Structure, Optical and Electrical Properties of Nb(Zn) Doped Sol–Gel ITO Films: Effect of Substrates and Dopants
Abstract
1. Introduction
- -
- It is simultaneously electrically conductive (a low electrical resistivity of ~10−4 Ω·cm) and optically transparent (more than 80%) [1];
- -
- It is durable and can withstand various environmental conditions, which is essential for the longevity of electronic devices;
- -
- ITO is a ternary composition of indium, tin, and oxygen in varying proportions. By varying the ratio of the elements, the transparency of ITO can be adjusted. As a thin film, ITO can have an optical transmittance well above 80%.
- -
- The scarcity and high cost of indium can increase the manufacturing costs of devices using ITO;
- -
- ITO can be brittle, leading to potential durability issues in flexible electronics applications. For this reason, other materials are being researched nowadays, such as carbon nanotubes, graphene, and conductive polymers that could provide similar benefits without the associated drawbacks.
2. Results and Discussion
2.1. Structural Characterization by XRD
2.2. Morphological Characterization by AFM Imaging
2.3. Morphological Characterization by SEM Imaging
2.4. Optical and Photonic Characterization
2.4.1. Raman Spectroscopic Analysis
2.4.2. Spectroscopic Ellipsometric Characterization
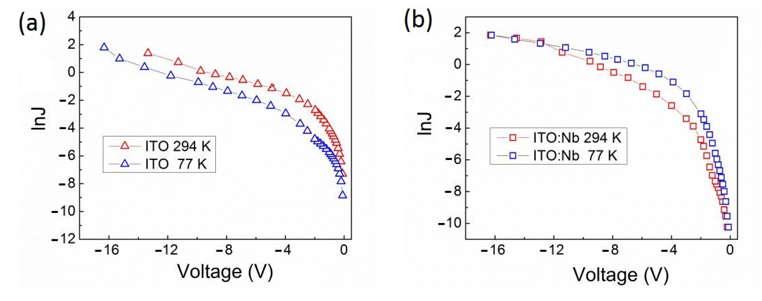
2.5. Electrical Characterization of Al-ITO-Si Structures
3. Materials and Methods
3.1. Film Preparation
3.2. Film Characterization
4. Conclusions
Author Contributions
Funding
Institutional Review Board Statement
Informed Consent Statement
Data Availability Statement
Acknowledgments
Conflicts of Interest
References
- Chen, Z.; Li, W.; Li, R.; Zhang, Y.; Xu, G.; Cheng, H. Fabrication of Highly Transparent and Conductive Indium–Tin Oxide Thin Films with a High Figure of Merit via Solution Processing. Langmuir 2013, 29, 13836–13842. [Google Scholar] [CrossRef] [PubMed]
- Micali, M.; Cosentino, S.; Terrasi, A. Structural, Optical and Electrical Characterization of ITO Films Co-Doped with Molybdenum. Sol. Energy Mater. Sol. Cells 2021, 221, 110904. [Google Scholar] [CrossRef]
- Gartner, M.; Anastasescu, M.; Calderon-Moreno, J.M.; Nicolescu, M.; Stroescu, H.; Hornoiu, C.; Preda, S.; Predoana, L.; Mitrea, D.; Covei, M. Multifunctional Zn-Doped ITO Sol–Gel Films Deposited on Different Substrates: Application as CO2-Sensing Material. Nanomaterials 2022, 12, 3244. [Google Scholar] [CrossRef]
- Asare, J.; Agyei-Tuffour, B.; Amonoo, E.A.; Dodoo-Arhin, D.; Nyankson, E.; Mensah, B.; Oyewole, O.O.; Yaya, A.; Onwona-Agyeman, B. Effects of Substrates on the Performance of Optoelectronic Devices: A Review. Cogent. Eng. 2020, 7, 1829274. [Google Scholar] [CrossRef]
- Lin, J.; Liang, R.; Tan, H.; Peng, J.; Huang, P.; Dai, J.; Li, Y.; Chen, J.; Xu, H.; Xiao, P. Optical and Electrical Properties of Niobium-Doped Indium Oxide Thin Films Prepared by Co-Sputtering Technique. Thin Solid Film. 2023, 787, 140139. [Google Scholar] [CrossRef]
- Aydın, E.B.; Sezgintürk, M.K. Indium Tin Oxide (ITO): A Promising Material in Biosensing Technology. TrAC Trends Anal. Chem. 2017, 97, 309–315. [Google Scholar] [CrossRef]
- Khan, M.Z.H. Effect of ITO Surface Properties on SAM Modification: A Review toward Biosensor Application. Cogent Eng. 2016, 3, 1170097. [Google Scholar] [CrossRef]
- Almaev, A.V.; Kopyev, V.V.; Novikov, V.A.; Chikiryaka, A.V.; Yakovlev, N.N.; Usseinov, A.B.; Karipbayev, Z.T.; Akilbekov, A.T.; Koishybayeva, Z.K.; Popov, A.I. ITO Thin Films for Low-Resistance Gas Sensors. Materials 2022, 16, 342. [Google Scholar] [CrossRef]
- Peng, K.; Li, Q.; Ma, M.; Li, N.; Sheng, H.; Li, H.; Huang, Y.; Yun, F. Acidic Gas Determination Using Indium Tin Oxide-Based Gas Sensors. Sensors 2024, 24, 1286. [Google Scholar] [CrossRef]
- Lee, S.; Noh, J.H.; Bae, S.-T.; Cho, I.-S.; Kim, J.Y.; Shin, H.; Lee, J.-K.; Jung, H.S.; Hong, K.S. Indium−Tin−Oxide-Based Transparent Conducting Layers for Highly Efficient Photovoltaic Devices. J. Phys. Chem. C 2009, 113, 7443–7447. [Google Scholar] [CrossRef]
- Sahoo, A.K.; Au, W.-C.; Pan, C.-L. Characterization of Indium Tin Oxide (ITO) Thin Films towards Terahertz (THz) Functional Device Applications. Coatings 2024, 14, 895. [Google Scholar] [CrossRef]
- Kim, T.; Chae, M.; Lee, D.; Kim, H.-D. Enhanced Optical and Electrical Properties of Indium Tin Oxide for Solar Cell Applications via Post-Microwave Treatment. Opt. Mater. 2024, 149, 115093. [Google Scholar] [CrossRef]
- Chelu, M.; Chesler, P.; Anastasescu, M.; Hornoiu, C.; Mitrea, D.; Atkinson, I.; Brasoveanu, C.; Moldovan, C.; Craciun, G.; Gheorghe, M.; et al. ZnO/NiO heterostructure-based microsensors used in formaldehyde detection at room temperature: Influence of the sensor operating voltage. J. Mater. Sci. Mater. Electron. 2022, 33, 19998–20011. [Google Scholar] [CrossRef] [PubMed]
- Wu, Y.; Ma, Y.; Zheng, H.; Ramakrishna, S. Piezoelectric Materials for Flexible and Wearable Electronics: A Review. Mater. Des. 2021, 211, 110164. [Google Scholar] [CrossRef]
- Gwamuri, J.; Vora, A.; Mayandi, J.; Güney, D.Ö.; Bergstrom, P.L.; Pearce, J.M. A New Method of Preparing Highly Conductive Ultra-Thin Indium Tin Oxide for Plasmonic-Enhanced Thin Film Solar Photovoltaic Devices. Sol. Energy Mater. Sol. Cells 2016, 149, 250–257. [Google Scholar] [CrossRef]
- Pandey, M.; Wang, Z.; Kapil, G.; Baranwal, A.K.; Hirotani, D.; Hamada, K.; Hayase, S. Dependence of ITO-Coated Flexible Substrates in the Performance and Bending Durability of Perovskite Solar Cells. Adv. Eng. Mater. 2019, 21, 1900288. [Google Scholar] [CrossRef]
- Luo, Q. Indium Tin Oxide Thin Film Strain Gages for Use at Elevated Temperatures. Ph.D. Thesis, University of Rhode Island, Kingston, RI, USA, 2001. [Google Scholar]
- Ohtsuka, M.; Sergiienko, R.; Petrovska, S.; Ilkiv, B.; Nakamura, T. Iron-Doped Indium Saving Indium-Tin Oxide (ITO) Thin Films Sputtered on Preheated Substrates. Optik 2019, 179, 19–28. [Google Scholar] [CrossRef]
- Wang, Y.; Wang, Z.; Huang, K.; Liang, X.; Liu, C.; Chen, C.; Liu, C. Solution-Processed ITO Thin-Film Transistors with Doping of Gallium Oxide Show High on-off Ratios and Work at 1 MV Drain Voltage. Appl. Phys. Lett. 2020, 116, 141604. [Google Scholar] [CrossRef]
- Mei, F.; Huang, J.; Yuan, T.; Li, R. Effect of Cerium Doping on the Microstructure and Photoelectric Properties of Ce-Doped ITO Films. Appl. Surf. Sci. 2020, 509, 144810. [Google Scholar] [CrossRef]
- Li, Y.-T.; Chen, D.-T.; Han, C.-F.; Lin, J.-F. Effect of the Addition of Zirconium on the Electrical, Optical, and Mechanical Properties and Microstructure of ITO Thin Films. Vacuum 2021, 183, 109844. [Google Scholar] [CrossRef]
- Nicolescu, M.; Mitrea, D.; Hornoiu, C.; Preda, S.; Stroescu, H.; Anastasescu, M.; Calderon-Moreno, J.M.; Predoana, L.; Teodorescu, V.S.; Maraloiu, V.; et al. Structural, Optical, and Sensing Properties of Nb-Doped ITO Thin Films Deposited by the Sol–Gel Method. Gels 2022, 8, 717. [Google Scholar] [CrossRef] [PubMed]
- Kitagawa, S.; Nakamura, T. Sputter Epitaxy and Characterization of Manganese-Doped Indium Tin Oxide Films with Different Crystallographic Orientations. J. Appl. Phys. 2023, 134, 165302. [Google Scholar] [CrossRef]
- Ren, Y.; Liu, P.; Liu, R.; Wang, Y.; Wei, Y.; Jin, L.; Zhao, G. The Key of ITO Films with High Transparency and Conductivity: Grain Size and Surface Chemical Composition. J. Alloys Compd. 2022, 893, 162304. [Google Scholar] [CrossRef]
- Liu, T.; Dong, H.; Wang, H.; Niu, Y.; Li, X.; Zhang, L.; Xiong, J.; Tan, Q. Nano Cone ITO Thin Films Prepared by Pulsed Laser Deposition for Surface Measurement of High-Temperature Components. J. Alloys Compd. 2023, 959, 170538. [Google Scholar] [CrossRef]
- Liu, S.; Xu, X.; Jiang, J. Flexible Transparent ITO Thin Film with High Conductivity and High-Temperature Resistance. Ceram. Int. 2024, 50, 47649–47654. [Google Scholar] [CrossRef]
- Nicolescu, M.; Anastasescu, M.; Calderon-Moreno, J.M.; Maraloiu, A.V.; Teodorescu, V.S.; Preda, S.; Predoana, L.; Zaharescu, M.; Gartner, M. Optical, Microstructural and Vibrational Properties of Sol–Gel ITO Films. Opt. Mater. 2021, 114, 110999. [Google Scholar] [CrossRef]
- Yoldas, B.E. Deposition and Properties of Optical Oxide Coatings from Polymerized Solutions. Appl. Opt. 1982, 21, 2960. [Google Scholar] [CrossRef] [PubMed]
- Wang, C.Y.; Dai, Y.; Pezoldt, J.; Lu, B.; Kups, T.; Cimalla, V.; Ambacher, O. Phase Stabilization and Phonon Properties of Single Crystalline Rhombohedral Indium Oxide. Cryst. Growth Des. 2008, 8, 1257–1260. [Google Scholar] [CrossRef]
- Sofi, A.H.; Shah, M.A.; Asokan, K. Structural, Optical and Electrical Properties of ITO Thin Films. J. Electron. Mater. 2018, 47, 1344–1352. [Google Scholar] [CrossRef]
- Berengue, O.M.; Rodrigues, A.D.; Dalmaschio, C.J.; Lanfredi, A.J.C.; Leite, E.R.; Chiquito, A.J. Structural Characterization of Indium Oxide Nanostructures: A Raman Analysis. J. Phys. D Appl. Phys. 2010, 43, 045401. [Google Scholar] [CrossRef]
- Calleja, J.M.; Cardona, M. Resonant Raman Scattering in ZnO. Phys. Rev. B 1977, 16, 3753–3761. [Google Scholar] [CrossRef]
- Heracleous, E.; Lemonidou, A. Ni–Nb–O Mixed Oxides as Highly Active and Selective Catalysts for Ethene Production via Ethane Oxidative Dehydrogenation. Part I: Characterization and Catalytic Performance. J. Catal. 2006, 237, 162–174. [Google Scholar] [CrossRef]
- Lozano, O.; Chen, Q.Y.; Wadekar, P.V.; Seo, H.W.; Chinta, P.V.; Chu, L.H.; Tu, L.W.; Lo, I.; Yeh, S.W.; Ho, N.J.; et al. Factors Limiting the Doping Efficiency of Transparent Conductors: A Case Study of Nb-Doped In2O3 Epitaxial Thin-Films. Sol. Energy Mater. Sol. Cells 2013, 113, 171–178. [Google Scholar] [CrossRef]
- Reshmi Krishnan, R.; Chalana, S.R.; Suresh, S.; Sudheer, S.K.; Sudarsanakumar, C.; Santhosh Kumar, M.C.; Mahadevan Pillai, V.P. Effect of Nb Doping on the Structural, Morphological, Optical and Electrical Properties of RF Magnetron Sputtered In2O3 Nanostructured Films. Phys. Status Solidi C 2017, 14, 1600095. [Google Scholar] [CrossRef]
- Predoana, L.; Preda, S.; Nicolescu, M.; Anastasescu, M.; Calderon-Moreno, J.M.; Duta, M.; Gartner, M.; Zaharescu, M. Influence of the Substrate Type on the Microstructural, Optical and Electrical Properties of Sol–Gel ITO Films. J. Sol-Gel Sci. Technol. 2014, 71, 303–312. [Google Scholar] [CrossRef]
- Bruggeman, D.A.G. Berechnung Verschiedener Physikalischer Konstanten von Heterogenen Substanzen. III. Die Elastischen Konstanten Der Quasiisotropen Mischkörper Aus Isotropen Substanzen. Ann. Phys. 1937, 421, 160–178. [Google Scholar] [CrossRef]
- Tompkins, H.G. WVASE32® Software Training Manual; JA Woollam Co., Inc.: Lincoln, NE, USA, 2006. [Google Scholar]
- Fan, J.C.C.; Goodenough, J.B. X-Ray Photoemission Spectroscopy Studies of Sn-Doped Indium-Oxide Films. J. Appl. Phys. 1977, 48, 3524–3531. [Google Scholar] [CrossRef]
- Chandra, W.; Ang, L.K.; Pey, K.L.; Ng, C.M. Two-Dimensional Analytical Mott-Gurney Law for a Trap-Filled Solid. Appl. Phys. Lett. 2007, 90, 153505. [Google Scholar] [CrossRef]
- Simeonov, S.; Szekeres, A.; Covei, M.; Spassov, D.; Kitin, G.; Predoana, L.; Calderon-Moreno, J.M.M.; Nicolescu, M.; Preda, S.; Stroescu, H.; et al. Inter-Trap Tunneling in Vanadium Doped TiO2 Sol-Gel Films. Mater. Res. Bull. 2020, 127, 110854. [Google Scholar] [CrossRef]
- Mott, N.F.; Gurney, R.W. Electronic Processes in Ionic Crystals, 2nd ed.; Dover Publications: Mineola, NY, USA, 1964; ISBN 9780486611839. [Google Scholar]
- Lampert, M.A.; Mark, P. Current Injection in Solids; Academic Press: Cambridge, MA, USA, 1970. [Google Scholar]
- Zhang, P.; Ang, Y.S.; Garner, A.L.; Valfells, Á.; Luginsland, J.W.; Ang, L.K. Space–Charge Limited Current in Nanodiodes: Ballistic, Collisional, and Dynamical Effects. J. Appl. Phys. 2021, 129, 100902. [Google Scholar] [CrossRef]
- Moritz, D.C.; Calvet, W.; Zare Pour, M.A.; Paszuk, A.; Mayer, T.; Hannappel, T.; Hofmann, J.P.; Jaegermann, W. Dangling Bond Defects on Si Surfaces and Their Consequences on Energy Band Diagrams: From a Photoelectrochemical Perspective. Sol. RRL 2023, 7, 2201063. [Google Scholar] [CrossRef]
- Mott, N.F. Conduction in Non-Crystalline Materials. Philos. Mag. 1969, 19, 835–852. [Google Scholar] [CrossRef]
- Apsley, N.; Hughes, H.P. Temperature-and Field-Dependence of Hopping Conduction in Disordered Systems. Philos. Mag. 1974, 30, 963–972. [Google Scholar] [CrossRef]
- Tauc, J.; Grigorovici, R.; Vancu, A. Optical Properties and Electronic Structure of Amorphous Germanium. Phys. Status Solidi 1966, 15, 627–637. [Google Scholar] [CrossRef]
- Kajihara, K.; Nakanishi, K.; Tanaka, K.; Hirao, K.; Soga, N. Preparation of Macroporous Titania Films by a Sol-Gel Dip-Coating Method from the System Containing Poly(Ethylene Glycol). J. Am. Ceram. Soc. 1998, 81, 2670–2676. [Google Scholar] [CrossRef]
















| Year | Materials | Deposition Method | Applications | Main Results | Refs. |
|---|---|---|---|---|---|
| 2019 | ITO + Fe | Sputtering | TCO | The transmittance of the ITO thin films has significantly improved through Fe doping. Iron dopant leads to a smooth surface compared to undoped ITO. | [18] |
| 2020 | ITO + Ga | SG | (TFTs) | The stability under stress tests of Ga-doped ITO TFTs has been improved by using a small amount of Ga as a dopant, compared with the undoped ITO thin films (ITO TFTs). | [19] |
| 2020 | ITO + Ce | Sputtering | TCO | The transmittance and electrical conductivity of the ITO thin films doped with 0.5 wt% Ce are enhanced compared to the undoped ITO films. | [20] |
| 2021 | ITO + Zr | Co-sputtering | TCO | The transmittance of the Zr-doped ITO thin films was enhanced in the infrared region, while in the VIS * region no important changes occurred, in comparison with the pure ITO films. | [21] |
| 2021 | ITO + Mo | RF * | TCO | The effect of thermal annealing on the properties of Mo-doped ITO films on film properties was investigated, observing an improvement of the optical transparency in VIS * and NIR * regions at T ≥ 300 °C. | [2] |
| 2022 | ITO + Zn | SG * | CO2 sensor | In terms of gas sensing properties, Zn-doped ITO thin films exhibit better sensitivity compared to the undoped samples. | [3] |
| 2022 | ITO + Nb | SG * | CO sensor | The Nb doping of ITO thin films was studied in terms of gas sensing. The measurements of undoped and Nb-doped ITO thin films show that the addition of Nb improved the gas detection, with the best results for 2000 ppm CO concentration at a working temperature of 300 °C. | [22] |
| 2023 | ITO + Mn | RF * magnetron sputtering | The Mn-doped ITO thin films deposited on single crystal yttria-stabilized zirconia (YSZ) substrates with different crystal plane orientations: (111), (110), (100) display surface uniformity as a result of epitaxial growth. In contrast, the films deposited on the YSZ (111) substrate present interesting properties (crystallinity, surface smoothness, and electrical conductivity). | [23] | |
| 2023 | ITO + Nb | Co-sputtering | TCO | The addition of Nb as a dopant to ITO thin films increased the optical transmittance in the NIR * region compared to undoped ITO film. | [5] |
| 2022 | ITO | SG * | TCO | The ITO thin films were annealed in a reducing gas with the aim of investigating the effect of optical-electrical properties. By such an annealing the electrical performance of the films was improved. Additionally, the annealed films exhibited higher transmission in the range of visible light. | [24] |
| 2023 | ITO | PLD | Semiconductor thin-film thermocouples (TFTCs) | The ITO thin films display a nano cone structure and thermoelectric properties, which make them a good candidate for the preparation of thermocouples. | [25] |
| 2024 | ITO | RF * magnetron sputtering | Flexible transparent electronic devices | The optical and electrical properties of ITO thin films were investigated at various annealing temperatures and under mechanical bending conditions. It was found that the films exhibit high transparency and good conductivity. | [26] |
| Substrate | Sample | d-Spacing (Å) | FWHM (°) | Crystallite Size (nm) |
|---|---|---|---|---|
| SiO2/Glass | ITO | 2.905 | 0.79 | 10.9 |
| ITO:Zn | 2.897 | 0.94 | 9.1 | |
| ITO:Nb | 2.902 | 0.90 | 9.6 | |
| Glass | ITO | 2.907 | 0.93 | 9.3 |
| ITO:Zn | 2.896 | 1.00 | 8.6 | |
| ITO:Nb | 2.898 | 0.93 | 9.3 | |
| Si(100) | ITO | 2.904 | 0.82 | 10.5 |
| ITO:Zn | 2.897 | 0.94 | 9.1 | |
| ITO:Nb | 2.905 | 1.03 | 8.4 |
| Structure | At Si–ITO Interface | In ITO Bulk | |||
|---|---|---|---|---|---|
| Nf (cm−2) | Nit (cm−2) | Ntm (cm−3) | qφa (at −0.4 V) (meV) | qφa (at −10 V) (meV) | |
| Si–ITO | +6.35 × 1010 | 1.20 × 1010 | - | 13.5 | 2.3 |
| Si–ITO:Zn | +8.92 × 1010 | 1.37 × 1010 | 2.25 × 1017 | 7.02 | 6.11 |
| Si–ITO:Nb | −8.05 × 1010 | 2.15 × 1010 | 6.13 × 1016 | 7.68 | 4.6 |
Disclaimer/Publisher’s Note: The statements, opinions and data contained in all publications are solely those of the individual author(s) and contributor(s) and not of MDPI and/or the editor(s). MDPI and/or the editor(s) disclaim responsibility for any injury to people or property resulting from any ideas, methods, instructions or products referred to in the content. |
© 2024 by the authors. Licensee MDPI, Basel, Switzerland. This article is an open access article distributed under the terms and conditions of the Creative Commons Attribution (CC BY) license (https://creativecommons.org/licenses/by/4.0/).
Share and Cite
Gartner, M.; Szekeres, A.; Simeonov, S.; Covei, M.; Anastasescu, M.; Preda, S.; Calderon-Moreno, J.M.; Predoana, L.; Stroescu, H.; Mitrea, D.; et al. Structure, Optical and Electrical Properties of Nb(Zn) Doped Sol–Gel ITO Films: Effect of Substrates and Dopants. Molecules 2024, 29, 5480. https://doi.org/10.3390/molecules29225480
Gartner M, Szekeres A, Simeonov S, Covei M, Anastasescu M, Preda S, Calderon-Moreno JM, Predoana L, Stroescu H, Mitrea D, et al. Structure, Optical and Electrical Properties of Nb(Zn) Doped Sol–Gel ITO Films: Effect of Substrates and Dopants. Molecules. 2024; 29(22):5480. https://doi.org/10.3390/molecules29225480
Chicago/Turabian StyleGartner, Mariuca, Anna Szekeres, Simeon Simeonov, Maria Covei, Mihai Anastasescu, Silviu Preda, Jose Maria Calderon-Moreno, Luminita Predoana, Hermine Stroescu, Daiana Mitrea, and et al. 2024. "Structure, Optical and Electrical Properties of Nb(Zn) Doped Sol–Gel ITO Films: Effect of Substrates and Dopants" Molecules 29, no. 22: 5480. https://doi.org/10.3390/molecules29225480
APA StyleGartner, M., Szekeres, A., Simeonov, S., Covei, M., Anastasescu, M., Preda, S., Calderon-Moreno, J. M., Predoana, L., Stroescu, H., Mitrea, D., & Nicolescu, M. (2024). Structure, Optical and Electrical Properties of Nb(Zn) Doped Sol–Gel ITO Films: Effect of Substrates and Dopants. Molecules, 29(22), 5480. https://doi.org/10.3390/molecules29225480

