Density Functional Theory Calculations and Infrared Spectral Analysis of Lignin
Abstract
1. Introduction
2. Optimization and Calculation of Lignin Molecular Spatial Structure
3. Lignin Analytical Pure Experimental Spectral Acquisition
3.1. Instruments and Materials
3.2. Infrared Spectroscopy Data Acquisition
4. Results and Discussion
4.1. Spectral Analysis of Lignin Molecules
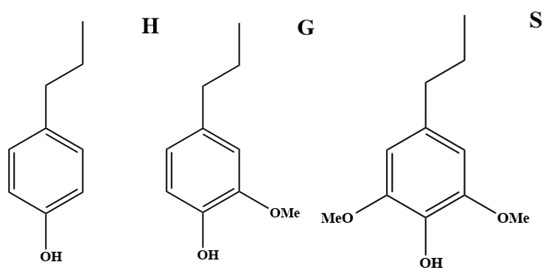
4.1.1. Infrared Spectral Analysis of Lignin Monomer
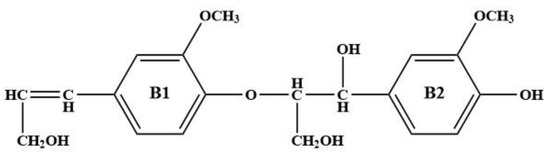
4.1.2. Infrared Spectral Analysis of Lignin Dimers
4.1.3. Infrared Spectral Analysis of Lignin Trimer
4.1.4. Infrared Spectral Analysis of Lignin Oligomers
4.2. Comparative Analysis of Infrared Spectra of Lignin Molecules with Different Structures
5. Conclusions
Author Contributions
Funding
Data Availability Statement
Conflicts of Interest
References
- Agustiany, E.A.; Rasyidur Ridho, M.; Rahmi, D.N.M.; Madyaratri, E.W.; Falah, F.; Lubis, M.A.R.; Solihat, N.N.; Syamani, F.A.; Karungamye, P.; Sohail, A. Recent developments in lignin modification and its application in lignin-based green composites: A review. Polym. Compos. 2022, 43, 4848–4865. [Google Scholar] [CrossRef]
- De Stefano, S.; Durante, O.; D’Orsi, R.; Operamolla, A.; Ambrico, M.; Ambrico, P.F.; Martucciello, N.; Giubileo, F.; Di Bartolomeo, A. Resistive switching memory from dielectric lignin for sustainable electronics. J. Mater. Chem. C 2024, 12, 13621–13631. [Google Scholar] [CrossRef]
- Jeffri, N.I.; Rawi, N.F.M.; Kassim, M.H.B.M.; Abdullah, C.K. Unlocking the potential: Evolving role of technical lignin in diverse applications and overcoming challenges. Int. J. Biol. Macromol. 2024, 274, 133506. [Google Scholar] [CrossRef] [PubMed]
- Wang, Y.; Zhu, Z.; Xia, Y.; Zhong, M.; Ma, R.; Zhao, Y.; Yan, Q.; Miao, Q.; Wang, B.; Ma, Y. Accessing the position-specific 18O/16O ratios of lignin monomeric units from higher plants with highly selective hydrogenolysis followed by GC/Py/IRMS analysis. Anal. Chim. Acta 2021, 1171, 338667. [Google Scholar] [CrossRef]
- Rosado, M.J.; Rencoret, J.; Marques, G.; Gutiérrez, A.; Del Río, J.C. Structural characteristics of the guaiacyl-rich lignins from rice (Oryza sativa L.) husks and straw. Front. Plant Sci. 2021, 12, 640475. [Google Scholar] [CrossRef] [PubMed]
- Guo, T.; Lin, Y.; Pan, D.; Zhang, X.; Zhu, W.; Cai, X.-M.; Huang, G.; Wang, H.; Xu, D.; Kühn, F.E. Towards bioresource-based aggregation-induced emission luminogens from lignin β-O-4 motifs as renewable resources. Nat. Commun. 2023, 14, 6076. [Google Scholar] [CrossRef]
- Zhang, B.; Guo, T.; Li, Z.; Kühn, F.E.; Lei, M.; Zhao, Z.K.; Xiao, J.; Zhang, J.; Xu, D.; Zhang, T. Transition-metal-free synthesis of pyrimidines from lignin β-O-4 segments via a one-pot multi-component reaction. Nat. Commun. 2022, 13, 3365. [Google Scholar] [CrossRef]
- Adler, E. Lignin chemistry—Past, present and future. Wood Sci. Technol. 1977, 11, 169–218. [Google Scholar] [CrossRef]
- Yang, S.; Zhang, Q.; Yang, H.; Shi, H.; Dong, A.; Wang, L.; Yu, S. Progress in infrared spectroscopy as an efficient tool for predicting protein secondary structure. Int. J. Biol. Macromol. 2022, 206, 175–187. [Google Scholar] [CrossRef]
- Hong, T.; Yin, J.-Y.; Nie, S.-P.; Xie, M.-Y. Applications of infrared spectroscopy in polysaccharide structural analysis: Progress, challenge and perspective. Food Chem. X 2021, 12, 100168. [Google Scholar] [CrossRef]
- Beć, K.B.; Grabska, J.; Huck, C.W. Miniaturized NIR spectroscopy in food analysis and quality control: Promises, challenges, and perspectives. Foods 2022, 11, 1465. [Google Scholar] [CrossRef] [PubMed]
- Paraskevaidi, M.; Matthew, B.J.; Holly, B.J.; Hugh, B.J.; Thulya, C.P.; Loren, C.; StJohn, C.; Peter, G.; Callum, G.; Sergei, K.G. Clinical applications of infrared and Raman spectroscopy in the fields of cancer and infectious diseases. Appl. Spectrosc. Rev. 2021, 56, 804–868. [Google Scholar] [CrossRef]
- Ahmadi, A.; Emami, M.; Daccache, A.; He, L. Soil properties prediction for precision agriculture using visible and near-infrared spectroscopy: A systematic review and meta-analysis. Agronomy 2021, 11, 433. [Google Scholar] [CrossRef]
- Sumerskii, I.; Böhmdorfer, S.; Tsetsgee, O.; Sulaeva, I.; Khaliliyan, H.; Musl, O.; Dorninger, K.; Tischer, A.; Potthast, K.; Rosenau, T. Tapping the full potential of infrared spectroscopy for the analysis of technical lignins. ChemSusChem 2024, 17, e202301840. [Google Scholar] [CrossRef]
- Bursch, M.; Mewes, J.M.; Hansen, A.; Grimme, S. Best-practice DFT protocols for basic molecular computational chemistry. Angew. Chem. Int. Ed. 2022, 61, e202205735. [Google Scholar] [CrossRef] [PubMed]
- Liang, Q.; Wang, S.; Yao, Y.; Dong, P.; Song, H. Transition Metal Compounds Family for Li–S Batteries: The DFT-Guide for Suppressing Polysulfides Shuttle. Adv. Funct. Mater. 2023, 33, 2300825. [Google Scholar] [CrossRef]
- Lee, C.; Yang, W.; Parr, R.G. Development of the Colle-Salvetti correlation-energy formula into a functional of the electron density. Phys. Rev. B 1988, 37, 785. [Google Scholar] [CrossRef]
- Rajabi, A.; Grotjahn, R.; Rappoport, D.; Furche, F. A DFT perspective on organometallic lanthanide chemistry. Dalton Trans. 2024, 53, 410–417. [Google Scholar] [CrossRef] [PubMed]
- Medimagh, M.; Issaoui, N.; Gatfaoui, S.; Brandán, S.A.; Al-Dossary, O.; Marouani, H.; Wojcik, M.J. Impact of non-covalent interactions on FT-IR spectrum and properties of 4-methylbenzylammonium nitrate. A DFT and molecular docking study. Heliyon 2021, 7, e08204. [Google Scholar] [CrossRef]
- Dib, E.; Costa, I.M.; Vayssilov, G.N.; Aleksandrov, H.A.; Mintova, S. Complex H-bonded silanol network in zeolites revealed by IR and NMR spectroscopy combined with DFT calculations. J. Mater. Chem. A 2021, 9, 27347–27352. [Google Scholar] [CrossRef]
- Wang, R.; Liu, R.; Luo, S.; Wu, J.; Zhang, D.; Yue, T.; Sun, J.; Zhang, C.; Zhu, L.; Wang, J. Band structure engineering enables to UV-Visible-NIR photocatalytic disinfection: Mechanism, pathways and DFT calculation. Chem. Eng. J. 2021, 421, 129596. [Google Scholar] [CrossRef]
- Binkley, J.S.; Pople, J.A.; Hehre, W.J. Self-consistent molecular orbital methods. 21. Small split-valence basis sets for first-row elements. J. Am. Chem. Soc. 1980, 102, 939–947. [Google Scholar] [CrossRef]
- Tirado-Rives, J.; Jorgensen, W.L. Performance of B3LYP density functional methods for a large set of organic molecules. J. Chem. Theory Comput. 2008, 4, 297–306. [Google Scholar] [CrossRef] [PubMed]
- Chen, K.; Zhang, Y.; Chen, B. Structural characterization and pyrolysis mechanism of γ-O-4 in lignin unraveled by density functional theory simulation. Fuel 2025, 379, 133065. [Google Scholar] [CrossRef]
- Crestini, C.; Melone, F.; Sette, M.; Saladino, R. Milled wood lignin: A linear oligomer. Biomacromolecules 2011, 12, 3928–3935. [Google Scholar] [CrossRef]
















| Experiment (cm−1) | Theory (cm−1) | Vibration | |
|---|---|---|---|
| B3LYP/3-21g | B3LYP/6-311g | ||
| 2932 (S) | 2918 (m) | 2910 (m) | ν (C12-H23H24) |
| 2854 (w) | 2853 (S) | 2860 (S) | ν (C12-H23H24) |
| 1512 (S) | 1509 (m) | δ (B1) ν (C4-O7) | |
| 1653 (S) | 1656 (w) | 1654 (w) | ν (C10=C11) |
| 1343 (w) | 1352 (m) | 1350 (m) | δ (B1) ρ (O7-H17) ρ (C10-H21) |
| 1246 (w) | 1243 (S) | 1242 (S) | δ (B1) νs (C3-O8-C9) ν (C1-C10) |
| 1189 (w) | 1190 (w) | δ (B1) ρ (C9-H18H19H20) | |
| 1164 (S) | 1158 (m) | 1166 (S) | δ (B1) ρ (C9-H19H20) τ (C9-H18H19) |
| 1088 (w) | 1092 (w) | 1096 (S) | ρ (O7-H17) δ (B1) |
| 989 (S) | 1002 (m) | ν (C9-O8) δ (B1) | |
| 856 (m) | 865 (w) | δ (B1) ρ (C12-H23H24) | |
| Experiment (cm−1) | Theory (cm−1) | Vibration | |
|---|---|---|---|
| B3LYP/3-21g | B3LYP/6-311g | ||
| 2932 (S) | 2924 (S) | 2912 (S) | νa (C25-H48H49) |
| 1547 (w) | 1552 (S) | δ (B1) ν (C10=C11) | |
| 1500 (S) | 1500 (S) | δ (B1, B2) ρ (C22-H44H45) | |
| 1368 (w) | 1363 (S) | 1374 (m) | ρ (C12-H36H37) ρ (O13-H38) |
| 1246 (w) | 1242 (S) | 1243 (S) | δ (B2) ρ (C11-H35) ρ (C25-H48H49) |
| 1189 (m) | δ (B2) ρ (C22-H43H44H45) ρ (O20-H42) | ||
| 1164 (S) | 1162 (m) | 1161 (w) | ρ (C9-H31H33) τ (C12-H36H37) δ (B2) |
| 1105 (w) | 1108 (m) | 1111 (w) | δ (B2) ρ (O28-H42) |
| 1088 (m) | 1084 (w) | 1075 (w) | ν (C11-C12) ρ (O13-H38) |
| 989 (S) | 996 (S) | 1003 (S) | δ (B2) ν (O21-C22) |
| 925 (w) | 923 (m) | 926 (m) | ν (O13-C12) ρ (C10=C11-H35) |
| 856 (m) | 862 (m) | 862 (m) | δ (B1) |
| 820 (w) | 823 (w) | ρ (C14=C19-H41) ρ (C17=C18-H40) | |
| 769 (m) | 764 (S) | ρ (O27-H51) | |
| 714 (m) | 716 (w) | 724 (S) | ρ (O27-H51) δ (B2) |
| Experiment (cm−1) | Theory (cm−1) | Vibration | |
|---|---|---|---|
| B3LYP/3-21g | B3LYP/6-311g | ||
| 2932 (m) | 2925 (m) | 2920 (m) | νs (C37-H73H74) ν (C37-H72) |
| 2854 (w) | 2852 (w) | 2859 (w) | ρ (C10-H50) |
| 1547 (w) | 1543 (S) | δ (B3) ρ (C26-H62H63H64) | |
| 1490 (S) | ρ (C26-H62H63H64) | ||
| 1342 (w) | 1345 (w) | 1343 (w) | ρ (C9-H48) ρ (C10-H49) ρ (O12-H52) |
| 1246 (w) | 1246 (S) | 1251 (m) | δ (B1) |
| 1196 (m) | 1201 (w) | δ (B1) ρ (O13-H53) | |
| 1164 (S) | 1157 (w) | τ (C37-H72H73H74) τ (C40-H76H77) ρ (O35-H71) | |
| 1105 (w) | 1110 (m) | 1111 (m) | δ (B1) |
| 1088 (m) | 1083 (m) | 1081 (m) | δ (B1) ρ (O39-H74) |
| 989 (S) | 980 (m) | 983 (w) | ν (C36-O37) |
| 925 (S) | 924 (w) | ν (O7-H8) ρ (C2-H42) ρ (C17-H54) | |
| 856 (w) | 860 (w) | 850 (w) | δ (B1, B2) |
| 836 (m) | 823 (m) | ρ (C22-H57) ρ (C24-H59H60) | |
| 714 (w) | 708 (m) | 713 (m) | δ (B1, B2, B3) ρ (O27-H66) |
| Experiment (cm−1) | Theory (cm−1) | Vibration | |
|---|---|---|---|
| B3LYP/3-21g | B3LYP/6-311g | ||
| 2932 (m) | 2925 (m) | 2926 (S) | ν (C37-H73H74) |
| 2854 (w) | 2866 (w) | νa (C86-H159H160) | |
| 1547 (m) | 1561 (w) | δ (B4) | |
| 1484 (S) | 1489 (S) | ρ (C75-H152H153) | |
| 1343 (w) | 1348 (m) | 1336 (w) | ρ (C21-H100) τ (C19-H105H106) ρ (O20-H107) |
| 1246 (w) | 1245 (S) | δ (B4) ρ (C50-H128) | |
| 1196 (m) | 1201 (S) | δ (B7) ν (C79-O78) | |
| 1164 (s) | 1156 (m) | 1160 (m) | ρ (C58-H135H134H136) |
| 1088 (m) | 1092 (S) | 1093 (m) | ρ (O7-H96) δ (B1) |
| 989 (S) | 980 (w) | 985 (w) | δ (B6) ν (O71-C72) |
| 925 (m) | 932 (S) | 940 (S) | ν (C10-O11) δ (B5) |
| 856 (w) | 852 (w) | 868 (m) | ρ (C40-H121) ν (C46-O47) |
| 820 (w) | 823 (w) | ρ (C17-H103) ρ (C18-H104) | |
| 769 (w) | 780 (w) | 769 (w) | δ (B1) δ (B2) |
| 714 (w) | 716 (m) | 716 (w) | ρ (O33-H116) |
Disclaimer/Publisher’s Note: The statements, opinions and data contained in all publications are solely those of the individual author(s) and contributor(s) and not of MDPI and/or the editor(s). MDPI and/or the editor(s) disclaim responsibility for any injury to people or property resulting from any ideas, methods, instructions or products referred to in the content. |
© 2024 by the authors. Licensee MDPI, Basel, Switzerland. This article is an open access article distributed under the terms and conditions of the Creative Commons Attribution (CC BY) license (https://creativecommons.org/licenses/by/4.0/).
Share and Cite
Miao, Z.; Li, Z.; Teng, X.; Wang, H.; Zhou, Y.; Qiu, Y.; Li, C.; Liu, C.; Tan, Y. Density Functional Theory Calculations and Infrared Spectral Analysis of Lignin. Molecules 2024, 29, 5683. https://doi.org/10.3390/molecules29235683
Miao Z, Li Z, Teng X, Wang H, Zhou Y, Qiu Y, Li C, Liu C, Tan Y. Density Functional Theory Calculations and Infrared Spectral Analysis of Lignin. Molecules. 2024; 29(23):5683. https://doi.org/10.3390/molecules29235683
Chicago/Turabian StyleMiao, Zhuang, Zhipeng Li, Xing Teng, Han Wang, Yingying Zhou, Yixin Qiu, Changming Li, Chunyu Liu, and Yong Tan. 2024. "Density Functional Theory Calculations and Infrared Spectral Analysis of Lignin" Molecules 29, no. 23: 5683. https://doi.org/10.3390/molecules29235683
APA StyleMiao, Z., Li, Z., Teng, X., Wang, H., Zhou, Y., Qiu, Y., Li, C., Liu, C., & Tan, Y. (2024). Density Functional Theory Calculations and Infrared Spectral Analysis of Lignin. Molecules, 29(23), 5683. https://doi.org/10.3390/molecules29235683
