Extracts and Terpenoids from Stevia Species as Potential Anthelmintics for Neglected Tropical Diseases Caused by Cestode Parasites
Abstract
1. Introduction
2. Results
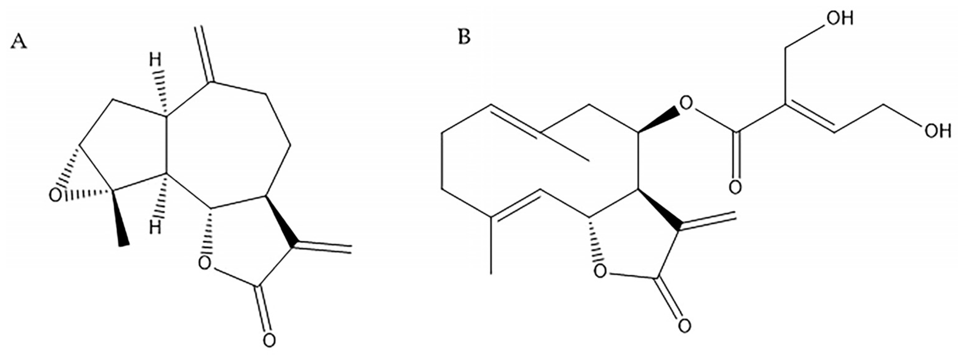
2.1. Stevia Extracts and Pure Phytochemicals
2.2. Effect of Stevia Extracts and Compounds on Cestode Viability
3. Discussion
4. Materials and Methods
4.1. Plant Materials
4.2. Extract Preparation
4.3. Chromatographic Analysis of the Stevia Crude Extracts
4.4. Isolation and Purification of Phytochemicals
4.5. Purity Assessment and Identification of the Isolated Compounds
4.6. Drugs Preparation for Biological Assays
4.7. Ethics Statement Assays
4.8. Parasite Material
4.9. In Vitro Anthelmintic Assays
5. Conclusions
Author Contributions
Funding
Institutional Review Board Statement
Informed Consent Statement
Data Availability Statement
Acknowledgments
Conflicts of Interest
References
- Koziol, U. Evolutionary developmental biology (evo-devo) of cestodes. Exp. Parasitol. 2017, 180, 84–100. [Google Scholar] [CrossRef] [PubMed]
- Bogitsh, B.J.; Carter, C.E.; Oeltmann, T.N. General Characteristics of the cestoda. In Human Parasitology, 4th ed.; Elsevier: Waltham, MA, USA, 2013; Chapter 12; pp. 217–235. ISBN 978-0-12-415915-0. [Google Scholar]
- World Health Organization (WHO). Ending the Neglect to Attain the Sustainable Development Goals: A Road Map for Neglected Tropical Diseases 2021–2030. 2020. Available online: https://www.who.int/publications/i/item/9789240010352 (accessed on 30 May 2024).
- Lacey, E. Mode of action of benzimidazoles. Parasitol. Today 1990, 6, 112–115. [Google Scholar] [CrossRef]
- Jeziorski, M.C.; Greenberg, R.M. Voltage-gated calcium channel subunits from platyhelminths: Potential role in praziquantel action. Int. J. Parasitol. 2006, 36, 625–632. [Google Scholar] [CrossRef] [PubMed]
- Park, S.K.; Friedrich, L.; Yahya, N.A.; Rohr, C.M.; Chulkov, E.G.; Maillard, D.; Rippmann, F.; Spangenberg, T.; Marchant, J.S. Mechanism of praziquantel action at a parasitic flatworm ion channel. Sci. Transl. Med. 2021, 13, eabj5832. [Google Scholar] [CrossRef] [PubMed]
- Eckert, J.; Thompson, R.C. Historical aspects of echinococcosis. Adv. Parasitol. 2017, 95, 1–64. [Google Scholar]
- Stojkovic, M.; Zwahlen, M.; Teggi, A.; Vutova, K.; Cretu, C.M.; Virdone, R.; Nicolaidou, P.; Cobanoglu, N.; Junghanss, T. Treatment response of cystic echinococcosis to benzimidazoles: A systematic review. PLoS Negl. Trop. Dis. 2009, 3, e524. [Google Scholar] [CrossRef]
- Ammann, R.W.; Stumpe, K.D.; Grimm, F.; Deplazes, P.; Huber, S.; Bertogg, K.; Fischer, D.R.; Müllhaupt, B. Outcome after discontinuing long-term benzimidazole treatment in 11 patients with non-resectable alveolar echinococcosis with negative FDG-PET/CT and anti-EmII/3-10 serology. PLoS Negl. Trop. Dis. 2015, 9, e0003964. [Google Scholar] [CrossRef]
- Lightowlers, M.W.; Gasser, R.B.; Hemphill, A.; Romig, T.; Tamarozzi, F.; Deplazes, P.; Torgerson, P.R.; Garcia, H.H.; Kern, P. Advances in the treatment, diagnosis, control and scientific understanding of taeniid cestode parasite infections over the past 50 years. Int. J. Parasitol. 2021, 51, 1167–1192. [Google Scholar] [CrossRef]
- Thompson, R.; Jue Sue, L.P.; Buckley, S.J. In vitro development of the strobilar stage of Mesocestoides corti. Int. J. Parasitol. 1982, 12, 303–314. [Google Scholar] [CrossRef]
- Hrčková, G.; Velebný, S.; Corba, J. Effects of free and liposomized praziquantel on the surface morphology and motility of Mesocestoides vogae tetrathyridia (syn. M. corti; Cestoda: Cyclophyllidea) in vitro. Parasitol. Res. 1998, 84, 230–238. [Google Scholar]
- Hemphill, A. Development and applications of cestode and trematode laboratory models. Parasitology 2010, 137, 329–333. [Google Scholar] [CrossRef] [PubMed][Green Version]
- Saldaña, J.; Marín, M.; Fernández, C.; Domínguez, L. In vitro taurocholate-induced segmentation and clustering of Mesocestoides vogae (syn. corti) tetrathyridia (Cestoda)–inhibition by cestocidal drugs. Parasitol. Res. 2001, 87, 281–286. [Google Scholar] [PubMed]
- Koziol, U.; Domínguez, M.F.; Marín, M.; Kun, A.; Castillo, E. Stem cell proliferation during in vitro development of the model cestode Mesocestoides corti from larva to adult worm. Front. Zool. 2010, 7, 1–12. [Google Scholar] [CrossRef] [PubMed]
- Grecco, A.; Macchiaroli, N.; Pérez, M.G.; Casulli, A.; Cucher, M.A.; Rosenzvit, M.C. microRNA silencing in a whole worm cestode model provides insight into miR-71 function. Int. J. Parasitol. 2023, 53, 699–710. [Google Scholar] [CrossRef] [PubMed]
- Maggiore, M.; Elissondo, M.C. In vitro cestocidal activity of thymol on Mesocestoides corti tetrathyridia and adult worms. Interdiscip. Perspect. Infect. Dis. 2014, 2014, 268135. [Google Scholar] [CrossRef]
- De Lange, A.; Mahanty, S.; Raimondo, J.V. Model systems for investigating disease processes in neurocysticercosis. Parasitology 2019, 146, 553–562. [Google Scholar] [CrossRef]
- Newman, D.J.; Cragg, G.M. Natural products as sources of new drugs over the nearly four decades from 01/1981 to 09/2019. J. Nat. Prod. 2020, 83, 770–803. [Google Scholar] [CrossRef]
- Cragg, G.; Newman, D. Natural products and drug discovery and development: A history of success and continuing promise for the future. Planta Medica 2014, 80, IL1. [Google Scholar] [CrossRef]
- Kinghorn, A.D. Overview. In Stevia. The Genus Stevia, 1st ed.; Kinghorn, A.D., Ed.; Taylor and Francis: London, UK, 2002; Chapter 1; pp. 1–17. [Google Scholar]
- Soejarto, D.D. Ethnobotany of Stevia and Stevia rebaudiana. In Stevia. The Genus Stevia, 1st ed.; Kinghorn, A.D., Ed.; Taylor and Francis: London, UK, 2002; Chapter 3; pp. 40–67. [Google Scholar]
- Borgo, J.; Laurella, L.C.; Martini, F.; Catalán, C.A.N.; Sülsen, V.P. Stevia genus: Phytochemistry and biological activities update. Molecules 2021, 26, 2733. [Google Scholar] [CrossRef]
- Elso, O.G.; Puente, V.; Barrera, P.; Sosa-Escudero, M.A.; Sülsen, V.P.; Lombardo, M.E. Mode of action of the sesquiterpene lactones eupatoriopicrin and estafietin on Trypanosoma cruzi. Phytomedicine 2022, 96, 153900. [Google Scholar] [CrossRef]
- Sülsen, V.; Lizarraga, E.; Elso, O.; Cerny, N.; Sanchez Alberti, A.; Bivona, A.; Malchiodi, E.; Cazorla, S.; Catalán, C. Activity of estafietin and analogues on Trypanosoma cruzi and Leishmania braziliensis. Molecules 2019, 24, 1209. [Google Scholar] [CrossRef] [PubMed]
- Borgo, J.; Elso, O.G.; Gomez, J.; Coll, M.; Catalán, C.A.N.; Mucci, J.; Alvarez, G.; Randall, L.M.; Barrera, P.; Malchiodi, E.L.; et al. Anti-Trypanosoma cruzi properties of sesquiterpene lactones isolated from Stevia spp.: In vitro and in silico studies. Pharmaceutics 2023, 15, 647. [Google Scholar] [CrossRef] [PubMed]
- Beer, M.F.; Frank, F.M.; Elso, O.G.; Bivona, A.E.; Cerny, N.; Giberti, G.; Malchiodi, E.L.; Martino, S.V.; Alonso, M.R.; Sülsen, V.P.; et al. Trypanocidal and leishmanicidal activities of flavonoids isolated from Stevia satureiifolia var. satureiifolia. Pharm. Biol. 2016, 54, 2188–2195. [Google Scholar] [CrossRef] [PubMed]
- Albani, C.M.; Borgo, J.; Fabbri, J.; Pensel, P.; Paladini, A.; Beer, M.F.; Laurella, L.; Elso, O.; Farias, N.; Elissondo, N.; et al. Antiparasitic effects of Asteraceae species extracts on Echinococcus granulosus s.s. Evid.-Based Complement. Altern. Med. 2022, 2022, e6371849. [Google Scholar] [CrossRef]
- Albani, C.M.; Borgo, J.; Fabbri, J.; Pensel, P.; Fasciani, L.; Elso, O.; Papademetrio, D.; Grasso, D.; Paladini, A.; Beer, M.F.; et al. Anthelmintic activity of Stevia multiaristata extract against Echinococcus granulosus sensu stricto. Parasitology 2022, 149, 519–528. [Google Scholar] [CrossRef]
- de Heluani, C.S.; de Lampasona, M.P.; Catalán, C.A.N.; Goedken, V.L.; Gutiérrez, A.B.; Herz, W. Guaianolides, heliangolides and other constituents from Stevia alpina. Phytochemistry 1989, 28, 1931–1935. [Google Scholar] [CrossRef]
- Borgo, J.; Wagner, M.S.; Laurella, L.C.; Elso, O.G.; Selener, M.G.; Clavin, M.; Bach, H.; Catalán, C.A.N.; Bivona, A.E.; Sepúlveda, C.S.; et al. Plant extracts and phytochemicals from the Asteraceae family with antiviral properties. Molecules 2024, 29, 814. [Google Scholar] [CrossRef]
- Simonetta, S.H.; Golombek, D.A. An automated tracking system for Caenorhabditis elegans locomotor behavior and circadian studies application. J. Neurosci. Methods 2007, 161, 273–280. [Google Scholar] [CrossRef]
- Camicia, F.; Celentano, A.M.; Johns, M.E.; Chan, J.D.; Maldonado, L.; Vaca, H.; Di Siervi, N.; Kamenetzky, L.; Gamo, A.M.; Ortega-Gutierrez, S.; et al. Unique pharmacological properties of serotoninergic G-protein coupled receptors from cestodes. PLoS Negl. Trop. Dis. 2018, 12, e0006267. [Google Scholar] [CrossRef]
- Vaca, H.R.; Celentano, A.M.; Macchiaroli, N.; Kamenetzky, L.; Camicia, F.; Rosenzvit, M.C. Histone deacetylase enzymes as potential drug targets of Neglected Tropical Diseases caused by cestodes. IJP Drugs Drug Resist. 2019, 9, 120–132. [Google Scholar] [CrossRef]
- Vaca, H.R.; Celentano, A.M.; Toscanini, M.A.; Heimburg, T.; Ghazy, E.; Zeyen, P.; Thomas Hauser, A.; Oliveira, G.; Elissondo, M.C.; Jung, M.; et al. The potential of histone deacetylase (HDAC) inhibitors as cestocidal drugs. PLoS Negl. Trop. Dis. 2021, 15, e0009226. [Google Scholar] [CrossRef] [PubMed]
- Vaca, H.R.; Celentano, A.M.; Toscanini, M.A.; Thomas Hauser, A.; Macchiaroli, N.; Cuestas, M.L.; Nusblat, A.D.; Sippl, W.; Elissondo, M.C.; Jung, M.; et al. Identification and characterization of sirtuin enzymes in cestodes and evaluation of sirtuin inhibitors as new cestocidal molecules. Int. J. Parasitol. 2022, 52, 317–329. [Google Scholar] [CrossRef]
- Elso, O.G.; Bivona, A.E.; Sanchez Alberti, A.; Cerny, N.; Fabian, L.; Morales, C.; Catalán, C.A.N.; Malchiodi, E.L.; Cazorla, S.I.; Sülsen, V.P. Trypanocidal Activity of Four Sesquiterpene Lactones Isolated from Asteraceae Species. Molecules 2020, 25, 2014. [Google Scholar] [CrossRef]
- Cabrera, G.; Espinoza, I.; Kemmerling, U.; Galanti, N. Mesocestoides corti: Morphological features and glycogen mobilization during in vitro differentiation from larva to adult worm. Parasitology 2010, 137, 373–384. [Google Scholar] [CrossRef] [PubMed]
- Alvi, M.A.; Khan, S.; Ali, R.M.A.; Qamar, W.; Saqib, M.; Faridi, N.Y.; Li, L.; Fu, B.Q.; Yan, H.B.; Jia, W.Z. Herbal medicines against hydatid disease: A systematic review (2000–2021). Life 2022, 12, 676. [Google Scholar] [CrossRef] [PubMed]
- Küster, T.; Kriegel, N.; Stadelmann, B.; Wang, X.; Dong, Y.; Vennerstrom, J.L.; Keiser, J.; Hemphill, A. Amino ozonides exhibit in vitro activity against Echinococcus multilocularis metacestodes. Int. J. Antimicrob. Agents 2014, 43, 40–46. [Google Scholar] [CrossRef]
- Markoski, M.M.; Bizarro, C.V.; Farias, S.; Espinoza, I.; Galanti, N.; Zaha, A.; Ferreira, H.B. In vitro segmentation induction of Mesocestoides corti (Cestoda) tetrathyridia. J. Parasitol. 2003, 89, 27–34. [Google Scholar] [CrossRef]






Disclaimer/Publisher’s Note: The statements, opinions and data contained in all publications are solely those of the individual author(s) and contributor(s) and not of MDPI and/or the editor(s). MDPI and/or the editor(s) disclaim responsibility for any injury to people or property resulting from any ideas, methods, instructions or products referred to in the content. |
© 2024 by the authors. Licensee MDPI, Basel, Switzerland. This article is an open access article distributed under the terms and conditions of the Creative Commons Attribution (CC BY) license (https://creativecommons.org/licenses/by/4.0/).
Share and Cite
Cevasco Contreras, M.d.P.; Borgo, J.; Celentano, A.M.; Elso, O.G.; Bach, H.; Catalán, C.A.N.; Bivona, A.E.; Vaca, H.R.; Rosenzvit, M.C.; Sülsen, V.P. Extracts and Terpenoids from Stevia Species as Potential Anthelmintics for Neglected Tropical Diseases Caused by Cestode Parasites. Molecules 2024, 29, 4430. https://doi.org/10.3390/molecules29184430
Cevasco Contreras MdP, Borgo J, Celentano AM, Elso OG, Bach H, Catalán CAN, Bivona AE, Vaca HR, Rosenzvit MC, Sülsen VP. Extracts and Terpenoids from Stevia Species as Potential Anthelmintics for Neglected Tropical Diseases Caused by Cestode Parasites. Molecules. 2024; 29(18):4430. https://doi.org/10.3390/molecules29184430
Chicago/Turabian StyleCevasco Contreras, María del Pilar, Jimena Borgo, Ana María Celentano, Orlando Germán Elso, Hernán Bach, Cesar Atilio Nazareno Catalán, Augusto Ernesto Bivona, Hugo Rolando Vaca, Mara Cecilia Rosenzvit, and Valeria Patricia Sülsen. 2024. "Extracts and Terpenoids from Stevia Species as Potential Anthelmintics for Neglected Tropical Diseases Caused by Cestode Parasites" Molecules 29, no. 18: 4430. https://doi.org/10.3390/molecules29184430
APA StyleCevasco Contreras, M. d. P., Borgo, J., Celentano, A. M., Elso, O. G., Bach, H., Catalán, C. A. N., Bivona, A. E., Vaca, H. R., Rosenzvit, M. C., & Sülsen, V. P. (2024). Extracts and Terpenoids from Stevia Species as Potential Anthelmintics for Neglected Tropical Diseases Caused by Cestode Parasites. Molecules, 29(18), 4430. https://doi.org/10.3390/molecules29184430

