; Kimura, M.; Tawara, H.; Nakai, Y. Charge-transfer processes in collisions of H+ ions with H2, D2, CO and CO2 molecules in the energy range 0.2–4.0 keV. Phys. Rev. A 2000, 62, 062714. [Google Scholar] [CrossRef]
- Lindsay, B.G.; Yu, W.S.; Stebbings, R.F. Cross sections for charge-changing processes involving kilo-electron-volt H and H+ with CO and CO2. Phys. Rev. A 2005, 71, 032705. [Google Scholar] [CrossRef]
- Pranszke, B. Charge-transfer excitation in collisions of slow H+ and ions with CO2 molecules under beam conditions. Chem. Phys. Lett. 2011, 508, 197–201. [Google Scholar] [CrossRef]
- Werbowy, S.; Pranszke, B. Charge-exchange processes in collisions of H+, H2+, H3+, He+ and He2+ ions with CO and CO2 molecules at energies below 1000 eV. Phys. Rev. A 2016, 93, 022713. [Google Scholar] [CrossRef]
- Knudsen, H.; Mikkelsen, U.; Paludan, K.; Kirsebom, K.; Moller, S.P.; Uggerhoj, E.; Slevin, J.; Charlton, M.; Morenzoni, E. Non-dissociative and dissociative ionization of N2, CO, CO2, and CH4 by impact of 50-6000 keV protons and antiprotons. J. Phys. B At. Mol. Opt. Phys. 1995, 28, 3569. [Google Scholar] [CrossRef]
- Moretto-Capelle, P.; Bordenave-Montesquieu, D.; Bordenave-Montesquieu, A. Fragmentation of CO2 into C++O++O, in collisions with protons. J. Phys. B At. Mol. Opt. Phys. 2000, 33, L539–L546. [Google Scholar] [CrossRef]
- Bhardwaj, V.R.; Mathur, D.; Vijayalakshmi, K.; Hvelplund, P.; Larsson, M.O.; Safvan, C.P. Collision-induced dissociation of CO2+ ions. Phys. Rev. A 1998, 58, 2834–2843. [Google Scholar] [CrossRef]
- Martins, F.B.V.; Zhelyazkova, V.; Merkt, F. Cold reactions of He+ with OCS and CO2: Competitive kinetics and the effects of the molecular multipole moments. Phys. Chem. Chem. Phys. 2024, 26, 24799–24808. [Google Scholar] [CrossRef] [PubMed]
- Olson, R.E. Charge Transfer at Large Internuclear Distances: Application to Asymmetric Alkali-Ion-Alkali-Atom Systems. Phys. Rev. A 1972, 6, 1822–1830. [Google Scholar] [CrossRef]
- Errea, L.; Macías, A.; Méndez, L.; Rabadán, I.; Riera, A. Anisotropy effects in H++H2 collisions. Int. J. Mol. Sci. 2002, 3, 142–161. [Google Scholar] [CrossRef]
- Errea, L.F.; Gorfinkiel, J.D.; Macías, A.; Méndez, L.; Riera, A. Implementation of the sudden approximation eikonal method in ion-diatom collisions. J. Phys. B At. Mol. Opt. Phys. 1997, 30, 3855–3872. [Google Scholar] [CrossRef]
- Baer, M.; Niedner-Schatteburg, G.; Toennies, J.P. A three-dimensional quantum mechanical study of vibrationally resolved charge transfer processes in H+ + H2 at Ecm = 20 eV. J. Chem. Phys. 1989, 91, 4169–4182. [Google Scholar] [CrossRef]
- Rabadán, I.; Méndez, L. Orientation effects in ion–molecule collisions. J. Phys. Conf. Ser. 2017, 875, 012009. [Google Scholar] [CrossRef]
- Rai, S.; Bijlsma, K.I.; Rabadán, I.; Méndez, L.; Wolff, P.A.J.; Salverda, M.; Versolato, O.O.; Hoekstra, R. Charge exchange in collisions of 1–100-keV Sn3+ ions with H2 and D2. Phys. Rev. A 2022, 106, 012804. [Google Scholar] [CrossRef]
- Bijlsma, K.; Oltra, L.; de Wit, E.; Assink, L.; Rabadán, I.; Méndez, L.; Hoekstra, R. Electron Capture from Molecular Hydrogen by Metastable Sn2+* Ions. Atoms 2024, 12, 9. [Google Scholar] [CrossRef]
- Ascenzi, D.; Erdmann, E.; Bolognesi, P.; Avaldi, L.; Castrovilli, M.C.; Thissen, R.; Romanzin, C.; Alcaraz, C.; Rabadán, I.; Méndez, L.; et al. H2O+ and OH+ reactivity versus furan: Experimental low energy absolute cross sections for modeling radiation damage. Phys. Chem. Chem. Phys. 2023, 25, 24643–24656. [Google Scholar] [CrossRef]
- Illescas, C.; Méndez, L.; Bernedo, S.; Rabadán, I. Charge Transfer and Electron Production in Proton Collisions with Uracil: A Classical and Semiclassical Study. Int. J. Mol. Sci. 2023, 24, 2172. [Google Scholar] [CrossRef] [PubMed]
- Wang, L.S.; Reutt, J.E.; Lee, Y.T.; Shirley, D.A. High resolution UV photoelectron spectroscopy of CO2+, COS+ and CS2+ using supersonic molecular beams. J. Electron. Spectrosc. Relat. Phenom. 1988, 47, 167–186. [Google Scholar] [CrossRef]
- Gharaibeh, M.A.; Clouthier, D.J. Laser induced fluorescence spectroscopy of the jet-cooled carbon dioxide cation (12CO2+ and 13CO2+). J. Chem. Phys. 2010, 132, 114307. [Google Scholar] [CrossRef] [PubMed]
- Demkov, Y.N. Charge transfer at small resonance defects. Sov. Phys. JETP 1964, 18, 138–142. [Google Scholar]
- Barragán, P.; Errea, L.F.; Méndez, L.; Rabadán, I. Isotope effect in ion-atom collisions. Phys. Rev. A 2010, 82, 030701. [Google Scholar] [CrossRef]
- Langevin, M. Une formule fondamentale de théorie cinétique. Ann. Chim. Phys. Ser. 1905, 5, 245–288. [Google Scholar]
- Bridge, N.; Buckingham, A.D. The polarization of laser light scattered by gases. Proc. R. Soc. Lond. Ser. A Math. Phys. Sci. 1966, 295, 334–349. [Google Scholar] [CrossRef]
- Graham, C.; Imrie, D.A.; Raab, R.E. Measurement of the electric quadrupole moments of CO2, CO, N2, Cl2 and BF3. Mol. Phys. 1998, 93, 49–56. [Google Scholar] [CrossRef]
- Bransden, B.; McDowell, M. Charge Exchange and the Theory of Ion-Atom Collisions; International Series of Monographs on Physics; Clarendon Press: Oxford, UK, 1992. [Google Scholar]
- Errea, L.F.; Harel, C.; Jouini, H.; Mendez, L.; Pons, B.; Riera, A. Common translation factor method. J. Phys. B At. Mol. Opt. Phys. 1994, 27, 3603. [Google Scholar] [CrossRef]
- Errea, L.F.; Mendez, L.; Riera, A. On the choice of translation factors for approximate molecular wavefunctions. J. Phys. At. Mol. Phys. 1982, 15, 101. [Google Scholar] [CrossRef]
- Widmark, P.O.; Malmqvist, P.; Roos, B.O. Density matrix averaged atomic natural orbital (ANO) basis sets for correlated molecular wave functions. Theoret. Chim. Acta 1990, 77, 291–306. [Google Scholar] [CrossRef]
- Werner, H.J.; Knowles, P.J.; Knizia, G.; Manby, F.R.; Schütz, M. Molpro: A General Purpose Quantum Chemistry Program Package. WIREs Comput. Mol. Sci. 2012, 2, 242–253. [Google Scholar] [CrossRef]









| Channel | t‖ a | t⊥ b | t⊥ c | Exp |
|---|---|---|---|---|
| H+ + CO2() | 0 | 0 | 0 | 0 |
| H + CO2+() | 0.172 d | |||
| H + CO2+() | 4.0 | 3.7 | 3.99 | 3.71 e |
Disclaimer/Publisher’s Note: The statements, opinions and data contained in all publications are solely those of the individual author(s) and contributor(s) and not of MDPI and/or the editor(s). MDPI and/or the editor(s) disclaim responsibility for any injury to people or property resulting from any ideas, methods, instructions or products referred to in the content. |
© 2024 by the authors. Licensee MDPI, Basel, Switzerland. This article is an open access article distributed under the terms and conditions of the Creative Commons Attribution (CC BY) license (https://creativecommons.org/licenses/by/4.0/).
Share and Cite
Méndez, L.; Rabadán, I. Ab Initio Study of Electron Capture in Collisions of Protons with CO2 Molecules. Molecules 2025, 30, 74. https://doi.org/10.3390/molecules30010074
Méndez L, Rabadán I. Ab Initio Study of Electron Capture in Collisions of Protons with CO2 Molecules. Molecules. 2025; 30(1):74. https://doi.org/10.3390/molecules30010074
Chicago/Turabian StyleMéndez, Luis, and Ismanuel Rabadán. 2025. "Ab Initio Study of Electron Capture in Collisions of Protons with CO2 Molecules" Molecules 30, no. 1: 74. https://doi.org/10.3390/molecules30010074
APA StyleMéndez, L., & Rabadán, I. (2025). Ab Initio Study of Electron Capture in Collisions of Protons with CO2 Molecules. Molecules, 30(1), 74. https://doi.org/10.3390/molecules30010074

