Synthesis, Characterization, and Biological Evaluation of N-Methyl Derivatives of Norbelladine
Abstract
1. Introduction
2. Results
2.1. Cytotoxic Activity
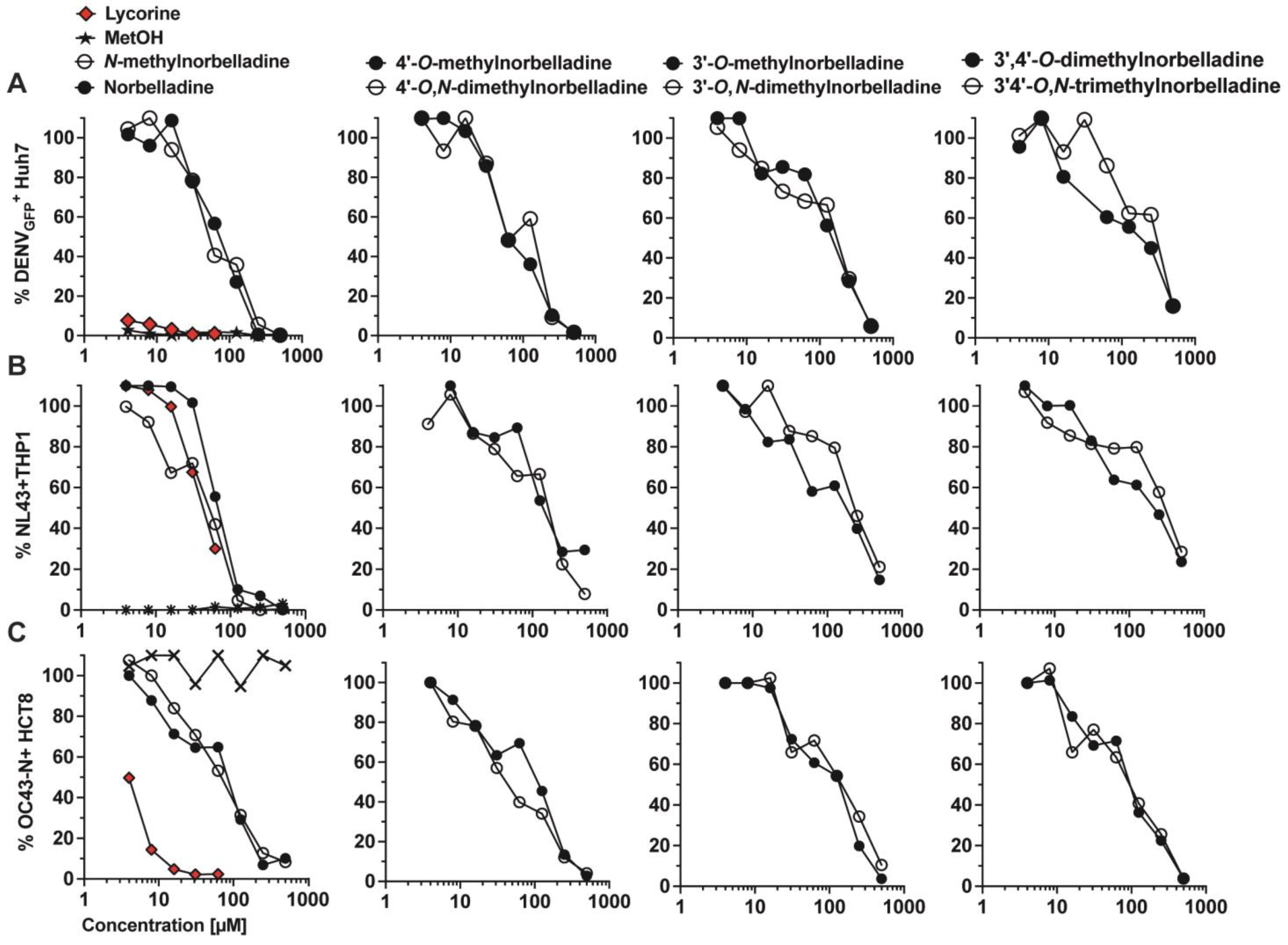
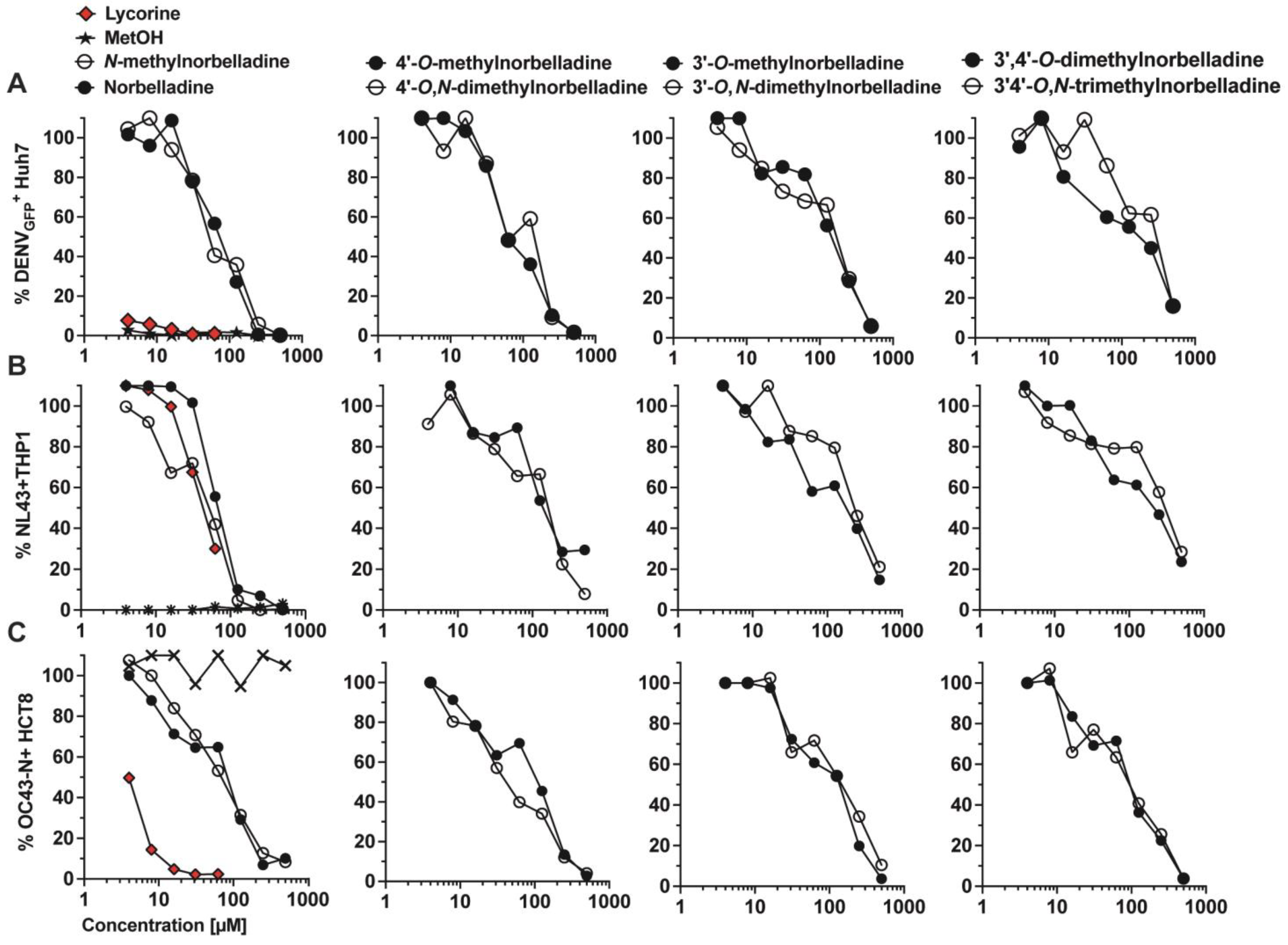
2.2. Antiviral Activity
2.3. Cholinesterase Inhibitory Effect
2.4. Molecular Docking of BuChE with Norbelladine Derivatives
3. Discussion
4. Conclusions
5. Materials and Methods
5.1. Chemical Synthesis and Purification of Norbelladine N-Methyl Derivatives
- N-methylnorbelladine (4-(2-(4-hydroxyphenyl)(methyl)amino)methyl)benzene-1,2-diol: Step 1 was performed with 537 mg of 3,4-dihydroxybenzaldehyde (3.88 mmol) and tyramine (533 mg, 3.88 mmol) and yielded 0.99 g of Norcraugsodine (99%). Step 2 was performed with 150 mg of Norcraugsodine (0.58 mmol) and yielded 130 mg of Norbelladine (86%), 1H-NMR (400 MHz, DMSO-d6): 6.96–6.94 (d, 2H, ArH), 6.69–6.68 (d, 2H, ArH), 6.65–6.61 (m, 2H, ArH), 6.52–6.50 (m, 2H, ArH), 3.52 (s, 2H, ArCH2N), 2.63–2.61 (m, 2H, NCH2CH2Ar), 2.59–2.58 (m, 2H, NCH2CH2Ar). 13C-NMR (100 MHz, DMSO-d6): 155.87,145.39, 144.40, 131.74, 130.76, 129.83, 119.31, 116.04, 115.60, 115.48, 53.01, 51.04, and 35.21. Step 3 was performed with 267 mg of norbelladine (1 mmol) and afforded 160.2 mg of N-methylnorbelladine as a brownish powder (60%). 1H-NMR (400 MHz, DMSO-d6): 6.97–6.94 (d, 2H, ArH), 6.65–6.62 (d, 2H, ArH), 6.25–6.20 (m, 2H, ArH), 6.19–6.14 (m, 2H, ArH), 3.16 (s, 2H, ArCH2N), 2.67–2.54 (m, 2H, NCH2CH2Ar), 2.46–2.32 (m, 2H, NCH2CH2Ar), 2.10 (s, 3H, -NCH3) ppm. 13C-NMR (100 MHz, DMSO-d6): 155.26, 146.83, 145.49, 130.58, 129.97, 129.32, 118.73, 116.17, 114.90, 62.42, 58,76, 45.08, 41.59, and 32.20.
- 4′-O,N-dimethylnorbelladine (5-(((4-hydroxyphenethyl)(methyl)amino)methyl)-2-methoxyphenol): Step 1 was performed with 561 mg of iso-vanillin (3-hydroxy-4-methoxybenzaldehyde) (3.68 mmol) and tyramine (506 mg, 3.68 mmol), resulting in 0.99 g of 4′-O-methylnorcraugsodine (99%), 1H NMR (200 MHz, DMSO-d6) d: 6.97–6.63 (7H, m, CH-Ar), 3.72 (3H, s, OMe), 3.54 (2H, s, Ar-CH2-NH), and 2.67–2.55 (4H, m, NH-CH2CH2-Ar); 13C NMR (200 MHz, DMSO-d6) d: 155.84, 146.75, 146.68, 134.04, 130.94, 129.82, 118.92, 115.83, 115.46, 112.38, 56.10, 53.00, 51.20, and 35.46. Step 2 was performed with 266 mg (0.97 mmol) of 4′-O-methylnorcraugsodine and yielded 212 mg of 4′-O-methylnorbelladine (80%). Step 3 was performed with 273 mg (1 mmol) of 4′-O-methylnorbelladine and yielded 245.7 mg of 4′-O,N-dimethylnorbelladine as a white powder (90%). 1HNMR (400 MHz, DMSO-d6): 6.91–6.47 (m, 7H, ArH), 3.70 (s, 3H, -OCH3), 3.30 (s, 2H, ArCH2N-), 2.60–2.41 (m, 4H, -NCH2CH2Ar), 2.11 (s, 3H, -NCH3) ppm. 13C-NMR (100 MHz, DMSO-d6): 156.06, 147.55, 146.72, 131.53, 129.75, 129.26, 118.20, 116.19, 115.09, 111.70, 61.06, 58.96, 55.47, 41.63, 32.17 ppm.
- 3′-O,N-dimethylnorbelladine (5-(((3-hydroxyphenethyl)(methyl)amino)methyl)-2-methoxyphenol): Step 1 was performed with 561 mg of vanillin (4-hydroxy-3-methoxybenzaldehyde) (3.68 mmol) and tyramine (506 mg, 3.68 mmol), resulting in 0.83 g of 3′-O-methylnorcraugsodine (83%). Step 2 was performed with 182.5 mg of 3′-O-methylnorcraugsodine (0.67 mmol) and yielded 170.0 mg of 3′-O-methylnorbelladine (92%), 1H NMR (200 MHz, DMSO-d6) d: 6.98–6.61 (7H, m, CH-Ar), 3.80 (2H, s, Ar-CH2-NH), 3.71 (3H, s, OMe), and 2.67–2.61 (4H, m, NHCH2CH2-Ar); 13C NMR (200 MHz, DMSO-d6) d: 155.96, 147.92, 147.13, 130.27, 129.85, 124.69, 121.12, 118.48, 115.54, 111.59, 56.04, 50.83, 50.57, and 34.85. Step 3 was performed with 273 mg of 3′-O-methylnorbelladine (1 mmol) and yielded 245.7 mg of 4′-O,N-dimethylnorbelladine as a white powder (90%). 1HNMR (400 MHz, DMSO-d6): 6.98–6.64 (m, 7H, ArH), 3.81 (s, 2H, ArCH2N-), 3.72 (s, 3H, -OCH3), 2.70–2.60 (m, 4H, -NCH2CH2Ar), 2.08 (s, 3H, -NCH3) ppm. 13C-NMR (100 MHz, DMSO-d6): 155.98, 147.92, 147.10, 130.22, 129.86, 124.57, 121.17, 118.50, 115.55, 111.62, 56.04, 50.73, 50.54, 49.06, and 34.78.
- 3′,4′-O,N-trimethylnorbelladine (5-(((3,4-dihydroxyphenethyl)(methyl)amino)methyl)-2-methoxyphenol): Step 1 was performed with 582 mg of 3,4-dimethoxybenzaldehyde (3.50 mmol) and tyramine (481 mg, 3.50 mmol), resulting in 0.56 g of 3′,4′-O-dimethylnorcraugsodine (56%). Step 2 was performed with 202 mg of 3′,4’-O-dimethylnorcraugsodine (0.7 mmol), resulting in 170 mg of 3′,4′-O-dimethylnorbelladine (83%), 1H NMR (200 MHz, DMSO-d6) d: 6.98–6.64 (7H, m, CH-Ar), 3.71 (6H, s, OMe), 3.65 (2H, s, Ar-CH2-NH), and 2.67–2.01 (4H, m, NH-CH2CH2-Ar); 13C NMR (200 MHz, DMSO-d6) d: 155.9, 149.03, 148.03, 133.35, 130.72, 129.86, 120.44, 115.47, 112.23, 111.95, 55.95, 55.79, 52.87, 50.92, and 35.15. Step 3 was performed with 273 mg of 3′,4′-O-dimethylnorbelladine (1 mmol) to yield 262.1 mg of 3′,4′-O,N-trimethylnorbelladine as a yellow powder (96%). 1HNMR (400 MHz, DMSO-d6): 6.98–6.62 (m, 7H, ArH), 3.71 (s, 3H, -OCH3), 3.62 (s, 2H, ArCH2N-), 2.66–2.55 (m, 4H, -NCH2CH2Ar), 1.89 (s,3H, -NCH3) ppm. 13C-NMR (100 MHz, DMSO-d6): 155.28, 148.44, 147.33, 133.19, 130.33, 129.27, 119.69, 114.96, 111.54, 111.34, 55.36, 52.44, 50.51, 48.47, 34.80, and 21.19.
5.2. Anti-Acetylcholinesterase (AChE) and -Butyrylcholinesterase (BuChE) Activity
5.3. Molecular Docking
5.4. Cell Lines and Culture
5.5. Cytotoxicity Assay
5.6. Viral Vectors
5.7. Antiviral Assays
5.8. Statistical Analysis
Author Contributions
Funding
Institutional Review Board Statement
Informed Consent Statement
Data Availability Statement
Acknowledgments
Conflicts of Interest
Appendix A








References
- Jin, Z.; Xu, X.-H. Amaryllidaceae Alkaloids. In Natural Products: Phytochemistry, Botany and Metabolism of Alkaloids, Phenolics and Terpenes; Ramawat, K.G., Mérillon, J.-M., Eds.; Springer: Berlin/Heidelberg, Germany, 2013; pp. 479–522. [Google Scholar]
- Hotchandani, T.; Desgagne-Penix, I. Heterocyclic Amaryllidaceae Alkaloids: Biosynthesis and Pharmacological Applications. Curr. Top. Med. Chem. 2017, 17, 418–427. [Google Scholar] [CrossRef] [PubMed]
- Desgagné-Penix, I. Biosynthesis of alkaloids in Amaryllidaceae plants: A review. Phytochem. Rev. 2021, 20, 409–431. [Google Scholar] [CrossRef]
- Jayawardena, T.U.; Merindol, N.; Liyanage, N.S.; Desgagné-Penix, I. Unveiling Amaryllidaceae alkaloids: From biosynthesis to antiviral potential—A review. Nat. Prod. Rep. 2024, 41, 721–747. [Google Scholar] [CrossRef] [PubMed]
- Singh, A.; Massicotte, M.-A.; Garand, A.; Tousignant, L.; Ouellette, V.; Bérubé, G.; Desgagné-Penix, I. Cloning and characterization of norbelladine synthase catalyzing the first committed reaction in Amaryllidaceae alkaloid biosynthesis. BMC Plant Biol. 2018, 18, 338. [Google Scholar] [CrossRef]
- Lichman, B.R. The scaffold-forming steps of plant alkaloid biosynthesis. Nat. Prod. Rep. 2021, 38, 103–129. [Google Scholar] [CrossRef] [PubMed]
- Heinrich, M.; Lee Teoh, H. Galanthamine from snowdrop—The development of a modern drug against Alzheimer’s disease from local Caucasian knowledge. J. Ethnopharmacol. 2004, 92, 147–162. [Google Scholar] [CrossRef]
- Bartolucci, C.; Perola, E.; Pilger, C.; Fels, G.; Lamba, D. Three-dimensional structure of a complex of galanthamine (Nivalin) with acetylcholinesterase from Torpedo californica: Implications for the design of new anti-Alzheimer drugs. Proteins 2001, 42, 182–191. [Google Scholar] [CrossRef]
- Cummings, J.; Lee, G.; Zhong, K.; Fonseca, J.; Taghva, K. Alzheimer’s disease drug development pipeline: 2021. Alzheimer’s Dement. 2021, 7, e12179. [Google Scholar] [CrossRef]
- Evidente, A.; Kireev, A.S.; Jenkins, A.R.; Romero, A.E.; Steelant, W.F.; Van Slambrouck, S.; Kornienko, A. Biological evaluation of structurally diverse amaryllidaceae alkaloids and their synthetic derivatives: Discovery of novel leads for anticancer drug design. Planta Med. 2009, 75, 501–507. [Google Scholar] [CrossRef]
- Pellegrino, S.; Meyer, M.; Zorbas, C.; Bouchta, S.A.; Saraf, K.; Pelly, S.C.; Yusupova, G.; Evidente, A.; Mathieu, V.; Kornienko, A.; et al. The Amaryllidaceae Alkaloid Haemanthamine Binds the Eukaryotic Ribosome to Repress Cancer Cell Growth. Structure 2018, 26, 416–425.e4. [Google Scholar] [CrossRef]
- Gabrielsen, B.; Monath, T.P.; Huggins, J.W.; Kefauver, D.F.; Pettit, G.R.; Groszek, G.; Hollingshead, M.; Kirsi, J.J.; Shannon, W.M.; Schubert, E.M.; et al. Antiviral (RNA) activity of selected Amaryllidaceae isoquinoline constituents and synthesis of related substances. J. Nat. Prod. 1992, 55, 1569–1581. [Google Scholar] [CrossRef] [PubMed]
- Wang, P.; Li, L.F.; Wang, Q.Y.; Shang, L.Q.; Shi, P.Y.; Yin, Z. Anti-dengue-virus activity and structure-activity relationship studies of lycorine derivatives. ChemMedChem 2014, 9, 1522–1533. [Google Scholar] [CrossRef] [PubMed]
- Zhang, Y.N.; Zhang, Q.Y.; Li, X.D.; Xiong, J.; Xiao, S.Q.; Wang, Z.; Zhang, Z.R.; Deng, C.L.; Yang, X.L.; Wei, H.P.; et al. Gemcitabine, lycorine and oxysophoridine inhibit novel coronavirus (SARS-CoV-2) in cell culture. Emerg. Microbes Infect. 2020, 9, 1170–1173. [Google Scholar] [CrossRef]
- Ka, S.; Merindol, N.; Sow, A.A.; Singh, A.; Landelouci, K.; Plourde, M.B.; Pepin, G.; Masi, M.; Di Lecce, R.; Evidente, A.; et al. Amaryllidaceae Alkaloid Cherylline Inhibits the Replication of Dengue and Zika Viruses. Antimicrob. Agents Chemother. 2021, 65, e0039821. [Google Scholar] [CrossRef]
- Masi, M.; Di Lecce, R.; Merindol, N.; Girard, M.P.; Berthoux, L.; Desgagne-Penix, I.; Calabro, V.; Evidente, A. Cytotoxicity and Antiviral Properties of Alkaloids Isolated from Pancratium maritimum. Toxins 2022, 14, 262. [Google Scholar] [CrossRef]
- Girard, M.-P.; Merindol, N.; Berthoux, L.; Desgagné-Penix, I. Le pouvoir antiviral des alcaloïdes de végétaux contre les virus à ARN. Virologie 2022, 26, 431–450. [Google Scholar] [CrossRef] [PubMed]
- Girard, M.P.; Karimzadegan, V.; Heneault, M.; Cloutier, F.; Berube, G.; Berthoux, L.; Merindol, N.; Desgagne-Penix, I. Chemical Synthesis and Biological Activities of Amaryllidaceae Alkaloid Norbelladine Derivatives and Precursors. Molecules 2022, 27, 5621. [Google Scholar] [CrossRef]
- Vaněčková, N.; Hošt‘álková, A.; Šafratová, M.; Kuneš, J.; Hulcová, D.; Hrabinová, M.; Doskočil, I.; Štěpánková, Š.; Opletal, L.; Nováková, L.; et al. Isolation of Amaryllidaceae alkaloids from Nerine bowdenii W. Watson and their biological activities. RSC Adv. 2016, 6, 80114–80120. [Google Scholar] [CrossRef]
- Al Mamun, A.; Maříková, J.; Hulcová, D.; Janoušek, J.; Šafratová, M.; Nováková, L.; Kučera, T.; Hrabinová, M.; Kuneš, J.; Korábečný, J.; et al. Amaryllidaceae Alkaloids of Belladine-Type from Narcissus pseudonarcissus cv. Carlton as New Selective Inhibitors of Butyrylcholinesterase. Biomolecules 2020, 10, 800. [Google Scholar] [CrossRef]
- Hostalkova, A.; Marikova, J.; Opletal, L.; Korabecny, J.; Hulcova, D.; Kunes, J.; Novakova, L.; Perez, D.I.; Jun, D.; Kucera, T.; et al. Isoquinoline Alkaloids from Berberis vulgaris as Potential Lead Compounds for the Treatment of Alzheimer’s Disease. J. Nat. Prod. 2019, 82, 239–248. [Google Scholar] [CrossRef]
- Nachon, F.; Carletti, E.; Ronco, C.; Trovaslet, M.; Nicolet, Y.; Jean, L.; Renard, P.Y. Crystal structures of human cholinesterases in complex with huprine W and tacrine: Elements of specificity for anti-Alzheimer’s drugs targeting acetyl- and butyryl-cholinesterase. Biochem. J. 2013, 453, 393–399. [Google Scholar] [CrossRef] [PubMed]
- Park, J.B. Synthesis and characterization of norbelladine, a precursor of Amaryllidaceae alkaloid, as an anti-inflammatory/anti-COX compound. Bioorg. Med. Chem. Lett. 2014, 24, 5381–5384. [Google Scholar] [CrossRef]
- Mamun, A.A.; Pidany, F.; Hulcova, D.; Marikova, J.; Kucera, T.; Schmidt, M.; Catapano, M.C.; Hrabinova, M.; Jun, D.; Muckova, L.; et al. Amaryllidaceae Alkaloids of Norbelladine-Type as Inspiration for Development of Highly Selective Butyrylcholinesterase Inhibitors: Synthesis, Biological Activity Evaluation, and Docking Studies. Int. J. Mol. Sci. 2021, 22, 8308. [Google Scholar] [CrossRef] [PubMed]
- Darvesh, S.; Hopkins, D.A.; Geula, C. Neurobiology of butyrylcholinesterase. Nat. Rev. Neurosci. 2003, 4, 131–138. [Google Scholar] [CrossRef]
- Li, S.; Li, A.J.; Travers, J.; Xu, T.; Sakamuru, S.; Klumpp-Thomas, C.; Huang, R.; Xia, M. Identification of Compounds for Butyrylcholinesterase Inhibition. SLAS Discov. Adv. Sci. Drug Discov. 2021, 26, 1355–1364. [Google Scholar] [CrossRef]
- Kanzari-Mnallah, D.; Salhi, S.; Knorr, M.; Kirchhoff, J.-L.; Strohmann, C.; Efrit, M.L.; Akacha, A.B. Synthesis of isomeric β-cycloalkoxyphosphonated hydrazones containing a dioxaphosphorinane ring: Configurational and conformational investigation and molecular docking analysis. J. Mol. Struct. 2024, 1317, 139035. [Google Scholar] [CrossRef]
- Padilla-Bernal, G.; Vargas, R.; Martínez, A. Salt bridge: Key interaction between antipsychotics and receptors. Theor. Chem. Acc. 2023, 142, 65. [Google Scholar] [CrossRef]
- Friedli, M.J.; Inestrosa, N.C. Huperzine A and Its Neuroprotective Molecular Signaling in Alzheimer’s Disease. Molecules 2021, 26, 6531. [Google Scholar] [CrossRef]
- Armarego, W.L. Purification of Laboratory Chemicals: Part 2 Inorganic Chemicals, Catalysts, Biochemicals, Physiologically Active Chemicals, Nanomaterials; Butterworth-Heinemann: Oxford, UK, 2022. [Google Scholar]
- Zippilli, C.; Botta, L.; Bizzarri, B.M.; Nencioni, L.; De Angelis, M.; Protto, V.; Giorgi, G.; Baratto, M.C.; Pogni, R.; Saladino, R. Laccase-Catalyzed 1,4-Dioxane-Mediated Synthesis of Belladine N-Oxides with Anti-Influenza A Virus Activity. Int. J. Mol. Sci. 2021, 22, 1337. [Google Scholar] [CrossRef]
- Salentin, S.; Schreiber, S.; Haupt, V.J.; Adasme, M.F.; Schroeder, M. PLIP: Fully automated protein-ligand interaction profiler. Nucleic Acids Res. 2015, 43, W443–W447. [Google Scholar] [CrossRef]
- Fischl, W.; Bartenschlager, R. High-throughput screening using dengue virus reporter genomes. Methods Mol. Biol. 2013, 1030, 205–219. [Google Scholar] [CrossRef] [PubMed]
- He, J.; Chen, Y.; Farzan, M.; Choe, H.; Ohagen, A.; Gartner, S.; Busciglio, J.; Yang, X.; Hofmann, W.; Newman, W.; et al. CCR3 and CCR5 are co-receptors for HIV-1 infection of microglia. Nature 1997, 385, 645–649. [Google Scholar] [CrossRef] [PubMed]
- Chatel-Chaix, L.; Bartenschlager, R. Dengue virus- and hepatitis C virus-induced replication and assembly compartments: The enemy inside—Caught in the web. J. Virol. 2014, 88, 5907–5911. [Google Scholar] [CrossRef] [PubMed]





| CC50 (µM) | EC50 (µM) | SI | |||||||
|---|---|---|---|---|---|---|---|---|---|
| HCT-8 | Huh7 | THP-1 | OC-43 | DENV | HIV-1 | OC-43 | DENV | HIV-1 | |
| Norbelladine | >500 | 233.1 | 148.5 | 55.71 | 70.63 | 66.89 | >8.98 | 3.30 | 2.22 |
| N-methylnorbelladine | >500 | 386.2 | 226.6 | 66.77 | 67.74 | 42.28 | >7.49 | 5.70 | 5.36 |
| 4′-O-methylnorbelladine | >500 | >500 | >500 | 63.04 | 79.56 | 163.2 | >7.93 | >6.28 | >3.06 |
| 4′-O,N-dimethylnorbelladine | >500 | 460.5 | >500 | 42.37 | 95.76 | 123.3 | >11.80 | 4.81 | >4.06 |
| 3′-O-methylnorbelladine | >500 | >500 | >500 | 74.55 | 138.3 | 176.7 | >6.71 | >3.62 | >2.83 |
| 3′-O,N-dimethylnorbelladine | >500 | >500 | >500 | 118.7 | 126.5 | 244.2 | >4.21 | >3.95 | >2.05 |
| 3′,4′-O-dimethylnorbelladine | >500 | >500 | >500 | 84.67 | 137.3 | 189.9 | >5.91 | >3.64 | >2.63 |
| 3′,4′-O,N-trimethylnorbelladine | >500 | >500 | >500 | 81.96 | 296.7 | 287.2 | >6.10 | >1.69 | >1.74 |
| Compound | % BuChE Inhibition (500 μM) | BuChE IC50 (μM) | % AChE Inhibition (500 μM) | AChE IC50 (μM) |
|---|---|---|---|---|
| Norbelladine | 95 | 8 | 24.5 | Nd |
| N-methylnorbelladine | 96 | 4 | 31.2 | Nd |
| 4′-O-methylnorbelladine | 99 | 16.1 | 33.62 | Nd |
| 4′-O,N-dimethylnorbelladine | 99 | 10.4 | 43.6 | Nd |
| 3′-O-methylnorbelladine | 96 | 27.5 | 10 | Nd |
| 3′-O,N-dimethylnorbelladine | 96 | 38 | 0 | Nd |
| 3′,4′-O-dimethylnorbelladine | 94 | 108.3 | 37 | Nd |
| 3′,4′-O,N-trimethylnorbelladine | 91 | 127 | 25.5 | Nd |
| Ligand | Score (kCal/mol) | Interactions | |||||||
|---|---|---|---|---|---|---|---|---|---|
| Hydrophobic | H-Bond | π Stack | Salt Bridge | ||||||
| res | dist (Å) | res | dist (Å) | res | dist (Å) | res | dist (Å) | ||
| Norbelladine | −6.5 | Trp82 (n = 4), Tyr440 | 3.48, 3.96, 3.98, 3.67 3.68 | Thr120, Tyr332 (n = 2) | 2.55, 2.30 2.42 | Trp82 | 3.65 | n.d. | n.a. |
| N-methylnorbelladine | −6.4 | Trp82 (n = 2), Leu125, Ala328, Tyr440 | 3.47, 3.63 4.00, 3.71 3.95 | Thr120 | 2.59 | n.d. | n.a. | Glu197 | 4.18 |
| 4′-O-methylnorbelladine | −6.6 | Trp82, Ala328 | 3.36, 3.51 | His438 | 3.44 | n.d. | n.a. | n.d. | n.a. |
| 4′-O,N-dimethylnorbelladine | −6.9 | Trp82, Ala328 | 3.82, 3.98 | Asn83 | 3.24 | Trp82 | 4.86 | Glu197 | 4.25 |
| 3′-O-methylnorbelladine | −7.0 | Trp82 (n = 2), Phe329 | 3.55, 3.95 3.70 | Thr120 | 2.62 | n.d. | n.a. | n.d. | n.a. |
| 3′-O,N-dimethylnorbelladine | −7.1 | Trp82 (n = 2), Trp430, Tyr440 | 3.52, 3.82 3.67, 3.81 | Trp82, His438 | 2.24, 3.11 | n.d. | n.a. | Glu197 | 4.95 |
| 3′,4′-O-dimethylnorbelladine | −7.4 | Trp82 (n = 2), | 3.58, 3.96 | Thr120 | 2.61 | n.d. | n.a. | n.d. | n.a. |
| 3′,4′-O,N-trimethylnorbelladine | −7.3 | Trp82 (n = 2), Trp430, Tyr440 | 3.60, 3.71, 3.73, 3.57 | Trp82 | 2.04 | n.d. | n.a. | Glu197 | 4.66 |
Disclaimer/Publisher’s Note: The statements, opinions and data contained in all publications are solely those of the individual author(s) and contributor(s) and not of MDPI and/or the editor(s). MDPI and/or the editor(s) disclaim responsibility for any injury to people or property resulting from any ideas, methods, instructions or products referred to in the content. |
© 2024 by the authors. Licensee MDPI, Basel, Switzerland. This article is an open access article distributed under the terms and conditions of the Creative Commons Attribution (CC BY) license (https://creativecommons.org/licenses/by/4.0/).
Share and Cite
Hashemian, S.M.; Merindol, N.; Paquin, A.; Singh, A.; Berthoux, L.; Daoust, B.; Desgagné-Penix, I. Synthesis, Characterization, and Biological Evaluation of N-Methyl Derivatives of Norbelladine. Molecules 2024, 29, 4442. https://doi.org/10.3390/molecules29184442
Hashemian SM, Merindol N, Paquin A, Singh A, Berthoux L, Daoust B, Desgagné-Penix I. Synthesis, Characterization, and Biological Evaluation of N-Methyl Derivatives of Norbelladine. Molecules. 2024; 29(18):4442. https://doi.org/10.3390/molecules29184442
Chicago/Turabian StyleHashemian, S. Mahsa, Natacha Merindol, Alexis Paquin, Amita Singh, Lionel Berthoux, Benoit Daoust, and Isabel Desgagné-Penix. 2024. "Synthesis, Characterization, and Biological Evaluation of N-Methyl Derivatives of Norbelladine" Molecules 29, no. 18: 4442. https://doi.org/10.3390/molecules29184442
APA StyleHashemian, S. M., Merindol, N., Paquin, A., Singh, A., Berthoux, L., Daoust, B., & Desgagné-Penix, I. (2024). Synthesis, Characterization, and Biological Evaluation of N-Methyl Derivatives of Norbelladine. Molecules, 29(18), 4442. https://doi.org/10.3390/molecules29184442

